Genome-Wide Association Study of Root-Lesion Nematodes Pratylenchus Species and Crown Rot Fusarium culmorum in Bread Wheat
Abstract
1. Introduction
2. Results
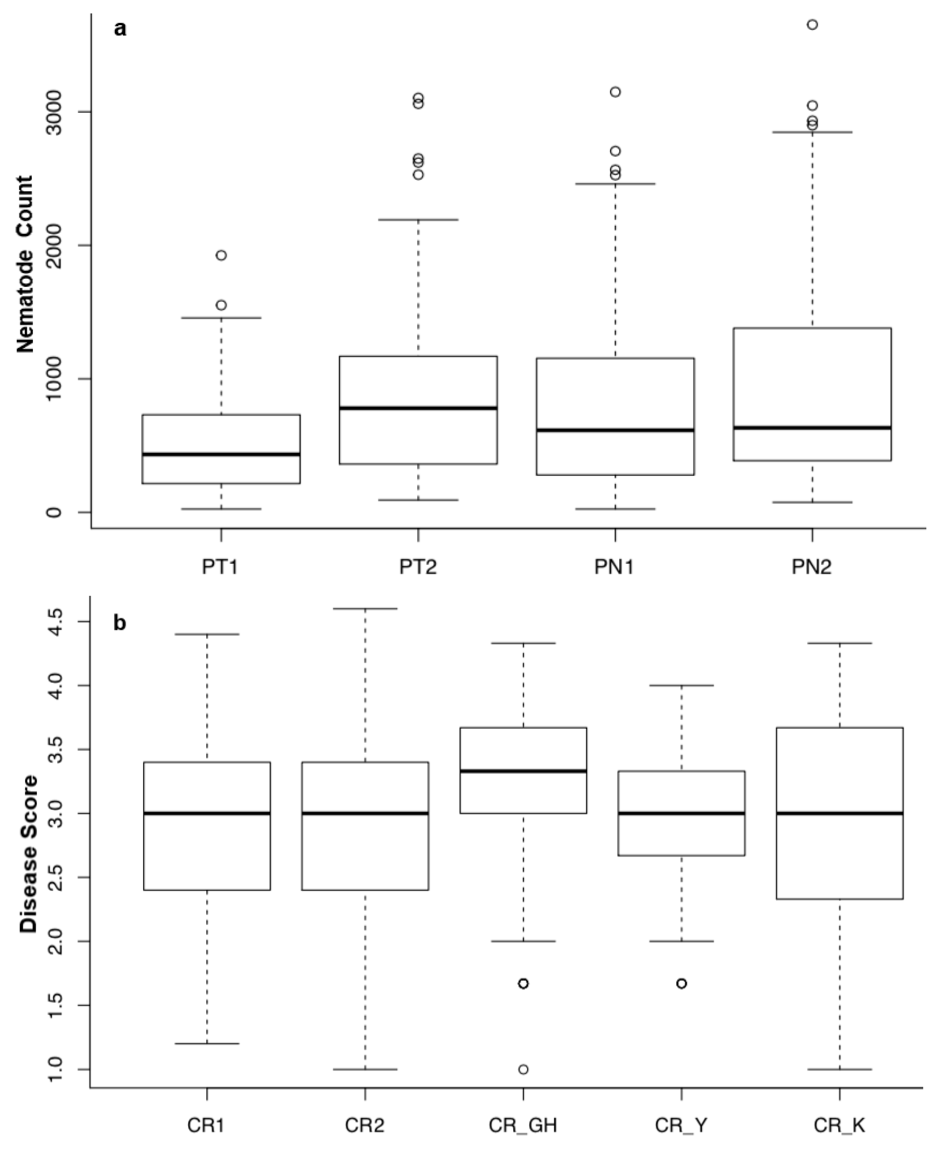
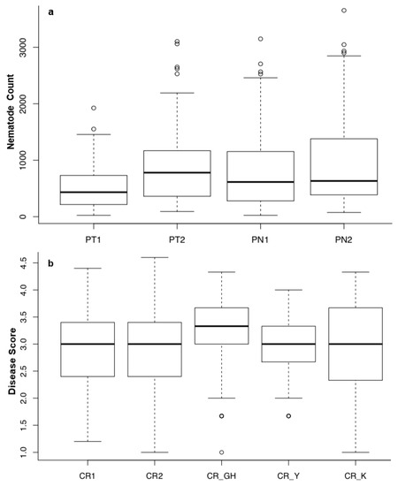
2.1. Phenotypic Data Description for PT, PN, and CR
2.2. Genotypic Data and Population Structure
2.2.1. Linkage Disequilibrium
2.2.2. GWAS for PT, PN and CR
3. Discussion
Identification of Resistance Sources Using Genome-Wide Association Approach
4. Materials and Methods
4.1. Plant Material and Experimental Procedures
4.2. Growthroom Screening for Root-Lesion Nematodes
4.3. Screening for F. culmorum
4.3.1. Inoculum Preparation
4.3.2. Growth Room Experiments
4.3.3. Greenhouse Experiment
4.3.4. Field Experiments
4.4. Disease Assessment
4.5. Data Analyses
4.6. Genome-Wide Association Mapping
4.6.1. DNA Extraction and Genotyping
4.6.2. Population Structure Analysis
4.6.3. Linkage Disequilibrium and GWAS
Supplementary Materials
Author Contributions
Funding
Institutional Review Board Statement
Informed Consent Statement
Data Availability Statement
Acknowledgments
Conflicts of Interest
References
- Kumar, P.; Yadava, R.; Gollen, B.; Kumar, S.; Verma, R.K.; Yadav, S. Nutritional contents and medicinal properties of wheat: A review. Life Sci. Medic. Res. 2011, 2011, 1–10. [Google Scholar]
- Dababat, A.; Erginbas-Orakci, G.; Toumi, F.; Braun, H.-J.; Morgounov, A.; Sikora, R.; Cimmyt, M. IPM to Control soil-borne pests on wheat and sustainable food production. Arab J. Plant Prot. 2018, 36, 37–44. [Google Scholar] [CrossRef]
- Dababat, A.A.; Muhammad, A.A.; Singh, R. The need for integrated management of the cereal cyst nematodes, Heterodera spp. in Central Western Asia and North Africa. In Integrated Nematode Management: State-of-the-Art and Visions for the Future; Sikora, R.S., Desaeger, J., Molendijk, L.P.G., Eds.; CABI International: Wallingford, UK, 2022; pp. 20–27. [Google Scholar]
- Dababat, A.A.; Ferney, G.H.; Erginbas-Orakci, G.; Dreisigacker, S.; Imren, M.; Toktay, H.; Elekcioglu, H.I.; Mekete, T.; Nicol, J.M.; Ansari, O.; et al. Association analysis of resistance to cereal cyst nematodes (Heterodera avenae) and root lesion nematodes (Pratylenchus neglectus and P. thornei) in CIMMYT advanced spring wheat lines for semi-arid conditions. Breed Sci. 2016, 66, 692–702. [Google Scholar] [CrossRef]
- Seid, A.; İmren, M.; Ali, M.A.; Toumi, F.; Paulitz, T.; Dababat, A.A. Genetic resistance of wheat towards plant-parasitic nematodes: Current status and future prospects. Biotech. Stud. 2021, 30, 43–62. [Google Scholar] [CrossRef]
- Thompson, J.; Mackenzie, J.; Amos, R. Root-lesion nematode (Pratylenchus thornei) limits response of wheat but not barley to stored soil moisture in the Hermitage long-term tillage experiment. Aust. J. Exp. Agric. 1995, 35, 1049–1055. [Google Scholar] [CrossRef]
- Smiley, R.W.; Whittaker, R.G.; Gourlie, J.A.; Easley, S.A. Suppression of wheat growth and yield by Pratylenchus neglectus in the Pacific Northwest. Plant Dis. 2005, 89, 958–968. [Google Scholar] [CrossRef]
- Smiley, R.W.; Nicol, J.M. Nematodes which Challenge Global Wheat Production. In Wheat Science and Trade; Jones, J., Gheysen, G., Fenoll, C., Eds.; Wiley-Blackwell: Ames, IA, USA, 2009; pp. 171–187. [Google Scholar]
- Toumi, F.; Waeyenberge, L.; Viaene, N.; Dababat, A.A.; Nicol, J.M.; Ogbonnaya, F.; Moens, M. Cereal cyst nematodes: Importance, distribution, identification, quantification, and control. Eur. J. Plant Pathol. 2018, 150, 1–20. [Google Scholar] [CrossRef]
- Wildermuth, G.; McNamara, R. Testing wheat seedlings for resistance to crown rot caused by Fusarium graminearum Group 1. Plant Dis. 1994, 78, 949–953. [Google Scholar] [CrossRef]
- Chakraborty, S.; Obanor, F.; Westecott, R.; Abeywickrama, K. Wheat crown rot pathogens Fusarium graminearum and F. pseudograminearum lack specialization. Phytopathology 2010, 100, 1057–1065. [Google Scholar] [CrossRef]
- Erginbas-Orakci, G.; Poole, G.; Nicol, J.M.; Paulitz, T.; Dababat, A.A.; Campbell, K. Assessment of inoculation methods to identify resistance to Fusarium crown rot in wheat. J. Plant Dis. Prot. 2016, 123, 19–27. [Google Scholar] [CrossRef]
- Dweba, C.; Figlan, S.; Shimelis, H.; Motaung, T.; Sydenham, S.; Mwadzingeni, L.; Tsilo, T. Fusarium head blight of wheat: Pathogenesis and control strategies. Crop Prot. 2017, 91, 114–122. [Google Scholar] [CrossRef]
- Chakraborty, S.; Liu, C.; Mitter, V.; Scott, J.; Akinsanmi, O.; Ali, S.; Dill-Macky, R.; Nicol, J.; Backhouse, D.; Simpfendorfer, S. Pathogen population structure and epidemiology are keys to wheat crown rot and Fusarium head blight management. Australas. Plant Pathol. 2006, 35, 643–655. [Google Scholar] [CrossRef]
- Taylor, S.; Vanstone, V.A.; Ware, A.; McKay, A.C.; Szot, D.; Russ, M.H. Measuring yield loss in cereals caused by root lesion nematodes (Pratylenchus neglectus and P. thornei) with and without nematicide. Aust. J. Agric. Res. 1999, 50, 617–627. [Google Scholar] [CrossRef]
- Cook, R.J. Management of wheat and barley root diseases in modern farming systems. Aust. Plant Pathol. 2001, 30, 119–126. [Google Scholar] [CrossRef]
- Yahyaoui, A.; Abido, H.; Marrawi, N.; Naeb, R.E.; Nicol, J.; Elahmed, A.; Nachit, M.H.; Ketata, B.H.; Shulz, U. In Cereal root diseases in West Asia and North Africa. Wheat Breeding for Biotic Stress. In Proceedings of the 1st Central Asian Wheat Conference, Almaty, Kazakhstan, 10–13 June 2003; pp. 635–636.
- Pariyar, S.R.; Dababat, A.A.; Sannemann, W.; Erginbas-Orakci, G.; Elashry, A.; Siddique, S.; Morgounov, A.; Leon, J.; Grundler, F.M. Genome-wide association study in wheat identifies resistance to the cereal cyst nematode Heterodera filipjevi. Phytopathology 2016, 106, 1128–1138. [Google Scholar] [CrossRef]
- Erginbas-Orakci, G.; Sehgal, D.; Sohail, Q.; Ogbonnaya, F.; Dreisigacker, S.; Pariyar, S.; Dababat, A. Identification of novel Quantitative Trait Loci linked to crown rot resistance in spring wheat. Int. J. Mol. Sci. 2018, 19, 2666. [Google Scholar] [CrossRef]
- Mulki, M.A.; Jighly, A.; Ye, G.; Emebiri, L.C.; Moody, D.; Ansari, O.; Ogbonnaya, F.C. Association mapping for soilborne pathogen resistance in synthetic hexaploid wheat. Mol. Breed. 2013, 31, 299–311. [Google Scholar] [CrossRef]
- Flint-Garcia, S.A.; Thornsberry, J.M.; Buckler IV, E.S. Structure of linkage disequilibrium in plants. Ann. Rev. Plant Biol. 2003, 54, 357–374. [Google Scholar] [CrossRef]
- Rafalski, J.A. Novel genetic mapping tools in plants: SNPs and LD-based approaches. Plant Sci. 2002, 162, 329–333. [Google Scholar] [CrossRef]
- Crossa, J.; Burgueno, J.; Dreisigacker, S.; Vargas, M.; Herrera-Foessel, S.A.; Lillemo, M.; Singh, R.P.; Trethowan, R.; Warburton, M.; Franco, J.; et al. Association analysis of historical bread wheat germplasm using additive genetic covariance of relatives and population structure. Genetics 2007, 177, 1889–1913. [Google Scholar] [CrossRef]
- Brown, J.; Ellis, S. Breeding for resistance to cereal cyst nematode in wheat. Euphytica 1976, 25, 73–82. [Google Scholar] [CrossRef]
- Li, G.; Xu, X.; Bai, G.; Carver, B.F.; Hunger, R.; Bonman, J.M.; Kolmer, J.; Dong, H. Genome-wide association mapping reveals novel QTL for seedling leaf rust resistance in a worldwide collection of winter wheat. Plant Genome 2016, 9. [Google Scholar] [CrossRef] [PubMed]
- Zhang, K.; Wang, J.; Zhang, L.; Rong, C.; Zhao, F.; Peng, T.; Li, H.; Cheng, D.; Liu, X.; Qin, H.; et al. Association analysis of genomic loci important for grain weight control in elite common wheat varieties cultivated with variable water and fertiliser supply. PLoS ONE 2013, 8, e57853. [Google Scholar] [CrossRef] [PubMed]
- Lopes, M.; Dreisigacker, S.; Peña, R.; Sukumaran, S.; Reynolds, M.P. Genetic characterization of the wheat association mapping initiative (WAMI) panel for dissection of complex traits in spring wheat. Theor. Appl. Genet. 2015, 128, 453–464. [Google Scholar] [CrossRef]
- Tadesse, W.; Ogbonnaya, F.; Jighly, A.; Sanchez-Garcia, M.; Sohail, Q.; Rajaram, S.; Baum, M. Genome-wide association mapping of yield and grain quality traits in winter wheat genotypes. PLoS ONE 2015, 10, e0141339. [Google Scholar] [CrossRef] [PubMed]
- Chao, S.; Zhang, W.; Dubcovsky, J.; Sorrells, M. Evaluation of genetic diversity and genome-wide linkage disequilibrium among US wheat (Triticum aestivum L.) germplasm representing different market classes. Crop Sci. 2007, 47, 1018–1030. [Google Scholar] [CrossRef]
- Juliana, P.; Rutkoski, J.E.; Poland, J.A.; Singh, R.P.; Murugasamy, S.; Natesan, S.; Barbier, H.; Sorrells, M.E. Genome-wide association mapping for leaf tip necrosis and pseudo-black chaff in relation to durable rust resistance in wheat. Plant Genome 2015, 8. [Google Scholar] [CrossRef]
- Dreisigacker, S.; Shewayrga, H.; Crossa, J.; Arief, V.N.; DeLacy, I.H.; Singh, R.P.; Dieters, M.J.; Braun, H.-J. Genetic structures of the CIMMYT international yield trial targeted to irrigated environments. Mol. Breed 2012, 29, 529–541. [Google Scholar] [CrossRef]
- Chao, S.; Dubcovsky, J.; Dvorak, J.; Luo, M.-C.; Baenziger, S.P.; Matnyazov, R.; Clark, D.R.; Talbert, L.E.; Anderson, J.A.; Dreisigacker, S.; et al. Population- and genome-specific patterns of linkage disequilibrium and SNP variation in spring and winter wheat (Triticum aestivum L.). BMC Genom. 2010, 11, 727. [Google Scholar] [CrossRef]
- Chen, X.; Min, D.; Yasir, T.A.; Hu, Y.-G. Genetic diversity, population structure and linkage disequilibrium in elite Chinese winter wheat investigated with SSR markers. PLoS ONE 2012, 7, e44510. [Google Scholar] [CrossRef]
- Van Ginkel, M.; Ogbonnaya, F. Novel genetic diversity from synthetic wheats in breeding cultivars for changing production conditions. Field Crop. Res. 2007, 104, 86–94. [Google Scholar] [CrossRef]
- Collard, B.C.Y.; Grams, R.; Bovill, W.D.; Percy, C.; Jolley, R.; Lehmensiek, A.; Wildermuth, G.B.; Sutherland, M.W. Development of molecular markers for crown rot resistance in wheat: Mapping of QTLs for seedling resistance in a ‘2-49’ x ‘Janz’ population. Plant Breed. 2005, 124, 532–537. [Google Scholar] [CrossRef]
- Bovill, W.D.; Ma, W.; Ritter, K.; Collard, B.C.Y.; Davis, M.; Wildermuth, G.B.; Sutherland, M.W. Identification of novel QTL for resistance to crown rot in the doubled haploid wheat population ‘W21MMT70’ × ‘Mendos’. Plant Breed. 2006, 125, 538–543. [Google Scholar] [CrossRef]
- Wallwork, H.; Butt, M.; Cheong, J.P.E.; Williams, K.J. Resistance to crown rot in wheat identified through an improved method for screening adult plants. Australas. Plant Pathol. 2004, 33, 1–7. [Google Scholar] [CrossRef]
- Martin, A.; Bovill, W.D.; Percy, C.D.; Herde, D.; Fletcher, S.; Kelly, A.; Neate, S.M.; Sutherland, M.W. Markers for seedling and adult plant crown rot resistance in four partially resistant bread wheat sources. Theor. Appl. Genet. 2015, 128, 377–385. [Google Scholar] [CrossRef]
- Pariyar, S.R.; Erginbas-Orakci, G.; Dadshani, S.; Chijioke, O.B.; Léon, J.; Dababat, A.A.; Grundler, F.M.W. Dissecting the genetic complexity of fusarium crown rot resistance in wheat. Sci. Rep. 2020, 10, 3200. [Google Scholar] [CrossRef]
- Kumar, D.; Sharma, S.; Sharma, R.; Pundir, S.; Singh, V.K.; Chaturvedi, D.; Singh, B.; Kumar, S.; Sharma, S. Genome-wide association study in hexaploid wheat identifies novel genomic regions associated with resistance to root lesion nematode (Pratylenchus thornei). Sci. Rep. 2021, 11, 3572. [Google Scholar] [CrossRef]
- Moody, E.; Lownsbery, B.; Ahmed, J. Culture of the root-lesion nematode Pratylenchus vulnus on carrot disks. J. Nematol. 1973, 5, 225. [Google Scholar]
- Southey, J. Principles of Sampling for Nematodes: Laboratory Methods for Work with Plant and Soil Nematodes; Technical Bulletin for Ministry of Agriculture, Fisheries and Food: London, UK, 1986. [Google Scholar]
- Li, H.; Ribaut, J.-M.; Li, Z.; Wang, J. Inclusive composite interval mapping (ICIM) for digenic epistasis of quantitative traits in biparental populations. Theor. Appl. Genet. 2008, 116, 243–260. [Google Scholar] [CrossRef]
- Lewien, M.J.; Murray, T.D.; Jernigan, K.L.; Garland-Campbell, K.A.; Carter, A.H. Genome-wide association mapping for eyespot disease in US Pacific Northwest winter wheat. PLoS ONE 2018, 13, e0194698. [Google Scholar] [CrossRef]
- Saghai-Maroof, M.A.; Soliman, K.M.; Jorgensen, R.A.; Allard, R. Ribosomal DNA spacer-length polymorphisms in barley: Mendelian inheritance, chromosomal location, and population dynamics. Proc. Nat. Acad. Sci. USA 1984, 81, 8014–8018. [Google Scholar] [CrossRef] [PubMed]
- Dreisigacker, S.; Sehgal, D.; Reyes-Jaimez, A.; Luna-Garrido, B.; Muñoz-Zavala, S.; Núñez-Ríos, C.; Mollins, J.; Mall, S. CIMMYT Wheat Molecular Genetics: Laboratory Protocols and Applications to Wheat Breeding. 2016; 142p. [Google Scholar]
- Poland, J.; Endelman, J.; Dawson, J.; Rutkoski, J.; Wu, S.; Manes, Y.; Dreisigacker, S.; Crossa, J.; Sánchez-Villeda, H.; Sorrells, M.; et al. Genomic selection in wheat breeding using genotyping-by-sequencing. Plant Genome 2012, 5, 103–113. [Google Scholar] [CrossRef]
- Alexander, D.H.; Novembre, J.; Lange, K. Fast model-based estimation of ancestry in unrelated individuals. Genome Res. 2009, 19, 1655–1664. [Google Scholar] [CrossRef] [PubMed]
- Purcell, S.; Neale, B.; Todd-Brown, K.; Thomas, L.; Ferreira, M.A.; Bender, D.; Maller, J.; Sklar, P.; De Bakker, P.I.; Daly, M.J. PLINK: A tool set for whole-genome association and population-based linkage analyses. Am. J. Hum. Genet. 2007, 81, 559–575. [Google Scholar] [CrossRef]
- JASP Team 2021. JASP (Version 0.16) [Computer Software]. Available online: https://jasp-stats.org/ (accessed on 28 February 2022).
- Tang, Y.; Liu, X.; Wang, J.; Li, M.; Wang, Q.; Tian, F.; Su, Z.; Pan, Y.; Liu, D.; Lipka, A.E.; et al. GAPIT version 2: An enhanced integrated tool for genomic association and prediction. Plant Genome 2016, 9. [Google Scholar] [CrossRef]



| (a) Pratylenchus Species | Mean ± SD | CV | Min. | Max. | p-Value | H2 |
| PT1 | 506.550 ± 25.004 | 0.679 | 25 | 1925 | *** | 0.9034 |
| PT2 | 849.746 ± 43.132 | 0.698 | 92 | 3104 | *** | 0.9307 |
| PN1 | 789.947 ± 47.195 | 0.821 | 25 | 3149 | *** | 0.9734 |
| PN2 | 948.048 ± 55.904 | 0.811 | 75 | 3653 | *** | 0.9874 |
| (b) Crown Rot (Fusarium culmorum) | Mean ± SD | CV | Min. | Max. | p-Value | H2 |
| CR1 | 2.929 ± 0.050 | 0.233 | 1.20 | 4.40 | *** | 0.9125 |
| CR2 | 2.939 ± 0.055 | 0.257 | 1.00 | 4.60 | *** | 0.9276 |
| CR_GH | 3.182 ± 0.047 | 0.204 | 1.00 | 4.33 | *** | 0.8285 |
| CR_Y | 2.920 ± 0.042 | 0.199 | 1.67 | 4.00 | *** | 0.7952 |
| CR_K | 3.033 ± 0.051 | 0.231 | 1.00 | 4.33 | *** | 0.8883 |
| PT1 | PT2 | PN1 | PN2 | CR1 | CR2 | CR_GH | CR_Y | |
|---|---|---|---|---|---|---|---|---|
| PT2 | 0.290 *** | |||||||
| PN1 | 0.309 *** | 0.341 *** | ||||||
| PN2 | 0.219 ** | 0.323 *** | 0.903 *** | |||||
| CR1 | 0.073 | 0.061 | 0.159 * | 0.164 * | ||||
| CR2 | 0.116 | 0.044 | 0.254 *** | 0.227 ** | 0.724 *** | |||
| CR_GH | 0.078 | −0.083 | 0.028 | 0.02 | 0.188 ** | 0.054 | ||
| CR_Y | 0.044 | −0.138 | −0.047 | 0.02 | 0.11 | 0.089 | 0.108 | |
| CR_K | −0.098 | −0.213 ** | 0.260 *** | −0.232 ** | 0.023 | −0.07 | 0.13 | 0.532 *** |
| Trait | SNP # | p-Value | MAF | R2 | Effect | |
|---|---|---|---|---|---|---|
| F. culmorum | CR_GH | S2B_549201894 | 9.8 × 10−6 | 0.11 | 11.08 | 0.40 |
| CR_K | S7D_579535886 | 2.1 × 10−4 | 0.05 | 7.2 | 0.51 | |
| CR_Y | S2B_708689405 | 4.0 × 10−4 | 0.14 | 6.87 | 0.24 | |
| CR1 | S3A_738043010 | 1.9 × 10−4 | 0.06 | 7.54 | 0.44 | |
| CR1 | S4B_539004405 | 2.0 × 10−4 | 0.12 | 7.50 | 0.34 | |
| CR2 | S1A_10214692 | 3.2 × 10−4 | 0.17 | 7.00 | 0.27 | |
| CR2 | S1A_38715697 | 5.0 × 10−5 | 0.26 | 8.99 | 0.27 | |
| CR2 | S4B_539004405 | 4.0 × 10−5 | 0.12 | 9.22 | 0.39 | |
| CR2 | S5B_598755542 | 2.1 × 10−4 | 0.07 | 7.42 | −0.41 | |
| P. neglectus | PN1 | S2A_24002740 | 7.7 × 10−5 | 0.17 | 6.3 | 312.9 |
| PN1 | S5B_84880275 | 4.3 × 10−4 | 0.20 | 5.0 | 231.2 | |
| PN2 | S1A_41054531 | 3.6 × 10−4 | 0.15 | 5.6 | 271.5 | |
| PN2 | S2A_154414007 | 3.8 × 10−4 | 0.29 | 5.6 | −290.3 | |
| PN2 | S2A_160931482 | 2.9 × 10−4 | 0.23 | 5.8 | 274.6 | |
| PN2 | S4A_48532477 | 4.0 × 10−4 | 0.18 | 5.5 | 256.8 | |
| PN2 | S5B_84880275 | 4.2 × 10−4 | 0.20 | 5.2 | 269.4 | |
| PN2 | S5D_541692475 | 2.4 × 10−4 | 0.07 | 6.0 | −388.2 | |
| P. thornei | PT1 | S1B_366267523 | 7.3 × 10−5 | 0.05 | 8.4 | −233.2 |
| PT1 | S3A_732049884 | 2.2 × 10−4 | 0.17 | 7.2 | 124.9 | |
| PT1 | S5B_38505289 | 4.3 × 10−4 | 0.12 | 6.6 | −143.0 | |
| PT2 | S3A_501892003 | 4.5 × 10−4 | 0.07 | 5.7 | 307.4 |
Publisher’s Note: MDPI stays neutral with regard to jurisdictional claims in published maps and institutional affiliations. |
© 2022 by the authors. Licensee MDPI, Basel, Switzerland. This article is an open access article distributed under the terms and conditions of the Creative Commons Attribution (CC BY) license (https://creativecommons.org/licenses/by/4.0/).
Share and Cite
Sohail, Q.; Erginbas-Orakci, G.; Ozdemir, F.; Jighly, A.; Dreisigacker, S.; Bektas, H.; Birisik, N.; Ozkan, H.; Dababat, A.A. Genome-Wide Association Study of Root-Lesion Nematodes Pratylenchus Species and Crown Rot Fusarium culmorum in Bread Wheat. Life 2022, 12, 372. https://doi.org/10.3390/life12030372
Sohail Q, Erginbas-Orakci G, Ozdemir F, Jighly A, Dreisigacker S, Bektas H, Birisik N, Ozkan H, Dababat AA. Genome-Wide Association Study of Root-Lesion Nematodes Pratylenchus Species and Crown Rot Fusarium culmorum in Bread Wheat. Life. 2022; 12(3):372. https://doi.org/10.3390/life12030372
Chicago/Turabian StyleSohail, Quahir, Gul Erginbas-Orakci, Fatih Ozdemir, Abdulqader Jighly, Susanne Dreisigacker, Harun Bektas, Nevzat Birisik, Hakan Ozkan, and Abdelfattah A. Dababat. 2022. "Genome-Wide Association Study of Root-Lesion Nematodes Pratylenchus Species and Crown Rot Fusarium culmorum in Bread Wheat" Life 12, no. 3: 372. https://doi.org/10.3390/life12030372
APA StyleSohail, Q., Erginbas-Orakci, G., Ozdemir, F., Jighly, A., Dreisigacker, S., Bektas, H., Birisik, N., Ozkan, H., & Dababat, A. A. (2022). Genome-Wide Association Study of Root-Lesion Nematodes Pratylenchus Species and Crown Rot Fusarium culmorum in Bread Wheat. Life, 12(3), 372. https://doi.org/10.3390/life12030372

