Kinematics and Dynamics Analysis of a 3UPS-UPU-S Parallel Mechanism
Abstract
:1. Introduction
- (1)
- The dynamic equations of the differential momentum screw and force screw are deduced in detail. There is no acceleration needed in dynamic modeling. It shows that utilizing momentum and the moment of momentum screws offers a clearer physical interpretation of the dynamics analysis and facilitates computation in programming.
- (2)
- The forces and torques of each joint can be simultaneously solved in the absolute coordinate system.
- (3)
- The programming code of this algorithm is compact and easy to structure and debug. This method can be applied not only to the analysis of parallel mechanisms but also to planar and spatial mechanisms.
2. Geometry Design of the Parallel Mechanism
3. Kinematics Analysis
3.1. Fundamentals of Screw Theory
3.2. Workspace and Mobility Analysis of the Parallel Mechanism
3.3. Kinematic Modeling of the Parallel Mechanism
4. Dynamic Modeling
4.1. Fundamentals of Momentum Screw in Dynamic Analysis
4.2. Dynamic Modeling of the 3UPS-UPU-S Parallel Mechanism
5. Numerical Simulation and Results Analysis
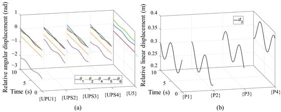
5.1. The Inverse Kinematics of the 3UPS-UPU-S Parallel Mechanism
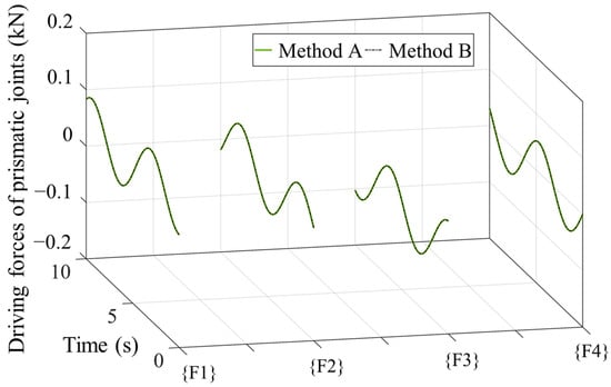
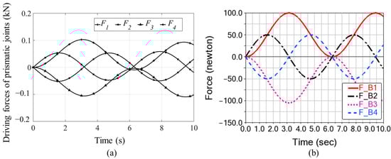
5.2. The Inverse Dynamics of the Parallel Mechanism
6. Conclusions
Author Contributions
Funding
Informed Consent Statement
Data Availability Statement
Conflicts of Interest
References
- Zhao, J.-S.; Wei, S.-T.; Sun, H.-L. Kinematics and Statics of a 3-UPU Robot in Screw Coordinates. J. Mech. Robot. 2023, 15, 061004. [Google Scholar] [CrossRef]
- Chen, X.; Wu, L.; Deng, Y.; Wang, Q. Dynamic Response Analysis and Chaos Identification of 4-UPS-UPU Flexible Spatial Parallel Mechanism. Nonlinear Dyn. 2017, 87, 2311–2324. [Google Scholar] [CrossRef]
- Liu, S.; Peng, G.; Gao, H. Dynamic Modeling and Terminal Sliding Mode Control of a 3-DOF Redundantly Actuated Parallel Platform. Mechatronics 2019, 60, 26–33. [Google Scholar] [CrossRef]
- Chen, M.; Zhang, Q.; Qin, X.; Sun, Y. Kinematic, Dynamic, and Performance Analysis of a New 3-DOF over-Constrained Parallel Mechanism without Parasitic Motion. Mech. Mach. Theory 2021, 162, 104365. [Google Scholar] [CrossRef]
- Zhao, J.-S.; Wei, S.-T.; Sun, X.-C. Dynamics of a 3-UPS-UPU-S Parallel Mechanism. Appl. Sci. 2023, 13, 3912. [Google Scholar] [CrossRef]
- Chen, X.; Li, Y. Dynamics Analysis of Spatial Parallel Mechanism with Irregular Spherical Joint Clearance. Shock Vib. 2019, 2019, 6242971. [Google Scholar] [CrossRef]
- Asadi, F.; Heydari, A. Analytical Dynamic Modeling of Delta Robot with Experimental Verification. Proc. Inst. Mech. Eng. Part K J. Multi-Body Dyn. 2020, 234, 623–630. [Google Scholar] [CrossRef]
- Zhang, C.; Jiang, H. Rigid-Flexible Modal Analysis of the Hydraulic 6-DOF Parallel Mechanism. Energies 2021, 14, 1604. [Google Scholar] [CrossRef]
- Niu, A.; Wang, S.; Sun, Y.; Qiu, J.; Qiu, W.; Chen, H. Dynamic Modeling and Analysis of a Novel Offshore Gangway with 3UPU/UP-RRP Series-Parallel Hybrid Structure. Ocean Eng. 2022, 266, 113122. [Google Scholar] [CrossRef]
- Mazare, M.; Taghizadeh, M.; Najafi, M.R. Inverse Dynamic of a 3-P[2(US)] Translational Parallel Robot. Robotica 2019, 37, 708–728. [Google Scholar] [CrossRef]
- Yun, Y.; Li, Y. A General Dynamics and Control Model of a Class of Multi-DOF Manipulators for Active Vibration Control. Mech. Mach. Theory 2011, 46, 1549–1574. [Google Scholar] [CrossRef]
- Wen, S.; Qin, G.; Zhang, B.; Lam, H.K.; Zhao, Y.; Wang, H. The Study of Model Predictive Control Algorithm Based on the Force/Position Control Scheme of the 5-DOF Redundant Actuation Parallel Robot. Robot. Auton. Syst. 2016, 79, 12–25. [Google Scholar] [CrossRef]
- Mirtaheri, S.M.; Zohoor, H. Efficient Formulation of the Gibbs–Appell Equations for Constrained Multibody Systems. Multibody Syst. Dyn. 2021, 53, 303–325. [Google Scholar] [CrossRef]
- Mirtaheri, S.M.; Zohoor, H. The Explicit Gibbs-Appell Equations of Motion for Rigid-Body Constrained Mechanical System. In Proceedings of the 2018 6th RSI International Conference on Robotics and Mechatronics (IcRoM), Tehran, Iran, 23–25 October 2018; pp. 304–309. [Google Scholar]
- Pappalardo, C.M. Dynamic Analysis of Planar Rigid Multibody Systems Modeled Using Natural Absolute Coordinates. Appl. Comput. Mech. 2018, 12, 73–110. [Google Scholar] [CrossRef]
- Gallardo, J.; Rico, J.M.; Frisoli, A.; Checcacci, D.; Bergamasco, M. Dynamics of Parallel Manipulators by Means of Screw Theory. Mech. Mach. Theory 2003, 38, 1113–1131. [Google Scholar] [CrossRef]
- Gallardo-Alvarado, J.; Rodríguez-Castro, R.; Delossantos-Lara, P.J. Kinematics and Dynamics of a 4-P RUR Schönflies Parallel Manipulator by Means of Screw Theory and the Principle of Virtual Work. Mech. Mach. Theory 2018, 122, 347–360. [Google Scholar] [CrossRef]
- Liu, Z.; Tao, R.; Fan, J.; Wang, Z.; Jing, F.; Tan, M. Kinematics, Dynamics, and Load Distribution Analysis of a 4-PPPS Redundantly Actuated Parallel Manipulator. Mech. Mach. Theory 2022, 167, 104494. [Google Scholar] [CrossRef]
- Pennock, G.R.; Oncu, B.A. Application of Screw Theory to Rigid Body Dynamics. J. Dyn. Syst. Meas. Control 1992, 114, 262–269. [Google Scholar] [CrossRef]
- Gallardo-Alvarado, J.; Aguilar-Nájera, C.R.; Casique-Rosas, L.; Pérez-González, L.; Rico-Martínez, J.M. Solving the Kinematics and Dynamics of a Modular Spatial Hyper-Redundant Manipulator by Means of Screw Theory. Multibody Syst. Dyn. 2008, 20, 307–325. [Google Scholar] [CrossRef]
- Müller, A. Screw and Lie Group Theory in Multibody Kinematics: Motion Representation and Recursive Kinematics of Tree-Topology Systems. Multibody Syst. Dyn. 2018, 43, 37–70. [Google Scholar] [CrossRef]
- Müller, A. Screw Theory—A Forgotten Tool in Multibody Dynamics. Proc. Appl. Math. Mech. 2017, 17, 809–810. [Google Scholar] [CrossRef]











| 1.42 | 1.42 | 2.87 |
Disclaimer/Publisher’s Note: The statements, opinions and data contained in all publications are solely those of the individual author(s) and contributor(s) and not of MDPI and/or the editor(s). MDPI and/or the editor(s) disclaim responsibility for any injury to people or property resulting from any ideas, methods, instructions or products referred to in the content. |
© 2023 by the authors. Licensee MDPI, Basel, Switzerland. This article is an open access article distributed under the terms and conditions of the Creative Commons Attribution (CC BY) license (https://creativecommons.org/licenses/by/4.0/).
Share and Cite
Zhao, J.-S.; Sun, X.-C.; Wei, S.-T. Kinematics and Dynamics Analysis of a 3UPS-UPU-S Parallel Mechanism. Machines 2023, 11, 840. https://doi.org/10.3390/machines11080840
Zhao J-S, Sun X-C, Wei S-T. Kinematics and Dynamics Analysis of a 3UPS-UPU-S Parallel Mechanism. Machines. 2023; 11(8):840. https://doi.org/10.3390/machines11080840
Chicago/Turabian StyleZhao, Jing-Shan, Xiao-Cheng Sun, and Song-Tao Wei. 2023. "Kinematics and Dynamics Analysis of a 3UPS-UPU-S Parallel Mechanism" Machines 11, no. 8: 840. https://doi.org/10.3390/machines11080840
APA StyleZhao, J.-S., Sun, X.-C., & Wei, S.-T. (2023). Kinematics and Dynamics Analysis of a 3UPS-UPU-S Parallel Mechanism. Machines, 11(8), 840. https://doi.org/10.3390/machines11080840

