The Deformation Mechanism of the Rings of Angular-Contact Ball Bearings During the Quenching and Tempering Process
Abstract
1. Introduction
2. Numerical Model
- Firstly, the material’s constitutive relationship uses a simplified model to describe the mechanical behavior of the steel. This model disregards the evolution of microstructure and the anisotropy of materials to reduce computational complexity.
- Secondly, the bearing ring undergoes uniform heat transfer during the heat conduction process. Furthermore, potential material heterogeneity and detail are disregarded.
- Although the microstructure of the material (e.g., grain size, carbon content, etc.) has some effect on the deformation, in order to focus on the main deformation mechanisms of the heat treatment process, the effect of these microscopic factors is disregarded for the time being.
- In addition, although the temperature distribution and phase transformation behavior during the heat treatment process are more complex, based on a large number of experimental studies, the phase transformation properties of steel are described using a simplified model in order to obtain effective results within a reasonable computational time and using a reasonable number of resources.
2.1. Geometric Model
2.2. Setup for the Model Solution
2.3. Governing Equations
2.4. The Material Property Parameters
3. Experiment
4. Results and Discussion
4.1. The Stress Evolution of the Bearing Rings During the Quenching Process
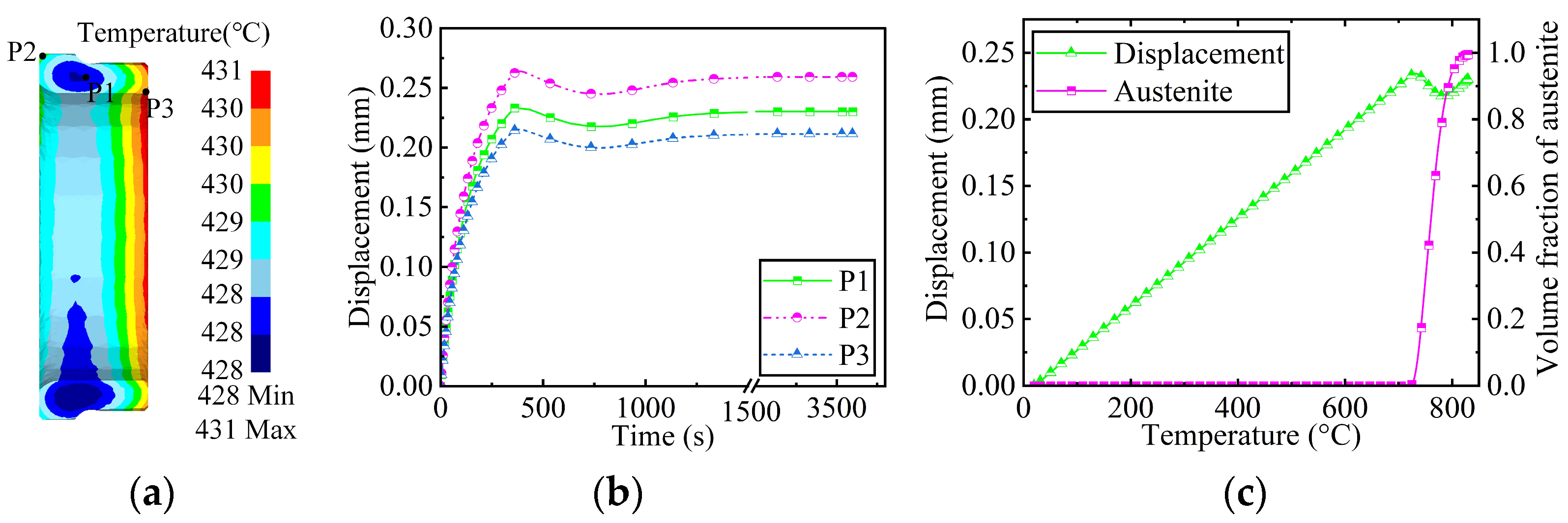
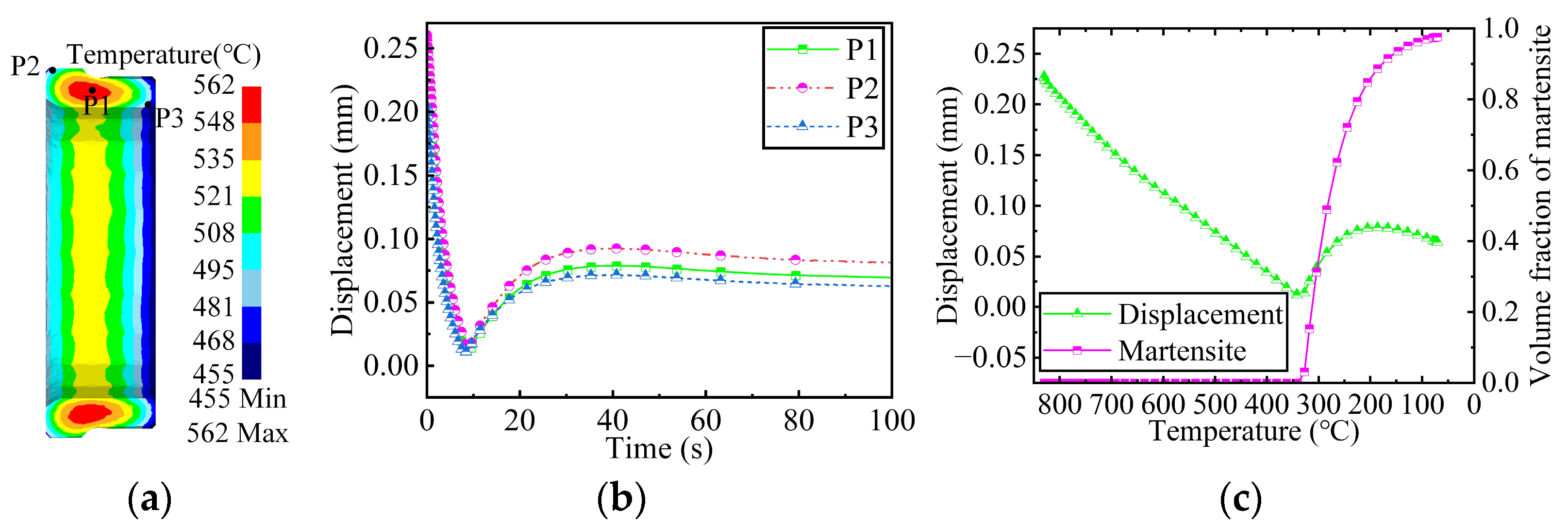
4.2. The Deformation of the Bearing Rings During the Quenching Process
4.2.1. The Mechanism of Dimensional Evolution of the Bearing Ring
4.2.2. The Experimental Results Are Compared with the Simulation Results
5. Conclusions
Author Contributions
Funding
Data Availability Statement
Conflicts of Interest
References
- Vencl, A.; Gasic, V.; Stojanovic, B. Fault tree analysis of most common rolling bearing tribological failures. IOP Conf. Ser. Mater. Sci. Eng. 2017, 174, 1. [Google Scholar] [CrossRef]
- Pastukhov, A.; Timashov, E. Procedure for Simulation of Stable Thermal Conductivity of Bearing Assemblies. Adv. Eng. Lett. 2023, 2, 58–63. [Google Scholar] [CrossRef]
- Pastukhov, A.; Timashov, E.; Stanojevic, D. Temperature Conditions and Diagnostics of Bearings. Adv. Eng. Lett. 2023, 8, 45–51. [Google Scholar] [CrossRef]
- Du, F.; Zhou, P.; Gou, P.; Li, C.; Deng, L.; Wang, X.Y.; Jin, J.S. Effect of hot deformation parameters on heat-treated microstructures and mechanical properties of 300M steel. Materials 2022, 15, 8927. [Google Scholar] [CrossRef] [PubMed]
- Ye, X.J.; Yang, B.B.; Liu, J.T.; Li, Y.P. Correlation between microstructure and mechanical properties of heat-treated novel powder metallurgy superalloy. Materials 2022, 15, 4524. [Google Scholar] [CrossRef]
- Wang, F.L.; Ye, X.Y.; Ren, S.B.; Zhang, K.H.; Liang, X.K.; Liu, G. Effect of intercritical annealing time on microstructure evolution and mechanical properties of low carbon medium manganese steel subjected to multi-step heat treatment process. Materials 2022, 15, 2425. [Google Scholar] [CrossRef] [PubMed]
- Kang, H.; Feng, G.Z.; Liu, N. Microstructure and properties of U75V 60 kg/m heavy rail at different cooling rates of heat treatment. J. Phys. Conf. Ser. 2023, 2566, 1–7. [Google Scholar] [CrossRef]
- Yamamoto, T.; Kumagai, K. Effects of Heat-treated Structures and Cold Working on Machinability of Chromium Case-hardening Steels in Comparison with Other Carbon and Low Alloy Steels. Trans. Iron Steel Inst. Jpn. 2019, 15, 345–352. [Google Scholar] [CrossRef]
- Lopez-Garcia, R.D.; Garcia-Pastor, F.A.; Maldonado-Reyes, A.; Jimemez-Gomez, M.A.; Rodriguez-Garcia, J.A. Analysis of the effect of immersion rate on the distortion and residual stresses in quenched SAE 5160 steel using FEM. J. Mater. Res. Technol. 2019, 8, 5557–5571. [Google Scholar] [CrossRef]
- Lopez-Garcia, R.D.; Medina-Juarez, I.; Maldonado-Reyes, A. Effect of Quenching Parameters on Distortion Phenomena in AISI 4340 Steel. Materials 2022, 12, 759. [Google Scholar] [CrossRef]
- Kim, N.K.; Bae, K.Y. Analysis of Deformation in the Carburizing-Quenching Heat Treatment of Helical Gears made of SCM415H Steel. Int. J. Precis. Eng. Manuf. 2015, 16, 73–79. [Google Scholar] [CrossRef]
- Shao, Y.Y.; Peng, W.F.; Chen, S.Q. Effect of cold treatment process on roundness of bearing ring. Mater. Res. Express 2022, 9, 6513. [Google Scholar] [CrossRef]
- Liu, H.M.; Zhao, J.Y.; Tang, J.Y.; Shao, W.; Sun, B.E. Simulation and Experimental Verification of Die Quenching Deformation of Aviation Carburized Face Gear. Materials 2023, 16, 690. [Google Scholar] [CrossRef]
- Liu, J.; Li, J.D.; Tian, Y.; Li, Y.; Wang, Z.D. Effects of vacuum oil quenching on distortion of 42CrMo Navy C-ring. Mater. Sci. Technol. 2022, 38, 1659–1666. [Google Scholar] [CrossRef]
- Li, X.; Ju, D.; Cao, J.; Ishikawa, K. Analysis of the Distortion of the Bearing Rings after Quenching. Coatings 2023, 13, 1190. [Google Scholar] [CrossRef]
- Esfahania, A.K.; Babaeib, M.; Sarrami-Foroushani, S. A numerical model coupling phase transformation to predict microstructure evolution and residual stress during quenching of 1045 steel. Math. Comput. Simul. 2021, 179, 1–22. [Google Scholar] [CrossRef]
- Wang, X.; Li, D.Q.; Li, P. Analysis and Optimization of Carburizing–Quenching Distortion on Locomotive Gear Ring. JOM 2023, 75, 2441–2450. [Google Scholar] [CrossRef]
- Liu, Q.; Ju, D.Y.; Li, X.S.; Ishikawa, K.; Lv, R.; Lian, W.F.; Zhang, M. Verification of the Non-Axisymmetric Deformation Mechanism of Bearing Rings after Quenched in a Multi-Field Coupled Simulation. Coatings 2022, 5, 676. [Google Scholar] [CrossRef]
- Chen, X.J.; Zhang, S.H.; Rolfe, B.; Li, D.Z. The FEM simulation and experiment of quenching distortion of a U-shape sample and the sensitivity analysis of material properties. Mater. Res. Express 2019, 11, 116539. [Google Scholar] [CrossRef]
- Zhang, K.Y.; Dong, W.C.; Lu, S.P. Experimental and Numerical Investigation of Stress and Distortion in AF1410 Steel Under Varying Quenching Conditions. J. Mater. Eng. Perform. 2022, 31, 6858–6869. [Google Scholar] [CrossRef]
- Yan, Y.M.; Xue, Y.J.; Yu, W.C.; Liu, K.; Wang, M.Q.; Wang, X.M.; Ni, L.Q. Predictions and Experiments on the Distortion of the 20Cr2Ni4A C-ring during Carburizing and Quenching Process. Materials 2022, 15, 4345. [Google Scholar] [CrossRef]
- Lin, J.; Li, D.; Zheng, K.; Liu, X. Experimental and modeling study of the interfacial and convective heat transfer coefficients of 6061 aluminum alloy in hot gas forming. Int. J. Adv. Manuf. Technol. 2024, 135, 985–996. [Google Scholar] [CrossRef]
- Zhang, X.; Li, Z.; Cui, X. Numerical simulation of heat treatment deformation of GCr15 bearing rings. Bearing 2020, 11, 45–49+69. [Google Scholar] [CrossRef]
- Zheng, J.; Zhang, W.; Deng, S. Numerical simulation of induction hardening process and organisational properties of spherical roller bearings. Trans. Mater. Heat Treat. 2020, 41, 133–141. [Google Scholar] [CrossRef]
- Zang, L.; Deng, S.; Zhang, W. Numerical simulation of medium-frequency induction quenching of double-row ball bearings. Trans. Mater. Heat Treat. 2018, 39, 137–144. [Google Scholar] [CrossRef]
- Bo, X. Interpretation of GB/T 18254-2016 “High Carbon Chromium Bearing Steel”. Heat Treat. 2019, 34, 57–60. [Google Scholar]
- Zhu, K.; Xiong, B.; Li, X.; Zhang, Y.; Li, Z.; Li, Y.; Wen, K.; Yan, L. Finite element simulation on residual stress during immersion quenching and pre-stretching of Al7055 thick plates. Mater. Res. Express 2022, 9, 026525. [Google Scholar] [CrossRef]
- Qin, S.; Ma, H.; Wang, L. Stress field simulation and its experimental verification of carburizing-quenching process performed on 18CrNiMo7-6 steel. Mater. Sci. 2023, 29. [Google Scholar] [CrossRef]
- Liu, Q.; Liu, Q.; Jiang, J.; Chen, M.; Ju, D. Numerical simulation and experimental study on quenching of high carbon chromium bearing outer ring. J. Ordnance Equip. Eng. 2023, 44, 78–86. [Google Scholar] [CrossRef]
- Wang, R.; Jiang, H.; Shao, W.; Yang, S.; Sun, X.; Cao, J.; Zhen, L. Quenching induced residue stress in M50 steel ring: A FEM simulation. J. Mater. Res. Technol. 2023, 24, 5298–5308. [Google Scholar] [CrossRef]

















| T (°C) | 25 | 100 | 200 | 300 | 400 | 500 | 600 | 700 | 800 | 900 |
|---|---|---|---|---|---|---|---|---|---|---|
| HTC (kW/m2°C) | 0.02 | 0.035 | 0.289 | 0.464 | 0.921 | 1.238 | 1.834 | 1.485 | 1.107 | 0.565 |
| Parameters | Inner Ring | Outer Ring |
|---|---|---|
| The total number of simulated steps | 3824 | 3875 |
| The number of elements | 69,984 | 56,768 |
| The minimum element size | 0.555 mm | 0.74 mm |
| The maximum element size | 1.110 mm | 1.48 mm |
| The temperature increment per step | 2 | 2 |
| Room temperature | 25 °C | |
| T (°C) | Density (kg/m3) | Modulus of Elasticity (Gpa) | Coefficient of Thermal Expansion (1/106 °C) | Poisson’s Ratio | Specific Heat Capacity (J/kg·°C) | Thermal Conductivity (W/m·°C) | ||||||||||||
|---|---|---|---|---|---|---|---|---|---|---|---|---|---|---|---|---|---|---|
| A | P | M | A | P | M | A | P | M | A | P | M | A | P | M | A | P | M | |
| 25 | 8.01 | 7.82 | 7.74 | 201 | 210 | 210 | 24.29 | 11.75 | 12.30 | 0.292 | 0.287 | 0.289 | 453 | 470 | 448 | 17.13 | 44.68 | 38.08 |
| 100 | 7.96 | 7.79 | 7.72 | 194 | 206 | 206 | 24.25 | 12.36 | 12.80 | 0.296 | 0.290 | 0.292 | 478 | 499 | 482 | 18.10 | 43.45 | 39.62 |
| 200 | 7.91 | 7.77 | 7.69 | 185 | 201 | 200 | 24.21 | 13.14 | 13.58 | 0.302 | 0.293 | 0.296 | 501 | 534 | 524 | 19.30 | 41.51 | 40.40 |
| 300 | 7.85 | 7.73 | 7.65 | 176 | 193 | 192 | 24.18 | 13.95 | 14.30 | 0.308 | 0.297 | 0.300 | 520 | 574 | 571 | 20.50 | 39.27 | 39.94 |
| 400 | 7.80 | 7.70 | 7.62 | 167 | 183 | 182 | 24.16 | 14.78 | 15.01 | 0.313 | 0.300 | 0.304 | 538 | 622 | 628 | 21.70 | 36.91 | 38.46 |
| 500 | 7.74 | 7.67 | 7.59 | 158 | 172 | 170 | 24.16 | 15.63 | 15.73 | 0.319 | 0.304 | 0.308 | 555 | 684 | 702 | 22.90 | 34.61 | 36.35 |
| 600 | 7.69 | 7.63 | 7.55 | 149 | 160 | 157 | 24.16 | 16.50 | 16.46 | 0.325 | 0.307 | 0.312 | 571 | 783 | 805 | 24.10 | 32.43 | 34.08 |
| 700 | 7.64 | 7.59 | 7.51 | 139 | 146 | 143 | 24.18 | 17.41 | 17.18 | 0.331 | 0.311 | 0.316 | 587 | 928 | 973 | 25.30 | 30.56 | 32.08 |
| 800 | 7.59 | 7.55 | 7.48 | 130 | 131 | 127 | 24.21 | 18.33 | 17.90 | 0.336 | 0.314 | 0.320 | 603 | 841 | 808 | 26.49 | 29.29 | 30.65 |
| 900 | 7.54 | 7.51 | 7.44 | 120 | 116 | 112 | 24.52 | 19.26 | 18.63 | 0.342 | 0.318 | 0.324 | 618 | 783 | 737 | 27.69 | 28.71 | 29.93 |
Disclaimer/Publisher’s Note: The statements, opinions and data contained in all publications are solely those of the individual author(s) and contributor(s) and not of MDPI and/or the editor(s). MDPI and/or the editor(s) disclaim responsibility for any injury to people or property resulting from any ideas, methods, instructions or products referred to in the content. |
© 2025 by the authors. Licensee MDPI, Basel, Switzerland. This article is an open access article distributed under the terms and conditions of the Creative Commons Attribution (CC BY) license (https://creativecommons.org/licenses/by/4.0/).
Share and Cite
Gu, R.; Tong, Y.; Wang, Q.; Chen, L.; Shang, Z. The Deformation Mechanism of the Rings of Angular-Contact Ball Bearings During the Quenching and Tempering Process. Machines 2025, 13, 64. https://doi.org/10.3390/machines13010064
Gu R, Tong Y, Wang Q, Chen L, Shang Z. The Deformation Mechanism of the Rings of Angular-Contact Ball Bearings During the Quenching and Tempering Process. Machines. 2025; 13(1):64. https://doi.org/10.3390/machines13010064
Chicago/Turabian StyleGu, Ruijie, Yi Tong, Qiang Wang, Liaoyuan Chen, and Ziyang Shang. 2025. "The Deformation Mechanism of the Rings of Angular-Contact Ball Bearings During the Quenching and Tempering Process" Machines 13, no. 1: 64. https://doi.org/10.3390/machines13010064
APA StyleGu, R., Tong, Y., Wang, Q., Chen, L., & Shang, Z. (2025). The Deformation Mechanism of the Rings of Angular-Contact Ball Bearings During the Quenching and Tempering Process. Machines, 13(1), 64. https://doi.org/10.3390/machines13010064
