Development and Research of the MOCVD Cleaning Robot
Abstract
1. Introduction
2. Overall Design
2.1. Selection of Cleaning Robot
- Degrees of Freedom: The end-effector must be able to travel in both vertical and horizontal directions due to the numerous surfaces in the cleaning objects; therefore, it should have a minimum of five degrees of freedom.
- Working Range: It must traverse the end-effector’s range of motion while staying clear of the MOCVD structure and the program-designated safety zones.
- Load Capacity: The robot’s load capacity should be more than 7 kg in order to guarantee sufficient contact pressure between the cleaning instruments and surfaces.
2.2. Design of the End-Effector
- The size of the end-effector;
- The contact pressure between the tool and the surface to be cleaned during the cleaning task;
- The handling of splattered particles generated during the cleaning process.
2.3. System Overall Design
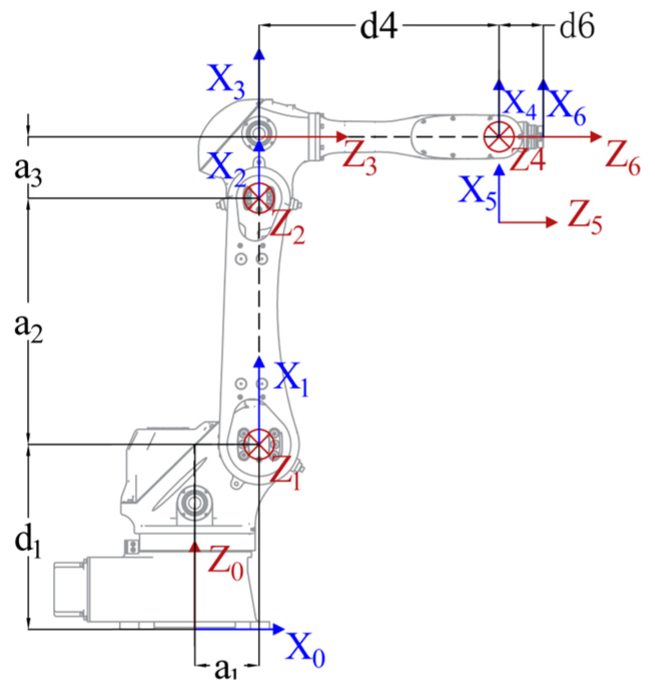
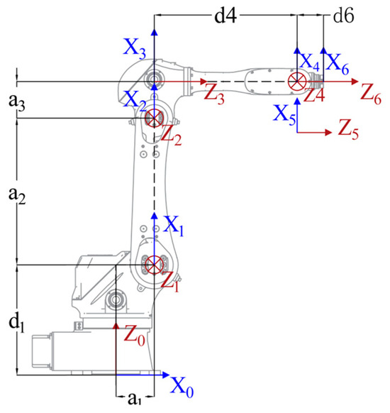
3. Modeling and Kinematic Analysis
4. Research on Path Planning and Trajectory Tracking Algorithms
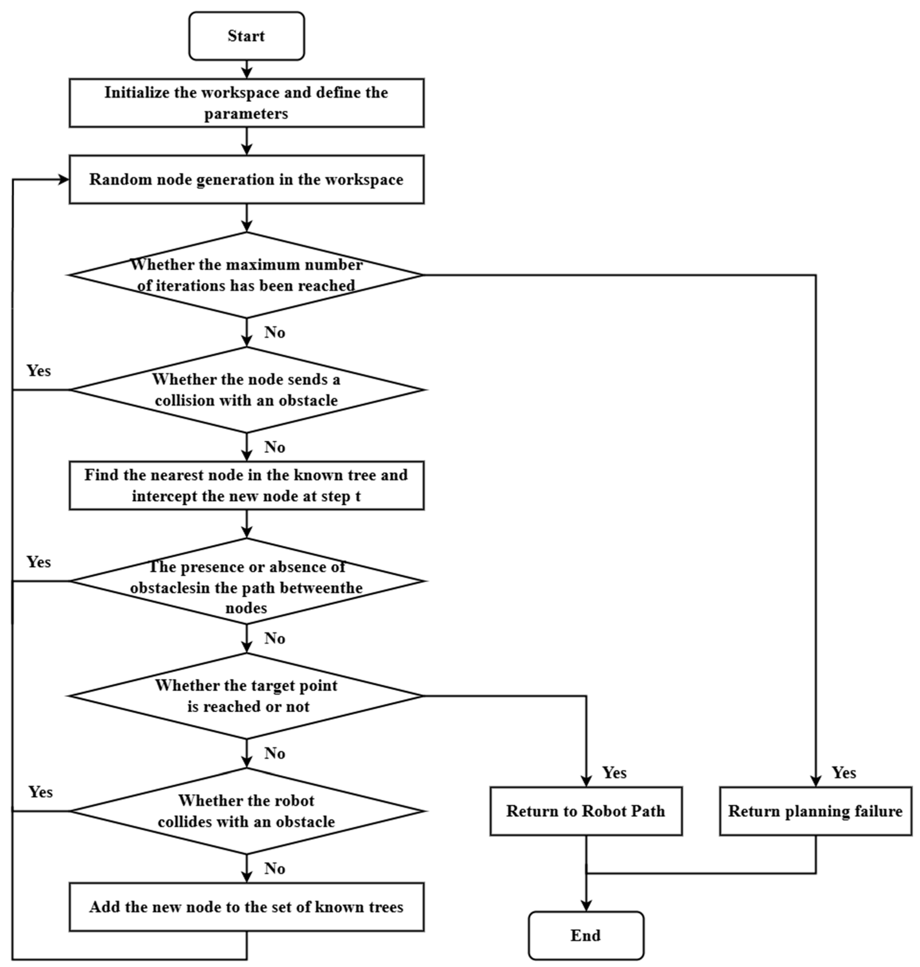
4.1. Robot RRT Path Planning
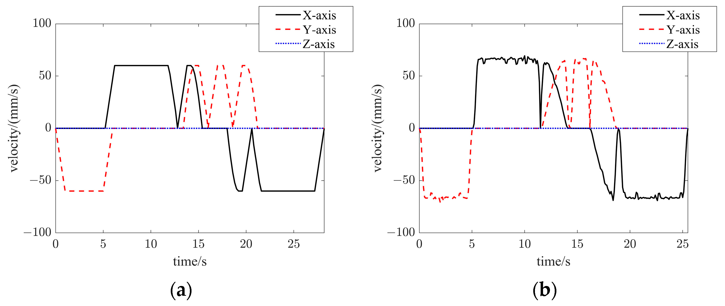
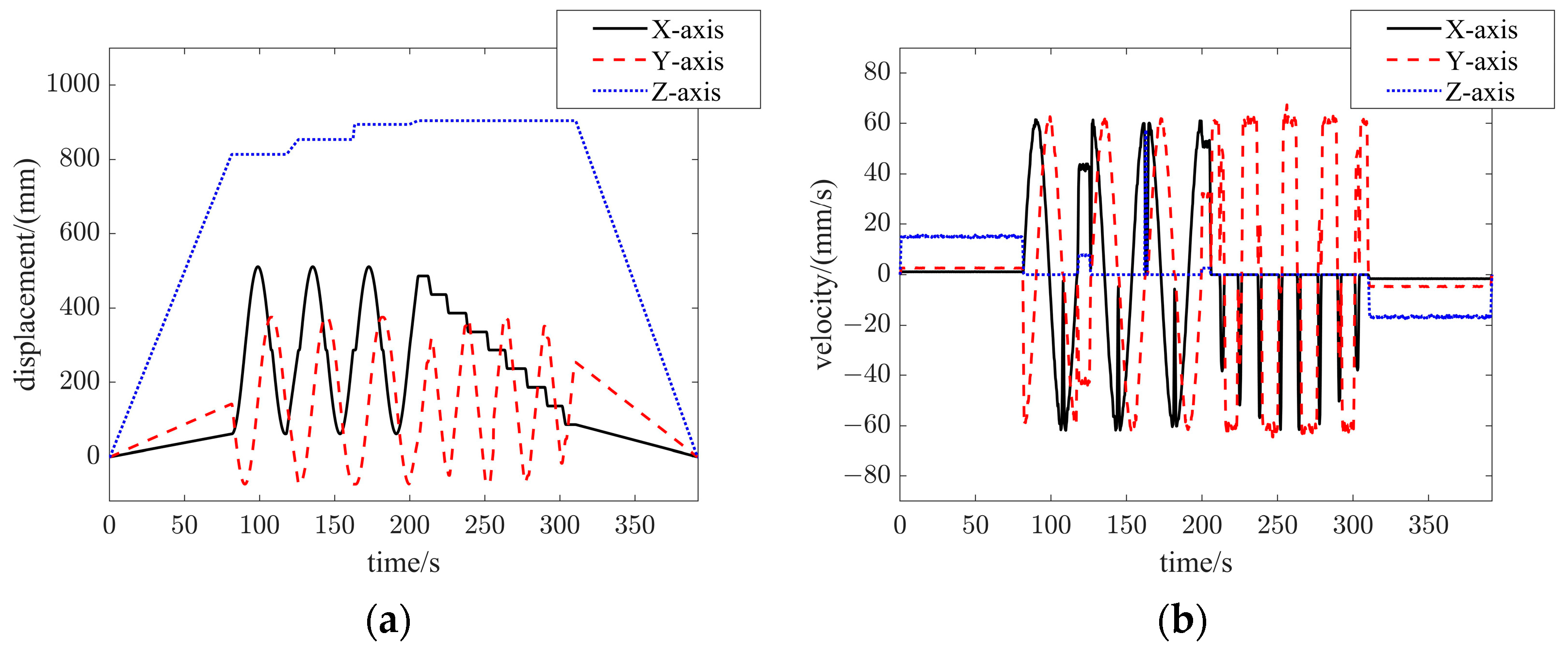
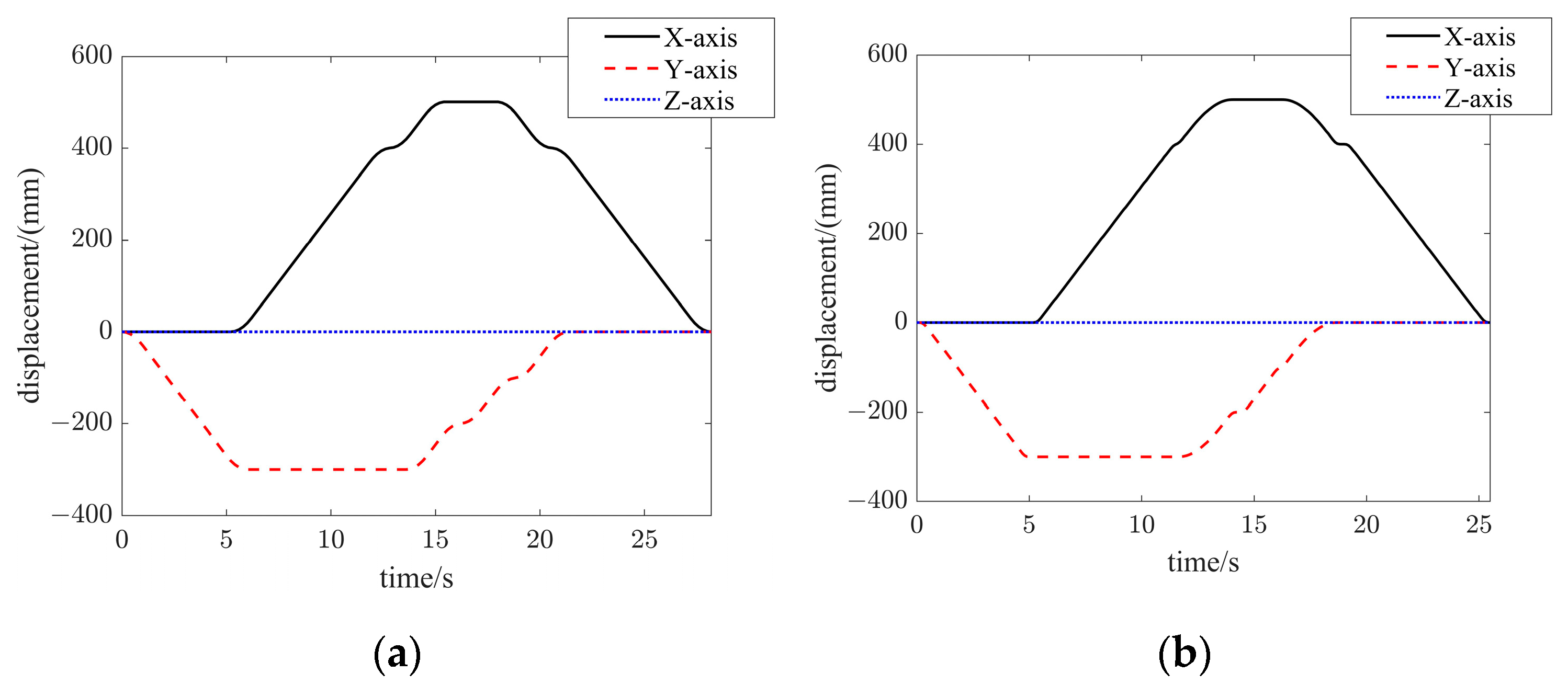
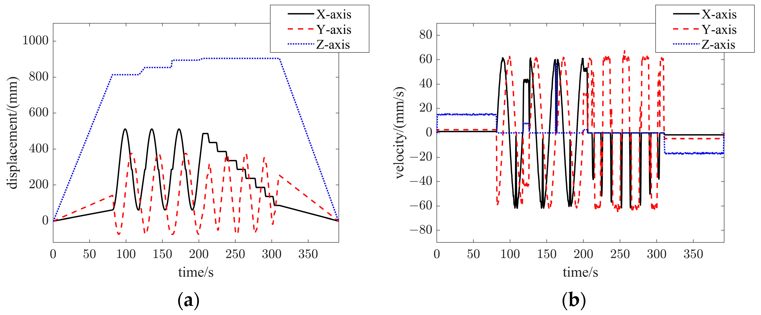
4.2. Robot Velocity Planning
4.3. Robot Fault Tolerance Control
5. Control System
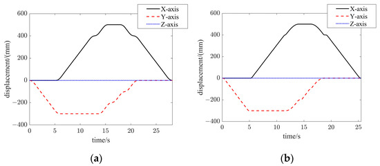
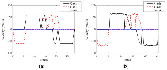
6. Results
7. Conclusions
- The kinematic model of the cleaning robot was established based on the standard D-H parameters, and the forward and inverse kinematics equations were solved. A comparative analysis with the commercial software RokaeStudio 9.1.0.6281 revealed that the maximum positional error of the robot’s kinematic equations was 0.265 mm, and the maximum angular error was 0.550°, both within the allowable error range for the robot’s forward and inverse kinematic solutions.
- This study addresses the issue of end-effector initial position deviations in cleaning robots caused by prolonged work in complex environments. A fault-tolerant motion planning algorithm was designed based on sliding mode control theory, using the robot’s end-effector position as the control variable. The algorithm was modeled and validated through simulations in MATLAB. The results demonstrated that, with an initial position deviation of 14.270 mm, the controller reduced the deviation to 0.192 mm within 1.6 s. Furthermore, after correcting the initial positioning error, the maximum trajectory tracking error during subsequent operations was only 1.349 mm.
- Based on Raspberry Pi 4B and STM32F103, a hardware platform for the cleaning robot was developed to validate the RRT path planning algorithm, path post-processing operations, and the robot velocity planning algorithm. The experimental results showed that the RRT algorithm generated paths with an average length of 2586.250 mm and an average computation time of 0.746 s. After path post-processing, the average path length was reduced to 2306.690 mm, representing a reduction of 10.81%, with significantly improved path smoothness. Furthermore, the results of the Robot velocity planning algorithm demonstrated its capability to meet the practical application requirements.
- In practical cleaning experiments, a comparative analysis of before- and after-cleaning effects confirmed that the cleaning robot achieved results meeting the standards required for subsequent epitaxial growth processes.
Author Contributions
Funding
Data Availability Statement
Conflicts of Interest
Acronyms
| GaN | Gallium nitride |
| MOCVD | Metal–Organic Chemical Vapor Deposition |
| CIOMP | Changchun Institute of Optics, Fine Mechanics and Physics, Chinese Academy of Sciences |
| UCAS | University of Chinese Academy of Sciences |
| SCU | Sichuan University |
| JLU | Jilin University |
| SIAT | Shenzhen Advanced Institute of Technology, Chinese Academy of Sciences |
| CAN | Controller Area Network |
| D-H parameters | Denavit–Hartenberg parameters |
| ROS | Robot Operating System |
| RRT | Rapidly exploring Random Trees |
| HMI | Human–Machine Interface |
| PC | Personal Computer |
References
- Yang, X.; Shen, B. Epitaxial Growth of GaN Based RF Electronic Materials on Si Substrates. JSC 2023, 52, 723. [Google Scholar]
- Wang, Z.-G. Research progress on semiconductor optoelectronic information functional materials. Adv. Mater. Ind. 2009, 1, 65–73. [Google Scholar] [CrossRef]
- Manasevit, H.M. Single-crystal gallium arsenide on insulating substrates. Appl. Phys. Lett. 1968, 12, 156–159. [Google Scholar] [CrossRef]
- Kaplar, R.J.; Allerman, A.A.; Armstrong, A.M.; Crawford, M.H.; Dickerson, J.R.; Fischer, A.J.; Baca, A.G.; Douglas, E.A. Review—Ultra-Wide-Bandgap AlGaN Power Electronic Devices. ECS J. Solid State Sci. Technol. 2016, 6, Q3061. [Google Scholar] [CrossRef]
- Creighton, J.R.; Breiland, W.G.; Coltrin, M.E.; Pawlowski, R.P. Gas-Phase Nanoparticle Formation during AlGaN Metalorganic Vapor Phase Epitaxy. Appl. Phys. Lett. 2002, 81, 2626–2628. [Google Scholar] [CrossRef]
- Daigo, Y.; Watanabe, T.; Ishiguro, A.; Ishii, S.; Moriyama, Y. Influence and Suppression of Harmful Effects Due to By-Product in CVD Reactor for 4H-SiC Epitaxy. IEEE Trans. Semicond. Manuf. 2021, 34, 340–345. [Google Scholar] [CrossRef]
- Shioda, K.; Kurashima, K.; Habuka, H.; Ito, H.; Mitani, S.; Takahashi, Y. Quick and Practical Cleaning Process for Silicon Carbide Epitaxial Reactor. MSF 2018, 924, 96–99. [Google Scholar] [CrossRef]
- Gurary, A.I.; Deshpande, M.; Paranjpe, A. Deposition System with Integrated Carrier Cleaning Modules. U.S. Patent No. 12,104,242, 1 October 2024. [Google Scholar]
- Li, D.; Zhang, S.; Sun, X.; Ben, J.; Lü, S.; Jiang, K. Cleaning Device. C.N. Patent No.117862148A, 12 April 2024. [Google Scholar]
- Nagata, F.; Hase, T.; Haga, Z.; Omoto, M.; Watanabe, K. Intelligent Desktop NC Machine Tool with Compliant Motion Capability. Artif Life Robot. 2009, 13, 423–427. [Google Scholar] [CrossRef]
- Dai, J.; Chen, C.-Y.; Zhu, R.; Yang, G.; Wang, C.; Bai, S. Suppress Vibration on Robotic Polishing with Impedance Matching. Actuators 2021, 10, 59. [Google Scholar] [CrossRef]
- Zhang, L.; Zhang, C.; Fan, W. Robotic Magnetorheological Finishing Technology Based on Constant Polishing Force Control. Appl. Sci. 2022, 12, 3737. [Google Scholar] [CrossRef]
- Zhang, X.; Sun, Y. Development of Pneumatic Force-Controlled Actuator for Automatic Robot Polishing Complex Curved Plexiglass Parts. Machines 2023, 11, 446. [Google Scholar] [CrossRef]
- Fan, C.; Zhao, J.; Zhang, L.; Wong, Y.S.; Hong, G.S.; Zhou, W. Modeling and Analysis of the Material Removal Profile for Free Abrasive Polishing with Sub-Aperture Pad. J. Mater. Process. Technol. 2014, 214, 285–294. [Google Scholar] [CrossRef]
- Mohsin, I.; He, K.; Li, Z.; Zhang, F.; Du, R. Optimization of the Polishing Efficiency and Torque by Using Taguchi Method and ANOVA in Robotic Polishing. Appl. Sci. 2020, 10, 824. [Google Scholar] [CrossRef]
- Joshi, K.; Melkote, S.N.; Anderson, M.; Chaudhari, R. Investigation of Cycle Time Behavior in the Robotic Grinding Process. CIRP J. Manuf. Sci. Technol. 2021, 35, 315–322. [Google Scholar] [CrossRef]
- Ge, J.; Deng, Z.; Li, Z.; Liu, T.; Zhuo, R.; Chen, X. Adaptive Parameter Optimization Approach for Robotic Grinding of Weld Seam Based on Laser Vision Sensor. Robot. Comput.-Integr. Manuf. 2023, 82, 102540. [Google Scholar] [CrossRef]
- Mohammad, A.E.K.; Hong, J.; Wang, D. Design of a Force-Controlled End-Effector with Low-Inertia Effect for Robotic Polishing Using Macro-Mini Robot Approach. Robot. Comput.-Integr. Manuf. 2018, 49, 54–65. [Google Scholar] [CrossRef]
- Li, Y.; Xue, Y.; Yang, F.; Cai, H.; Li, H. Comprehensive Compensation Method for Motion Trajectory Error of End-Effector of Cable-Driven Parallel Mechanism. Machines 2023, 11, 520. [Google Scholar] [CrossRef]
- Shi, X.; Zhang, F.; Qu, X.; Liu, B.; Wang, J. Position and Attitude Measurement and Online Errors Compensation for KUKA Industrial Robots. J. Mech. Eng. 2017, 53, 1–7. [Google Scholar] [CrossRef]
- Zhang, S.; Zhang, M.; Lv, X.; Tian, Y. Analysis and Optimization of the Static Error on 5R Serial Robot. Mach. Des. Manuf. 2018, 6, 250–253. [Google Scholar] [CrossRef]
- Zhang, G.; Zhang, J.; Jiang, Y.; Yang, G.; Zhang, C. Review of robotic end-effector with force control. Chin. J. Eng. Des. 2018, 25, 617–629. [Google Scholar]
- Denavit, J. A Kinematic Notation for Lower Pair Mechanisms Based on Matrices. J. Appl. Mech. 1955, 22, 215–221. [Google Scholar] [CrossRef]
- LaValle, S. Rapidly-Exploring Random Trees: A New Tool for Path Planning. Annu. Res. Rep. 1998. [Google Scholar]
- Hu, L.; Ma, W.; Zhao, P.; Lu, Z. Non-singular fast terminal sliding mode control method for 6-DOF manipulator. J. Jilin Univ. Eng. Technol. Ed. 2014, 44, 735–741. [Google Scholar] [CrossRef]
- Neila, M.B.R.; Tarak, D. Adaptive Terminal Sliding Mode Control for Rigid Robotic Manipulators. Int. J. Autom. Comput. 2011, 8, 215–220. [Google Scholar] [CrossRef]
- Liu, J.; Sun, F. Research and development on theory and algorithms of sliding mode control. Control Theory Appl. 2007, 23, 407–418. [Google Scholar]
- Zhang, X.; Liu, H.; Ba, P. Static Error Analysis of Grinding Manipulator Based on Total Differential Model. Mach. Tool Hydraul. 2016, 44, 1–4. [Google Scholar] [CrossRef]
- Mohan, S. Error Analysis and Control Scheme for the Error Correction in Trajectory-Tracking of a Planar 2PRP-PPR Parallel Manipulator. Mechatronics 2017, 46, 70–83. [Google Scholar] [CrossRef]
- Fault-Tolerant Formation Control of Nonholonomic Robots Using Fast Adaptive Gain Nonsingular Terminal Sliding Mode Control|IEEE Journals & Magazine|IEEE Xplore. Available online: https://ieeexplore.ieee.org/document/8293786 (accessed on 17 December 2024).
- Li, K.; Yang, J.; Yuan, C.; Xu, J.; Dai, X.; Luo, J. Fault-Tolerant Motion Planning of Redundant Manipulator with Initial Position Error. In Proceedings of the 2018 IEEE 7th Data Driven Control and Learning Systems Conference (DDCLS), Enshi, China, 25–27 May 2018; pp. 533–538. [Google Scholar]
- Dai, H.; Zeng, X.; You, H.; Su, S.; Zeng, Y.; Lin, Z. Pose Measurement and Error Compensation of the Robot End-Effector Based on an Optical Tracking System. Jqr 2019, 41, 206–215. [Google Scholar] [CrossRef]
- Quigley, M. ROS: An Open-Source Robot Operating System. In Proceedings of the IEEE International Conference on Robotics and Automation, Kobe, Japan, 12–17 May 2009. [Google Scholar]

























| Jointi | ai (mm) | αi (°) | di (mm) |
|---|---|---|---|
| 1 | 170 | 90 | 488 |
| 2 | 650 | 0 | 0 |
| 3 | 162 | −90 | 0 |
| 4 | 0 | 90 | 634.4 |
| 5 | 0 | −90 | 0 |
| 6 | 0 | 0 | 117 |
| Average Path Length/mm | Average Calculation Duration/s | Average Sampling Number of Points |
|---|---|---|
| 2586.25 | 0.746 | 878.5 |
Disclaimer/Publisher’s Note: The statements, opinions and data contained in all publications are solely those of the individual author(s) and contributor(s) and not of MDPI and/or the editor(s). MDPI and/or the editor(s) disclaim responsibility for any injury to people or property resulting from any ideas, methods, instructions or products referred to in the content. |
© 2025 by the authors. Licensee MDPI, Basel, Switzerland. This article is an open access article distributed under the terms and conditions of the Creative Commons Attribution (CC BY) license (https://creativecommons.org/licenses/by/4.0/).
Share and Cite
Ren, Y.; Dong, Z. Development and Research of the MOCVD Cleaning Robot. Machines 2025, 13, 202. https://doi.org/10.3390/machines13030202
Ren Y, Dong Z. Development and Research of the MOCVD Cleaning Robot. Machines. 2025; 13(3):202. https://doi.org/10.3390/machines13030202
Chicago/Turabian StyleRen, Yibo, and Zengwen Dong. 2025. "Development and Research of the MOCVD Cleaning Robot" Machines 13, no. 3: 202. https://doi.org/10.3390/machines13030202
APA StyleRen, Y., & Dong, Z. (2025). Development and Research of the MOCVD Cleaning Robot. Machines, 13(3), 202. https://doi.org/10.3390/machines13030202
