Abstract
This paper presents a design of spring static-balanced manipulators for reduced spring attachment adjustments. Gravitational joint torque is balanced by spring torque to maintain static balance, but joint reaction force by gravity force and spring force is still an important issue for manipulators. Springs, with their stiffness and attachment parameters, cause torque on the same joint, and then there is a torque-sharing effect between them, and the parameters of one spring can be represented by other springs. The sharing ratio between coupled springs is defined as the ratio of the torque due to the spring attached to the succeeding link to the gravitational torque. For adjacent springs, the bounds of the sharing ratio are from 0 to 1; for non-adjacent springs at a succeeding link or preceding link, the upper bound of the sharing ratio is determined, or the sharing ratio is determined, respectively. The 3-DOF manipulators are an illustrative example: the relationship between joint reaction force and the joint torque-sharing ratio is investigated, and on the optimum joint reaction force, the best sharing ratio and spring attachment installations are found. It is shown that the joint reaction force is reduced in manipulators, and this method is used in spatial manipulators with a systematic spring static balance method.
1. Introduction
Serially connected manipulators are used in many fields, for example, robotic arms for pick-and-place tasks in the industry [1,2], surgical robotic arms in the daVinci Surgical Robot system for assisting doctors in surgeries [3,4], and exoskeletons for aiding patients and older adults whose arms or legs have muscular weakness in performing daily activities or rehabilitation [5,6,7]. Whether manipulators are with or without a payload, gravity affects force and torque on the joints of manipulators.
The static balance method involving springs is commonly employed in assistive devices. Huysamen et al. and Bortoletto et al. [8,9] introduced arm and finger exoskeletons for movement assistance, with springs to maintain static balance. Grazi et al. [10] presented an upper limb exoskeleton for assisting workers in their job tasks. Hidayah et al. [11] employed leg exoskeletons for facilitating squats; Eguchi et al. [12] employed them for upright locomotion; and Zhou et al. [13] employed them for walking. However, these exoskeletons and assistant devices are designed to focus on limb motions and static balance conditions. The joint reaction force is an important issue for devices and users, which may affect the comfort level of users.
The spring static balance method has some advantages. Gosselin et al. [14] conducted an experiment demonstrating that manipulators with springs exhibit higher motor efficiency than those without springs. However, the validation of the experiment is on motor torque using efficiency, not joint reaction force. Vries et al. [15] performed an experiment on a passive balanced arm exoskeleton designed to assist workers in plastering tasks. The exoskeleton was more compact and lighter than exoskeletons using motors. However, the experiment proved the function of the exoskeleton only. Gu et al. [16] developed a coupled elastohydrodynamic system for the static performance analysis of gas foil bearings. Lee et al. [17] investigated the effects of joint torque on the static performance of foil journal bearings. However, previous works have mostly focused on achieving static balance for manipulators in specific contexts, not focusing on the static performance of manipulators.
Several static-balancing methods with springs have been presented [18,19,20]. One method for achieving gravity balance involves using springs to compensate for the effect of gravity on a manipulator, ensuring constant energy throughout the workspace of the manipulator [21]. Auxiliary linkages used for static-balancing manipulators have also been introduced [22,23]. Lu et al. [24] tested the static-balancing method from the 1990s to the 2010s. Another approach for achieving spring gravity balance in a manipulator is to maintain zero joint torque at all times by preventing the joints of the manipulator from rotating, enabling the manipulator to retain any posture [25,26]. However, these theories mainly derive constraints to achieve the static balance condition.
Kazerooni [27] presented a statically balanced four-bar linkage. Rahman et al. [28] and Simionescu and Ciupitu [29] presented a 1-DOF balancer. Koser [30] presented a 1-DOF balancer consisting of a movable cam and a translational follower. Nguyen et al. [31] and Deepak et al. [32] incorporated spring equilibrators in manipulators to achieve static balance. However, they focused on the specific design of equilibrators rather than systematic balance methods for manipulators. Chu and Kuo [33] proposed a 1-DOF balancer module and a combination of several modules to create a multi-DOF manipulator. Ulrich and Kumar [34] developed a spring static-balanced 1-DOF module using cables and a pulley. However, a 1-DOF balancer was modularly installed in every link, so there are no reactions between springs to affect the joint reaction force.
Chen et al. [35,36] utilized the stiffness block matrix method to derive spring installation configurations, facilitating perfect static balance in planar or spatial manipulators. However, the parameters of the spring, such as stiffness and installation position, usually have infinite solutions; this means there are infinite choices to achieve static balance and there is no preferred option. Chiang and Chen presented planar-balanced articulated manipulators with actuated linear ground-adjacent adjustment [37]. However, the relations between a spring’s installation parameters have not yet been discussed. It is better to reduce these when designing a spring static-balanced manipulator.
This paper presents the torque-sharing effect and the sharing ratio of spring static-balanced manipulators, with a particular focus on analyzing how different spring configurations and attachment choices influence static equilibrium and joint reaction forces. The structure of this paper is as follows: In Section 2, the torque-sharing effect between springs of a serially connected manipulator is derived, the sharing ratio is defined, and the bounds are discussed. Section 3 presents the effect of the spring configuration when a spring is not attached to the preceding link or succeeding link. Then, the variation in the sharing ratio affected by these conditions is investigated. In Section 4, the numerical simulation of a 3-DOF serially connected manipulator with springs is discussed, and the simulation results are presented. In addition, the merits of the spring gravity-balanced manipulator with torque-sharing effect are presented. Section 5 presents the conclusions of this research. The procedure of the torque-sharing effect is illustrated in Appendix A.
2. Methodology: Torque-Sharing Analysis of Coupled Springs
In a statically balanced serial manipulator with springs, the torque with respect to joints should always be maintained at zero to allow the manipulator to stay in any posture. A typical tensional spring attached to connected links i and j is shown in Figure 1. Here, link j connects joints j − 1 and j; its mass is assumed to be concentrated at the center. The link vector ; angle zero is assumed as the direction of the link; is gravitational acceleration; and the angle is the relative angle from the vector of link j − 1 to the vector of link j. The payload is applied at the distal end of the last link and is directly included in the mass of link n in the analysis. It only affects the numerical value of the accumulated mass term. The attachment vectors of the spring, and , are from joints i and j − 1 to the attached points of the spring on links i and j, respectively; the angle and are from the vector of links i and j to the attachment vectors of the spring.
Figure 1.
Ground-attached springs and non-ground-attached springs in an n-link manipulator.
For spring , spring (q < i), which is the pre-connected link, precedes link i and is defined as the preceding spring of spring , and spring (v > j), which is the post-connected link, succeeds link j and is defined as the succeeding spring of spring . For the ground-attached spring , it has succeeding springs only.
2.1. Adjacent Coupled Ground-Attached Spring Condition
For a typical revolute joint j of a static-balanced manipulator, based on [36], the torque with respect to joint j caused by gravity and springs can be expressed by the following equations:
Equation (1) shows that the torque with respect to joint j, caused by the mass of link j and links succeeding link j, is balanced by the torque caused by ground-attached springs to . In other words, the right-hand side of Equation (1) collects the gravitational torque terms contributed by each link, while the left-hand side represents the torque terms provided by the springs. Perfect static equilibrium requires that the angular variation in these springs is kinematically compatible with the angular displacement of the corresponding links. This ensures that the spring-induced torques, such as those from springs with stiffness and , precisely match the gravitational torques.
Equation (2) extends this balance by addressing the residual torque terms that remain after the gravitational torques have been compensated by the ground-attached springs. These residual terms are further eliminated through the introduction of non-ground-attached springs to , where the index i ranges from 2 to j − 1. In this way, all unmatched torque components are eliminated, ensuring that the system operates without unintended torque. Together, Equations (1) and (2) demonstrate a two-step process: the gravitational torques are first balanced by the ground-attached springs, and the remaining residual terms are subsequently eliminated by the non-ground-attached springs. This guarantees a perfect static equilibrium of the manipulator.
Based on Equation (1), it is known that the attachment angles of ground-attached springs are 90° and 0°, representing the pre-attachment angle and post-attachment angle, respectively. Equation (1) can be rewritten as follows:
where is the accumulated mass with respect to link j, which can be expressed as follows:
Rewriting Equation (3) yields the product of the angles as follows:
It is shown that on the pre-connected joint of link j, the torque contribution of the ground-attached spring attached to the link and the torque contribution of the ground-attached spring attached to succeeding links together counteract gravitational torque, which is defined as the torque-sharing effect between these adjacent coupled ground-attached springs. It is also shown that the ground-attached spring attached to link j must have a torque-sharing effect with the ground-attached spring attached to the succeeding link; in other words, the ground-attached spring attached to link j must have a torque-sharing effect with the preceding ground-attached spring, and these ground-attached springs have the same pre-connected link.
Based on Equation (5), which shows the torque-sharing effect between ground-attached spring and springs , we can assume the sharing ratio, , to the torque contribution caused by ground-attached springs , which can be expressed as follows:
Substituting Equation (6) into Equation (5), the torque contribution caused by ground-attached spring is rearranged as a function of the sharing ratio, which can be expressed as follows:
Equations (5) and (7) show that the bound of the sharing ratio is from 0 to 1 because torque contribution caused by the spring attached to link j should bear some of the gravitational torque. Note that the sharing ratio cannot be 0; otherwise, the torque contribution caused by the springs attached to the links succeeding link j would be 0, which cannot balance the gravitational torque on links succeeding link j. However, the sharing ratio can equal 1, which would imply that the torque contribution caused by the spring attached to link j is 0; this situation can be achieved by adjusting the attachment length of the spring to 0 or the spring not existing.
As the sharing ratio increases, the torque contribution caused by the ground-attached springs attached to links succeeding link j also increases, i.e., the distribution of torque load with respect to joint j for these springs increases, while the torque load for spring decreases. For example, in a 2-DOF manipulator with springs and in Table 1, these coupled springs have a torque-sharing effect on joint 1, and the sharing ratio is assumed on spring . When the sharing ratio increases, meaning the gravitational torque loaded by spring increases, it should use a spring with larger stiffness in design.
Table 1.
Torque-sharing effect of a serial manipulator with spring configurations.
Axiom 1: For a ground-attached spring attached to link j and succeeding ground-attached springs with the same pre-connected link, the torque-sharing effect between these springs shares gravitational torque on the pre-connected joint of the link. For a ground-attached spring attached to link j and succeeding ground-attached springs on the preceding joint of link j, the bound of the sharing ratio of the spring is from 0 to 1; as the spring attached to link j sharing gravitational torque increases, succeeding ground-attached springs sharing gravitational torque decrease.
2.2. Adjacent Coupled Non-Ground-Attached Spring Condition
Based on Equation (2), the attachment angles of non-ground-attached springs can be one of two options: one is and and the other is and for pre-attachment angle and post-attachment angle, respectively. As such, Equation (2) can be rewritten as follows:
Rewriting Equation (8) yields the product of the angles as follows:
Equation (9) shows that the torque-sharing effect occurs among spring , springs , and springs , where q is from 2 to i − 1 and v is from j + 1 to n, with respect to the pre-connected joint of link j which counteracts the torque caused by ground-attached springs. It also shows that, for a pre-connected joint of link j, non-ground-attached springs with post-connected links that succeed link j have the torque-sharing effect. In other words, for a typical joint, when there are non-ground-attached springs that form the same pre-connected links and have the same pre-connected links crossing the joint, the torque-sharing effect exists among these springs with respect to the joint.
The torque-sharing effect for a static-balanced manipulator with admissible spring configurations up to three DOF is shown in Table 1. For a 1-DOF or 2-DOF manipulator with one ground-attached spring or one non-ground-attached spring, there is no torque-sharing effect between springs. For a 2-DOF manipulator with ground-attached springs attached to links 2 and 3, the torque-sharing effect is between the two springs on joint 1. For a 3-DOF manipulator with ground-attached springs attached to links 3 and 4, the torque-sharing effect between these two springs is on joints 1 and 2. For non-ground-attached springs with the same pre-connected link or same post-connected link only, there is no torque-sharing effect between these springs. For a 3-DOF manipulator with ground-attached springs attached to links 2 and 4, the torque-sharing effect is between these two springs on joints 1, and there is no torque-sharing effect between non-ground-attached springs.
Axiom 2: When a ground-attached spring is attached to link j and the succeeding ground-attached springs exist without any preceding ground-attached springs, the torque-sharing effect between these springs shares the gravitational torque on the pre-connected joint of the preceding link, such that the dimensionless attachment length of the spring attached to link j is determined. When a ground-attached spring is attached to link j and succeeding ground-attached springs without preceding the ground-attached springs, the dimensionless attachment length of the spring attached to link j is determined. As such, the upper bound of the sharing ratio of the spring is determined by the ratio of the accumulated mass of link j to the accumulated mass of link j + 1.
The torque-sharing effect derived above also applies to cases where the coupled springs are connected to non-adjacent links. Accordingly, the following discussion extends the sharing ratio analysis to non-adjacent coupled spring conditions, classified by whether their ground-attached springs are located at the preceding or succeeding link.
2.3. Coupled Springs with Non-Adjacent Connected Links at Preceding Link
When there is a ground-attached spring and springs , there is a break point at the preceding link, i.e., the ground-attached spring attached to the preceding link does not exist. In the following content, ground-attached spring does not exist so as to introduce an effect on the sharing ratio. Based on Equation (5), the torque contribution caused by a ground-attached spring and springs on the pre-connected joint of link j − 1 can be expressed as follows:
It is shown that when adjacent springs are attached and succeed link j without a spring attached to the preceding link, the torque contribution of spring and the succeeding ground-attached springs have a torque-sharing effect on the preceding joint, offering another constraint for the springs. Equation (10) can express another constraint for these ground-attached springs; dividing Equation (5) by Equation (10) obtains the following:
It is shown that when the torque contribution of succeeding ground-attached springs is determined, the dimensionless attachment length of spring is determined. For example, when the last ground-attached spring without a spring is attached to the preceding link n − 1, its attachment length is determined by given link properties. Then, the torque contribution of spring can be recursively determined as well, as well as that of other preceding ground-attached springs.
Based on Equation (6), the sharing ratio, , to torque contribution caused by ground-attached springs attached to links succeeding link j can be expressed as follows:
Substituting Equation (12) into Equation (10), the torque contribution caused by ground-attached spring is rearranged as a function of the sharing ratio, which can be expressed as follows:
Substituting Equation (12) into Equation (11), the dimensionless ratio of the post-attachment length of spring to the length of link j can be expressed as a function of the sharing ratio, which can be rewritten as follows:
Equation (14) shows the relationship between the dimensionless length ratio and sharing ratio under given link mass properties of the manipulator; when the sharing ratio increases, the dimensionless length ratio decreases, which means when the torque load for spring with respect to joint j − 1 increases, the post-attachment length decreases, i.e., the attached point of the spring on link j is nearer to the pre-connected joint of the link. Equation (14) can be rewritten as the sharing ratio is a function of the dimensionless length ratio, which can be expressed as follows:
Equation (15) shows the sharing ratio under given link mass properties and can be used for the design of a manipulator with other limitations such as geometry.
Based on Equation (14), because the dimensionless length ratio should be from 0 to 1, Equation (14) can be expressed as an inequality:
Equation (16) shows that the range of the dimensionless ratio of the sharing ratio is from 0 to 1; because the range of the sharing ratio is from 0 to 1, the denominator must be positive, and therefore the numerator should be positive as well. As such, the range of the sharing ratio can be expressed as follows:
Equation (17) shows that the upper bound of the sharing ratio is determined when the link masses of the manipulator are given under the condition of coupled springs with adjacent connected links crossing multiple joints; the upper bound is expressed as a ratio of accumulated mass on the pre-connected joint of link j to the accumulated mass on the pre-connected joint of link j − 1. Compared to the sharing ratio under the condition of coupled springs with adjacent connected links crossing one joint only, the bounds of the range are not constrained by link properties; because coupled springs cross multiple joints, the number of static balancing equations increases, such that the bound of the sharing ratio is limited. For example, in a 3-DOF manipulator with springs and , as shown in Table 1, these coupled springs have torque-sharing effect on joints 1 and 2, and the sharing ratio is assumed on spring with respect to joint 1. When the sharing ratio increases, which means the gravitational torque loaded by spring increases, the upper bound of the sharing ratio is limited because if the ratio is larger than the limitation, the torque contribution caused by spring becomes more than the gravitational torque with respect to joint 2, and the torque contribution caused by spring must enhance the gravitational torque to maintain the static balance condition, which is a nonsensical situation.
2.4. Sharing Ratio of Coupled Springs with Non-Adjacent Connected Links at the Succeeding Link
When there is a ground-attached spring and springs , there is a break point at the succeeding link, i.e., the ground-attached spring attached to the preceding link does not exist. In the following content, the ground-attached spring does not exist so as to introduce an effect on the sharing ratio. Based on Equation (5), the torque contribution caused by a ground-attached spring and springs on the pre-connected joint of link j + 1 can be expressed as follows:
It is shown that for ground-attached springs , there is a break point at preceding link j + 1, based on Equation (10), which can be rewritten as follows:
Equation (19) shows that the torque contribution caused by ground-attached springs is determined; substituting Equation (19) into Equation (18), this can be rewritten as follows:
It is shown that the torque contribution caused by spring is determined as well.
Based on Equation (6), the sharing ratio, , to torque contribution caused by ground-attached springs attached to links succeeding to link j can be expressed as follows:
Substituting Equation (21) into Equation (19), the sharing ratio can be rewritten as follows:
Equation (22) shows that the sharing ratio is determined as the link masses of the manipulator are given under the condition of coupled springs with non-adjacent connected links crossing joints. Compared to the sharing ratio under the condition of coupled springs with adjacent connected links crossing joints, the upper bound is limited by link properties; because the coupled springs, , have the torque-sharing effect between themselves and have a torque-sharing effect with spring , the sharing ratio of springs is determined by the torque-sharing effect between themselves. For example, in a 3-DOF manipulator with springs and , as shown in Table 1, these coupled springs have a torque-sharing effect on joint 1, and the sharing ratio is assumed on spring with respect to joint 1. The sharing ratio is determined, meaning that the distribution of gravitational torque is counteracted by springs and and cannot be adjusted.
Axiom 3: When a ground-attached spring is attached to link j and the succeeding ground-attached springs are not adjacent, the torque caused by succeeding ground-attached springs is determined, such that the torque caused by the spring attached to link j can be determined. When a ground-attached spring is attached to link j and succeeding ground-attached springs are not adjacent, the torque caused by the springs is determined, such that the sharing ratio can be determined.
The aforementioned analytical results summarize the sharing ratio characteristics for various coupling conditions between ground-attached springs in multi-link manipulators. These results establish the theoretical foundation for determining spring parameters under static balance constraints. In the following section, the validity of these relationships is demonstrated through a case study of a three-degree-of-freedom (3-DOF) spring static-balanced manipulator, where the effects of adjacent and non-adjacent coupling conditions are examined and compared.
3. Case Study Results: 3-DOF Spring Static-Balanced Manipulator
The illustrative examples of a 3-DOF static-balanced manipulator with different spring configurations, which are shown in Figure 2, verify their ability to achieve static balance. The example shown in Figure 2a is a 3-DOF manipulator with springs , , , and ; the ground-attached springs have a torque-sharing effect on joints 1 and 2, and the sharing ratio is assumed for spring , for which the upper bound is limited. However, non-ground-attached springs do not have a torque-sharing effect.
Figure 2.
A 3-DOF gravity-balanced manipulator with springs (a) , , , ; (b) , , , .
Based on Equations (5) and (10), the torque-sharing effect on joints 1 and 2 can be expressed as follows:
Based on Equation (12), the sharing ratio of spring can be expressed as follows:
Based on Equations (11) and (14), the dimensionless attachment length ratio of ground-attached springs can be expressed as follows:
Based on Equation (17), the bounds of the sharing ratio can be expressed as follows:
The example shown in Figure 2b is a 3-DOF manipulator with springs , , , and ; the ground-attached springs have a torque-sharing effect on joint 1 only, and the sharing ratio is assumed for spring . The non-ground-attached springs do not have a torque-sharing effect.
Based on Equations (5) and (19), the torque-sharing effect on joints 1 and 2 can be expressed as follows:
Based on Equation (21), the sharing ratio of spring can be expressed as follows:
Based on Equation (22), the sharing ratio is determined as follows:
The realistic industry 3-DOF manipulator of KUKA (KR 10 R900 CR) (Augsburg, Germany) is shown in Figure 3. And the link properties of the KUKA manipulator are shown in Table 2. The industry manipulator has six axes; to simplify the optimization problem, it is assumed that the manipulator has three rotation DOFs on a plane.
Figure 3.
KUKA industry manipulator (KR 10 R900 CR).
Table 2.
Link properties of the KUKA industry manipulator (KR 10 R900 CR).
A 3-DOF manipulator with springs with non-adjacent connected links at the preceding link is used as an illustrative example. Substituting link properties into Equation (4), the accumulated mass for links , , and is equal to 7, 2.25, and 0.25, respectively. Based on Equation (28), the bounds of the sharing ratio can be expressed as follows:
Under the given sharing ratio condition, for ground-attached spring properties, it is assumed that the spring stiffness is given; based on Equations (26) and (27), the post-attachment length of springs can be determined, and then the pre-attachment length of springs can be determined. For non-ground-attached spring properties, based on Equation (9), this can be expressed as follows:
It is shown that when ground-attached spring properties and stiffness of non-ground-attached springs are known or given, attachment length can be determined. The spring properties under different sharing ratios are shown in Table 3.
Table 3.
Spring stiffness and attachment length with sharing ratio of 0.1, 0.2, and 0.3.
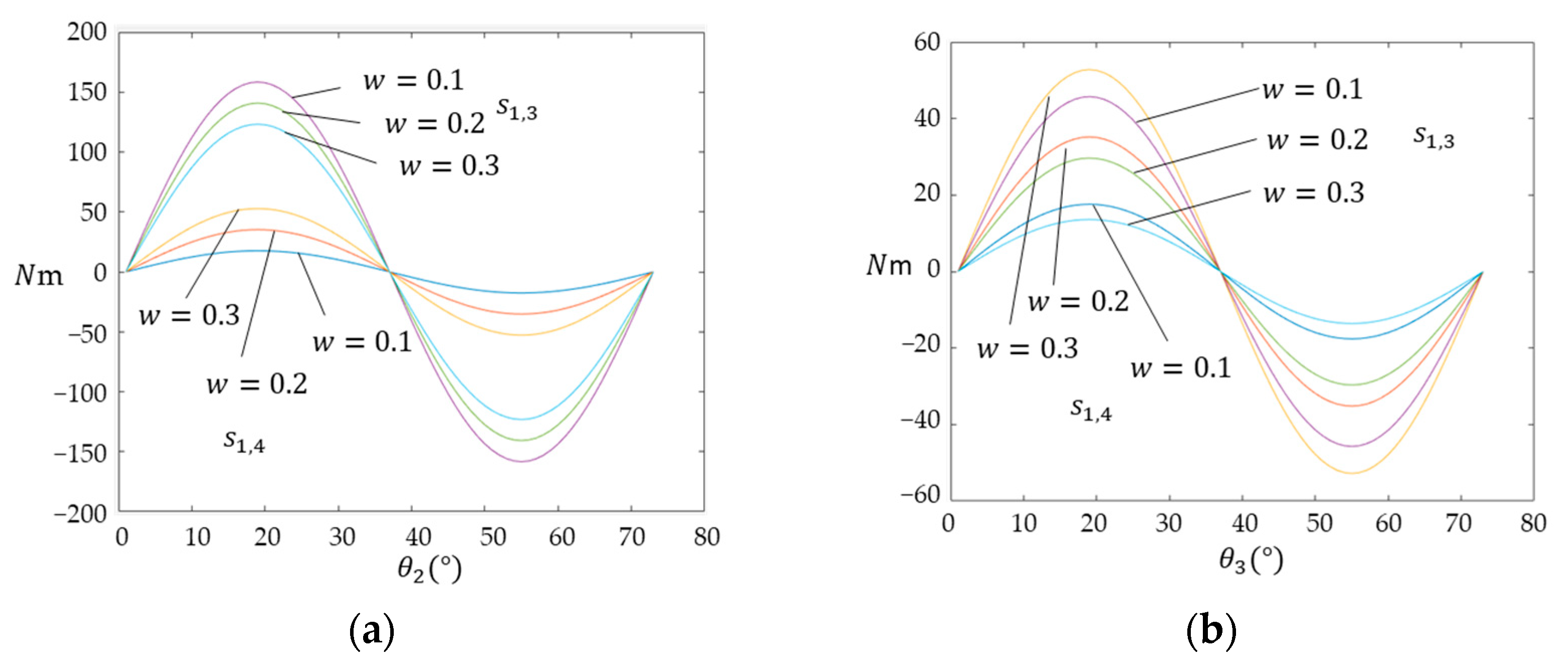
Under a different sharing ratio, the torque-sharing effect between ground-attached spring properties based on numerical simulation, shown in Table 3, is shown in Figure 4. On joint 1, when the torque contribution caused by spring increases, the torque contribution caused by spring decreases, and the former is always less than the latter, which means gravitational torque is mainly counteracted by spring . On joint 2, the trend of spring torque contributions is similar, but gravitational torque is mainly counteracted by spring , which changes to spring when the sharing ratio increases; in addition, they are equal, i.e., they each balance half of the gravitational torque when the sharing ratio is 0.19.
Figure 4.
Torque due to springs and with sharing ratio = 0.1, 0.2, and 0.3 on (a) joint 1 and (b) joint 2.
When the sharing ratio increases, the pre-attachment length and the post-attachment length of spring decrease and increase, respectively, and the varied amount decreases. The force of spring increases with increasing pre-attachment length; the amount varied more than the post-attachment length, and its direction became nearly vertical. Though the force arm of the torque contribution decreases, torque contribution increases.
For spring , both pre-attachment length and post-attachment length decrease as the sharing ratio increases, and the varied amount decreases and increases, respectively. When the sharing ratio increases, the spring force decreases, as does the torque contribution. For the joint reaction force, in this case, it can be predicted as to which is decreasing, with the sharing ratio increasing because the non-ground-attached springs’ attachment length is decreasing, i.e., most of the springs’ forces are decreasing.
The KUKA industry manipulator simulation considers joints 1 and 2 only because the mass and length of link 4 are much lower than those of other links, so the rotation affecting the reaction force is negligible; the rotation range of joints 1 and 2 are from −45, −155 to 190, 120 degrees, respectively. The Matlab Simulink tool (R2019a) was used to simulate joint reaction force on joints of a 3-DOF spring static-balanced manipulator, and the results are shown in Figure 5, Figure 6 and Figure 7 with different sharing ratios. The result shows that on joints 1 and 2, the reaction force increases with the sharing ratio, but the reaction force on joint 3 decreases.
Figure 5.
Sharing ratio = 0.1: joint reaction force on (a) joint 1, (b) joint 2, and (c) joint 3.
Figure 6.
Sharing ratio = 0.2: joint reaction force on (a) joint 1, (b) joint 2, and (c) joint 3.
Figure 7.
Sharing ratio = 0.3: joint reaction force on (a) joint 1, (b) joint 2, and (c) joint 3.
These simulation results quantitatively demonstrate the effect of the torque-sharing ratio on both torque distribution and joint reaction forces. When the sharing ratio approaches 0.28, the manipulator achieves the most balanced performance, minimizing the joint reaction forces while maintaining efficient torque distribution. This confirms that the proposed torque-sharing formulation provides an effective guideline for selecting spring attachment parameters in multi-DOF statically balanced manipulators.
4. Discussion
The illustrative examples of 3-DOF statically balanced manipulators with different spring configurations are shown in Figure 2. A 3-DOF statically balanced manipulator equipped with springs , , , and is selected to verify the relationship between the sharing ratio and the joint reaction force. The results show that adjusting the sharing ratio affects the variation of the joint reaction force. This indicates that, for a spring statically balanced manipulator with a torque-sharing effect, the joint reaction force can be adjusted or even optimized. Compared with a manipulator having a constant sharing ratio or without torque-sharing effects, the aforementioned configuration generally exhibits better joint reaction force performance.
However, according to Equation (17), the sharing ratio is subject to certain limitations, implying that the range of possible joint reaction force adjustments is finite. Even in some cases where the sharing ratio theoretically varies from 0 to 1, such limitations still exist. Nevertheless, the ability to tune the joint reaction force remains beneficial for designers. It enables the design of spring statically balanced manipulators that achieve preferred joint reaction force distributions or accommodate specific joints with higher structural strength. The proposed methodology is thus suitable for practical applications such as robotic arms, exoskeletons, and cranes, where spatial constraints, interference avoidance, or joint reaction force distribution requirements are critical design considerations.
5. Conclusions
This study presents a design methodology for serial manipulators equipped with spring static-balanced systems, aiming to reduce spring attachment adjustments. By introducing the concept of coupled springs—springs spanning pre-connected or post-connected links across a joint—the gravitational torque at each joint can be systematically countered. The distribution of gravitational torque with respect to each joint to the coupled springs defines their effective load, which provides a basis for evaluating and guiding the design of spring-balanced manipulators.
The torque-sharing ratio, defined as the proportion of gravitational torque balanced by each coupled spring, is derived and its bounds are clarified under different spring configurations. The analysis shows how adjacent and non-adjacent coupled springs lead to distinct bounds of the sharing ratio, thereby influencing the torque distribution across the manipulator. This provides a generalized criterion for designers to predict and adjust the load of each spring.
A numerical example illustrates how the proposed approach can be applied to identify spring allocation strategies that achieve different torque sharing and reduced joint reaction forces. The main contribution of this work, therefore, lies not in reporting specific quantitative improvements, but in establishing a generalizable method that serves as a reference for systematic spring allocation and torque distribution design in static-balanced manipulators.
Author Contributions
Conceptualization, C.-S.J. and D.-Z.C.; methodology, C.-S.J. and D.-Z.C.; software, C.-S.J.; writing—original draft preparation, C.-S.J.; writing— review and editing, C.-S.J.; visualization, C.-S.J. All authors have read and agreed to the published version of the manuscript.
Funding
This research received no external funding.
Data Availability Statement
The original contributions presented in this study are included in the article. Further inquiries can be directed to the corresponding author(s).
Conflicts of Interest
The authors declare no conflicts of interest.
Abbreviations
The following symbols are used in this manuscript:
| Pre-attachment length of spring from post-connecting joint of link i to the pre-attachment point of on link i | |
| Pre-attachment length of spring from pre-connecting joint of link j to the post-attachment point of on link j | |
| Value of gravitational acceleration | |
| Spring stiffness of | |
| Mass of link j | |
| Accumulated mass with respect to link j | |
| Length from pre-connecting joint to post-connecting joint of link j | |
| The spring that connects link i and link j | |
| The spring that connects link i and link j, which contributes to sharing the gravitational torque from the pre-connecting joint of the link | |
| w | Torque-sharing ratio |
| Pre-attachment angle of from axis to the position vector of pre-attachment point on link i | |
| Post-attachment angle of from axis to the position vector of post-attachment point on link j |
Appendix A
Figure A1.
Flowchart of Spring Torque-Sharing Effect Discussion.
Figure A1.
Flowchart of Spring Torque-Sharing Effect Discussion.

References
- Aversa, R.; Petrescu, R.V.V.; Akash, B.; Bucinell, R.B.; Li, S.; Apicella, A.; Petrescu, F.I.T. Kinematics and Forces to a New Model Forging Manipulator. Am. J. Appl. Sci. 2017, 14, 60–80. [Google Scholar] [CrossRef][Green Version]
- Yamamoto, T.; Terada, K.; Ochiai, A.; Saito, F.; Asahara, Y.; Murase, K. Development of Human Support Robot as the research platform of a domestic mobile manipulator. Robomech J. 2019, 6, 1–15. [Google Scholar] [CrossRef]
- Wang, W.; Li, J.; Wang, S.; Su, H.; Jiang, X. System design and animal experiment study of a novel minimally invasive surgical robot. Int. J. Med. Robot. Comput. Assist. Surg. 2016, 12, 73–84. [Google Scholar] [CrossRef]
- Hockstein, N.G.; Nolan, J.P.; O’Malley, B.W.; Woo, Y.J. Robotic microlaryngeal surgery: A technical feasibility study using the DaVinci surgical robot and an airway mannequin. Laryngoscope 2005, 115, 780–785. [Google Scholar] [CrossRef]
- Gopura, R.; Bandara, D.S.V.; Kiguchi, K.; Mann, G.K.I. Developments in hardware systems of active upper-limb exoskeleton robots: A review. Robot. Auton. Syst. 2016, 75, 203–220. [Google Scholar] [CrossRef]
- Salisbury, J.; Craig, J. Articulated Hands: Force Control and Kinematic Issues. Int. J. Robot. Res. 1982, 1, 4–17. [Google Scholar] [CrossRef]
- Zhou, L.L.; Bai, S.P.; Andersen, M.S.; Rasmussen, J. Modeling and Design of a Spring-loaded, Cable-driven, Wearable Exoskeleton for the Upper Extremity. Model. Identif. Control 2015, 36, 167–177. [Google Scholar] [CrossRef]
- Huysamen, K.; Bosch, T.; de Looze, M.; Stadler, K.S.; Graf, E.; O’Sullivan, L.W. Evaluation of a passive exoskeleton for static upper limb activities. Appl. Ergon. 2018, 70, 148–155. [Google Scholar] [CrossRef]
- Bortoletto, R.; Mello, A.N.; Piovesan, D. A springs actuated finger exoskeleton: From mechanical design to spring variables evaluation. In Proceedings of the 2017 International Conference on Rehabilitation Robotics (ICORR), London, UK, 17–20 July 2017. [Google Scholar] [CrossRef]
- Grazi, L.; Trigili, E.; Proface, G.; Giovacchini, F.; Crea, S.; Vitiello, N. Design and Experimental Evaluation of a Semi-Passive Upper-Limb Exoskeleton for Workers with Motorized Tuning of Assistance. IEEE Trans. Neural Syst. Rehabil. Eng. 2020, 28, 2276–2285. [Google Scholar] [CrossRef]
- Hidayah, R.; Sui, D.; Wade, K.A.; Chang, B.-C.; Agrawal, S. Passive knee exoskeletons in functional tasks: Biomechanical effects of a SpringExo coil-spring on squats. Wear Technol. 2021, 2, e7. [Google Scholar] [CrossRef]
- Eguchi, Y.; Kadone, H.; Suzuki, K. Standing Mobility Device with Passive Lower Limb Exoskeleton for Upright Locomotion. IEEE/ASME Trans. Mechatron. 2018, 23, 1608–1618. [Google Scholar] [CrossRef]
- Zhou, L.; Chen, W.; Chen, W.; Bai, S.; Zhang, J.; Wang, J. Design of a passive lower limb exoskeleton for walking assistance with gravity compensation. Mech. Mach. Theory 2020, 150, 103840. [Google Scholar] [CrossRef]
- Gosselin, C. Gravity compensation, static balancing and dynamic balancing of parallel mechanisms. In Smart Devices and Machines for Advanced Manufacturing; Wang, L., Xi, J., Eds.; Springer: London, UK, 2008; pp. 27–48. [Google Scholar] [CrossRef]
- de Vries, A.W.; Krause, F.; de Looze, M.P. The effectivity of a passive arm support exoskeleton in reducing muscle activation and perceived exertion during plastering activities. Ergonomics 2021, 64, 712–721. [Google Scholar] [CrossRef]
- Gu, Y.; Ren, G.; Zhou, M. A fully coupled elastohydrodynamic model for static performance analysis of gas foil bearings. Tribol. Int. 2020, 147, 106297. [Google Scholar] [CrossRef]
- Lee, D.-H.; Kim, Y.-C.; Kim, K.-W. The effect of Coulomb friction on the static performance of foil journal bearings. Tribol. Int. 2010, 43, 1065–1072. [Google Scholar] [CrossRef]
- Martini, A.; Troncossi, M.; Rivola, A. Algorithm for the static balancing of serial and parallel mechanisms combining counterweights and springs: Generation, assessment and ranking of effective design variants. Mech. Mach. Theory 2019, 137, 336–354. [Google Scholar] [CrossRef]
- Hoevenaars, A.G.L.; Gosselin, C.; Lambert, P.; Herder, J.L. A systematic approach for the Jacobian analysis of parallel manipulators with two end-effectors. Mech. Mach. Theory 2017, 109, 171–194. [Google Scholar] [CrossRef]
- Segla, S. Static balancing of robot mechanisms and manipulation devices. Stroj. Čas. J. Mech. Eng. 2018, 68, 77–90. [Google Scholar] [CrossRef]
- Tschiersky, M.; Hekman, E.E.G.; Herder, J.L.; Brouwer, D.M.; Tschiersky, M. Gravity balancing flexure spring mechanisms for shoulder support in assistive orthoses. IEEE Trans. Med. Robot. Bionics 2021, 4, 448–459. [Google Scholar] [CrossRef]
- Baradat, C.; Arakelian, V.; Briot, S.; Guegan, S. Design and prototyping of a new balancing mechanism for spatial parallel manipulators. J. Mech. Des. 2008, 130, 072305. [Google Scholar] [CrossRef]
- Cho, C.H.; Lee, W. Design of a static balancer with equivalent mapping. Mech. Mach. Theory 2016, 101, 36–49. [Google Scholar] [CrossRef]
- Lu, Q.; Ortega, C.; Ma, O. Passive gravity compensation mechanisms: Technologies and applications. Recent Pat. Eng. 2011, 5, 32–44. [Google Scholar] [CrossRef]
- Barents, R.; Schenk, M.; van Dorsser, W.D.; Wisse, B.M.; Herder, J.L. Spring-to-spring balancing as energy-free adjustment method in gravity equilibrators. J. Mech. Des. 2011, 133, 061010. [Google Scholar] [CrossRef]
- van Dorsser, W.D.; Barents, R.; Wisse, B.M.; Herder, J.L. Gravity-balanced arm support with energy-free adjustment. J. Med. Devices 2007, 1, 151–158. [Google Scholar] [CrossRef]
- Kazerooni, H. Statically balanced direct drive manipulator. Robotica 1989, 7, 143–149. [Google Scholar] [CrossRef]
- Rahman, T.; Ramanathan, R.; Seliktar, R.; Harwin, W. A simple technique to passively gravity-balance articulated mechanisms. J. Mech. Des. 1995, 117, 655–658. [Google Scholar] [CrossRef]
- Simionescu, I.; Ciupitu, L. The static balancing of the industrial robot arms: Part II—Continuous balancing. Mech. Mach. Theory 2000, 35, 1299–1311. [Google Scholar] [CrossRef]
- Koser, K. A cam mechanism for gravity-balancing. Mech. Res. Commun. 2009, 36, 523–530. [Google Scholar] [CrossRef]
- Nguyen, V.L. Realization of a gear-spring balancer with variable payloads and its application to serial robots. J. Mech. Robot. 2023, 15, 041013. [Google Scholar] [CrossRef]
- Deepak, S.R.; Ananthasuresh, G. Perfect static balance of linkages by addition of springs but not auxiliary bodies. J. Mech. Robot. 2012, 4, 021014. [Google Scholar] [CrossRef]
- Chu, Y.-L.; Kuo, C.-H. A single-degree-of-freedom self-regulated gravity balancer for adjustable payload. J. Mech. Robot. 2017, 9, 021006. [Google Scholar] [CrossRef]
- Ulrich, N.; Kumar, V. Passive mechanical gravity compensation for robot manipulators. In Proceedings of the IEEE International Conference on Robotics and Automation, Sacramento, CA, USA, 9–11 April 1991; Volume 2, pp. 1536–1541. [Google Scholar] [CrossRef]
- Lin, P.-Y.; Shieh, W.-B.; Chen, D.-Z. Design of statically balanced planar articulated manipulators with spring suspension. IEEE Trans. Robot. 2011, 28, 12–21. [Google Scholar] [CrossRef]
- Lee, Y.-Y.; Chen, D.-Z. Determination of spring installation configuration on statically balanced planar articulated manipulators. Mech. Mach. Theory 2014, 74, 319–336. [Google Scholar] [CrossRef]
- Chiang, W.-H.; Chen, D.-Z. Design of planar variable-payload balanced articulated manipulators with actuated linear ground-adjacent adjustment. Mech. Mach. Theory 2017, 109, 296–312. [Google Scholar] [CrossRef]
Disclaimer/Publisher’s Note: The statements, opinions and data contained in all publications are solely those of the individual author(s) and contributor(s) and not of MDPI and/or the editor(s). MDPI and/or the editor(s) disclaim responsibility for any injury to people or property resulting from any ideas, methods, instructions or products referred to in the content. |
© 2025 by the authors. Licensee MDPI, Basel, Switzerland. This article is an open access article distributed under the terms and conditions of the Creative Commons Attribution (CC BY) license (https://creativecommons.org/licenses/by/4.0/).






