Unsteady Flow Behaviors and Vortex Dynamic Characteristics of a Marine Centrifugal Pump under the Swing Motion
Abstract
1. Introduction
2. Materials and Methods
2.1. Marine Centrifugal Pump Model
2.2. Experimental Devices and Methods
2.3. Numerical Simulation Method
3. Result and Discussion
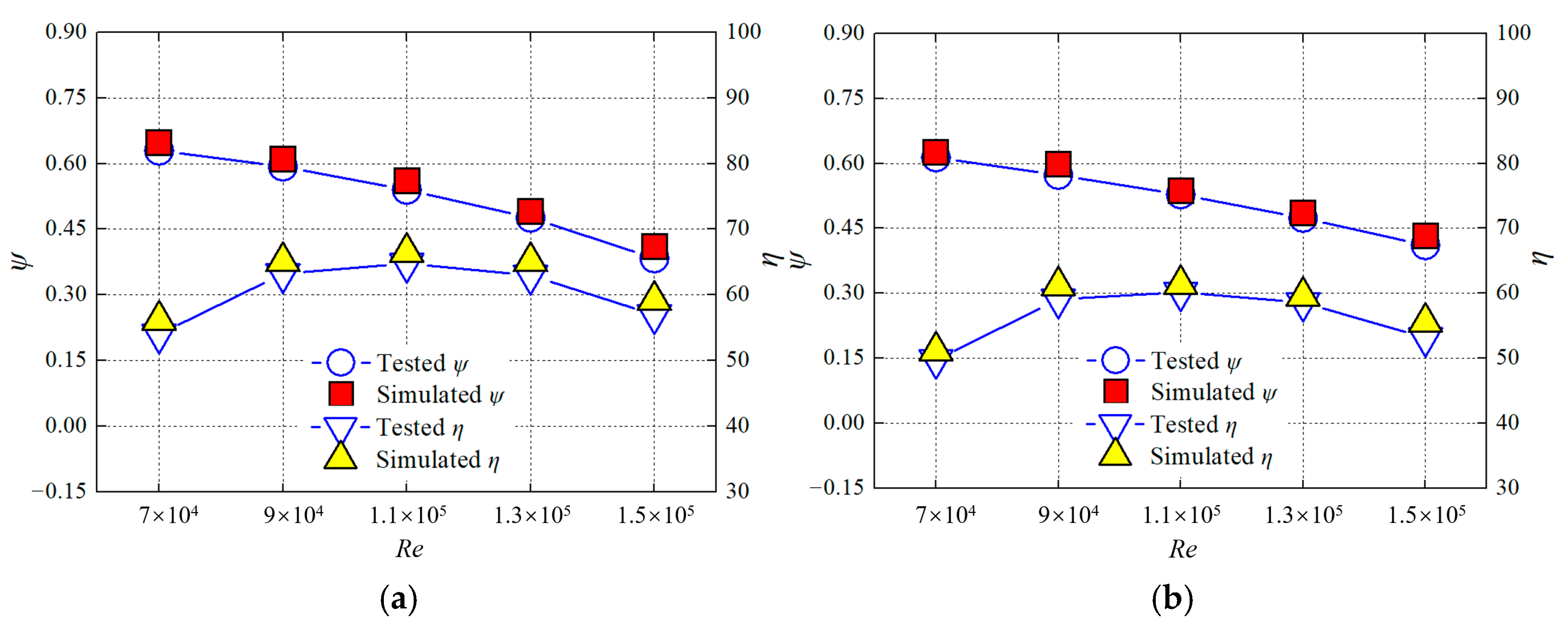
3.1. Steady Pump Performances at the Heel Position
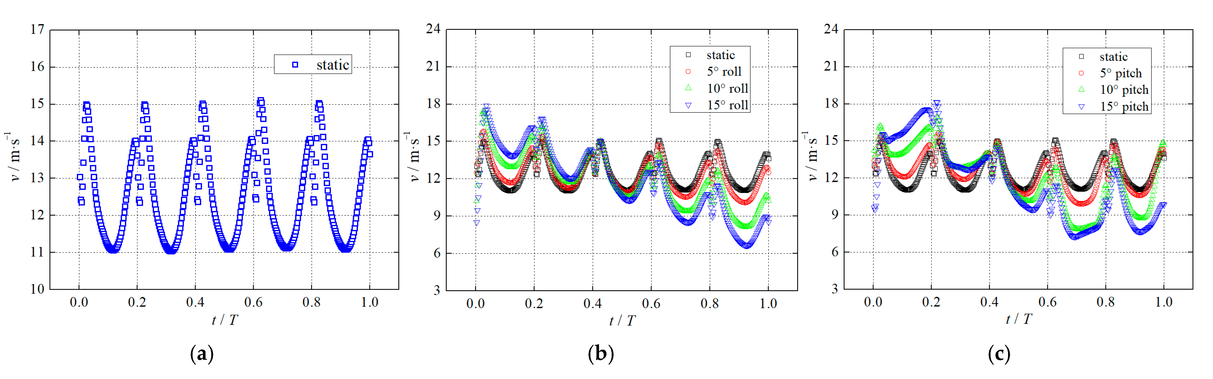
3.2. Transient Flow Characteristics under the Swing Motion
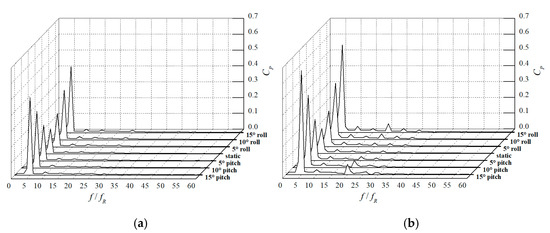
3.3. Vortex Dynamic Characteristics under the Swing Motion
4. Conclusions
Author Contributions
Funding
Data Availability Statement
Conflicts of Interest
Nomenclature
| ψ | head coefficient |
| η | hydraulic efficiency, % |
| CP | static pressure coefficient |
| QP | flow rate, m3/h |
| PT | total pressure, Pa |
| ρ | water density, kg/m3 |
| U2 | blade tip velocity, m/s |
| T | torque, N·m |
| Re | Reynolds number |
| V | flow velocity in the inlet pipe, m/s |
| D | inlet pipe diameter, m |
| υ | kinematic viscosity, m2/s |
| GCI | grid convergence index |
| Δx+ | Non-dimensional wall distances along the x axis |
| Δy+ | Non-dimensional wall distances along the y axis |
| Δz+ | Non-dimensional wall distances along the z axis |
| ui | flow velocity component at the i axis, m/s |
| μ | dynamic viscosity, Pa·s |
| μτ | eddy viscosity coefficient, Pa·s |
| u | flow velocity component at the x axis, m/s |
| v | flow velocity component at the y axis, m/s |
| w | flow velocity component at the z axis, m/s |
| θ | swing angle, degree |
| θmax | maximum swing angle, degree |
| Q | Q criterion number |
References
- Kim, M.H.; Cho, H.K.; Kim, B.J. Experimental and numerical investigation of flow dynamics in an upward bubbly flow in a tube undergoing oscillating rolling motion. Phys. Fluids 2024, 36, 013327. [Google Scholar] [CrossRef]
- Chang, S.; Kang, C.; Lee, C.; Yu, C. Effect of pitching and rolling motion on hydrothermal performance of rectangular channel flow enhanced by twisted-tape pin–fin array. Appl. Therm. Eng. 2021, 192, 116971. [Google Scholar] [CrossRef]
- Aziz, F.; Jo, D. Pressure fluctuations preceding critical heat flux during subcooled flow boiling in a one-side heated mini-channel under rolling motion. Ann. Nucl. Energy 2024, 198, 110306. [Google Scholar] [CrossRef]
- Yuan, H.; Tan, S.; Zhuang, N.; Lan, S. Flow and heat transfer in laminar–turbulent transitional flow regime under rolling motion. Ann. Nucl. Energy 2016, 87, 527–536. [Google Scholar] [CrossRef]
- Su, B.; Huang, K.; Lin, M.; Wang, Q. Experimental investigation on the flow patterns in a T-junction under steady and rolling motion conditions using PLIF. Chem. Eng. J. 2023, 465, 142772. [Google Scholar] [CrossRef]
- Basit, M.A.; Tian, W.; Chen, R.; Qiu, S.; Su, G. Numerical study of laminar flow and friction characteristics in narrow channels under rolling conditions using MPS method. Nucl. Eng. Technol. 2019, 51, 1886–1896. [Google Scholar] [CrossRef]
- Hwang, J.-S.; Lee, Y.-G.; Park, G.-C. Characteristics of critical heat flux under rolling condition for flow boiling in vertical tube. Nucl. Eng. Des. 2012, 252, 153–162. [Google Scholar] [CrossRef]
- Tan, S.; Wang, Z.; Wang, C.; Lan, S. Flow fluctuations and flow friction characteristics of vertical narrow rectangular channel under rolling motion conditions. Exp. Therm. Fluid Sci. 2013, 50, 69–78. [Google Scholar] [CrossRef]
- Kim, G.-W.; Yoo, J.-S.; Lee, C.W.; Hong, H.; Park, G.-C.; Cho, H.K. Critical heat flux correlations for tube and annulus geometries under inclination and rolling conditions. Appl. Therm. Eng. 2023, 225, 120131. [Google Scholar] [CrossRef]
- Li, Z.; Wang, M.; Fan, G.; Zeng, X.; Yan, Y.; Ma, F. Effects of rolling motion on flow and heat transfer characteristics in a tube bundle channel. Appl. Therm. Eng. 2023, 220, 119696. [Google Scholar] [CrossRef]
- Murtaza, H.; Basit, M.A.; Basit, R.; Tian, W. Numerical simulation of turbulent flow and friction characteristics through a loop of narrow Rrectangular channel under rolling motions. Nucl. Sci. Eng. 2023, 198, 1984–1997. [Google Scholar] [CrossRef]
- Chang, S.W.; Chen, Z.C. Hydrothermal performance of turbulent channel flow enhanced by spirally finned tube bundle in pitching and rolling motions. Therm. Sci. Eng. Prog. 2023, 37, 101567. [Google Scholar] [CrossRef]
- Chen, Y.; Ma, Y.; Liu, X.; He, D. Effect of rolling motion with large radius on flow and heat transfer characteristics of supercritical methane in a mini channel. Appl. Therm. Eng. 2021, 203, 117929. [Google Scholar] [CrossRef]
- Ghamkhar, K.; Ebrahimi, A.; Shariloo, K. Wavelet analysis of the flow field around an oscillating airfoil undergoing pure pitching motion at low Reynolds number. Phys. Fluids 2023, 35, 063607. [Google Scholar] [CrossRef]
- Xu, B.; Kang, H.; Shen, X.; Li, Z.; Cai, X.; Hu, Z. Aerodynamic analysis of a downwind offshore floating wind turbine with rotor uptilt angles in platform pitching motion. Ocean Eng. 2023, 281, 114951. [Google Scholar] [CrossRef]
- Guo, Y.; Wang, X.; Mei, Y.; Ye, Z.; Guo, X. Effect of coupled platform pitch-surge motions on the aerodynamic characters of a horizontal floating offshore wind turbine. Renew. Energy 2022, 196, 278–297. [Google Scholar] [CrossRef]
- Yuan, Y.; Gong, W.; Wang, G.; Wang, J. Research on the performance characteristics and unsteady flow mechanism of a cen-trifugal pump under pitch motion. Water 2023, 15, 3706. [Google Scholar] [CrossRef]
- Yuan, Y.; Fang, Y.; Tang, L. Effects of non-uniform elbow inflow on the unsteady flow and energy development characteristics of a centrifugal pump. Phys. Fluids 2023, 35, 015152. [Google Scholar] [CrossRef]
- Parfenyev, V. Statistical analysis of vortex condensate motion in two-dimensional turbulence. Phys. Fluids 2024, 36, 015148. [Google Scholar] [CrossRef]
- Kolokolov, I.V.; Ogorodnikov, L.L.; Vergeles, S.S. Structure of coherent columnar vortices in three-dimensional rotating turbulent flow. Phys. Rev. Fluids 2020, 5, 034604. [Google Scholar] [CrossRef]
- Frishman, A. The culmination of an inverse cascade: Mean flow and fluctuations. Phys. Fluids 2017, 29, 125102. [Google Scholar] [CrossRef]
- An, Y.-J.; Shin, B.R. Numerical investigation of suction vortices behavior in centrifugal pump. J. Mech. Sci. Technol. 2011, 25, 767–772. [Google Scholar] [CrossRef]
- Al-Obaidi, A.R.; Alhamid, J. Investigation of the main flow characteristics mechanism and flow dynamics within an axial flow pump based on different transient load conditions. Iran. J. Sci. Technol. Trans. Mech. Eng. 2023, 47, 1397–1415. [Google Scholar] [CrossRef]
- Kim, S.J.; Yang, H.M.; Park, J.; Kim, J.H. Investigation of internal flow characteristics by a Thoma number in theturbine mode of a Pump–Turbine model under high flow rate. Renew. Energy 2022, 199, 445–461. [Google Scholar] [CrossRef]
- Ye, W.; Ikuta, A.; Chen, Y.; Miyagawa, K.; Luo, X. Investigation on the effect of forward skew angle blade on the hump charac-teristic in a mixed flow pump using modified partially averaged Navier-Stokes model. Renew. Energy 2021, 170, 118–132. [Google Scholar] [CrossRef]
- El-Emam, M.A.; Zhou, L.; Omara, A.I. Predicting the performance of aero-type cyclone separators with different spiral inlets under macroscopic bio-granular flow using CFD–DEM modelling. Biosyst. Eng. 2023, 233, 125–150. [Google Scholar] [CrossRef]
- Kolokolov, I.V.; Lebedev, V.V.; Tumakova, M.M. Correlations of vorticity inside a coherent vortex. J. Exp. Theor. Phys. 2023, 136, 785–794. [Google Scholar] [CrossRef]
- Tong, Z.; Shang, B. Investigating three-dimensional vortex evolution in centrifugal pump under rotating stall conditions using tomographic particle image velocimetry. Phys. Fluids 2024, 36, 067101. [Google Scholar] [CrossRef]
- Tang, L.; Wang, W.; Zhang, C.; Wang, Z.; Yuan, S. Influence of Runner Downstream Structure on the Flow Field in the Runner of Small-Sized Water Turbine. Machines 2024, 12, 392. [Google Scholar] [CrossRef]
- Song, X.; Jin, Y.; Wang, Z.; Presas, A.; Tang, F.; Liu, C. Energy dissipation and time–frequency analysis of characteristics induced by vortex breakdown in an axial flow pump. Phys. Fluids 2024, 36, 065102. [Google Scholar] [CrossRef]
- Zhou, L.; Hang, J.; Bai, L.; Krzemianowski, Z.; El-Emam, M.A.; Yasser, E.; Agarwal, R. Application of entropy production theory for energy losses and other investigation in pumps and turbines: A review. Appl. Energy 2022, 318, 119211. [Google Scholar] [CrossRef]
- Stremler, M.A. On relative equilibria and integrable dynamics of point vortices in periodic domains. Theor. Compu-Tational Fluid Dyn. 2010, 24, 25–37. [Google Scholar] [CrossRef]
- Alawadhi, K.; Alzuwayer, B.; Alrahmani, M.; Murad, A. Evaluation of the Erosion Characteristics for a Marine Pump Using 3D RANS Simulations. Appl. Sci. 2021, 11, 7364. [Google Scholar] [CrossRef]
- Abdelsalam, S.I.; Magesh, A.; Tamizharasi, P.; Zaher, A.Z. Versatile response of a Sutterbynanofluid under activationenergy: Hyperthermia therapy. Int. J. Numer. Heat Fluid Flow 2023, 7, 408–428. [Google Scholar]
- Yan, B. Review of the nuclear reactor thermal hydraulic research in ocean motions. Nucl. Eng. Des. 2017, 313, 370–385. [Google Scholar] [CrossRef]
- Jin, G.; Yan, C.; Sun, L.; Xing, D. Effect of rolling motion on transient flow resistance of two-phase flow in a narrow rectangular duct. Ann. Nucl. Energy 2014, 64, 135–143. [Google Scholar] [CrossRef]
- Wang, Z.; He, Y.; Duan, Z.; Huang, C.; Yuan, Y.; Li, M.; Liu, S. Effects of rolling motion on transient flow behaviors of gas-liquid two-phase flow in horizontal pipes. Ocean Eng. 2022, 255, 111482. [Google Scholar] [CrossRef]
- Capurso, T.; Bergamini, L.; Torresi, M. Performance analysis of double suction centrifugal pumps with a novel impeller con-figuration. Energy Convers. Manag. X 2022, 14, 100227. [Google Scholar]
- Silveira, N.; Meghoe, A.; Tinga, T. Integration of multiple failure mechanisms in a life assessment method for centrifugal pump impellers. Adv. Mech. Eng. 2023, 15, 16878132231175755. [Google Scholar] [CrossRef]
- Oro, J.F.; Perotti, R.B.; Vega, M.G.; González, J. Effect of the radial gap size on the deterministic flow in a centrifugal pump due to impeller-tongue interactions. Energy 2023, 278, 127820. [Google Scholar] [CrossRef]





















| impeller inlet diameter/m | 0.04 |
| impeller outlet diameter/m | 0.16 |
| blade outlet width/m | 0.006 |
| blade number | 5 |
| blade wrap angle/° | 120 |
| blade inlet angle/° | 22 |
| blade outlet angle/° | 24 |
| volute base circle diameter/m | 0.162 |
| volute outlet diameter/m | 0.032 |
| Parameters | Values | |
|---|---|---|
| Number of elements | N1/N2/N3 | 9.4 × 106/1.2 × 107/2.1 × 107 |
| Computed head coefficients (ψ) corresponding to N1, N2, and N3 | ψ1/ψ2/ψ3 | 0.565/0.561/0.559 |
| Apparent order | p | 1.32 |
| Grid convergence index corresponding to N1, N2, and N3 | GCI1/GCI2/GCI3 | 3.08%/2.12%/1.93% |
Disclaimer/Publisher’s Note: The statements, opinions and data contained in all publications are solely those of the individual author(s) and contributor(s) and not of MDPI and/or the editor(s). MDPI and/or the editor(s) disclaim responsibility for any injury to people or property resulting from any ideas, methods, instructions or products referred to in the content. |
© 2024 by the authors. Licensee MDPI, Basel, Switzerland. This article is an open access article distributed under the terms and conditions of the Creative Commons Attribution (CC BY) license (https://creativecommons.org/licenses/by/4.0/).
Share and Cite
Yuan, Y.; Junejo, A.R.; Wang, J.; Chen, B. Unsteady Flow Behaviors and Vortex Dynamic Characteristics of a Marine Centrifugal Pump under the Swing Motion. Machines 2024, 12, 687. https://doi.org/10.3390/machines12100687
Yuan Y, Junejo AR, Wang J, Chen B. Unsteady Flow Behaviors and Vortex Dynamic Characteristics of a Marine Centrifugal Pump under the Swing Motion. Machines. 2024; 12(10):687. https://doi.org/10.3390/machines12100687
Chicago/Turabian StyleYuan, Ye, Abdul Rahim Junejo, Jun Wang, and Bo Chen. 2024. "Unsteady Flow Behaviors and Vortex Dynamic Characteristics of a Marine Centrifugal Pump under the Swing Motion" Machines 12, no. 10: 687. https://doi.org/10.3390/machines12100687
APA StyleYuan, Y., Junejo, A. R., Wang, J., & Chen, B. (2024). Unsteady Flow Behaviors and Vortex Dynamic Characteristics of a Marine Centrifugal Pump under the Swing Motion. Machines, 12(10), 687. https://doi.org/10.3390/machines12100687

