Analytical and Experimental Investigation of Nonlinear Dynamic Characteristics of Hydrodynamic Bearings for Oil Film Instability Detection
Abstract
1. Introduction
- (1)
- The proposed nonlinear dynamic coefficient model enables to evaluation of the nonlinear dynamic characteristics of the rotor–bearing system and solves the limitation of the linear model.
- (2)
- Compared to traditional analytical models and numerical solutions, the nonlinear stiffness and damping coefficient model significantly saves computation time while accurately expressing the transient nonlinear characteristics of journal bearings.
- (3)
- The simulation results and experiment signals both show that the nonlinear dynamic coefficient model can effectively characterize oil film instability and accurately predict the rotor trajectory.
2. Methodology
2.1. Lubrication Model of Hydrodynamic Bearing
2.2. Modeling of Nonlinear Stiffness and Damping Coefficients
2.3. Dynamic Model of Rotor Motion
3. Simulation Results and Discussion
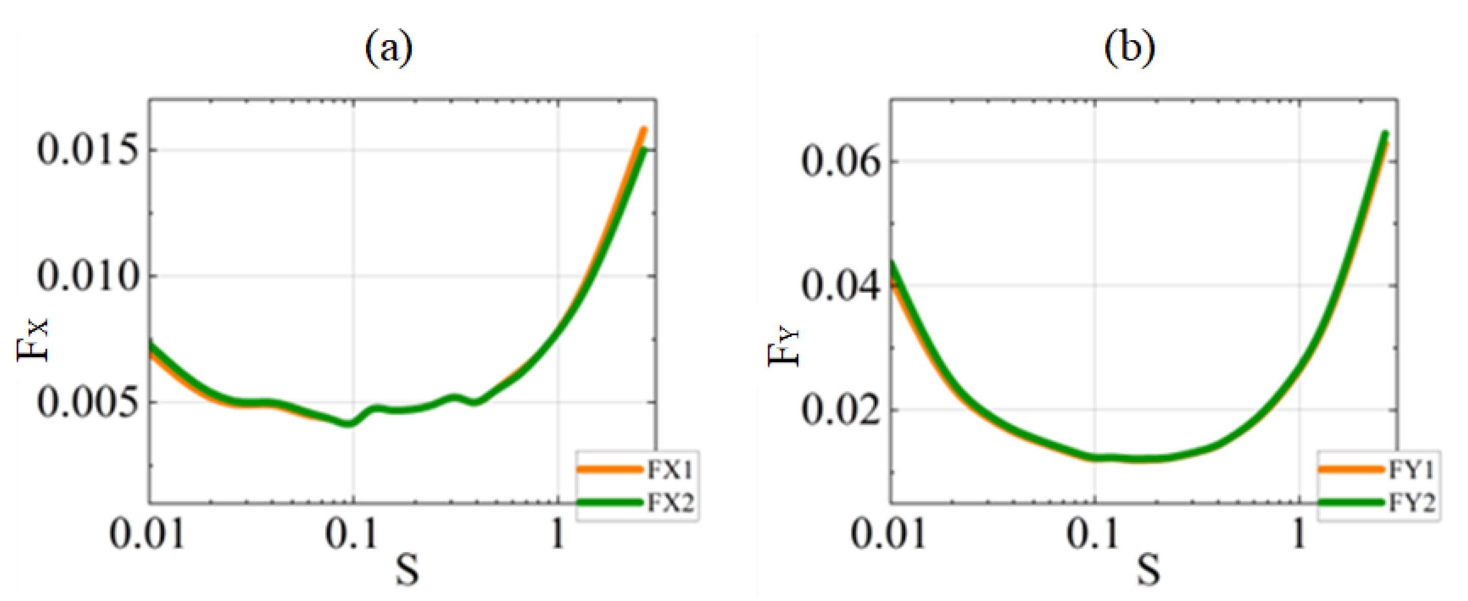
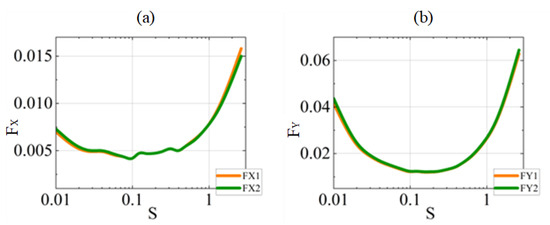
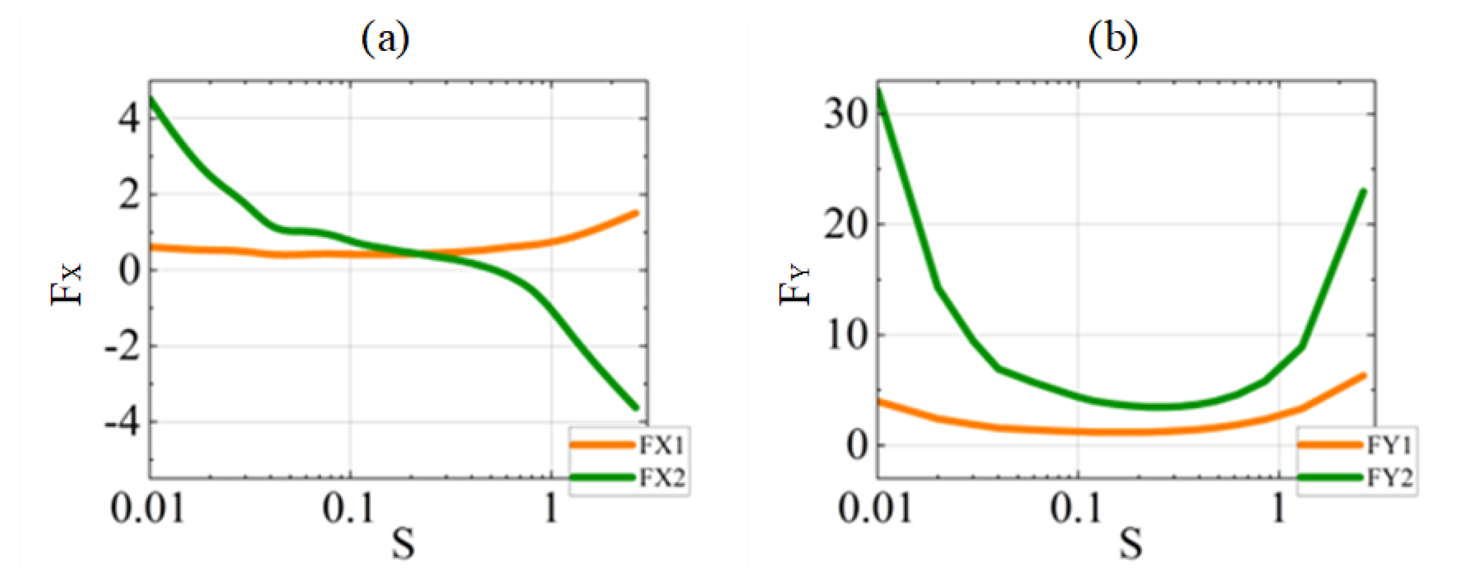
3.1. Perturbation Analysis
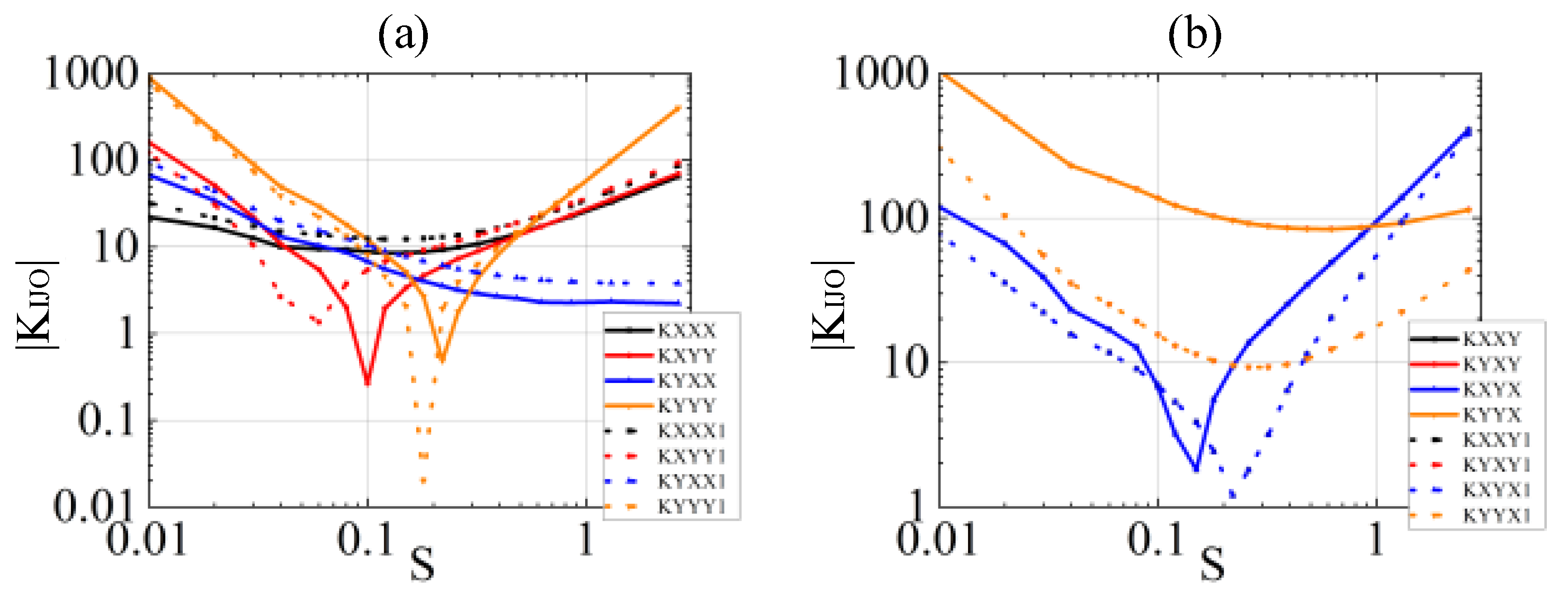
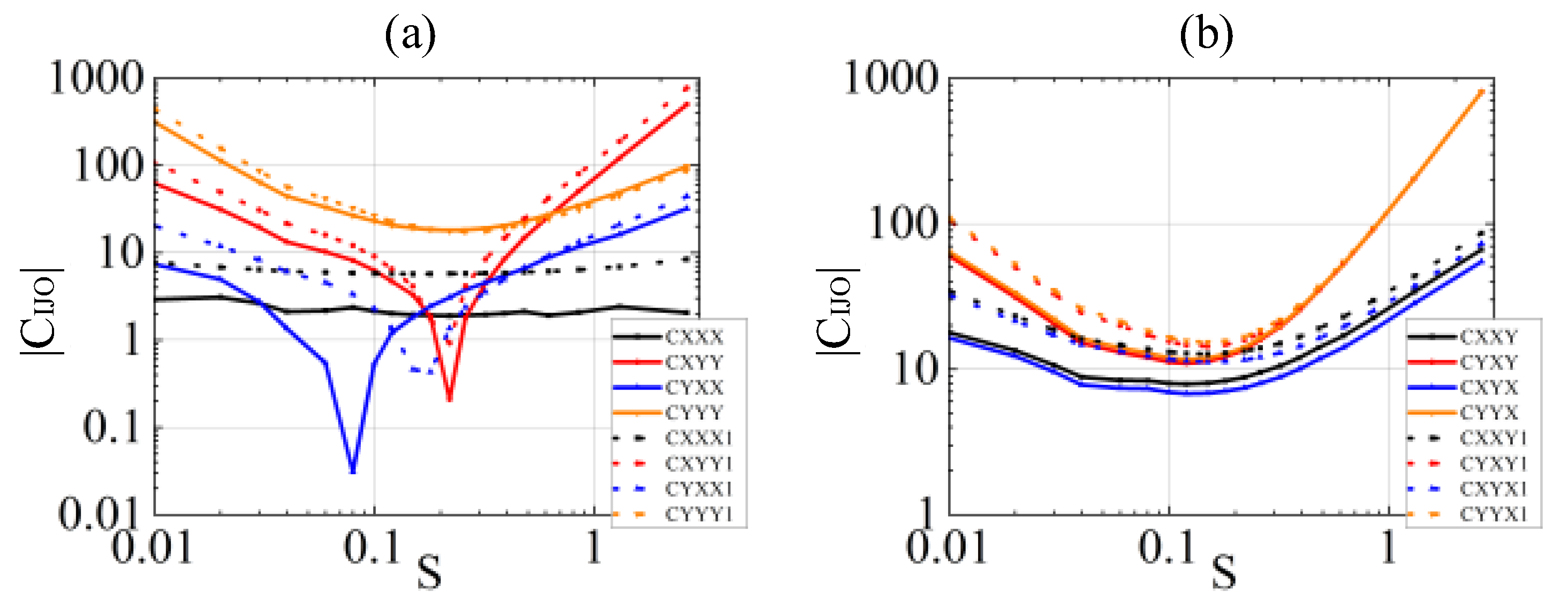
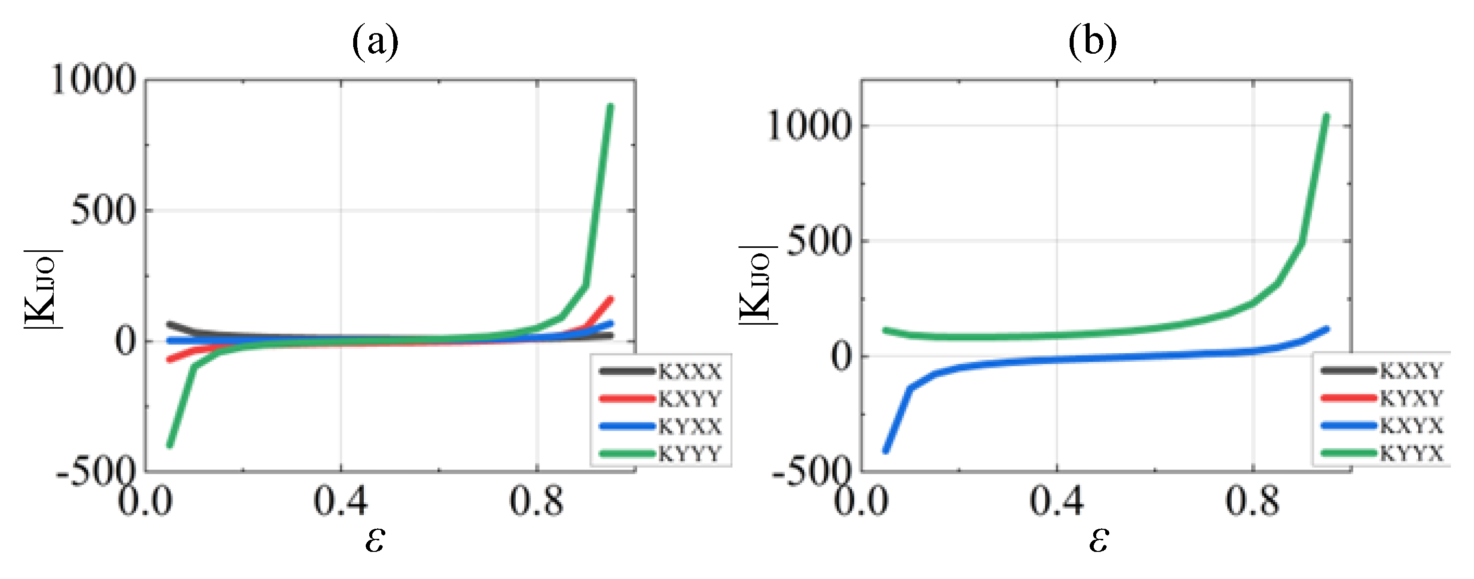
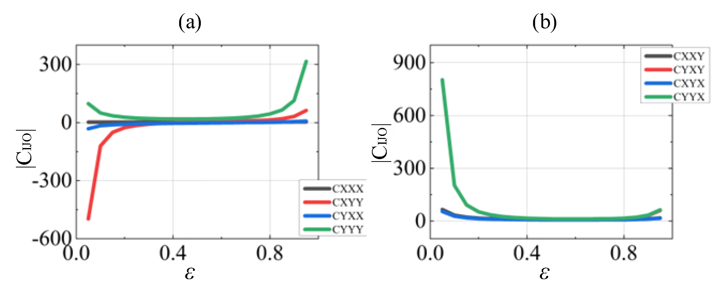
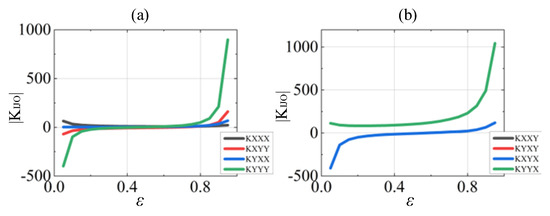
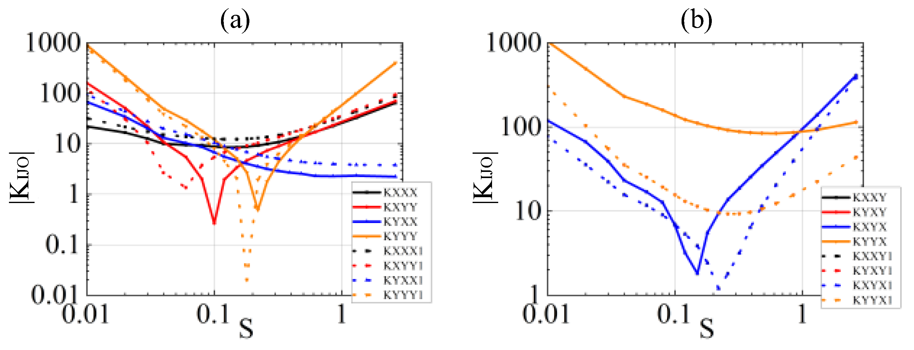
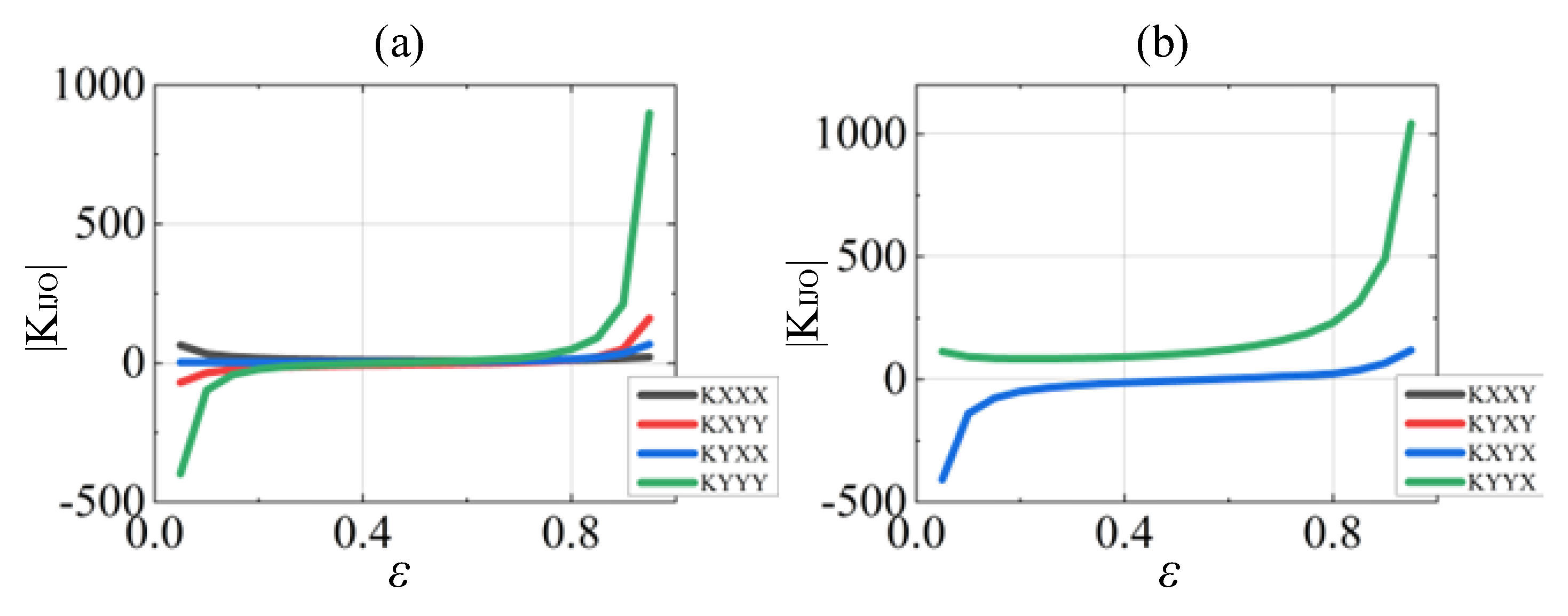
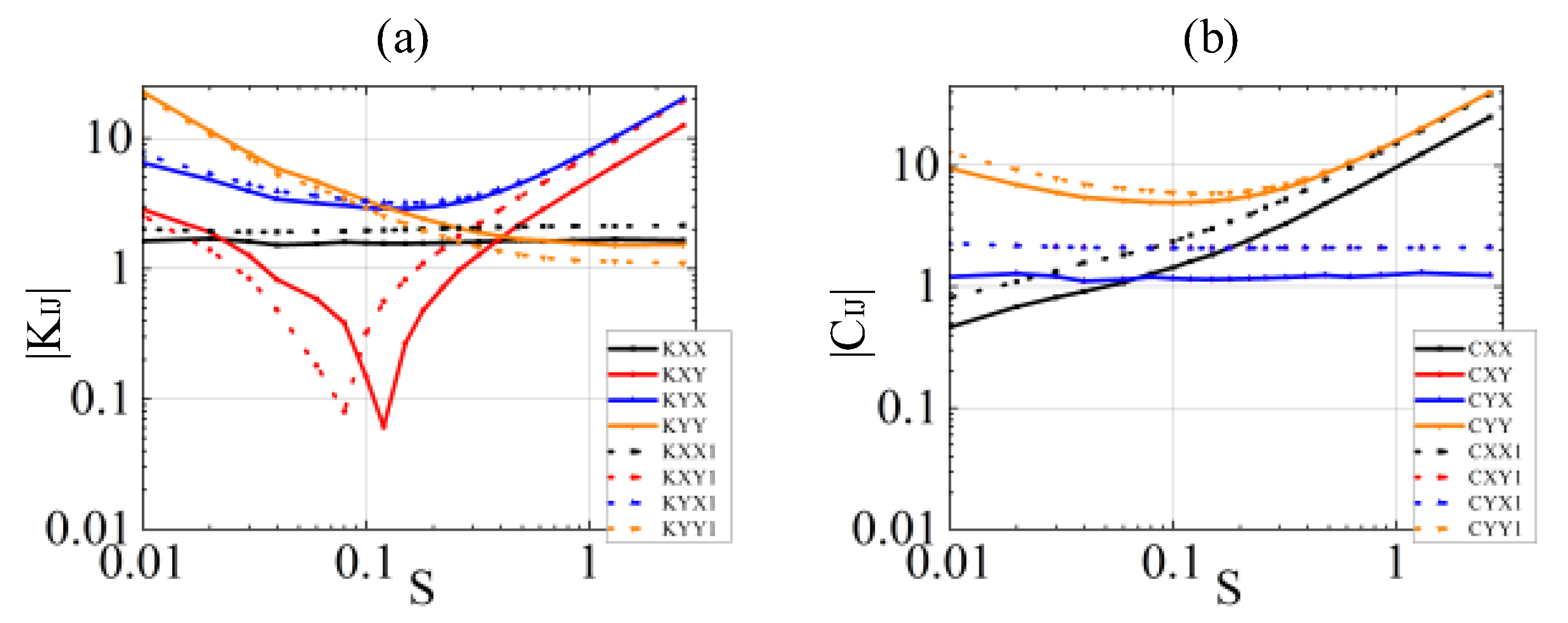
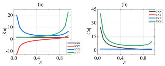
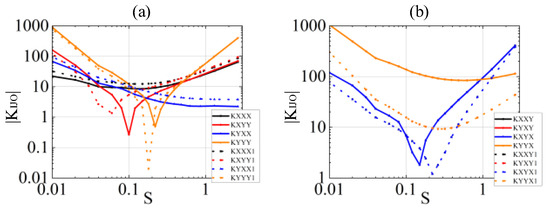
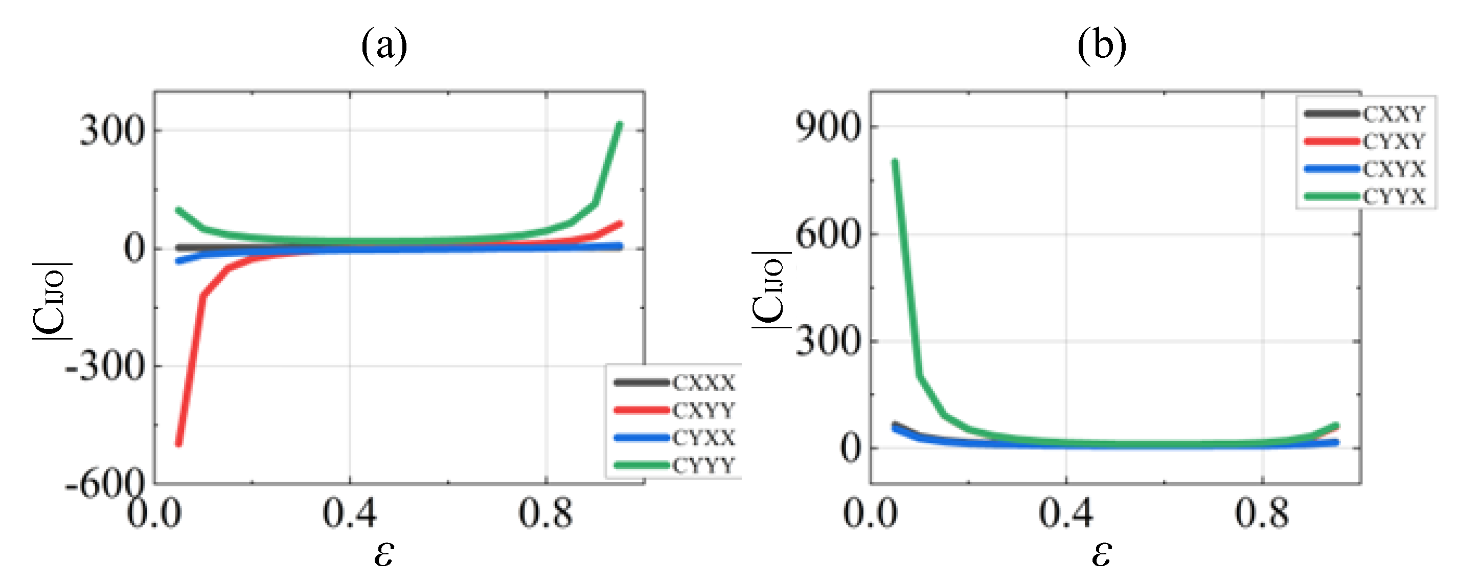
3.2. Results of Nonlinear Stiffness and Damping Coefficients
3.3. Results of Nonlinear Motion Trajectory
4. Experimental Verification
4.1. Test Rig Description
4.2. Experimental Data Analysis
5. Conclusions
- (1)
- Compared to the linear coefficients, the nonlinear dynamic coefficients can evaluate the drastic changes in the perturbation reaction force when the Sommerfeld number is very high. The deviation value between the nonlinear and linear coefficient models becomes more significant when the perturbation is large.
- (2)
- The nonlinear coefficient model is more accurate and can effectively capture complex rotor dynamic characteristics and complex motion trajectories under large perturbations and high speeds. The linear coefficients can only evaluate the rotor motion with small perturbations and low speeds.
- (3)
- The experimental results confirm that the nonlinear coefficients can predict and assess significant nonlinear phenomena, such as oil whirl and oil whip. Additionally, the nonlinear dynamic coefficients are effective at identifying the onset frequency of oil film instability.
Author Contributions
Funding
Data Availability Statement
Conflicts of Interest
References
- Oliveira, M.V.M.; Daniel, G.B. Vibrational signature of journal bearing oil starvation considering thermal effects and rotor unbalance variation. Tribol. Int. 2024, 191, 109132. [Google Scholar] [CrossRef]
- Chen, Y.; Zhang, H.; Li, X.; Xiao, S.; Gu, F.; Shi, Z. Effects of Wear on Lubrication Performance and Vibration Signatures of Rotor System Supported by Hydrodynamic Bearings. Lubricants 2023, 11, 107. [Google Scholar] [CrossRef]
- Sun, J.; Wang, L.; Li, J.; Li, F.; Li, J.; Lu, H. Online oil debris monitoring of rotating machinery: A detailed review of more than three decades. Mech. Syst. Signal Process. 2021, 149, 107341. [Google Scholar] [CrossRef]
- De Castro, H.F.; Cavalca, K.L.; Nordmann, R. Whirl and whip instabilities in rotor-bearing system considering a nonlinear force model. J. Sound Vib. 2008, 317, 273–293. [Google Scholar] [CrossRef]
- Ahmed, O.; El-Sayed, T.A.; Sayed, H. A Comparative Study of Theoretical and Experimental Analysis on Balanced and Unbalanced Rotors Supported by Oil- and Water-Lubricated Journal Bearings. Machines 2024, 12, 675. [Google Scholar] [CrossRef]
- Lund, J. Review of the concept of dynamic coefficients for fluid film journal bearings. J. Tribol. 1987, 109, 37–41. [Google Scholar] [CrossRef]
- Qiu, Z.; Tieu, A. The effect of perturbation amplitudes on eight force coefficients of journal bearings. Tribol. Trans. 1996, 39, 469–475. [Google Scholar] [CrossRef]
- Czołczyński, K. How to obtain stiffness and damping coefficients of gas bearings. Wear 1996, 201, 265–275. [Google Scholar] [CrossRef]
- Nishimura, A.; Inoue, T.; Watanabe, Y. Nonlinear analysis and characteristic variation of self-excited vibration in the vertical rotor system due to the flexible support of the journal bearing. J. Vib. Acoust. 2018, 140, 011016. [Google Scholar] [CrossRef]
- Choy, F.; Braun, M.; Hu, Y. Nonlinear effects in a plain journal bearing: Part 1—Analytical study. J. Tribol. 1991, 113, 555–561. [Google Scholar] [CrossRef]
- Chu, C.S.; Wood, K.L.; Busch-Vishniac, I.J. A nonlinear dynamic model with confidence bounds for hydrodynamic bearings. J. Tribol. 1998, 120, 595–604. [Google Scholar] [CrossRef]
- Adiletta, G.; Guido, A.R.; Rossi, C. Chaotic motions of a rigid rotor in short journal bearings. Nonlinear Dyn. 1996, 10, 251–269. [Google Scholar] [CrossRef]
- Andréas, L.S.; De Santiago, O. Identification of Journal Bearing Force Coefficients under High Dynamic Loading Centered Static Operation. Tribol. Trans. 2005, 48, 9–17. [Google Scholar] [CrossRef]
- Meruane, V.; Pascual, R. Identification of nonlinear dynamic coefficients in plain journal bearings. Tribol. Int. 2008, 41, 743–754. [Google Scholar] [CrossRef]
- Tian, L.; Wang, W.J.; Peng, Z.J. Dynamic behaviours of a full floating ring bearing supported turbocharger rotor with engine excitation. J. Sound Vib. 2011, 330, 4851–4874. [Google Scholar] [CrossRef]
- Ying, G.; Meng, G.; Jing, J. Turbocharger rotor dynamics with foundation excitation. Arch. Appl. Mech. 2008, 79, 287–299. [Google Scholar] [CrossRef]
- Dakel, M.; Baguet, S.; Dufour, R. Nonlinear dynamics of a support-excited flexible rotor with hydrodynamic journal bearings. J. Sound Vib. 2014, 333, 2774–2799. [Google Scholar] [CrossRef]
- Weimin, W.; Lihua, Y.; Tiejun, W.; Lie, Y. Nonlinear dynamic coefficients prediction of journal bearings using partial derivative method. Proc. Inst. Mech. Eng. Part J J. Eng. Tribol. 2012, 226, 328–339. [Google Scholar] [CrossRef]
- Smolík, L.; Hajžman, M.; Byrtus, M. Investigation of bearing clearance effects in dynamics of turbochargers. Int. J. Mech. Sci. 2017, 127, 62–72. [Google Scholar] [CrossRef]
- Dyk, Š.; Smolík, L.; Hajžman, M. Effect of various analytical descriptions of hydrodynamic forces on dynamics of turbochargers supported by floating ring bearings. Tribol. Int. 2018, 126, 65–79. [Google Scholar] [CrossRef]
- Chasalevris, A. Stability and Hopf bifurcations in rotor-bearing-foundation systems of turbines and generators. Tribol. Int. 2020, 145, 106154. [Google Scholar] [CrossRef]
- Li, Y.; Liang, F.; Zhou, Y.; Ding, S.; Du, F.; Zhou, M.; Bi, J.; Cai, Y. Numerical and experimental investigation on thermohydrodynamic performance of turbocharger rotor-bearing system. Appl. Therm. Eng. 2017, 121, 27–38. [Google Scholar] [CrossRef]
- Singh, A.; Gupta, T.C. Effect of rotating unbalance and engine excitations on the nonlinear dynamic response of turbocharger flexible rotor system supported on floating ring bearings. Arch. Appl. Mech. 2020, 90, 1117–1134. [Google Scholar] [CrossRef]
- Conley, B.; Sadeghi, F. Experimental and Analytical Investigation of Turbocharger Whirl and Dynamics. Tribol. Trans. 2020, 64, 239–252. [Google Scholar] [CrossRef]
- Zhang, Y.; Wang, W.; Wei, D.; Wang, G.; Xu, J.; Liu, K. Coupling analysis of tribological and dynamical behavior for a thermal turbulent fluid lubricated floating ring bearing-rotor system at ultra-high speeds. Tribol. Int. 2022, 165, 107325. [Google Scholar] [CrossRef]
- Dyk, Š.; Rendl, J.; Byrtus, M.; Smolík, L. Dynamic coefficients and stability analysis of finite-length journal bearings considering approximate analytical solutions of the Reynolds equation. Tribol. Int. 2019, 130, 229–244. [Google Scholar] [CrossRef]
- Dyk, Š.; Smolík, L.; Rendl, J. Predictive capability of various linearization approaches for floating-ring bearings in nonlinear dynamics of turbochargers. Mech. Mach. Theory 2020, 149, 103843. [Google Scholar] [CrossRef]
- Smolík, L.; Dyk, Š. Towards efficient and vibration-reducing full-floating ring bearings in turbochargers. Int. J. Mech. Sci. 2020, 175, 105516. [Google Scholar] [CrossRef]
- Miraskari, M.; Hemmati, F.; Gadala, M.S. Nonlinear Dynamics of Flexible Rotors Supported on Journal Bearings—Part I: Analytical Bearing Model. J. Tribol. 2018, 140, 021704. [Google Scholar] [CrossRef]
- Miraskari, M.; Hemmati, F.; Gadala, M.S. Nonlinear Dynamics of Flexible Rotors Supported on Journal Bearings—Part II: Numerical Bearing Model. J. Tribol. 2018, 140, 021705. [Google Scholar] [CrossRef]
- Sayed, H.; El-Sayed, T.A. A novel method to evaluate the journal bearing forces with application to flexible rotor model. Tribol. Int. 2022, 173, 107593. [Google Scholar] [CrossRef]
- Sayed, H.; El-Sayed, T.A. Nonlinear dynamics and bifurcation analysis of journal bearings based on second order stiffness and damping coefficients. Int. J. Non-Linear Mech. 2022, 142, 103972. [Google Scholar] [CrossRef]
- Ma, H.; Wang, X.; Niu, H.; Wen, B. Oil-film instability simulation in an overhung rotor system with flexible coupling misalignment. Arch. Appl. Mech. 2015, 85, 893–907. [Google Scholar] [CrossRef]
- Hu, L.; Liu, Y.; Zhao, L.; Zhou, C. Nonlinear dynamic behaviors of circumferential rod fastening rotor under unbalanced pre-tightening force. Arch. Appl. Mech. 2016, 86, 1621–1631. [Google Scholar] [CrossRef]
- Machado, T.H.; Storti, G.C. Nonlinear model for wear effects in hydrodynamic bearings applied to rotating systems. In Nonlinear Dynamics of Structures, Systems and Devices: Proceedings of the First International Nonlinear Dynamics Conference (NODYCON 2019), Roma, Italy, 17–20 February 2019; Springer International Publishing: Berlin/Heidelberg, Germany, 2019; Volume I, pp. 561–568. [Google Scholar]
- Feng, H.; Jiang, S.; Ji, A. Investigations of the static and dynamic characteristics of water-lubricated hydrodynamic journal bearing considering turbulent, thermohydrodynamic and misaligned effects. Tribol. Int. 2019, 130, 245–260. [Google Scholar] [CrossRef]
- Zhu, D.; Jane Wang, Q. Effect of roughness orientation on the elastohydrodynamic lubrication film thickness. J. Tribol. 2013, 135, 031501. [Google Scholar] [CrossRef]
- Venner, C.H.; Lubrecht, A.A. (Eds.) Multi-Level Methods in Lubrication; Elsevier: Amsterdam, The Netherlands, 2000; Volume 37. [Google Scholar]
- Ebrat, O.; Mourelatos, Z.P.; Vlahopoulos, N.; Vaidyanathan, K. Calculation of journal bearing dynamic characteristics including journal misalignment and bearing structural deformation©. Tribol. Trans. 2004, 47, 94–102. [Google Scholar] [CrossRef]
- El-Sayed, T.A.; Sayed, H. Bifurcation analysis of rotor/bearing system using third-order journal bearing stiffness and damping coefficients. Nonlinear Dyn. 2021, 107, 123–151. [Google Scholar] [CrossRef]























| Bearing Parameter | Specification | Rotor Parameter | Specification |
|---|---|---|---|
| Bearing length L (mm) | 20 | Shaft radius R1 (mm) | 30 |
| Bearing diameter D (mm) | 20 | Shaft length l (mm) | 450 |
| Radial clearance c (μm) | 100 | Density ρ (kg/m3) | 7850 |
| Viscosity η (Pa·s) | 0.0135 | Load W (N) | 500 |
| Sommerfeld number S | 0.01~1 | Eccentricity | 0.1~0.9 |
Disclaimer/Publisher’s Note: The statements, opinions and data contained in all publications are solely those of the individual author(s) and contributor(s) and not of MDPI and/or the editor(s). MDPI and/or the editor(s) disclaim responsibility for any injury to people or property resulting from any ideas, methods, instructions or products referred to in the content. |
© 2025 by the authors. Licensee MDPI, Basel, Switzerland. This article is an open access article distributed under the terms and conditions of the Creative Commons Attribution (CC BY) license (https://creativecommons.org/licenses/by/4.0/).
Share and Cite
Chen, Y.; Zhao, Z.; Zhang, H.; Li, X.; Shi, Z. Analytical and Experimental Investigation of Nonlinear Dynamic Characteristics of Hydrodynamic Bearings for Oil Film Instability Detection. Machines 2025, 13, 444. https://doi.org/10.3390/machines13060444
Chen Y, Zhao Z, Zhang H, Li X, Shi Z. Analytical and Experimental Investigation of Nonlinear Dynamic Characteristics of Hydrodynamic Bearings for Oil Film Instability Detection. Machines. 2025; 13(6):444. https://doi.org/10.3390/machines13060444
Chicago/Turabian StyleChen, Yang, Zequn Zhao, Hao Zhang, Xin Li, and Zhanqun Shi. 2025. "Analytical and Experimental Investigation of Nonlinear Dynamic Characteristics of Hydrodynamic Bearings for Oil Film Instability Detection" Machines 13, no. 6: 444. https://doi.org/10.3390/machines13060444
APA StyleChen, Y., Zhao, Z., Zhang, H., Li, X., & Shi, Z. (2025). Analytical and Experimental Investigation of Nonlinear Dynamic Characteristics of Hydrodynamic Bearings for Oil Film Instability Detection. Machines, 13(6), 444. https://doi.org/10.3390/machines13060444
