Abstract
Using the numerical simulation of the Reynolds-averaged Navier–Stokes method, the effects of two new baffle structures on the heat transfer performance of a composite cooling structure based on latticework in the leading-edge region and the mid-chord region of the turbine blade were studied. Further, the heat transfer performance of the composite cooling structure caused by the difference between the rectangular channel and the wedge channel is compared. The application potential of the new baffle is comprehensively evaluated, which provides design experience for the application of the baffle in the composite cooling structure of the leading-edge region and the mid-chord region of the turbine blade. It is found that the baffle significantly improves the comprehensive heat transfer capacity and flow rate in the leading-edge channel region and the mid-chord channel non-transition region. The baffle increases the comprehensive heat transfer coefficient of the leading-edge channel by 26.5% and the flow rate by 14.5%. The baffle leads to an increase in the comprehensive heat transfer coefficient and flow rate in the mid-chord channel non-transition region by 39.5% and 6.5%, respectively. However, the baffle significantly restrains the heat transfer in the mid-chord channel transition region, resulting in an average decrease of 16.5% in the flow rate in this region. The comprehensive heat transfer performance of the continuous baffle is 4.7% higher than that of the discontinuous baffle, and the heat transfer uniformity of the composite channel based on the continuous baffle is better. Compared with the rectangular channel, the baffle increases the difference in flow distribution in each region of the wedge channel, but the effect of the baffle on the heat transfer performance parameters of the wedge channel is weakened, and the heat transfer distribution is more uniform.
1. Introduction
During the process of rapid development in gas turbine technology, turbine inlet temperatures have reached 1800 K [1]. The requirements of temperature resistance and structural strength of turbine blades are very strict. Turbine blade cooling technology, as an effective technical means to protect turbine blades, has been vigorously developed in the development of gas turbine technology. In the internal cooling structure of turbine blades, the latticework cooling structure has the characteristics of strong heat transfer capability, high structural strength, and good heat transfer uniformity [2,3], and has great application potential in the design of internal cooling systems for turbine blades.
At present, researchers have carried out extensive work in the optimization of latticework heat transfer performance and the study of flow and heat transfer characteristics of composite cooling structures based on latticework. Ruan et al. [4] used numerical simulation methods to analyze the heat transfer performance of the rib perforation optimization structure based on a latticework U-shaped subchannel. It is found that the U-shaped subchannel combined with rib perforation structure greatly reduces the flow loss while improving the heat transfer performance. Sun et al. [5] studied the effect of bleed holes on the flow and heat transfer characteristics of latticework based on numerical simulation. The results show that the appropriate flow loss in the latticework channel can significantly reduce the flow loss without changing the heat transfer intensity. Bu et al. [6] combined experiment and numerical simulation to study the effects of adding connecting channels on the side walls of latticework on the flow and heat transfer characteristics of composite cooling structures. It is found that when the connecting channel is added to the side wall of the latticework, the heat transfer intensity of the latticework cooling structure decreases, the flow resistance decreases, obviously, and the comprehensive heat transfer capacity increases. Additionally, the flow loss on the side wall of the latticework leads to an uneven heat transfer distribution in the whole latticework. Du et al. [7] studied the flow and heat transfer characteristics of a latticework and jet-cooling structure by numerical simulation, and analyzed the influence process between the latticework and jet-cooling structure. It is found that the jet hole leads to the weakening of the rotating eddy current in the latticework turning channel, which reduces the heat transfer capacity of the latticework, but enhances the heat transfer capacity in the jet-cooling structure. Li et al. [8] studied the heat transfer performance of blade leading-edge jet cooling based on latticework structure by numerical simulation. It is found that the latticework structure can provide superior inflow conditions for jet cooling, and the longitudinal vortex in the latticework channel promotes the heat transfer intensity and heat transfer uniformity of the blade leading-edge cavity. Through the study of the flow and heat transfer characteristics of the composite cooling structure based on the latticework, it is found that the latticework cooling structure has great application potential in the internal cooling system of the leading edge and the mid-chord of the turbine blade.
Figure 1 shows the common internal cooling structure of turbine blades, in which the leading-edge region of the blade is related to the cooling channel of the mid-chord region. From Figure 1a, the S-shaped cooling channel based on the baffle has a clearly distributed flow path [9]. The baffle structure is arranged in the channel to control the flow direction of the cooling air, ensuring the heat transfer demand in each region of the blade and improving the utilization efficiency of the cooling air. As shown in Figure 1b, in the internal cooling structure of the turbine blade based on the latticework, there is no baffle structure between the leading-edge region and the mid-chord region of the blade, and there is no clear boundary between the regions of the blade, so the flow path of the cooling air is complex and blurred [10]. When the working temperature of the turbine blade increases, the demand for cooling air in the leading-edge region of the blade increases significantly [11]. Referring to the design characteristics of the S-type cooling channel, adding a baffle structure in the composite cooling area of the leading edge and mid-chord of the turbine blade, based on the latticework structure, is an effective method to control the flow direction and flow rate of cooling air.
Figure 1.
Common internal cooling structure of a turbine blade. (a) Turbulence rib [2]. (b) Latticework [2].
In this regard, Castelli et al. [12] divided the latticework into two equal parts through the baffle. Through experimental research, it was found that the heat transfer intensity of the latticework after division was significantly increased, and the flow loss was also significantly increased. In the low Reynolds number range, the comprehensive heat transfer capacity of the latticework divided by the baffle is higher, indicating that the baffle structure has certain application potential in optimizing the heat transfer performance of the latticework. Tanda and Satta [13] combined experimental and numerical simulation methods to study the flow and heat transfer characteristics in rectangular ribbed channels. It is found that the heat transfer capacity of the rectangular channel is enhanced when the segmented ribs are added to the ribbed channel. When the number of segmented ribs is too large, the flow loss in the ribbed channel increases significantly, but the heat transfer intensity does not increase significantly. Choi et al. [14] used numerical simulation to analyze the heat transfer capacity in latticework cooling channels with ribs. It is found that the addition of ribs in the latticework subchannel can enhance the heat transfer capacity of the latticework, and the flow loss in the cooling channel is also increased. The rib structure with oblique angle distribution can improve the vortex structure in the subchannel and enhance the heat transfer effect. Du et al. [15] studied the flow and heat transfer characteristics after connecting subchannels in the local area of latticework based on numerical simulation. The results show that when the connection channel is arranged near the latticework turning channel, the flow structure of the rotating vortex can be destroyed by the leakage flow, thus enhancing the heat transfer intensity near the turning channel.
Through literature research, it is found that researchers try to use baffle or rib structure to optimize the heat transfer capacity of latticework. The application value of the baffle structure is confirmed by the improvement in the overall and local heat transfer performance of the latticework. However, concerning the internal cooling system of turbine blades based on latticework, there are few studies on the correlation of cooling air between the leading-edge region and the mid-chord region. At the same time, it is necessary to further summarize the influence of the baffle structure on the flow and heat transfer characteristics of each region in the cooling channel.
In latticework cooling structure research, the cooling channel based on latticework is often modeled as a rectangular channel. However, the blade profile of the real turbine blade is along the middle arc direction, and the thickness of the blade profile increases gradually at first and then decreases gradually. The change in the blade cavity channel and the blade profile is the same. In order to improve the authenticity of the research object and ensure the reliability of the research conclusion, the researchers modeled the rectangular cooling channel as a wedge channel [16]. The height of the cooling channel in the leading edge and trailing edge of the turbine blade is smaller, and the height of the cooling channel in the mid-chord is larger. Saha et al. [17] modeled the latticework cooling channel in the trailing edge of the blade into a wedge channel, where one side of the wedge channel is an inclined plane and the other side is a non-inclined plane. The heat transfer distribution on both sides of the latticework cooling channel was studied experimentally. It is found that the distribution trend in heat transfer intensity on the inclined plane is basically the same as that on the non-inclined plane. The heat transfer intensity of the inclined plane is slightly smaller than that of the non-inclined plane. Qiao et al. [18] studied the influence of geometric parameters on the flow and heat transfer characteristics of the latticework wedge channel in the trailing edge of the blade by numerical simulation. In the process of increasing the wedge angle of the latticework wedge channel, the flow loss from the latticework increases and the heat transfer is enhanced. When the Reynolds number is small, the overall heat transfer capacity of the latticework with a smaller wedge angle is better. Zhou et al. [19] studied the difference in flow and heat transfer characteristics between the latticework rectangular channel and the wedge channel in the trailing edge of the blade by numerical simulation. It is found that at the same Reynolds number, the flow loss, heat transfer intensity, and comprehensive heat transfer performance of the latticework in the rectangular channel are better than those in the wedge channel, but the heat transfer distribution in the wedge channel is more uniform than that in the rectangular channel.
Through literature research, it was found that the researchers mainly modeled the cooling channel of the latticework in the trailing edge of the blade from a rectangular channel to a wedge channel. However, in the actual turbine blade, the internal cooling channel between the leading-edge region and the mid-chord region of the blade has an obvious height difference, so it is necessary to discuss the difference in flow and heat transfer characteristics between the rectangular channel and the wedge channel based on the latticework cooling structure in the leading-edge region and the mid-chord region of the blade.
Concerning the research status of latticework cooling structure, few studies refer to the internal cooling structure layout of the actual first-stage turbine rotor blade. In this study, two new baffle structures, a discontinuous baffle and continuous baffle, are proposed to control the flow direction and flow rate of cooling air in each region of the latticework cooling channel, and optimize the comprehensive heat transfer capacity of the cooling channel at the leading edge of the blade. The effects of two new baffle structures on the flow and heat transfer characteristics of the composite cooling structure in the leading-edge region and the mid-chord region of the turbine blade are mainly discussed. Additionally, the differences in flow and heat transfer characteristics between the rectangular and wedge cooling channels are compared and analyzed. The applicability and application potential of the new baffle structure are comprehensively analyzed, which provides design experience for the practical application of the baffle structure in the composite cooling structure of the leading-edge and mid-chord regions of the turbine blade.
2. Geometry
According to the layout of the inner cooling structures in the leading-edge region and the mid-chord region of actual turbine rotor blades, the cooling channels in the mid-chord regions of the blades are modeled as rectangular channels and wedge channels, respectively, and the leading-edge channels are modeled as semi-cylindrical channels, and the radius of the arc is equal to the height of the corresponding latticework subchannels. As shown in Figure 2, the length of the geometric model test section is L = 0.316 m, the extension section of the inlet and outlet is 0.18 m, the width of the channel is W = 0.13 m, the rib angle of the latticework is 30°, and the ratio of rib width to rib spacing b/w = 0.35. Detailed geometric model parameters are shown in Table 1.
Figure 2.
Geometric model of the composite cooling channel based on latticework.
Table 1.
Important geometric parameters (m).
As shown in Figure 2, we introduce two new baffle structures: discontinuous baffle and continuous baffle. The latticework cooling channel is divided into two parts in the width direction (y direction) by using the baffle structure. Furthermore, the composite cooling structure is divided into three heat transfer regions: the leading-edge channel region is named as the S1 region and the transition region of the mid-chord channel is named as the S2 region. The mid-chord channel non-transition region is named as the S3 region. By comparing and analyzing the three local geometric configurations, the no-baffle structure (NB), discontinuous baffle structure (DB), and continuous baffle structure (CB), two overall geometric configurations of the rectangular channel and the wedge channel are combined. The influence of the baffle structure on the flow and heat transfer characteristics of the composite cooling structure is discussed. The test scheme is shown in Table 2.
Table 2.
Test geometric scheme.
To facilitate the analysis of the flow and heat transfer characteristics in each region of the composite cooling structure in the x direction, we divide the composite cooling channel into three parts along the x direction: the X1 section is the flow acquisition section of the leading-edge channel, which indicates the interval where the leading-edge channel obtains the net flow from the latticework cooling channel. The X2 section is the flow exchange section of the leading-edge channel, which indicates the interval of cooling air flow exchange between the leading-edge channel and the latticework channel. The X3 section is the flow-loss section of the leading-edge channel, which represents the interval of the net flow loss from the leading-edge channel to the latticework cooling channel.
3. Computational Detail
3.1. Data Reduction
To facilitate the analysis of the flow and heat transfer characteristics of the cooling structure, the calculation method of each characteristic parameter is unified here. The hydraulic diameter is defined as:
where S is the effective cross-sectional area, and χ is the wetted perimeter.
The Reynolds number of cooling air is defined as:
where ρ is the cooling air density, uin is the average cooling air velocity, and μ is the cooling air dynamic viscosity.
The heat transfer intensity of the cooling structure is measured by the Nusselt number. To objectively analyze the change in the heat transfer intensity of the cooling structure, the Dittus–Boelter formula [20] is used as the reference value of the Nusselt number, and the heat transfer intensity is measured by the relative Nusselt number, which is defined as:
where λ is the thermal conductivity, hf is the convective heat transfer coefficient, and Pr is the Prandtl number.
The convective heat transfer coefficient is calculated by the heat balance method:
where Q is the heat transfer amount, q is the mass flow rate, cp is the constant pressure specific heat capacity, Tin and Tout are, respectively, the average temperature of the inlet and outlet, A is the heat transfer area, and ΔT is the temperature difference between the latticework wall and the inlet air.
The flow resistance coefficient is used to evaluate the flow loss of the cooling structure. To objectively analyze the flow resistance in the cooling channel, the Karman–Nikuradse empirical formula [20] is used as the reference value of the flow resistance coefficient, which is defined as:
where ΔPt is the total differential pressure between the inlet and outlet of the channel, and L is the flow length of the latticework.
The thermal performance factor (TPF) is used to evaluate the comprehensive heat transfer capacity of the cooling structure. It is defined as [21]:
The percentage of root mean square error (RMSE) is used to evaluate the applicability of the turbulence model, which is defined as:
where yt is the true value of the swatches, yp is the predicted value of the swatches, n is the number of swatches, and ya is the average of swatches.
3.2. Boundary Condition
The steady-state numerical simulation is carried out by using the ANSYS 2021 R1 Fluent platform. The cooling air is set as an ideal gas. The inlet boundary condition is the inlet mass flow rate, and the inlet mass flow rate is converted by the inlet Reynolds number of the cooling air. (The inlet Reynolds numbers are 20,000; 40,000; 60,000; and 80,000). As shown in Figure 2, the inlet temperature of the cooling air is 293.15 K, and there is no heat exchange between the inlet and outlet extension section. The wall temperature of the test section is 323.15 K, and the outlet pressure is constant at 101,325 Pa. The second-order upwind scheme is used to discretize the convection term in the momentum equation. The pressure and velocity are solved iteratively by the Simple algorithm.
To ensure the convergence of the calculation process, the relaxation factors of pressure, momentum, turbulent momentum, and turbulent dissipation rate are set to 0.3, 0.5, 0.5, and 0.5, respectively. The residual error of the continuity convergence criterion is less than 10−3, and the residual error of the energy equation is less than 10−6. At the same time, the relative error between the outlet mass flow and the inlet mass flow is guaranteed to be less than 0.01%. Multiple convergence criteria are used to ensure the convergence of the calculation results. In the numerical calculation process, the mass conservation equation, momentum conservation equation, and energy conservation equation of the fluid pellets are:
where ui and uj is the value of turbulence velocity, t is time, xi and xj is the coordinate component, Sm is the mass added to the continuous phase from the dispersed secondary phase, τij is the stress tensor, hk is the heat transfer coefficient of fluid, gi and Fi are, respectively, the gravity volume force and the external volume force in the i direction, and ST is a viscous dissipation term.
3.3. Mesh Information
The composite cooling structure model is meshed by Fluent Meshing, and the volume mesh is set to Poly-Hexcore mesh (as shown in Figure 3). Furthermore, the mesh of the test section is locally refined, and the near-wall boundary layer mesh is divided by the Uniform method. The height of the first layer mesh is 0.005 mm, the number of boundary layers is set to 15 layers, and the boundary-layer grid growth rate is 1.2, ensuring Yplus ≤ 1, as shown in Figure 4.
Figure 3.
Composite model mesh division.
Figure 4.
Composite model Yplus distribution.
To ensure the accuracy of the calculation results, nine kinds of cooling structure models with a different number of meshes are selected to verify the independence of the number of meshes. As shown in Figure 5, when the number of meshes exceeds 12.85 million, the average relative errors in the Nusselt number and flow resistance coefficient are less than 0.6%. Considering the research cost and computational efficiency, the mesh division of the test model is carried out with 12.85 million meshes as the reference value.
Figure 5.
Verification of mesh number independence.
3.4. Turbulence Model Validation
The k-ω SST turbulence model is used for the numerical simulation described in this study, and the reliability of the turbulence model is verified by the experimental data of Bunker et al. [22]. From Figure 6, the applicability of the k-ω SST turbulence model is comprehensively evaluated by selecting the average convective heat transfer coefficient of the latticework wall and the pressure ratio along the latticework subchannel. The percentage of RMSE is used to evaluate the prediction accuracy of the turbulence model, as shown in Table 3.
Figure 6.
Experimental verification of the turbulence model. (a) hf of latticework heat transfer channel. (b) P/Pin distribution along the latticework subchannel.
Table 3.
Error analysis of the k-ω SST turbulence model.
From Table 3, the results show that the RMSE of the k-ω SST model for the average convective heat transfer coefficient of the latticework is less than 9.3%, and the RMSE of the k-ω SST turbulence model for the pressure ratio along the latticework channel is less than 3.2%. It shows that the k-ω SST turbulence model has high prediction accuracy for the latticework cooling structure and can be used for the numerical simulation of the latticework cooling structure.
According to its governing equation, the k-ω SST turbulence model is suitable for the calculation of separated flow and rotating flow. The k-ω SST turbulence model has accurate calculation results, good calculation stability, and wide application range [23,24]. The governing equations of the k-ω SST turbulence model are:
where ūj is the average value of turbulence velocity, k is the turbulent kinetic energy, Γk and Γω are the effective diffusion coefficient, ω is the special dissipation of turbulence, Fk and Fω are the turbulence production term, Yk and Yω are the dissipation term of k and ω, and Dω is the diffusion term.
The turbulent viscosity is:
where St is the shear force constant term, F2 is the blending function, α* is the low Reynolds number correction factor, and α1 is an empirical constant term.
In the numerical calculation process, the turbulent heat transport model is shown in Formula (17). There are turbulent kinetic energy and temperature correlations in the turbulent heat transport model and in the physical parameters of the fluid. The calculation method reflects the coupling mechanism of fluid pellets flow and heat transfer in the numerical calculation process.
where τj,f is the deviatoric stress tensor, μt is the turbulent viscosity, Prt is the turbulent Prandtl number, E is the total energy, Sh is the heat of the chemical reaction and any other volumetric heat, Yj is the mass fraction, and he is the sensible enthalpy.
4. Results and Discussion
4.1. Analysis of Overall Heat Transfer Performance of the Rectangular Channel
Figure 7 shows the overall flow and heat transfer characteristics of each region of the composite cooling structure in the rectangular channel. From Figure 7, when the inlet Reynolds number increases from 20,000 to 80,000, the relative Nusselt number of each region in the rectangular channel decreases slightly, the flow resistance increases, and the comprehensive heat transfer coefficient decreases gradually. The flow distribution in each region of the rectangular channel remains basically unchanged, indicating that the change in the inlet Reynolds number does not affect the flow distribution in each region of the composite cooling channel. Furthermore, the flow rate and flow resistance coefficient of the NB model without the influence of the baffle structure increase from the S1 region to the S3 region. The S2 region has the highest heat transfer intensity and the best comprehensive heat transfer capacity.

Figure 7.
Overall heat transfer performance of the composite cooling structure in the rectangular channel. (a) Relative Nusselt number. (b) Flow resistance coefficient. (c) Comprehensive heat transfer coefficient. (d) Flow ratio.
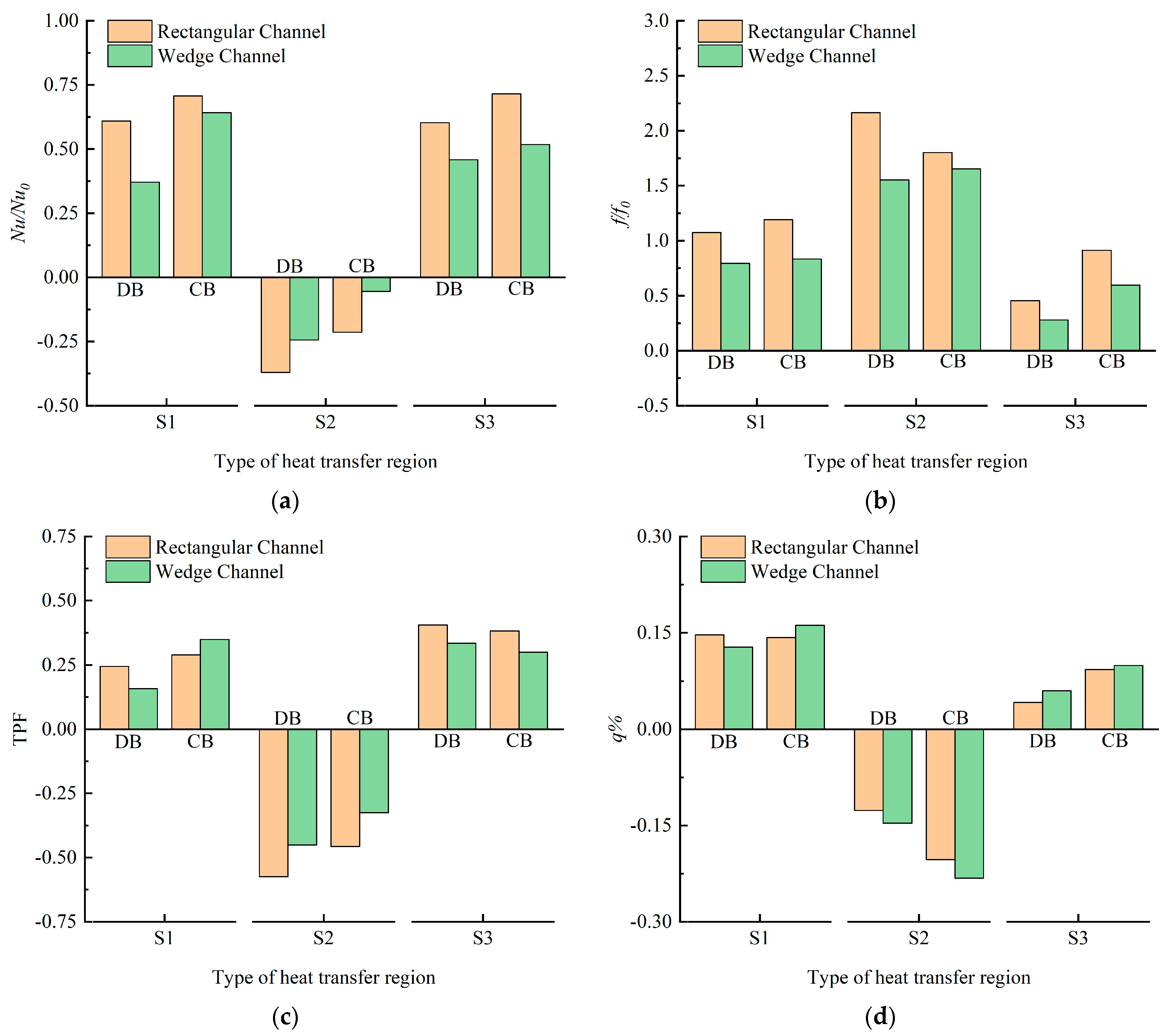
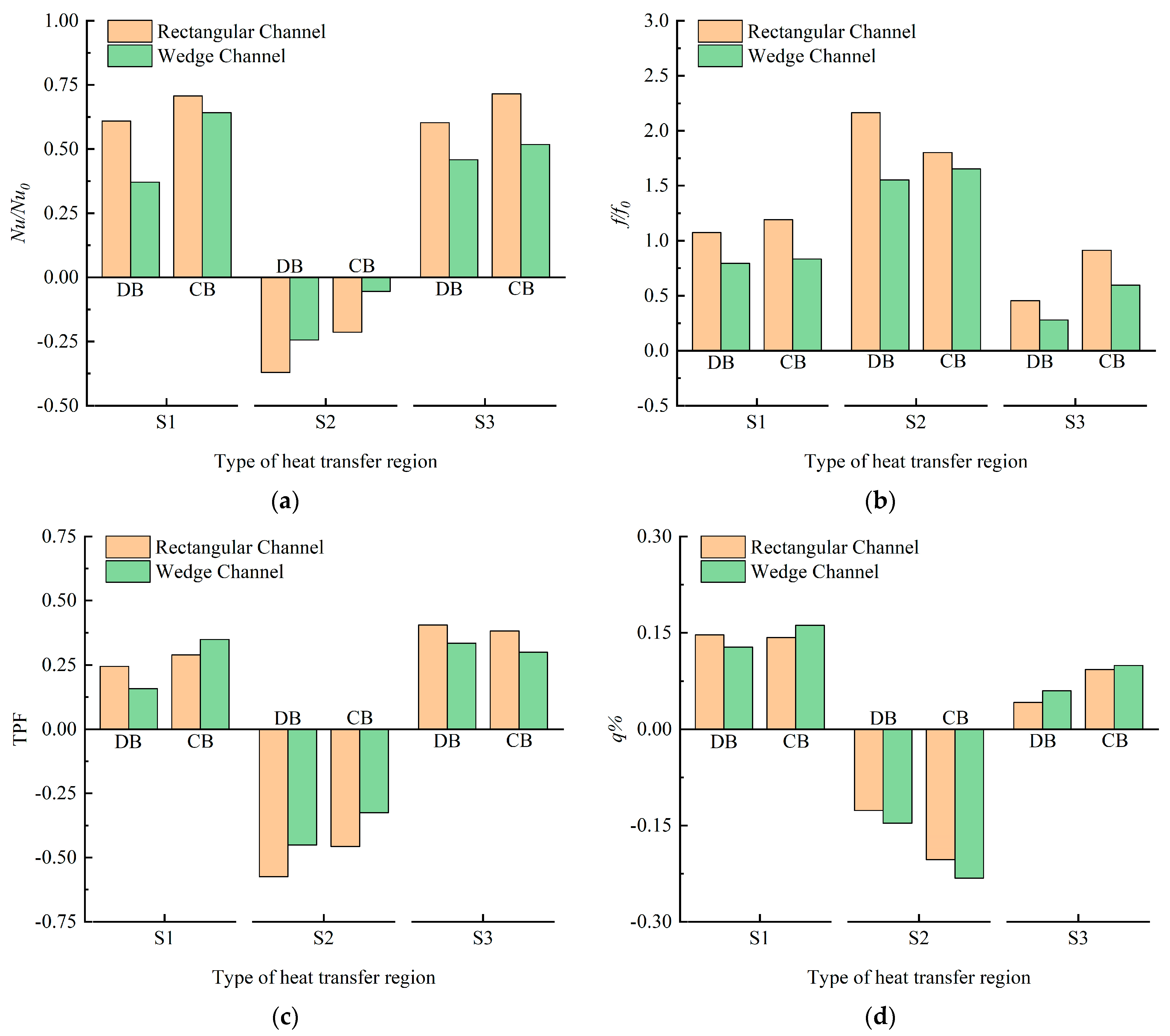
Based on the characteristic parameters shown in Figure 7, the average values of each characteristic curve are solved. Taking the average value of the characteristic parameters of the NB model as the reference value, the variation values for the characteristic parameters of the DB and CB models relative to the NB model are solved, as shown in Table 4. Through the variation characteristics of the relative values for the flow and heat transfer parameters of each baffle structure, the influence of the baffle structure on the heat transfer performance of each region in the composite cooling channel is compared and analyzed.
Table 4.
Changes in overall performance parameters in the rectangular channel.
In the S1 region, compared with the NB model, the relative Nusselt number of the DB model and the CB model increased by 60.93% and 70.73%, respectively. It shows that both the DB model and the CB model significantly improve the heat transfer intensity in the leading-edge cooling channel, and the flow resistance coefficient in the leading-edge channel also increases by more than 1 times. Through the comprehensive heat transfer coefficient, it can be found that both the DB model and the CB model significantly improve the comprehensive heat transfer capacity of the S1 region. It shows that these two baffle structures are effective in improving the heat transfer capacity of the S1 region. Additionally, the two baffle structures increase the flow rate of cooling air in the S1 region and improve the heat transport capacity in the S1 region.
In comparison, the relative Nusselt number of the CB model is 9.8% higher than that of the DB model, the flow resistance coefficient is 11.62% higher than that of the DB model, and the comprehensive heat transfer coefficient is 4.57% higher than that of the DB model. Furthermore, the flow rate in the CB model is slightly smaller than that of the DB model. It shows that the flow mixing process in the S1 region of the CB model is more intense when the cooling air flow rate is not dominant, so the flow loss is greater and the heat transfer capacity is stronger. Combined with the comprehensive heat transfer coefficient, it can be found that the CB model has a better optimization effect on the S1 region.
In the S2 region, compared with the NB model, the relative Nusselt number of the DB model and the CB model decreased by 37.01% and 21.37%, respectively, indicating that both the DB and CB models significantly reduced the heat transfer intensity in the S2 region. At the same time, the flow resistance coefficient in the S2 region also increased by about 2 times. The high flow resistance resulted in the flow rate in the S2 channel decreased by 12.68% and 20.32%, respectively, and the comprehensive heat transfer coefficient decreased by 57.48% and 45.69%, respectively. It shows that these two baffle structures are not conducive to the heat transfer in the S2 region. It is necessary to continue to optimize the DB and CB models in future research to reduce the flow resistance generated by the baffle structure to ensure effective heat transfer in the S2 region.
In contrast, the CB model has a greater capability to suppress the flow rate in the S2 region than the DB model, and the decrease in the heat transfer performance parameters of the CB model is smaller than that of the DB model. It shows that the heat transfer capacity in the S2 region of the CB model is still better than that of the DB model when the cooling air flow is not dominant. It shows that the CB model has greater application potential in future optimization design.
In the S3 region, compared with the NB model, the DB model and the CB model significantly improve the heat transfer intensity in the S3 region. The relative Nusselt number increased by 60.30% and 71.57%, respectively. Additionally, the DB model and the CB model increase the flow resistance coefficient in the S3 region by 45.59% and 91.28%, the comprehensive heat transfer coefficient by 57.48% and 45.69%, and the flow rate by 4.17% and 9.28%, respectively. It shows that the DB model and the CB model are very significant for the improvement of heat transfer capacity in the S3 region.
In contrast, the relative Nusselt number of the CB model is 11.27% higher than that of the DB model, the flow resistance coefficient is 45.69% higher, the flow rate is 5.11% higher, and the comprehensive heat transfer coefficient is 2.38% smaller. It shows that the flow mixing of CB model brings higher heat transfer intensity when the flow rate is dominant and it significantly increases the flow loss, which leads to the decrease in the comprehensive heat transfer capacity. It shows that the DB model has a better optimization effect on the heat transfer capacity of the S3 region. At the same time, in the process of optimizing the CB model for the future, reducing the influence of the CB model on the flow resistance of the S3 region can improve the utilization value of the CB model.
The influence of the DB and CB models on each region of the composite cooling channel is comprehensively analyzed. The baffle structure can significantly change the flow rate within different heat transfer areas. Through the flow changes in the S1, S2, and S3 regions, it can be found that the baffle structure makes the flow resistance in the S2 region increase sharply, resulting in a significant decrease in the flow rate in the S2 region, resulting in a significant increase in the flow rate in the S1 and S3 regions, and improving the heat transfer capacity in the S1 and S3 regions. The baffle structure has a significant optimization effect on the heat transfer capacity of the S1 and S3 regions in the composite cooling channel, and the optimization effect of the CB model is more obvious. In future design work, the flow distribution and heat transfer enhancement can be carried out by using the baffle structure to improve the comprehensive heat transfer capacity of the cooling channel. Furthermore, in the next optimization study, it is necessary to reduce the high flow resistance effect formed by the baffle structure in the S2 region, reduce the flow loss in the S2 region, and improve the comprehensive heat transfer capacity in the S2 region.
4.2. Overall Heat Transfer Performance Difference Between the Rectangular Channel and Wedge Channel
Figure 8 shows the overall flow and heat transfer characteristics of each region of the composite cooling structure in the wedge channel. From Figure 8, note that the influence of inlet Reynolds number on heat transfer, flow, and flow rate in the wedge channel is the same as that of the corresponding characteristic parameters in the rectangular channel. Additionally, the flow rate and flow resistance coefficient in the NB model increase from the S1 region to the S3 region. However, the heat transfer intensity of the S3 region away from the leading-edge channel is the largest, and the comprehensive heat transfer capacity of the S2 region is the best. It shows that when the cooling channel changes from rectangular to wedge, the heat transfer intensity of the S3 region away from the leading-edge channel will exceed the heat transfer intensity of the S2 region.
Figure 8.
Overall heat transfer performance of the composite cooling structure in the wedge channel. (a) Relative Nusselt number. (b) Flow resistance coefficient. (c) Comprehensive heat transfer coefficient. (d) Flow ratio.
According to the technical route of sorting the data in Table 4, the relative variation values of the flow and heat transfer characteristic parameters of the baffle structure affecting the flow and heat transfer characteristics of each region of the composite cooling channel under the wedge channel are obtained, as shown in Table 5. Combined data from Table 4 and Table 5 are shown in Figure 9. The difference in overall flow and heat transfer characteristics between the rectangular channel and the wedge channel in the composite cooling structure is discussed.
Table 5.
Changes in the overall performance parameters in the wedge channel.
Figure 9.
Comparison of overall heat transfer performance between the rectangular channel and the wedge channel. (a) Relative Nusselt number. (b) Flow resistance coefficient. (c) Comprehensive heat transfer coefficient. (d) Flow ratio.
Through Figure 9a, the results show that compared with the rectangular channel, the heat transfer intensity in the S1 and S3 regions of the wedge channel is smaller, but the baffle structure still significantly enhances the heat transfer intensity in the S1 and S3 regions. The suppression effect of the baffle structure on the heat transfer intensity in the S2 region is significantly reduced, thereby improving the overall heat transfer capacity and heat transfer uniformity of the wedge channel. From Figure 9b, note that the flow resistance coefficients of each region in the wedge channel are smaller than those in the rectangular channel. Additionally, the distribution of flow resistance coefficients in each region of the rectangular channel and wedge channel is basically similar.
From Figure 9c, note that compared with the rectangular channel, the comprehensive heat transfer coefficient in the S1 region and the S3 region in the wedge channel is smaller, and the comprehensive heat transfer coefficient in the S2 region in the wedge channel decreases less, indicating that the baffle structure has little effect on the comprehensive heat transfer capacity in the wedge cooling channel. Figure 9d shows that the flow distribution in each region of the wedge channel shows greater contrast than that of the rectangular channel. The flow loss in the S2 region of the wedge channel increases. The splitter effect of the baffle structure in the wedge channel is more obvious.
In summary, the distribution trends in the overall flow and heat transfer characteristic parameters in the rectangular channel and the wedge channel are basically similar. Compared with the rectangular channel, the heat transfer intensity and flow resistance coefficient in the S1 and S3 regions of the wedge channel decrease. The suppression effect of the baffle structure on the comprehensive heat transfer capacity of the S2 region in the wedge channel is weakened. At the same time, the difference in flow distribution in each region of the wedge channel increases.
4.3. Local Heat Transfer Performance in the x Direction of the Composite Cooling Channel
4.3.1. Rectangular Channel
In this section, the influence of the baffle structure on the local heat transfer performance of each region in the cooling channel is analyzed by the variation in the heat transfer performance parameters of each region of the composite cooling channel in the x direction.
Figure 10 shows that the heat transfer intensity in the X1 section of the NB model gradually decreases. Except for the inlet, the flow resistance coefficient remains basically unchanged. Additionally, the flow is gradually increasing. In the X2 section, the flow rate and flow resistance coefficient of the NB model gradually increase, and the heat transfer intensity increases significantly. Figure 11 shows that the flow velocity in the X2 section gradually increases, and a secondary vortex is induced near the wall. It shows that with the increase in flow rate, the flow mixing process in the S1 region is enhanced, resulting in an increase in flow loss and a significant increase in heat transfer intensity.
Figure 10.
Heat transfer performance of the rectangular channel S1 region in the x direction. (a) Relative Nusselt number. (b) Flow resistance coefficient. (c) Flow ratio.
Figure 11.
Velocity streamlines in the x direction in the S1 region of the rectangular channel.
In the X3 section, the flow rate and flow resistance of the NB model are significantly reduced, but the heat transfer intensity does not decrease. Figure 11 indicates that the secondary eddy current in the S1 region gradually increases. It shows that when the flow rate decreases, the secondary vortex enhances the disturbance capability of the cooling air to the near-wall region, thus ensuring that the NB model has a high level of heat transfer intensity in the X3 section.
In the X1 section of the S1 region, the heat transfer intensity of the DB model and the CB model increase significantly, and the growth trend in the heat transfer intensity is basically the same. In the X2 section, the heat transfer intensity and flow rate of the DB model and the CB model are significantly reduced. However, during the descent process, the heat transfer intensity of the CB model is 21.1% higher than that of the DB model, and the flow rate of the CB model is lower than that of the DB model. The average flow rate is 3.4%. Figure 11 shows that the CB model forms a unified longitudinal eddy current in the S1 region, and the influence range of the longitudinal eddy current of the CB model is significantly larger than that of the DB model. It shows that in the case of a small flow rate, the violent flow mixing process ensures that the heat transfer intensity of the CB model is greater than that of the DB model.
In the X3 section of the S1 region, the heat transfer intensity in the DB model increases significantly, and the flow rate and flow resistance coefficient decrease. However, the heat transfer intensity in the CB model remains basically unchanged, the flow rate decreases significantly, and the flow resistance coefficient increases gradually. Figure 11 shows that in the case of the dominant flow rate, the velocity of the cooling air in the DB model is larger, and the heat transport capacity is stronger. Additionally, with the development of a mature longitudinal vortex, the heat transfer intensity in the S1 region is enhanced. However, under the influence of flow rate and mixing loss, the velocity of cooling air in CB model decreases obviously, which leads to a decrease in the heat transfer intensity. But under the influence of the longitudinal vortex disturbance, the CB model maintains a certain heat transfer intensity in the X3 section.
In summary, compared with the model without the baffle, the baffle structure mainly increases the flow rate at the inlet of the leading-edge channel. As the cooling channel extends, the flow rate gradually decreases along the way. The baffle structure leads to a stronger longitudinal vortex in the leading-edge channel, thus enhancing the heat transfer in the leading-edge channel. Because the flow mixing process is more intense, the flow loss is also greater, resulting in a gradual decrease in the heat transfer capacity of the middle and rear sections of the leading-edge channel under the baffle structure. Compared with the continuous baffle, the discontinuous baffle has a more lasting gain effect on the heat transfer intensity of the leading-edge channel.
Figure 12 shows that in the X1 section of the S2 region, the heat transfer intensity of all models is significantly reduced. The average heat transfer intensity of the DB model is 0.6 times that of the NB model, and the average heat transfer intensity of the CB model is 1.3 times that of the NB model. The average flow resistance coefficient of the DB model is 3.7 times that of the NB model, and the average flow resistance coefficient of the CB model is 2.5 times that of the NB model.
Figure 12.
Heat transfer performance of the rectangular channel S2 region in the x direction. (a) Relative Nusselt number. (b) Flow resistance coefficient. (c) Flow ratio.
When compared with Figure 13, note that in the X1 segment of the S2 region, the DB model and the CB model reveal an obvious mixing process, and the velocity of the DB model in this region is relatively low. It shows that the process of flow mixing enhances the disturbance intensity of the cooling air and increases the flow resistance coefficient to a certain extent. However, the excessive flow resistance coefficient inhibits the long-lasting disturbance capability of the cooling air, thereby reducing the heat transfer intensity of the cooling air. To ensure that the baffle structure does not cause excessive flow loss to the cooling air, the baffle structure should be added to the latticework channel.
Figure 13.
Velocity streamline in the x direction of the S2 and S3 regions in the rectangular channel.
In the X2 section of the S2 region, the heat transfer intensity of the NB model increases significantly, the flow resistance coefficient increases gradually, and the flow rate decreases gradually. The heat transfer intensity of the DB model also increases, obviously, and the flow resistance coefficient decreases gradually, and the flow rate increases gradually. The results shown in Figure 13 indicate that the flow mixing process in the NB model is gradually enhanced, so that the heat transfer intensity of the cooling air is still enhanced in the process of decreasing the flow rate. When the flow rate in the DB model increases, the velocity of the cooling air increases, thereby enhancing the disturbance capacity and heat transport capacity of the cooling air, and promoting the heat transfer intensity in the region.
In the X2 section of the S2 region, the heat transfer intensity in the CB model decreases first and then increases, the flow resistance coefficient remains basically unchanged, and the flow rate gradually increases. Compared with the NB model and DB model, the traffic in the CB model is the smallest. Figure 13 shows that in the process of flow mixing, the small flow rate leads to the small heat transport capacity of the cooling air, thus reducing the heat transfer intensity of the cooling air.
In the X3 section of the S2 region, the heat transfer intensity of the NB model decreases first and then increases, the flow resistance coefficient remains basically unchanged, and the flow rate gradually decreases. The results shown in Figure 13 indicate that the decrease in flow rate leads to a decrease in cooling air velocity, a decrease in cooling air disturbance capability, and a decrease in heat transfer intensity. In the X3 section of the S2 region, the heat transfer intensity of the DB model and the CB model gradually increases, and the flow resistance coefficient and flow rate gradually increase, which enhances the disturbance capability and heat transport capability of the cooling air, thus promoting the heat transfer. The flow resistance coefficient of the DB model is gradually becomes higher than that of the CB model, which leads to the heat transfer intensity of the DB model gradually becoming smaller than that of the CB model in the X3 section of the S2 region.
It needs to be explained that the flow resistance coefficient of the DB model at the outlet is significantly reduced. Figure 14 shows that the flow mixing process of the DB model at the turning channel is significantly weaker than that of the CB model due to the geometric structure characteristics of the latticework subchannel (the black dashed box marked in Figure 13). In addition, the latticework channel gradually approaches the outlet, and the flow mixing process after the turning channel is weakened. Eventually, the flow loss is reduced and the flow resistance coefficient is reduced.
Figure 14.
Cooling air flow characteristics near the baffle.
From Figure 15, it can be seen that in the X1 section of the S3 region, the heat transfer intensity of all models gradually decreases, and the heat transfer intensity distribution of the DB and CB models is basically the same. Furthermore, the average heat transfer intensity of the DB model and the CB model is 31% higher than that of the NB model. The flow resistance coefficient of the DB model is significantly lower than that of the CB model, but the flow rate of the DB model is higher than that of the CB model. Figure 13 shows that in the X1 section of the S3 region, the velocity of the DB model is larger than that of the CB model, and the flow mixing process of the CB model is stronger than that of the DB model, resulting in higher heat transfer intensity for both the DB model and the CB model.
Figure 15.
Heat transfer performance of the rectangular channel S3 region in the x direction. (a) Relative Nusselt number. (b) Flow resistance coefficient. (c) Flow ratio.
In the X2 section of the S3 region, the heat transfer intensity of the NB model gradually decreases, the flow resistance coefficient first increases and then decreases, and the flow rate gradually increases. Figure 13 shows that in the X2 section of the S3 region, the velocity in the NB model is smaller, and the mixing process of the cooling air in the subchannel of the lower surface is weaker. It shows that the disturbance capability of the cooling air is reduced due to the small flow rate, and the mixing process of the cooling air in the subchannel of the latticework is weakened in this region, which eventually leads to the decrease in the heat transfer intensity of the NB model.
In the X2 section of the S3 region, the heat transfer intensity of the DB model and the CB model gradually increases, and the flow resistance coefficient gradually decreases. The flow rate of the CB model remains unchanged, and the flow rate of the DB model gradually decreases, and the average flow rate of the DB model is 93.2% of the average flow rate of the CB model. Figure 13 shows that in the X2 section of the S3 region, the velocity of the CB model is larger than that of the DB model, and the mixing process of the DB model is stronger than that of the CB model, so as to ensure that both the DB model and the CB model have higher heat transfer intensity.
In the X3 section of the S3 region, the heat transfer intensity of the NB model gradually decreases, the flow resistance coefficient decreases first and then increases, and the flow rate gradually increases. Figure 13 shows that in the X3 section of the S3 region, although the velocity of the NB model gradually increases, the cooling air mixing process is significantly weakened, resulting in a decrease in heat transfer intensity.
In the X3 section of the S3 region, the heat transfer intensity and flow resistance coefficient of the DB model and the CB model decrease first and then increase. The flow rate in the DB model decreases significantly, and the flow rate in the CB model remains unchanged. Figure 13 shows that in the X3 section of the S3 region, the velocity of the CB model is significantly larger than that of the DB model, but the flow mixing process of the DB model is stronger than that of the CB model.
To ensure that the DB model and the CB model have higher heat transfer intensity, it should be noted that the heat transfer intensity of the DB model at the outlet of the X3 section suddenly decreases. Figure 13 shows that the flow rate at the outlet is significantly reduced, resulting in a significant decrease in the velocity of the cooling air at the outlet of the DB model, thereby reducing the disturbance capacity and heat transport capacity of the cooling air, and ultimately leading to a significant decrease in heat transfer intensity.
Figure 16 shows the distribution of the comprehensive heat transfer coefficient in the x direction in different heat transfer regions. In the X1 and X2 sections of the S1 region, the comprehensive heat transfer coefficients of the DB model and the CB model are higher than those of the NB model, indicating that the baffle structure significantly improves the heat transfer efficiency in the S1 region. However, in the X3 section of the S1 region, the comprehensive heat transfer coefficient distribution of the NB model and the DB model is basically the same, while the comprehensive heat transfer coefficient of the NB model in the X3 section is 1.25 times that of the CB model. The main reason is that the baffle structure causes the flow resistance to increase, resulting in a decrease in the comprehensive heat transfer coefficient.
Figure 16.
The TPF of each region in the x direction of the rectangular channel. (a) S1 region. (b) S2 region. (c) S3 region.
In the S2 region, the comprehensive heat transfer coefficient of the DB model and the CB model is smaller than that of the NB model. The main reason is that the baffle structure increases the flow resistance in the S2 region and causes a large loss of flow, resulting in a decrease in the cooling air velocity in the S2 region, and the disturbance capacity and heat transport capacity of the cooling air are weakened, which ultimately leads to a decrease in the comprehensive heat transfer coefficient in the S2 region.
In the X1 section of the S3 region, the DB model and the CB model have no obvious optimization effect. The main reason is that the flow mixing process in the X1 section of the S3 region leads to a large flow loss of cooling air, so that the comprehensive heat transfer coefficient is small. In the X2 and X3 sections of the S3 region, the comprehensive heat transfer coefficients of the DB model and the CB model are significantly higher than those of the NB model. In general, the heat transfer enhancement effect of the DB model and the CB model in the S3 region is significant. To further optimize the baffle structure in future work, reduce the flow resistance and improve the comprehensive heat transfer coefficient.
In summary, the baffle structure has a significant optimization effect on the S1 and S3 regions of the composite cooling structure. Additionally, the comprehensive heat transfer capacity of the S2 region is reduced. The main reason is that the baffle structure leads to a significant increase in the flow resistance in the composite cooling channel, and the baffle structure interferes with the flow distribution in each region of the composite cooling channel. When the baffle structure is arranged in the composite cooling channel, it is necessary to balance the high flow resistance effect and flow control capability of the baffle structure. For the composite cooling channel described in this paper, future optimization research should mainly focus on two aspects. The first is to reduce the high flow resistance effect generated by the local area of the baffle structure. The second is to set the baffle or composite baffle structure, adjust the flow distribution mode of the baffle structure to each region, and ensure that each region receives sufficient cooling air, so as to ensure the heat transfer demand.
4.3.2. Wedge Channel
The overall flow and heat transfer distribution of the cooling air in the wedge channel is similar to that in the rectangular channel. However, some local flow and heat transfer characteristics in the wedge channel are significantly different from those in the rectangular channel. In order to further study the flow and heat transfer in each region of the wedge channel, we analyze the distribution of the flow and heat transfer parameters in the x direction of each region of the wedge channel. In this section, we focus on the flow and heat transfer processes with obvious differences between the wedge channel and the rectangular channel.
By comparing Figure 10 and Figure 17, note that the flow and heat transfer characteristics of the wedge channel in the X2 and X3 sections of the S1 region are significantly different. In the X2 and X3 sections of the S1 region of the wedge channel, the heat transfer intensity and flow rate of the DB model gradually increase, and the flow resistance coefficient first increases and then decreases. Figure 18 shows that the velocity in the DB model gradually increases, and a vortex structure is gradually formed in the cooling channel, which increases the flow mixing intensity and heat transport capacity, thus improving the heat transfer intensity of the cooling air. In the development process of the gradual unification of the vortex structure, the secondary vortex in the cooling channel changes from less to more, and then from more to less, and the mixing process of the cooling air also tends to be unified, which leads to the flow resistance coefficient in the cooling channel increasing first and then decreasing.
Figure 17.
Heat transfer performance of the wedge channel S1 region in the x direction. (a) Relative Nusselt number. (b) Flow resistance coefficient. (c) Flow ratio.
Figure 18.
Velocity streamlines in the x direction in the S1 region of the wedge channel.
In the X2 and X3 sections of the S1 region of the wedge channel, the heat transfer intensity of the CB model decreases first and then increases, the flow resistance coefficient increases first and then decreases, and the flow rate remains basically unchanged. Figure 18 shows that multiple secondary vortex structures are generated in the cooling channel and gradually develop into a unified vortex structure. The mixing process and velocity of the cooling air gradually decrease, resulting in a decrease in the heat transfer intensity of the X2 section. Compared with the NB model, the larger flow rate makes the cooling air of the CB model in the X3 section have higher velocity, so that the cooling air has greater disturbance capacity and heat transport capacity. Finally, the heat transfer intensity of the CB model in the X3 section of the S1 region is 1.4 times that of the NB model.
By comparing the flow and heat transfer characteristics of the rectangular channel in the S1 region, the wedge channel mainly changes the flow distribution of the X2 and X3 sections in the S1 region, thus changing the flow and heat transfer characteristics of the cooling air. The flow mixing process under the DB model and the CB model is also more intense, and the velocity of the cooling air is also greater, which ultimately leads to the heat transfer intensity of the DB model and the CB model in the X2 and X3 sections of the S1 region. Both are better than the heat transfer intensity of the NB model.
By comparing Figure 12 and Figure 19, note that the flow and heat transfer characteristics of the wedge channel in the S2 region are obviously different, and the flow distribution is basically the same. In the X1 section of the S2 region, the heat transfer intensity of the DB model has been significantly improved, and the size and development trend in the heat transfer intensity are basically the same as those of the NB model. Compared with the rectangular channel, the average flow resistance coefficient of the DB model in the wedge channel decreases from 3.7 times in the NB model to 2.2 times. Figure 20 shows that the mixing process of cooling air in the DB model is more intense than that in the NB model in the X1 section of the S2 region. Under the influence of the obvious decrease in the cooling air flow loss, the heat transfer intensity of the whole cooling channel is improved. The reason for the increase in heat transfer intensity of the CB model is similar to that of the DB model.
Figure 19.
Heat transfer performance of the wedge channel S2 region in the x direction. (a) Relative Nusselt number. (b) Flow resistance coefficient. (c) Flow ratio.
Figure 20.
Velocity streamline in the x direction of the S2 and S3 regions in the wedge channel.
In the X2 section of the S2 region, the difference between the heat transfer intensity of the DB model and the CB model and the heat transfer intensity of the NB model is significantly reduced, and the change rule of the heat transfer intensity is basically similar. Compared with the rectangular channel, the average flow resistance coefficient of the wedge channel decreases from 3.2 times that of the NB model to 2.7 times. The results show that when the flow loss of the cooling air in the X2 section is significantly reduced, the cooling air has a more lasting disturbance capacity and heat transport capacity, which ultimately leads to an increase in the heat transfer intensity in the cooling channel.
In the X3 section of the S2 region, the difference between the heat transfer intensity of the CB model and the heat transfer intensity of the NB model remains basically constant. Compared with the rectangular channel, the average flow resistance coefficient of the wedge channel decreases from 2.9 times that of the NB model to 2.8 times. Due to less flow loss in the X2 section of the S2 region, the cooling air in the X3 section of the S2 region still has a larger velocity, resulting in a larger heat transfer intensity of the CB model in the X3 section of the S2 region. However, the flow resistance coefficient of the DB model in the X3 section gradually increases, resulting in a significant decrease in heat transfer intensity. Figure 20 shows that the DB model distributes multiple obvious low-velocity regions near the baffle (the black dashed box marked in Figure 20), thus suppressing the disturbance capability of the cooling air, resulting in a significant reduction in the heat transfer intensity in the cooling channel.
The flow and heat transfer characteristics of the wedge channel S2 region are thoroughly analyzed. Compared with the rectangular channel, the flow loss of the X1 and X2 sections in the S2 region of the wedge channel is significantly reduced, so that the cooling air has more persistent disturbance capacity and heat transport capacity, which eventually leads to the DB model and the CB model have a large heat transfer intensity in the entire S2 region. By comparing Figure 13 and Figure 20, the results show that in the wedge channel, a more obvious low-velocity region forms near the baffle structure of the DB model, resulting in a significant weakening of the heat transfer capacity of the DB model in the X3 section of the S2 region. In future optimization work, it will be necessary to further improve the baffle structure of the DB model and reduce the stagnation effect of the baffle.
By comparing Figure 15 and Figure 21, note that the flow and heat transfer distribution and flow distribution characteristics of the rectangular channel and the wedge channel in the S3 region are basically the same. However, in the X3 section of the wedge channel S3 region, the heat transfer intensity in the NB model gradually increases, which is opposite to the change rule of the rectangular channel in this region. In the X3 section of the S3 region, the average flow ratio in the rectangular channel is 0.51, and the average flow ratio in the wedge channel is 0.63. Compared with the rectangular channel, the average flow rate in the wedge channel is increased by 23.5%. Comparing Figure 13 and Figure 20, the results show that when the flow rate is large, the velocity of the cooling air increases, so that the disturbance capability and heat transport capability of the cooling air are enhanced, and finally the heat transfer intensity increases.
Figure 21.
Heat transfer performance of the wedge channel S3 region in the x direction. (a) Relative Nusselt number. (b) Flow resistance coefficient. (c) Flow ratio.
Figure 22 shows the comprehensive heat transfer coefficient distribution of the wedge channel in the x direction in different heat transfer regions. It can be seen from Figure 22 that the distribution characteristics of the comprehensive heat transfer coefficient in the wedge channel are basically the same as those in the rectangular channel. In the X3 section of the S1 region, the comprehensive heat transfer coefficients of the DB model and the CB model in the wedge channel are larger than those of the NB model. Furthermore, in the X2 and X3 sections of the S2 region, the gap between the comprehensive heat transfer coefficients of the DB model and the CB model in the wedge channel and the NB model is gradually reduced. According to the distribution characteristics of the comprehensive heat transfer coefficient shown in Figure 16 and Figure 22, the optimization effect of the DB model and the CB model is further improved in the wedge channel. The main reason is that the flow resistance coefficient of each region in the wedge channel is significantly reduced.
Figure 22.
The TPF of each region in the x direction of the wedge channel. (a) S1 region. (b) S2 region. (c) S3 region.
By comparing the optimization effect of the baffle structure in the rectangular channel and the wedge channel, the application potential of the two new baffle structures in the composite cooling channel based on latticework is further explained. Additionally, in future optimization work, the focus will on reducing the flow resistance caused by the baffle structure, which can significantly improve the heat transfer capacity of the composite cooling channel.
5. Conclusions
In this paper, the numerical simulation method is used to study the influence of two new baffle structures (discontinuous baffle and continuous baffle) on the heat transfer performance of the composite cooling structure of the leading-edge region and the mid-chord region of the turbine blade, based on latticework. The application potential of the new baffle structure is comprehensively evaluated. The main conclusions are as follows:
- The baffle significantly improves the comprehensive heat transfer capacity and flow rate in the leading-edge channel region and the mid-chord channel non-transition region. The baffle increases the comprehensive heat transfer coefficient and flow rate of the leading-edge channel by 26.5% and 14.5%, respectively. The baffle increases the comprehensive heat transfer coefficient and flow rate of the mid-chord channel non-transition region by 39.5% and 6.5%, respectively.
- The baffle significantly increases the flow resistance in the mid-chord channel transition region and reduces the heat transfer capacity. The baffle leads to an average decrease of 16.5% in the flow rate in the mid-chord channel transition region.
- Compared with the DB model, the CB model has better application potential. The average heat transfer intensity of the CB model is 12.2% higher than that of the DB model, and the average comprehensive heat transfer capacity is 4.7% higher. Furthermore, the flow rate of cooling air in each region of the composite cooling channel in the CB model changes little along the flow direction, and the heat transfer distribution in each region is more uniform;
- The distribution trend in heat transfer performance parameters in the rectangular and wedge channels is basically the same. Compared with the rectangular channel, the influence of the baffle structure on the heat transfer performance parameters in the wedge channel is weakened, and the baffle increases the flow distribution difference in each region of the wedge channel.
In future research work, it will be necessary to focus on the high flow resistance effect and flow regulation mechanism of the baffle structure simultaneously. The crucial optimization direction should be to reduce the flow resistance of the partition structure. Additionally, the local geometric structure of the partition will need optimization to improve the flexibility of flow control in the composite channel.
Author Contributions
Conceptualization, M.L. and K.Y.; methodology, M.L.; software, M.L.; validation, M.L., K.Y., and R.Y.; formal analysis, M.L.; investigation, M.L.; resources, K.Y.; data curation, M.L.; writing—original draft preparation, M.L.; writing—review and editing, K.Y. and H.W.; visualization, J.T. and R.Y.; supervision, J.T.; project administration, R.Y.; funding acquisition, H.W. All authors have read and agreed to the published version of the manuscript.
Funding
This research received no external funding.
Data Availability Statement
The raw data supporting the conclusions of this article will be made available by the authors upon request.
Conflicts of Interest
The authors declare that they have no known competing financial interests or personal relationships that could have appeared to influence the work reported in this paper.
Nomenclature
| Abbreviations | |
| TPF | thermal performance factor |
| RMSE | root mean square error |
| NB | no baffle |
| DB | discontinuous baffle |
| CB | continuous baffle |
| Sign | |
| S1 | leading-edge channel region |
| S2 | mid-chord channel transition region |
| S3 | mid-chord channel non-transition region |
| X1 | leading-edge channel flow acquisition section |
| X2 | leading-edge channel flow exchange section |
| X3 | leading-edge channel flow loss section |
| Variables | |
| A | cooling channel heat transfer area (m2) |
| cp | specific heat capacity (J/(kg·K)) |
| Dh | hydraulic diameter (m) |
| f | friction factor |
| H | height of rectangle channel (m) |
| hf | surface heat transfer coefficient (W/m2·K) |
| L | flow direction length (m) |
| Nu | Nusselt number |
| Pr | Prandtl number |
| P | static pressure (Pa) |
| Q | heat exchange capacity (J) |
| q | mass flow (kg/s) |
| Re | Reynolds number |
| r | leading-edge radius (m) |
| T | temperature (K) |
| b | rib width (m) |
| Δu | velocity drop (m/s) |
| u | velocity (m/s) |
| W | width of rectangle channel (m) |
| w | rib width (m) |
| x | x direction |
| y | y direction |
| z | z direction |
| Greek symbols | |
| β | rib angle (degree) |
| μ | dynamic viscosity (N·s/m2) |
| λ | thermal conductivity (W/(m·K)) |
| ρ | density (kg/m3) |
References
- Biswal, P.; Rao, P.M.; Balaji, C. Research advances on mist assisted impingement and film cooling of turbine blades. Int. J. Heat Mass Transf. 2024, 232, 125907. [Google Scholar] [CrossRef]
- Du, W.; Luo, L.; Jiao, Y.; Wang, S.; Li, X.; Sunden, B. Heat transfer in the trailing region of gas turbines–A state-of-the-art review. Appl. Therm. Eng. 2021, 199, 117614. [Google Scholar] [CrossRef]
- Yeranee, K.; Rao, Y. A review of recent studies on rotating internal cooling for gas turbine blades. Chin. J. Aeronaut. 2021, 34, 85–113. [Google Scholar] [CrossRef]
- Ruan, Q.; Xu, L.; Xi, L.; Ren, D.; Gao, J.; Li, Y. Optimization design and experimental research on cooling performance of U-shaped latticework cooling structure with perforations used for gas turbine blade. Appl. Therm. Eng. 2024, 247, 123044. [Google Scholar] [CrossRef]
- Sun, H.; Sun, T.; Yang, L.; Bu, S.; Luan, Y. Effect of bleed hole on internal flow and heat transfer in matrix cooling channel. Appl. Therm. Eng. 2018, 136, 419–430. [Google Scholar] [CrossRef]
- Bu, S.; Yang, L.; Qiu, H.; Luan, Y.; Sun, H. Effect of sidewall slots and pin fins on the performance of latticework cooling channel for turbine blades. Appl. Therm. Eng. 2017, 117, 275–288. [Google Scholar] [CrossRef]
- Du, W.; Luo, L.; Wang, S.; Liu, J.; Sunden, B. Numerical investigation of flow field and heat transfer characteristics in a latticework duct with jet cooling structures. Int. J. Therm. Sci. 2020, 158, 106553. [Google Scholar] [CrossRef]
- Li, J.; Yu, B.; Li, X.; Bu, S.; Wang, A. Multi-jet impingement cooling in the leading edge of turbine blade using matrix as internal structure. Appl. Therm. Eng. 2024, 250, 123531. [Google Scholar] [CrossRef]
- Chen, W. Experimental and Numerical Study of the Mechanism of Internal Cooling in Gas Turbine Blade. Ph.D. Thesis, Tsinghua University, Beijing, China, 2011. [Google Scholar]
- Khalatov, A.A. Aerothermal vortex technologies in aerospace engineering. J. Korean Soc. Mar. Eng. 2001, 28, 163–184. [Google Scholar]
- Mattingly, J.D. Aircraft Engine Design; American Institute of Aeronautics and Astronautics: Reston, VA, USA, 2002. [Google Scholar]
- Castelli, N.; Sandri, U.; Picchi, A.; Facchini, B.; Morante, F.; Cubeda, S. Experimental Analysis of Additively Manufactured Latticework Coupons. J. Turbomach. 2024, 146, 061001. [Google Scholar] [CrossRef]
- Tanda, G.; Satta, F. Heat transfer and friction in a high aspect ratio rectangular channel with angled and intersecting ribs. Int. J. Heat Mass Transf. 2021, 169, 120906. [Google Scholar] [CrossRef]
- Choi, S.M.; Bang, M.; Kim, S.Y.; Lee, H.; Joo, W.G.; Cho, H.H. Numerical simulation of effect of various rib configurations on enhancing heat transfer of matrix cooling channel. Int. J. Mech. Mechatron. Eng. 2017, 11, 1906–1910. [Google Scholar]
- Du, W.; Luo, L.; Wang, S.; Liu, J.; Sunden, B. Effect of the Broken Rib Locations on the Heat Transfer and Fluid Flow in a Rotating Latticework Duct. J. Heat Mass Transf. 2019, 141, 102102. [Google Scholar] [CrossRef]
- Gillespie, D.R.H.; Ireland, P.T.; Dailey, G.M. Detailed Flow and Heat Transfer Coefficient Measurements in a Model of an Internal Cooling Geometry Employing Orthogonal Intersecting Channels. In Proceedings of the ASME Turbo Expo 2000: Power for Land Sea and Air, Munich, Germany, 8–11 May 2000. [Google Scholar]
- Saha, K.; Guo, S.; Acharya, S.; Nakamata, C. Heat Transfer and Pressure Measurements in a Lattice-Cooled Trailing Edge of a Turbine Airfoil. In Proceedings of the ASME Turbo Expo 2008: Power for Land Sea and Air, Berlin, Germany, 9–13 June 2008. [Google Scholar]
- Qiao, S.; Wang, Q.; Yan, L.; Fu, H.; Yin, Y. Numerical investigation on heat transfer performance of matrix cooling channels for turbine trailing edges. J. Power Energy 2023, 237, 3–18. [Google Scholar] [CrossRef]
- Zhou, X.; Li, T.; Zhang, Y.; Rui, H.; Yu, Z.; Dong, P. Experimental and Numerical Study on Cooling Characteristic of Modelled Matrix Cooling Channels for Turbine Blades. In Proceedings of the Global Power and Propulsion Society, Hong Kong, China, 17–19 October 2023. [Google Scholar]
- Shen, Z.; Qu, H.; Zhang, D.; Xie, Y. Effect of bleed hole on flow and heat transfer performance of U-shaped channel with dimple structure. Int. J. Heat Mass Transf. 2013, 66, 10–22. [Google Scholar] [CrossRef]
- Yun, J.Y.; Lee, K.S. Influence of design parameters on the heat transfer and flow friction characteristics of the heat exchanger with slit fins. Int. J. Heat Mass Transf. 2000, 43, 2529–2539. [Google Scholar] [CrossRef]
- Bunker, R.S. Latticework (Vortex) Cooling Effectiveness Part 1: Stationary Channel Experiments. In Proceedings of the ASME Turbo Expo 2004: Power for Land Sea and Air, Vienna, Austria, 14–17 June 2004. [Google Scholar]
- Tu, G.; Deng, X.; Mao, M. Assessment of Two Turbulence Models and Some Compressibility Corrections for Hypersonic Compression Corners by High-Order Difference Schemes. Chin. J. Aeronaut. 2012, 25, 25–32. [Google Scholar] [CrossRef]
- Deng, X. High-order Accurate Dissipative Weighted Compact Nonlinear Schemes. Sci. China Ser. A Math. 2002, 45, 356–370. [Google Scholar] [CrossRef]
Disclaimer/Publisher’s Note: The statements, opinions and data contained in all publications are solely those of the individual author(s) and contributor(s) and not of MDPI and/or the editor(s). MDPI and/or the editor(s) disclaim responsibility for any injury to people or property resulting from any ideas, methods, instructions or products referred to in the content. |
© 2025 by the authors. Licensee MDPI, Basel, Switzerland. This article is an open access article distributed under the terms and conditions of the Creative Commons Attribution (CC BY) license (https://creativecommons.org/licenses/by/4.0/).