Characterization of 2D Electrical Feedback Flow Control Valve
Abstract
:1. Introduction
2. Structure Principles
2.1. Working Principle of the 2D Piston
2.2. Differential Pressure Measurement Principle
2.3. Working Principle of the Torque Motor
2.4. Working Principle
3. Stability Analysis
3.1. Transfer Function
3.2. Stability Analysis
4. AMESim-Based Modeling and Simulation
4.1. Simulation Model Building
4.2. Step Response Characteristic Analysis
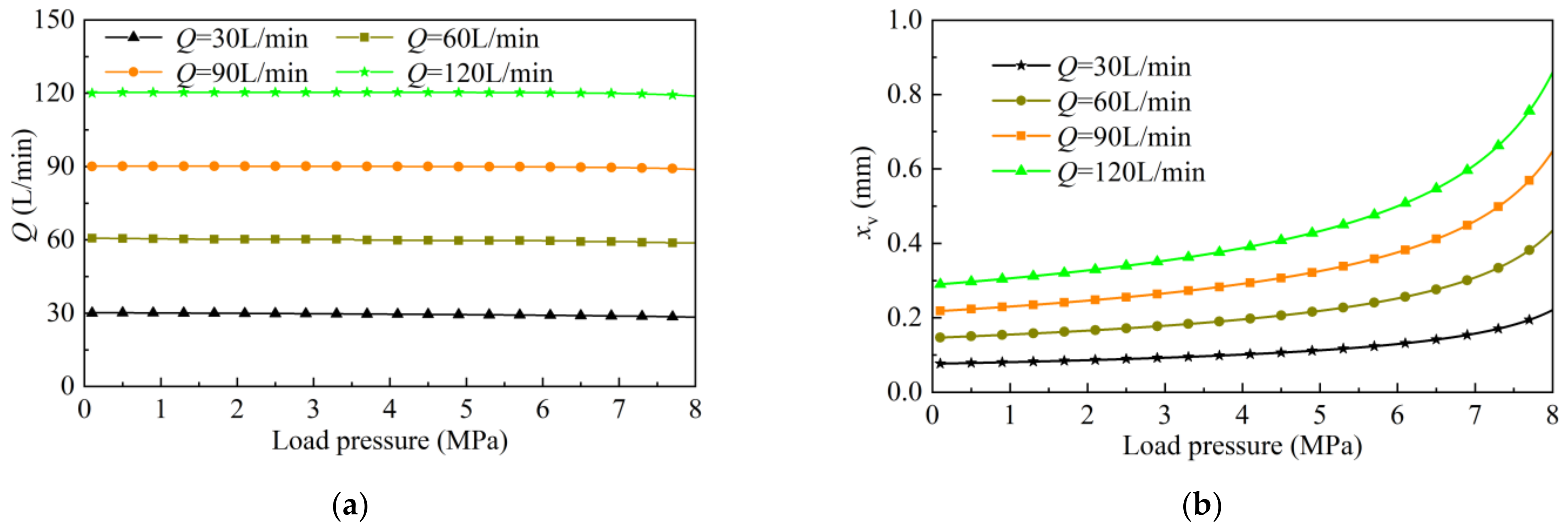
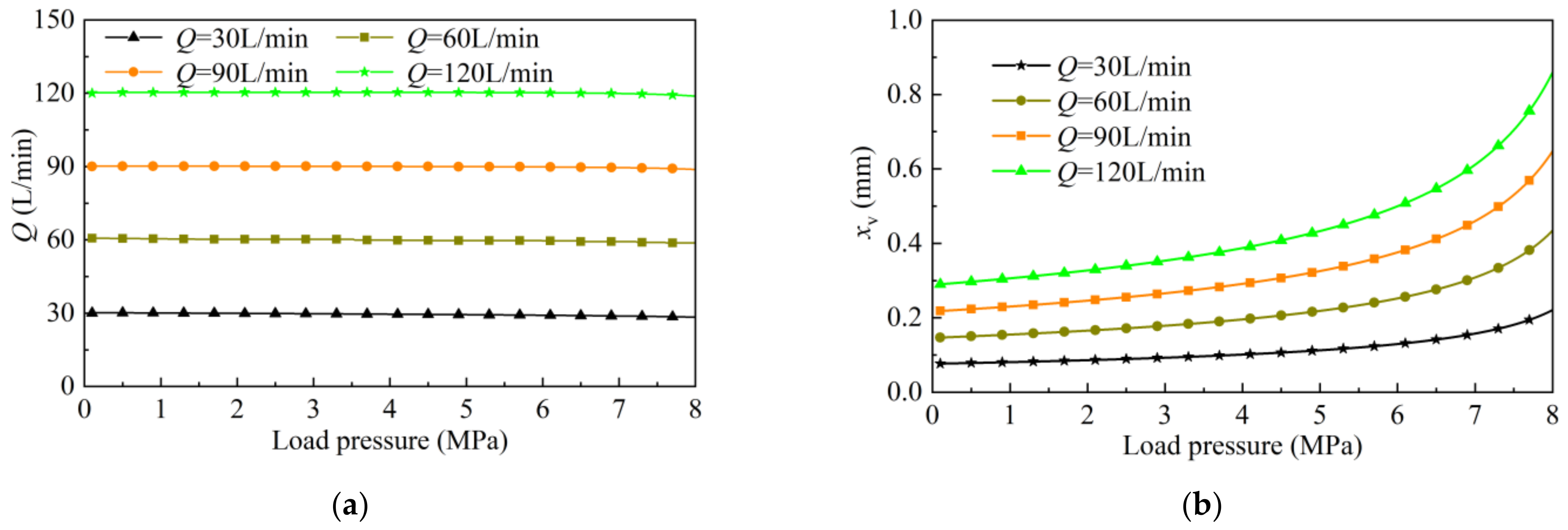
4.3. Load Characteristic Analysis
5. Experimental Studies
5.1. Physical Introduction
5.2. Experimental Platform
5.3. Static Characteristics
5.3.1. Flow Static Characteristics
5.3.2. Differential Pressure Measurement
5.4. Dynamic Characteristics
5.4.1. Step Response
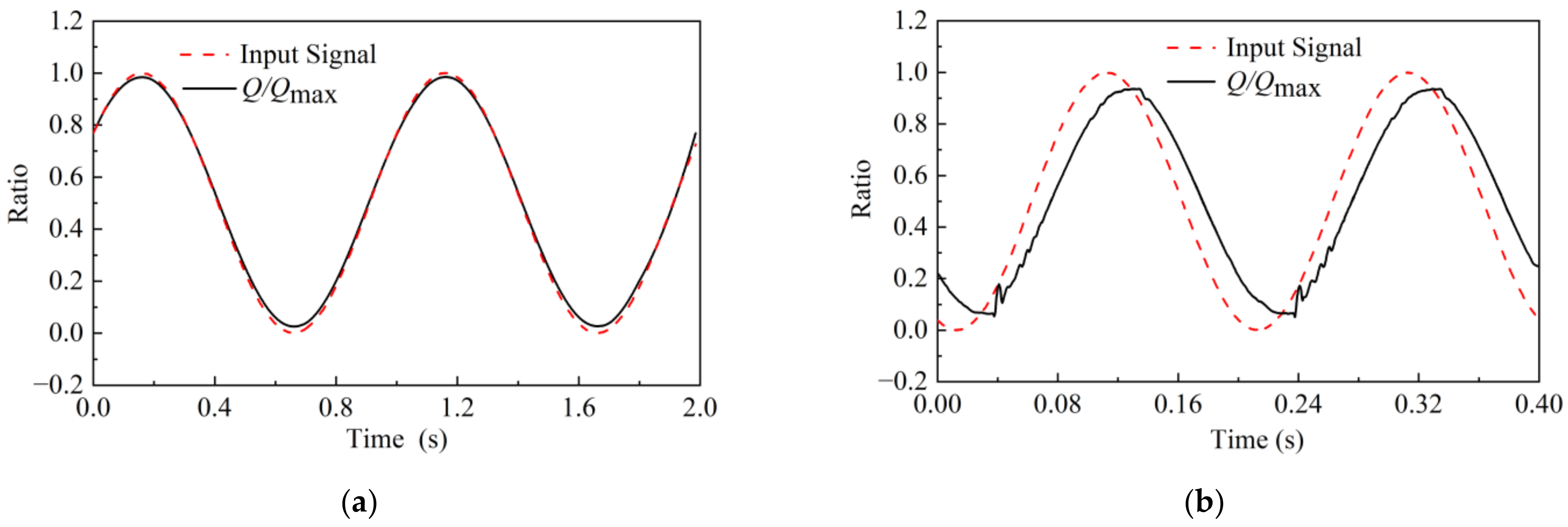
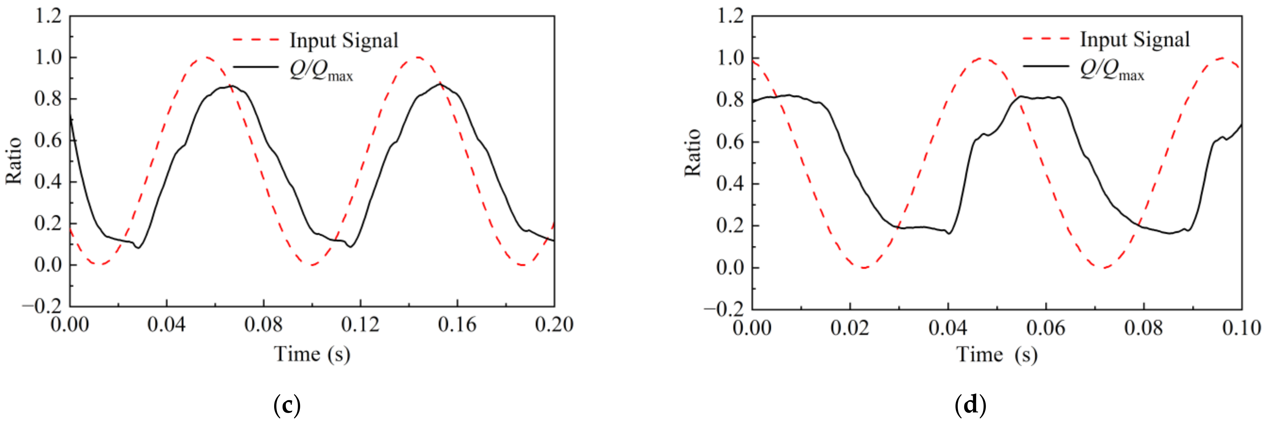
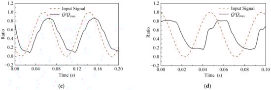
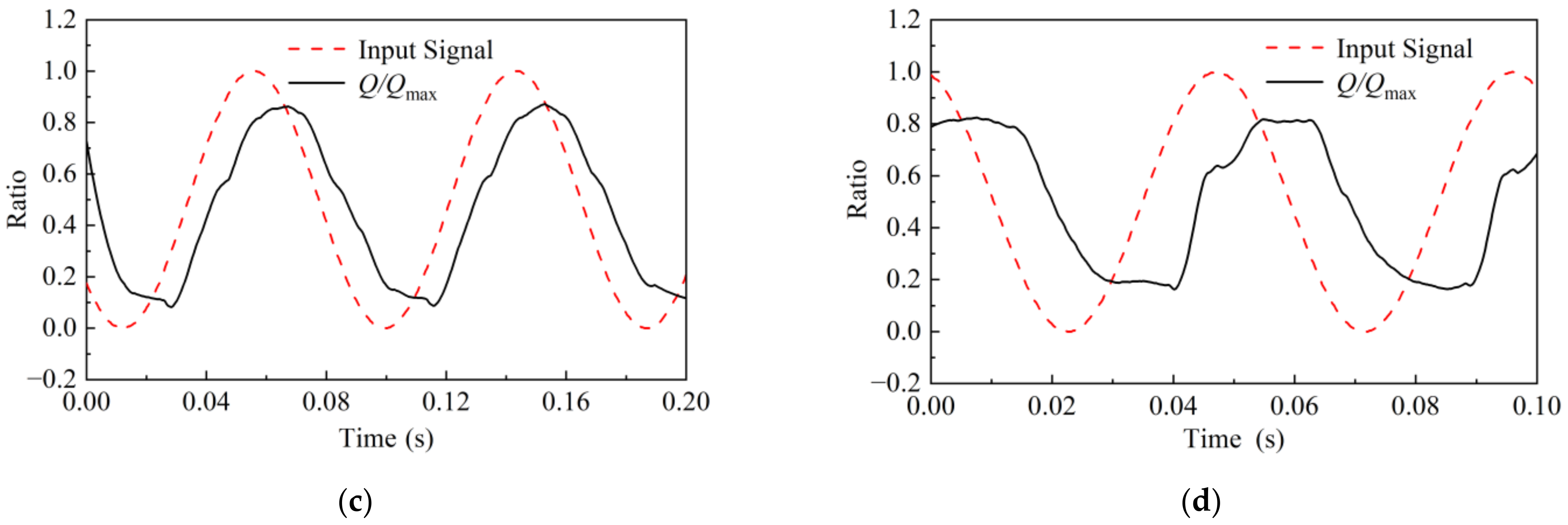
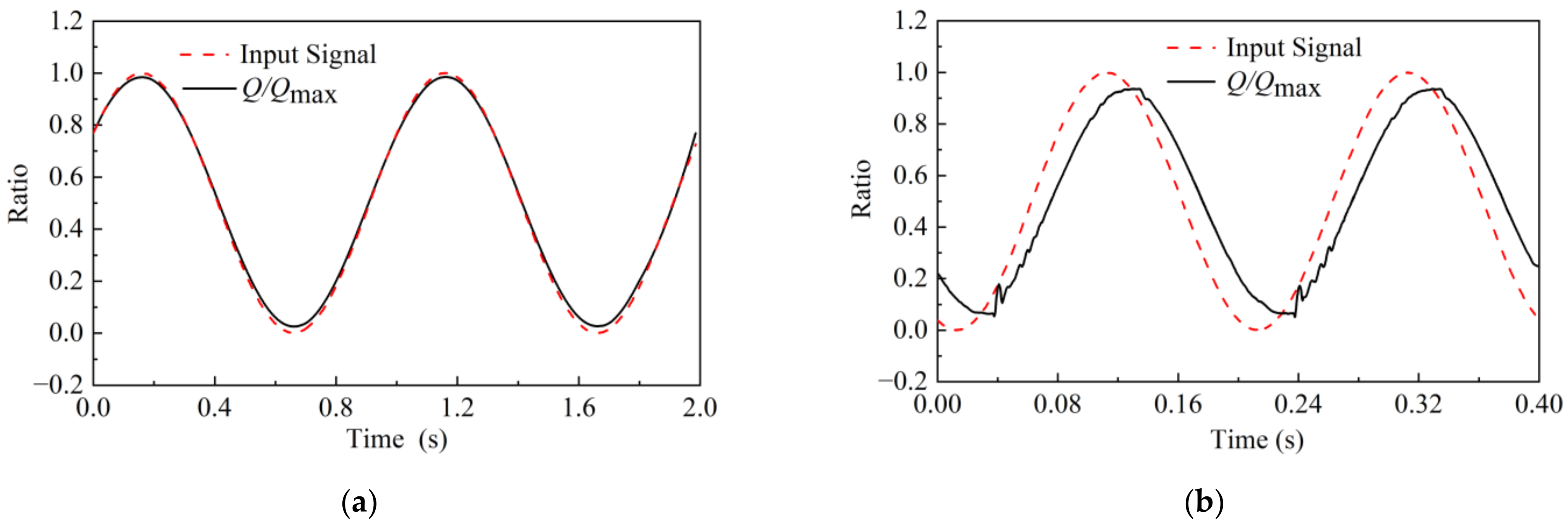
5.4.2. Frequency Response
5.5. Flow Stability
6. Conclusions
- (1)
- The 2D electric feedback flow control valve not only has a simple structure and a high integration, but also, like the 2D servo valve, it is small, responds fast, and has a strong anti-pollution ability.
- (2)
- We have analyzed the 2D electrical feedback flow control valve by mathematical model and AMESim simulations. We found that the key parameters of the 2D piston would affect the response speed of the flow valve and verified the feasibility of closed-loop flow through differential pressure feedback rod and spool displacement. Through the simulation, we found that when the rated flow rate is larger, the flow steady-state error is smaller; the stability of the differential pressure feedback lever also affects the flow stability, so one should pay attention to the size of the differential pressure feedback lever damping when designing the prototype.
- (3)
- We have obtained the suitable key parameters by simulation and processed the prototype for experimental verification. The experimental results show that the 2D electro-feedback flow control valve has good dynamic, static characteristics, and flow stability. Compared with the same type of electric feedback flow valve, such as the flow control valve proposed previously [13], the 2D electric feedback flow control valve we proposed has better dynamic characteristics and a smaller size.
Author Contributions
Funding
Data Availability Statement
Conflicts of Interest
Appendix A
| Parameters | Paraphrase |
|---|---|
| Effective force area on the right side of the pressure-sensing piston | |
| Effective force area on the left side of the pressure-sensing piston | |
| Pressure measuring spring stiffness | |
| Magnitude of the differential pressure feedback rod displacement | |
| Overlap area between the high-pressure groove and the oblique groove | |
| Overlap area between the low-pressure groove and the oblique groove | |
| Oil outlet pressure | |
| Oil inlet pressure | |
| Pressure measuring spring stiffness | |
| Differential pressure feedback rod displacement | |
| 2D piston radii | |
| Inclination angle of the oblique groove | |
| 2D piston rotation angle | |
| Initial overlap height of the high-pressure trough and the inclined trough | |
| Spool displacement | |
| Flow rate from the high-pressure groove to the sensitive chamber via the oblique groove | |
| Flow rate of the sensitive chamber into the low-pressure groove | |
| Effective area of the sensitive chamber pressure on the 2D piston | |
| Volume of sensitive chamber | |
| Bulk modulus of elasticity of the oil | |
| Sensitive chamber pressure | |
| Flow coefficient | |
| Width of the high- and low-pressure grooves | |
| Fluid density | |
| Viscosity coefficient of the oil | |
| Thickness of the damping piston | |
| Large diameter of the damping piston | |
| Small diameter of the damping piston | |
| Oil film thickness | |
| Intrinsic frequency of the 2D valve piston | |
| 2D valve piston flow gain coefficient | |
| 2D valve piston pressure flow gain coefficient | |
| 2D valve piston damping ratio | |
| Valve port flow | |
| Gradient of the valve port through-flow area | |
| Differential inlet and outlet pressure |
References
- Cheng, M. Modeling and analysis of a pressure compensated flow control valve. In Proceedings of the ASME Fluids Engineer Summer Meeting, Houston, TX, USA, 19–23 June 2005. [Google Scholar]
- Murrenhoff, H. Trends in Valve Development. In O+P Ölhydraulik und Pneumatik; Vereinigte Fachverlage: Mainz, Germany, 2003; Volume 46, pp. 1–36. [Google Scholar]
- Mao, Z.; Yoshida, K.; Kim, J. A micro vertically-allocated SU-8 check valve and its characteristics. Microsyst. Technol. 2018, 25, 245–255. [Google Scholar] [CrossRef]
- Lin, T.; Lin, Y.; Ren, H. A double variablecontrol load sensing system for electric hydraulic excavator. Energy 2021, 233, 119999. [Google Scholar] [CrossRef]
- Wu, D.; Burton, R.; Schoenau, G.; Bitner, D. Analysis of a pressurecompensated flow control valve. J. Dyn. Syst. Meas. Control. 2007, 129, 203–211. [Google Scholar] [CrossRef]
- Lu, Y. New progress in flow control technology. Chin. Hydraul. Pneum. 1982, 2, 23–29. [Google Scholar]
- Kuehnlein, M.; Liermann, M.; Ewald, J.; Murrenhoff, H. Adjustable Flow-Control Valve for the Self-Energising Electro-Hydraulic Brake. Int. J. Fluid Power 2012, 13, 5–14. [Google Scholar] [CrossRef]
- Okhotnikov, I.; Noroozi, S.; Sewell, P.; Godfrey, P. Evaluation of steady flow torques and pressure losses in a rotary flowcontrol valve by means of computational fluid dynamics. Int. J. Heat Fluid Flow 2017, 64, 89–102. [Google Scholar] [CrossRef]
- Wang, J.; Liu, X.; Wang, Z.; Chen, J.; Han, Y.; Wang, Y. Flow characteristics analysis of constant flow control valve based on AMESim. J. Jilin Univ. (Eng. Technol. Ed.) 2022, 1–9. [Google Scholar] [CrossRef]
- Jin, B.; Zhu, Y.; Li, B.; Zhang, D.; Zhang, L.; Chen, F. A differential control method for the proportional directional valve. J Zhejiang Univ. Sci. C (Comput. Electron.) 2014, 1, 892–902. [Google Scholar] [CrossRef]
- Milecki, A.; Ortmann, J. Electrohydraulic linear actuator with two stepping motors controlled by overshoot-free algorithm. Mech. Syst. Signal Process. 2017, 96, 45–57. [Google Scholar] [CrossRef]
- Wang, B.; Liu, H.; Hao, Y.; Quan, L.; Li, Y.; Zhao, B. Design and Analysis of a Flow-Control Valve with Controllable Pressure Compensation Capability for Mobile Machinery. IEEE Access 2021, 9, 98361–983682021. [Google Scholar] [CrossRef]
- Li, M.; Ye, J.; Xie, B.; Yang, S.; Zeng, B.; Liu, J. Design and Test of Hydraulic Proportional Flow Valve forHydraulic Chassis in Tractor. Trans. Chin. Soc. Agric. Mach. 2018, 49, 397–403. [Google Scholar] [CrossRef]
- Huang, J.; Dai, J.; Quan, L.; Lan, Y. Performance of proportional flow valve with pilot pressure drop–spool opening compensation. J. Dyn. Syst. Meas. Control. 2017, 139, 011009. [Google Scholar] [CrossRef]
- Zhao, B.; Quan, L.; Huang, J.; Zhang, Y. Characteristics of Electro-hydraulic Proportional Valve with Pilot Pressure Variation-Displacement Adjustment. Chin. J. Mech. Eng. 2017, 53, 195–201. [Google Scholar] [CrossRef]
- Hao, Y.; Quan, L.; Huang, J. Research on the performance of electro-hydraulic proportional flow valve controlled by active pilot pump. Proc. Inst. Mech. Eng. Part E 2017, 231, 720–731. [Google Scholar] [CrossRef]
- Huang, J.; Wang, X.; Wang, H.; Hao, H. Development of a flow control valve with digital flow compensator. Flow Meas. Instrum. 2019, 66, 157–169. [Google Scholar] [CrossRef]
- Zhang, J.; Deng, Y.; Zhang, N.; Zhang, B.; Qi, H.; Zheng, M. Vibration Performance Analysis of a Mining Vehicle with Bounce and Pitch Tuned Hydraulically Interconnected Suspension. Chin. J. Mech. Eng. 2019, 32, 195–211. [Google Scholar] [CrossRef]
- Xu, Y.; Liu, X.; Xu, J. Research on the Structural Rigidity Characteristics of a Reconfigurable TBM Thrust Mechanism. Chin. J. Mech. Eng. 2019, 32, 45–57. [Google Scholar] [CrossRef]
- Ruan, J.; Burton, R.; Ukrainetz, P. An Investigation into the Characteristics of a Two Dimensional ‘‘2D’’ Flow Control Valve. J. Dyn. Syst. Meas. Control. 2002, 124, 214–220. [Google Scholar] [CrossRef]
- Ruan, J.; Ukrainetz, P.; Burton, R. Frequency domain modeling and indentification of 2D digital servo valve. Int. J. Fluid Power 2000, 1, 76–85. [Google Scholar] [CrossRef]
- Long, Q.; Ruan, J.; Li, S.; He, J. Stability of 2D pressure servo valve considering cavitation effect. Acta Aeronaut. Astronaut. Sin. 2020, 41, 423281. Available online: https://kns.cnki.net/kcms/detail/11.1929.V.20190917.1003.012.html (accessed on 17 September 2019).























| Parameters | Values |
|---|---|
| Oil density /(kg·m−3) | 860 |
| Absolute viscosity of oil /(Pa·s) | 0.03956 |
| Maximum flow rate coefficient | 0.62 |
| Inclined trough inclination angle /° | 84 |
| Bulk modulus of elasticity /MPa | 700 |
| 2D piston radii /mm | 6 |
| Parameters | Values |
|---|---|
| Oil source temperature/°C | 20 |
| Oil density/(kg·m−3) | 860 |
| System input oil pressure/MPa | 9 |
| Absolute viscosity of oil/(Pa·s) | 0.03956 |
| Valve spool diameter/mm | 25 |
| Valve spool quality/g | 104 |
| Maximum flow rate coefficient | 0.62 |
| Inclined trough inclination angle/° | 84 |
| Sensitive chamber area/mm2 | 93.46 |
| Initial overlap height/mm | 0.005 |
| Magnetic pole area/mm2 | 32.5 |
| Number of turns of coils | 500 |
| Bulk modulus of elasticity/MPa | 700 |
| Parameters | Values |
|---|---|
| System input oil pressure/MPa | 9 |
| Valve spool diameter/mm | 25 |
| Valve spool quality/g | 96 |
| Inclined trough inclination angle/° | 84 |
| 2D position diameter/mm | 12 |
| High-pressure groove width/mm | 5 |
| Initial overlap height/mm | 0.005 |
| Damping piston diameter/mm | 15.82 |
Disclaimer/Publisher’s Note: The statements, opinions and data contained in all publications are solely those of the individual author(s) and contributor(s) and not of MDPI and/or the editor(s). MDPI and/or the editor(s) disclaim responsibility for any injury to people or property resulting from any ideas, methods, instructions or products referred to in the content. |
© 2023 by the authors. Licensee MDPI, Basel, Switzerland. This article is an open access article distributed under the terms and conditions of the Creative Commons Attribution (CC BY) license (https://creativecommons.org/licenses/by/4.0/).
Share and Cite
Dai, Q.; Zhao, J.; Li, S.; Jia, W. Characterization of 2D Electrical Feedback Flow Control Valve. Machines 2023, 11, 220. https://doi.org/10.3390/machines11020220
Dai Q, Zhao J, Li S, Jia W. Characterization of 2D Electrical Feedback Flow Control Valve. Machines. 2023; 11(2):220. https://doi.org/10.3390/machines11020220
Chicago/Turabian StyleDai, Quanchao, Jiantao Zhao, Sheng Li, and Wenang Jia. 2023. "Characterization of 2D Electrical Feedback Flow Control Valve" Machines 11, no. 2: 220. https://doi.org/10.3390/machines11020220
APA StyleDai, Q., Zhao, J., Li, S., & Jia, W. (2023). Characterization of 2D Electrical Feedback Flow Control Valve. Machines, 11(2), 220. https://doi.org/10.3390/machines11020220

