Abstract
A flexible manufacturing system (FMS) improves productivity and makes it more efficient. Maintaining reliability levels and reducing costs through proper maintenance strategies are key problems for the development and application of a FMS. This paper proposes a grouping preventive maintenance strategy of a FMS with optimized parameters by considering both reliability and cost. In this work, a three-layer evaluation index system is first presented to accurately estimate the reliability of the FMS; index weights of each layer were obtained by reliability importance modeling and analysis, considering maintenance strategies. An element-grouping preventive strategy is proposed based on an influencing analysis, and a parameter optimization problem (considering reliability and maintenance costs) was established. In this strategy, three maintenance methods are presented for the elements, including low-level maintenance with a large period, low-level maintenance with a small period, as well as the combination of low-level maintenance with a small period and high-level maintenance with a large period; the effects of reliability improvement of the elements on the subsystem’s reliability were analyzed to provide evidence for element grouping. Finally, the proposed method was applied to a box-part finishing FMS; the results indicate that this method can effectively reduce maintenance costs on the premise of satisfying the reliability requirements.
1. Introduction
In the manufacturing industry, the maintenance and management of equipment and manufacturing systems are important. Reasonable–effective maintenance is critical to ensuring the normal operation of a system. As a basic part of the manufacturing system, equipment maintenance has been deeply studied and is relatively mature. Maintenance methods can be classified as predictive maintenance, conditional-based maintenance, and time maintenance, and are referred to in international standards (e.g., EN 13306:2016). Among them, predictive maintenance, also known as preventive maintenance, is one of the most popular maintenance policies that does not consider real fault conditions or degradation of the system, and its periods are identified appropriately through failure time or age analysis and prediction [1]. In existing research studies, preventive maintenance methods mainly include life-based preventive maintenance, equal-cycle preventive maintenance, and sequential preventive maintenance, which have been mentioned by some researchers [2,3]. For life-based preventive maintenance, preventive maintenance is performed if no faults occur during a certain period of time. If a fault occurs before a certain period of time, the equipment is replaced after the fault. This method focuses on how to predict the equipment’s life. For example, Shi et al. predicted the average remaining life based on the equipment’s life distribution function, took this as the threshold, and proposed the optimization of the maintenance strategy considering the prediction interval and maintenance costs [4]. With the emergence of concepts, such as minor fault repair and incomplete maintenance, this method was studied in depth considering costs and other factors, mainly focusing on the problem of determining conditions for incomplete maintenance and replacement maintenance based on the running time and fault situation [5]. In equal-cycle preventive maintenance, the maintenance operations are implemented periodically at a certain interval. Existing research studies mainly focus on the optimization of the system maintenance degree, maintenance frequency, and cycle [6,7]. For example, Xi studied equal-cycle preventive maintenance considering the constraint of reliability [7]. Sequential preventive maintenance options consider the impact of performance degradation on the failure rate during the service life of the equipment and focus on how to establish a dynamic maintenance interval to reduce maintenance costs, considering performance degradation or reliability. For example, Zhou et al. proposed a sequential incomplete maintenance model based on the quantification of maintenance efficiency, which was defined by fault intensity and the expected increment, and verified its effectiveness [8].
With the rapid development of manufacturing systems, different pieces of equipment work with each other, and their working states have different degrees of influence on the system’s reliability or performance, which makes maintenance very complicated. Existing methods mainly include grouping maintenance, opportunistic maintenance, and production scheduling-integrated maintenance. Grouping maintenance refers to the maintenance of equipment in groups based on the running time or fault situation, focusing on how to determine grouping conditions and maintenance strategies of all groups of equipment. For example, Yang proposed an optimization method of the grouping maintenance strategy (considering costs) by introducing the average remaining life and structural importance of the multi-component system, which effectively reduces the maintenance costs [9]. Hou studied the maintenance strategy of a car crankshaft production line based on importance evaluation. Based on the premise of ensuring reliability, the author carried out the synchronous preventive maintenance of important equipment with the shortest total downtime and optimized the maintenance cycle [10]. Vijayan et al. presented a maintenance grouping optimization method, wherein maintenance intervals of components and cost benefits were optimized considering cost dependency between components [11]. In an opportunistic maintenance strategy, the pieces of equipment that meet the set threshold are determined and maintained by considering the relations between the equipment. For example, Song et al. established the opportunistic maintenance optimization model of the multi-component system with a certain availability as the condition and considered the maintenance cost [12]. Qin proposed a multi-component-union preventive opportunistic maintenance model based on the reliability margin to ensure the wind turbine reliability [13]. Chen carried out combined maintenance for each key subsystem through the definition of the reliability opportunity maintenance threshold for the purpose of reducing the down-number of machine tools [14]. In manufacturing systems, the production operation decreases system reliability and increases system maintenance requirements, but the maintenance inevitably consumes the production time and changes the original production plan [15]. For this problem, production scheduling-integrated maintenance aims for reasonable production and maintenance plans considering their relationship [16,17]. For example, Fitouhi et al. proposed an aperiodic preventive maintenance strategy for polymorphic systems by combining the production and maintenance plans, which reduce the system running costs, including maintenance costs and production costs [17]. Zhu et al. established a preventive maintenance model of a manufacturing system based on the expected maintenance cost rate with historical failures as input, considering the impact of operating the load on the failure rate of the system equipment [18]. Some researchers focused on addressing the maintenance problem of an unreliable manufacturing/production system. For example, Ait et al. proposed an age-based preventive maintenance policy combined with a production strategy for an unreliable and imperfect manufacturing system and optimized control settings based on the minimum costs [19]. Rivera-Gomez et al. proposed the joint production, inspection, and maintenance control policies for an unreliable production system, considering the influence of the deterioration process on reliability and product quality [20]. In recent years, except for equipment reliability, human reliability has been taken into account in maintenance issues, which are key factors for system reliability. For example, Huang et al. proposed a preventive maintenance model for multi-objective multi-state systems considering human reliability [21]. The production quality and profit were considered in some research studies. For example, Zhang et al. proposed a preventive maintenance strategy and its optimization for a multi-station manufacturing system considering quality loss and cost [22]. Malhotra et al. considered the influence of demand changes on the rest period of product manufacturing and presented the preventive/corrective maintenance with periods determined by maximizing profit [23].
From the above literature summary, a reasonable maintenance strategy for equipment and the manufacturing system should consider various factors, including reliability, component importance (CI), maintenance cost (MC), maintenance level (ML), and maintenance period (MP). Especially for the manufacturing system, pieces of equipment are related to each other in the economy, fault, and structure. How to comprehensively consider these factors and propose an effective reliability maintenance strategy are problems in the development of a manufacturing system. To highlight the contributions of this work, a comparison of recent studies is shown in Table 1, wherein GM, OM, and PSIM denote the abbreviated forms of words “grouping maintenance”, “opportunistic maintenance”, and “production scheduling integrated maintenance”. From the comparison, all studies related to the maintenance problems of manufacturing systems did not consider the maintenance levels, which were considered and optimized in this work. This study can better reduce maintenance costs on the premise of ensuring reliability. Moreover, previous works either focused on simple systems, such as serial systems, or systems with components less than 2, or did not establish quantitative reliability models. Therefore, the other contribution of this work is the reliability modeling of a FMS, which is a serial-parallel complex system considering mechanical and control subsystems.
Table 1.
Comparison of recent studies.
In some previous studies [24,25], the manufacturing system was considered a series system, a parallel system, or a series-parallel system. In the series system, the failure of any component will cause the system to fail. The parallel system fails only when all components fail. The series-parallel system is composed of series subsystems and parallel subsystems. A FMS is usually a series-parallel system and is organically composed of a hierarchical control system, transfer subsystem, and production machine or subsystem, and is flexible to adapt to changes in the product type or quantity [26]. Compared with other manufacturing systems, structural features are different. For example, a dedicated manufacturing line (DML) is a serial system and its machines all participate in the production process at a fixed pace; compared with a DML, a FMS has a more complex structure that includes serial and parallel relations between equipment and subsystems, as well as a hierarchical control system. A reconfigurable manufacturing system (RMS) is a more flexible and complex system compared with a FMS, which can be applied to more types of products through physical configuration reconstruction [27]; cellular manufacturing topology (CMT) can even change the production mode through topology optimization and better adapt to production requirements. For a RMS and CMT, a new build or reconstruction of the manufacturing system makes the reliability change more complex, such as a four-rump effect (rump effect, ramp-up effect, random effect, and relax effect) proposed by some researchers [28]. In this work, in order to establish a model for the accurate estimation of system reliability, and ensure the wide applicability of the proposed strategy to general manufacturing systems (DML and FMS), a FMS as a series-parallel system was selected as the research object. Moreover, the reliability modeling of RMS and CMT will be further studied in future works, and then the proposed strategy can also be applied to these systems.
In summary, this work focuses on the maintenance problem of a FMS, and the main contributions of this work are as follows, (1) A reliability estimation model of a FMS (considering the maintenance strategies) is presented first based on a three-layer evaluation index system, including the whole layer, subsystem layer, and equipment layer. Moreover, their weights can be obtained through a reliability importance analysis. (2) An element-grouping preventive maintenance strategy is proposed based on the effect analysis of element reliability improvement on FMS reliability. Moreover, the strategy parameter optimization problem is modeled with the minimum maintenance costs, considering FMS reliability. (3) The application case for a box-part finishing FMS is presented to verify the effectiveness of the proposed method.
The remainder of this work is organized as follows. Section 2 presents the overall grouping maintenance strategy of a FMS, which gives a flowchart and its descriptions. Section 3 presents the reliability estimation model of the FMS based on a hierarchical index system, including weight calculation, which can help to identify the reliability constraint for strategy optimization. Section 4 presents the maintenance strategy optimization considering reliability and cost, including maintenance cost modeling and optimization problem modeling. Section 5 presents an application case of the proposed method to a box-part finishing FMS, including the main parameter settings and a discussion of the optimal results. Section 6 presents the main conclusions and future works.
2. Grouping Preventive Maintenance Strategy of a FMS
Figure 1 shows the whole framework of the proposed maintenance strategy considering both reliability and cost. From this figure, the proposed strategy is performed through the following steps.
Figure 1.
Whole framework of the proposed maintenance strategy.
First, the FMS reliability model is established based on a three-layer reliability evaluation index system, considering maintenance strategies. During the modeling, the weights of the layer indices are determined based on hypotheses of simple reliability logic relations and a two-state system. A two-state system means that the equipment or system only has two states, perfect functioning, and complete failure, and has been widely used in the reliability evaluation [29]. However, since manufacturing systems are always multi-state systems, the reliability cannot accurately be evaluated based on the two-state hypothesis [30]. Even so, it can be used to analyze the reliability importance of system elements [31]. Therefore, in this work, the reliability models based on the hypothesis of the two-state system were established to determine the weights of each layer index of the FMS reliability evaluation system, as well as analyze the influence of each element maintenance on the system reliability, which provides the basis for the grouping of elements. Finally, the FMS reliability can be estimated through mathematical mapping models from the element reliability to subsystem reliability, and then to the whole FMS. The detailed reliability modeling process of a FMS is presented in Section 3.
Secondly, the FMS elements are grouped through the effects analysis of the element maintenance on the subsystem reliability. In this strategy, elements are classified into three groups according to the effect degree of each element and maintenance on the system reliability. Moreover, elements with little influence, general influence, and major influence are classified into group 1, group 2, and group 3, respectively. From practical experience, the equipment or system is maintained by level so that the reliability of the product after maintenance declines but is not fully recovered, except for the complete maintenance (for example, replacement maintenance). For example, one enterprise uses maintenance with five levels: the first-level maintenance focuses on cleaning, inspection, lubrication, fastening, etc.; the second-level maintenance focuses on checking and adjusting some key components except for operations of the first-level maintenance; the third-level maintenance focuses on deep cleaning and inspection, and replacement of some key components with small lifespans, except for operations of second-level maintenance; the fourth-level maintenance mainly disassembles and inspects each key assembly to remove hidden dangers, except for operations of the third-level maintenance; the fifth-level maintenance focuses on the replacement of some key assemblies of the system.
Therefore, the maintenance is divided into five levels in this work, and the number of maintenance levels can be adjusted according to practical applications. Moreover, there are great differences in cost when taking maintenance with different levels. A higher level of maintenance always requires higher costs. In order to reduce the maintenance costs, three maintenance methods are used for three groups of elements, respectively: low-level maintenance with a large period, low-level maintenance with a small period, and the combination of low-level maintenance with a small period and high-level maintenance with a large period. For the combination, the large period is a multiple of the small period. In this work, low-level maintenance means the maintenance is not higher than the third level; a small period means that the maintenance period is relatively small compared to the large period. The actual period ranges can be determined according to the reliability analysis of the system.
Finally, the optimization model of maintenance parameters, including the maintenance level and period for elements of each group, is established based on annual maintenance cost calculations and solved using particle swarm optimization (PSO). The detailed optimization model is presented in Section 4.
In this proposed strategy, the relation between equipment concerning the economy, fault, and structure are considered as follows. (1) The fault of the equipment is manifested in its structure. That is, equipment with complex structures will have different failure modes, which may have different influences on the performance or capability of the equipment or the system it is in. Therefore, the modeling based on the simple reliability logic relation cannot accurately estimate the FMS reliability, for which, the reliability model based on the three-layer evaluation index system is established, and the modeling based on the simple logic relation is only used to determine weights for each layer’s index. The proposed model can provide mathematical mapping from the reliability of equipment or other elements to the FMS reliability, considering the complex influence of equipment failure on the performance or capability of the system. (2) For equipment with complex structures, maintenance of different components will likely lead to great differences in costs even if the maintenance methods (cleaning, overhaul, or replacement) are generally the same. In some practical applications, pieces of equipment are maintained at different levels, and at each level, different components will be focused on and maintained using different maintenance methods. Therefore, costs of the equipment maintenance under different levels will be completely different, which is considered to model the annual maintenance cost of a FMS in the proposed strategy.
3. FMS Reliability Estimation Model Based on Hierarchical Index System
Since different failure modes of equipment have different and complex effects on the production quality, cost, or efficiency of the whole system for real serial or parallel manufacturing systems, the reliability modeling based on the hypothesis of simple reliability logic relations (in serial or in parallel) cannot accurately evaluate the reliability level of the whole system. However, through this modeling, the reliability importance of each system element can be calculated and used to represent its reliability contribution to the reliability of the system. Therefore, this section established a three-layer reliability evaluation index system for FMS to accurately estimate the reliability level of the whole system, which considers factors of human, mechanical, and control systems of equipment and multi-level control systems. Then the reliability estimation model of the FMS is obtained by considering maintenance strategies. Moreover, reliability importances and weights of the layer indices are modeled based on the hypotheses of simple reliability logic relations and a two-state system.
3.1. Three-Layer Reliability Evaluation Index System
The most flexible manufacturing systems are composed of machining lines and a logistics system with a buffer zone. Figure 2 shows a classic layout of a FMS, wherein M and N represent the number of the machining lines and the equipment number of each machine line. The buffer zone can help improve production efficiency and equipment utilization. The control system always adopts a hierarchically distributed control system, and can be described as a three-level control framework, including the upper control system (UCS), the station-level control system (SLCS), and the equipment control system (ECS) [32,33]. The UCS includes the order management unit and FMS cell controller. The former can have management modules of the order schedule, quality, and cost. The latter is responsible for process management, and as the control center, the orderly control of the operation process of the system, including production planning, scheduling, state monitoring, and so on. SLCS provides more powerful data storage and processing capabilities for the cell controller, i.e., the instruction information of the cell controller is distributed through the group’s control computer. ECS is used to control the operation process of the equipment in real time. According to the task requirements, it can be composed of the motion planner, error compensator, status monitor, etc., in order to meet the requirements of intelligence and reliability of the equipment. Equipment failure in the mechanical or control system has a major impact on the working performance. Moreover, humans are also important participants in the running of most manufacturing systems, due to the limited development of intelligence.
Figure 2.
A classic layout of a FMS.
Considering the above factors, Table 2 presents the three-layer reliability evaluation index system. WL is the FMS reliability index . SSL is composed of reliability of human , upper control system , reliability of the logistics subsystem , SLCS , reliability of the machining line subsystem , the SLCS , and the equipment layer composed of reliability of equipment in logistics and machining line subsystems and . The equipment layer indices consider both the mechanical and control systems. In the following content, the bottom-level indices include the SSL indices without WL indices and all WL indices.
Table 2.
Three-layer reliability evaluation index system.
3.2. Reliability Model Considering Maintenance Strategies and Weights Calculation
In existing studies, the Weibull distribution has been widely used in the reliability analysis of mechanical and control systems; for example, machine tools [34], robots [35], control systems [36], etc. Based on the two-parameter Weibull distribution [37], the reliability can be described by , wherein and represent the shape parameter and scale parameter, respectively. Moreover, in practical applications, values of and can be adjusted according to the actual failure rate distribution, which makes it applicable to different stages during the whole life cycle of one product [38]. In the failure analysis, the function with can be used in the early failure period, for which the failure rate decreases over time; the function with can be used in the random failure period, for which the failure rate generally remains unchanged; the function with can be used in the degradation failure period, for which the failure rate increases over time. Therefore, the Weibull distribution can be used in the reliability analysis of the equipment or control system by parameter estimation based on actual fault data, and used in the life cycle.Moreover, based on hypotheses of simple reliability logic relations and a two-state system, the reliability models of subsystems and FMS are established first to be the basis of the weight’s quantization modeling of each index layer, according to basic reliability models for the serial and parallel systems. The reliability model of the series system is expressed by , wherein represents the reliability of the nth component and N is the number of components. The reliability model of the parallel system is expressed by . This work aims to establish mathematical mappings from the bottom-level reliability to subsystems, and then to FMS reliability. For this purpose, the weights of the index system need to be determined first.
In practical applications, the manufacturing system is in a basic state of operation, failure, repair, operation after repair, preventive maintenance, or operation after maintenance. Failure repair and preventive maintenance refer to maintenance actions for faulty and non-faulty equipment, respectively. Sometimes equipment after repair or preventive maintenance will improve reliability, which may also have an impact on the weight of the index system. In recent studies [39,40], failure repair strategies were classified into complete repair, incomplete repair, and minimum repair. The complete repair can make faulty equipment restored as new. The minimum repair can make faulty equipment restored (similar to the state before failure). Preventive maintenance strategies can be classified into two kinds, complete and incomplete maintenance. Complete maintenance refers to the preventive replacement within a specified maintenance period, after which, the equipment is restored as new. However, after incomplete maintenance within the period, the performance of the equipment can be improved but cannot be restored as new. To represent the influence of maintenance on the remaining life of the equipment, the actual running time at the service time t is defined, which means the equivalent running time without failure. Assuming that no failures occur or minimum failure repair is adopted, the actual running time during the kth maintenance period can be expressed as follows [41],
where denotes the maintenance coefficient. represents the maintenance period.
Then, based on the Weibull distribution, the reliability of equipment considering preventive maintenance can be written as follows:
Finally, the FMS reliability can be written as follows, based on the reliability values of the bottom-level elements and the three-layer evaluation index system.
where and denote arrays of SSL indices and their corresponding weights in Table 2, respectively. Therefore, ; reliability of the logistics subsystem, the mth machining line subsystem , and can be calculated by , . and represent EL indices and the corresponding weights of the logistics subsystem. and represent EL indices and the corresponding weights of the mth machining line subsystem. In the following parts, weights of EL indices of the subsystems and SSL indices can be obtained through reliability importance analysis.
3.2.1. Weight Quantization Model for EL Indices of Logistics Subsystem
The logistics subsystem of a FMS includes a loading robot, a logistics car, and buffer devices. Due to the existence of the buffer zone, the failure of the loading robot may not lead to subsystem failure. From Figure 2, there exist three feasible situations for the logistics subsystem running due to the buffer zone. The first case represents the process where the logistics car takes the blank from the buffer zone to complete the loading operation for the machining line subsystem. The second case is the process where the robot takes the blank and transfers it to the logistics car to complete the loading operation. The third case is the process where the robot takes the blank and transfers it to the logistics car, and then transfers to the buffer zone to complete the loading operation. Based on hypotheses of simple reliability logic relations and the two-state system, the reliability of the logistics subsystem under three cases can be written as follows:
where , , and represent the reliability of the loading robot, logistics car, and buffer devices.
Based on the above analysis, the final reliability of the logistics subsystem can be expressed as follows:
The reliability importance reflects the influence level of each component on the subsystem. Based on the reliability model, the importance values of loading the robot, logistics car, and buffer devices can be calculated by,
where , , and represent parameters related to the component reliability, and can be calculated by, , , and .
Finally, based on the reliability importance of each component, the index weight of each component can be calculated by,
where represents the reliability importance of one component of the logistics subsystem. .
3.2.2. Weight Quantization Model for EL Indices of the Machining Line Subsystem
From Figure 3, the machining line mechanical subsystem is composed of several machines with different functions, which are always arranged in series. Based on the hypotheses of simple reliability logic relations and the two-state system, the reliability of the machining line subsystem can be written as follows:
where represents the reliability function of the ith equipment of the machining line.
Figure 3.
Reliability logic relation of SSL indices of a FMS.
Although pieces of equipment in the machining line have a series of relations, and largely determine the machining qualities of the products, they are not equally important. The reliability importance of each piece of equipment of this subsystem can be expressed as follows:
where represents the reliability of one piece of equipment on the machining line.
Finally, based on the reliability model, the index weight of each piece of equipment can be written as follows:
where represents the reliability importance of one piece of equipment on the machining line subsystem. .
3.2.3. Weight Quantization Model for SSL Indices of a FMS
From Figure 3, there are a series of relations between the reliability indices of humans, the upper control system, SLCS of logistics, and logistics subsystem, and there are parallel relations between the SLCS of the machining line and between machining line subsystems. Based on hypotheses of simple reliability logic relations and a two-state system, the reliability of a FMS can be modeled by,
where , .
Then, based on the reliability model, the reliability importance of each SSL element can be written as follows,
where and represent the reliability and the reliability importance of one element that has a series of relations with other elements. and represent the reliability and the reliability importance of the mth SLCS of the machining line or the mth machining line subsystem. , .
Finally, the index weight of each SSL element can be written as follows:
where means the sum of the reliability importances of all elements of SSL.
4. Maintenance Strategy Optimization Considering Reliability and Cost
As described in Section 2, in the proposed method, elements are classified into three groups according to the effect degree of each element maintenance on the system reliability. Three maintenance methods, including low-level maintenance with a small period, low-level maintenance with a large period, as well as the combination of low-level maintenance with a small period and high-level maintenance with a large period, are used for elements in three groups, respectively. Moreover, maintenance is divided into five levels. From the reliability modeling, the maintenance coefficient is introduced to reflect the improvement of the reliability after maintenance, and specifically means the reduction rate of the actual running time of equipment. In this work, the corresponding coefficients for five levels are , , , , and 1, respectively. Moreover, these values can be adjusted according to the maintenance ways adopted in practical applications. Since maintenance costs are different under different levels, one must look at how to establish the annual maintenance cost for FMS is the first problem for the maintenance strategy optimization, considering costs. For this problem, the annual maintenance cost of a FMS is modeled by,
where , , and represent element numbers of three groups, respectively. , , , and denote the annual maintenance numbers for group 1, group 2, and group 3 with a small period and large period, respectively, and , , and can be calculated by ; means that fractions are rounded down. . means the cost needed for the th element of group 1 under the th level maintenance.
Based on Equation (3), the FMS reliability can be calculated and represented by . Then the annual minimum reliability can be obtained, , which represents the minimum value of a FMS reliability in a single year, which has the same computation period with the annual maintenance cost C. Taking the annual maintenance cost as the optimization objective, and taking maintenance factors for three groups as variables, the maintenance strategy optimization problem can be modeled as follows,
where means a threshold value, which is taken to ensure the FMS reliability. , , and mean the upper limits of maintenance periods, respectively.
Based on the optimization model, as Equation (21), the parameters of the above strategy can be optimized considering cost and reliability. In this work, the particle swarm optimization algorithm (PSO) is used to obtain the optimal solution. PSO is one of the heuristic optimization algorithms; it involves easy implementation and few parameters. In PSO, the flying velocity and position of the th particle can be updated, where D represents the total number of optimization variables, and and are updated by the following rule [42],
where w is the inertia weight, which reflects the global searching ability of the particle. and are acceleration constants, and can be taken as based on the actual experience. and are random values from the range . are the current individual optimal solution and group optimal solution. Except for w, PSO parameters also include the maximum velocity of the particle, the number of particles , and the number of iterations , which have major impacts on the optimization effect.
5. Application Case to a Box-Part Finishing FMS
5.1. Settings of the Application Case
In this section, the proposed maintenance strategy optimization method is applied to a box-part finishing FMS with three machining lines, wherein each machining line includes one marking machine, two pallet changers, one machine tool, one measuring machine, and one guided unloading robot.
’Practice’ shows that the failure rate of most pieces of equipment involves a function of time, and the failure curve is called the bathtub curve [43], as shown in Figure 4. In this figure, early failures mainly come from obvious system defects, operating errors, etc., during the system debugging and installation processes. During this period, the failure rate is rapidly reduced. Random failures are generally caused by misoperations or improper maintenance of components before they reach their service life. The failure rate in this period is low and stable, which can also be called the effective life period of the equipment or system. Degradation failures are mainly caused by mechanical wear or the accumulation of strength and stress. In this period, the failure rate rapidly increases, and regular maintenance is generally needed to improve reliability and extend the effective life before this period. Therefore, for the ease of modeling and the analysis, the reliability during the effective life period of a FMS is taken as the analysis objective. During this period, mechanical and electrical elements of a FMS are in the stage of accidental failure, and their failure rates remain basically unchanged. Then, the reliability function can be written as an exponential distribution function , which is a special case of the Weibull distribution. In this case, the analysis process can be completed based on the constant values of failure rates of system elements.In this work, failure rates of elements of this FMS obtained by experience and related product manuals are listed in Table 3, which are used as input for the following analysis. Maintenance costs of different elements are listed in Table 4, and the threshold value of the FMS reliability is set by 0.75 for strategy optimization.
Figure 4.
Bathtub curve of the failure rate.
Table 3.
Values for element failure rates of the box-part finishing FMS.
Table 4.
Maintenance costs of elements under different levels.
5.2. Results and Discussions
5.2.1. Results of Elements Grouping
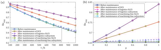
Based on models of Section Section 3, the reliability of subsystems and a FMS related to the service time can be calculated. Figure 5, Figure 6 and Figure 7 show the reliability of the logistics subsystem, machining line subsystem, and the FMS before and after element maintenance under different maintenance parameters, respectively. In the figures, MS and CS mean the mechanical system and control system of the equipment, respectively. Moreover, for the ease of influence analysis, failure rates of the logistics subsystem and machining line subsystems are given as . From the results, the following conclusions can be obtained. (1) In Figure 5, by comparing the reliability curves after the maintenance of the robot MS and robot CS, the larger the failure rates, the greater the influence (regarding their maintenance) on the subsystem reliability. Similarly, the larger the failure rate of the car MS or car CS, the greater the influence of its maintenance on the subsystem’s reliability. By comparing the reliability curves of Figure 6, the larger the failure rate that each element of the machining line subsystem has, the greater the influence of its maintenance on the subsystem reliability. Since elements are grouped mainly according to the effect degree of each elemental maintenance on the system’s reliability, the values of the failure rates of elements have major impacts on the grouping results. Therefore, in real applications, these values are important inputs for this strategy, and should be properly determined based on fault data or experiences. (2) Element maintenance with larger periods or coefficients can more largely improve the reliability of the subsystem, for example, the reliability improvement of the subsystem (, , and denote the reliability before and after the element maintenance) increases by 0.2948 when increases from 500 to 3000. (3) From Figure 5, the increase in the period or coefficient of the element maintenance has a minor effect on the reliability improvement of the logistics subsystem; for example, the reliability improvements when and are both about 0.03. (4) Maintenance of the element with the lower failure rate (from the order of magnitude) has less of an effect on subsystem reliability, for example, in Figure 5, the maintenance of robotic CS, car CS, and the buffer zone of the logistics subsystem, as well as the marking machining CS of the machining line subsystem, have little influence on the subsystem’s reliability. In Figure 6, the maintenance of the marking machine MS can improve the subsystem’s reliability better than the maintenance of the changer machine MS; in Figure 7, the effect of maintenance of the logistics subsystem is much larger than the maintenance of UCS.(5) From Figure 7, the maintenance of the element, parallel from the reliability logic view, has a larger effect on the subsystem reliability than that in serial. For example, under different maintenance parameters and with the same failure rate setting (), the effect of maintenance of the logistics subsystem on the FMS reliability is much larger than the maintenance of the machining line subsystem. Similarly, with the same failure rate setting (), the maintenance of the logistics SLCS has a much larger impact on the FMS reliability than the maintenance of the machining line SLCS.
Figure 5.
Reliability variations of the logistics subsystem before and after the element maintenance over the maintenance parameters. (a) Variations over the maintenance period. (b) Variations over the maintenance coefficient.
Figure 6.
Reliability variations of the machining line subsystem before and after the element maintenance over the maintenance parameters. (a) Variations over the maintenance period. (b) Variations over the maintenance coefficient.
Figure 7.
Reliability variations of a FMS before and after the element maintenance over the maintenance parameters. (a) Variations over the maintenance period. (b) Variations over the maintenance coefficient.
Based on the above analysis, elements with relatively low failure rates are classified into group 1; elements with high failure rates (and in serial) are classified into group 2; elements with high failure rates (and in parallel) are classified into group 3. To determine the upper limit for the maintenance period of each group, variations of element reliability over the actual running time under different failure rates are shown in Figure 8, which are obtained based on the exponential distribution hypothesis. For example, for elements with low failure rates, the upper limit can be taken as if the element reliability is required to be no less than 0.9; for elements with high failure rates, the upper limit can be taken as . Therefore, according to the failure rates listed in Table 2 and the reliability logic analysis, the preventive maintenance strategy of the box-part finishing FMS can be proposed as in Figure 9.
Figure 8.
Variations of element reliability over the actual running time under different failure rates.
Figure 9.
Preventive maintenance strategy of a FMS.
5.2.2. Influences of PSO Parameters on the Optimization
To ensure the globally optimal result and the convergence efficiency, iterative curves under different parameters of the optimization objective (w, , and ) are shown in Figure 10, Figure 11 and Figure 12. From these figures, when , the global optimal result can be obtained with a higher convergence efficiency; under most other cases, PSO is trapped in local optimization, for example, the case of , and .
Figure 10.
Iterative curves of the optimization objective under different values of w when .
Figure 11.
Iterative curves of the optimization objective under different values of when .
Figure 12.
Iterative curves of the optimization objective under different values of when and .
5.2.3. Novelty Verification of the Proposed Strategy
To show the novelty and contributions of this study, the optimal results of the proposed strategy are compared with those of previously related strategies, including the strategy without considering grouping (ST-G), the strategy without considering the maintenance level (ST-ML), and the strategy without the grouping and maintenance levels (ST-G-ML). In detail, for ST-G, the incomplete maintenance with the same maintenance level and period is used for all elements of a FMS; for ST-ML, the complete maintenance (under level 5) with different periods is used for elements of different groups; for ST-G-ML, the complete maintenance with the same period is used for all elements of a FMS. Since complete maintenance is applied for ST-G-ML and ST-ML, the upper limit of maintenance periods is 5000 h to better find the global optimal solutions. Optimal results based on four strategies are obtained as in Table 5, wherein is used to reflect the degree of the maintenance cost reduction compared with the previous strategies; and mean the maintenance costs of the previous strategy and the proposed strategy and they are closer to 100% (the greater the reduction degree). From the optimal results, the main conclusions are as follows: (1) The optimal cost based on the proposed strategy is 18.88, which is reduced by 50.52% when compared with the initial value of 38.16 optimization. Moreover, although the FMS reliability decreases by 2.41%, it also satisfies the requirement of the reliability constraint. (2) Four strategies can ensure the reliability requirements. However, compared with ST-G, ST-ML, and ST-G-ML, the optimal costs of ST are reduced by 77.52%, 92.9%, and 77.52%, respectively, indicating that the proposed strategy can largely reduce maintenance costs on the premise of satisfying the reliability requirements. Moreover, from the optimal results of ST, for group 1 and group 2, the maintenance periods are 1959.31 h (working all day without interruption for about 82 days) and 975.55 h (working all day without interruption for about 41 days), respectively; the maintenance coefficients are 0.6 and 0.4 respectively. For group 3, the small period is 976.19 h (working all day without interruption for about 41 days); the maintenance coefficient is 0.2; the one high-level maintenance is performed after every six () low-level maintenance coefficient and the maintenance coefficient is 0.8. That is, based on this work, the maintenance strategy with optimal parameters can be obtained, which can minimize the maintenance costs under the reliability constraint.
Table 5.
Comparison of optimal results.
6. Conclusions and Future Works
6.1. Conclusions
This work proposes a grouping preventive maintenance strategy of a FMS and establishes the strategy optimization model by considering both reliability and cost. To accurately estimate the FMS reliability, a three-layer evaluation index system is presented according to the system analysis, including the whole layer, subsystem layer, and equipment layer. Reliability importance and weight-quantization models for the layer indices are established considering maintenance strategies, based on the reliability logic analysis of a logistics subsystem, machining line subsystem, and a FMS. Based on the above models, the effects of element reliability improvement on FMS reliability can be analyzed and used as evidence for elements grouping. Three maintenance methods were applied to elements in different groups to form the whole maintenance strategy of a FMS. Further, the strategy optimization problem was modeled considering reliability as one constraint and the annual maintenance cost as the objective. Through an application case to a box-part finishing FMS of the proposed strategy, the following conclusions can be obtained.
(1) From the influencing effect analysis, the maintenance of the element with the lower failure rate has less effect on the subsystem reliability; the maintenance of the element ’in parallel’ from the reliability logic view has a larger effect on the subsystem reliability than that ’in serial’. Therefore, elements with low failure rates (from the order of magnitude), elements with high failure rates and ’in serial’, and elements with high rates and ’in parallel’ are classified into group 1, group 2, and group 3, respectively. Moreover, the upper limits of maintenance periods for each group can be determined by the desired value of element reliability.
(2) From the results based on the proposed strategy, the optimal maintenance cost is reduced by 50.52% when compared with the initial value of the iteration; FMS reliability decreases by 2.41% but still satisfies the given constraint. The results indicate that the maintenance periods and coefficients for each group can be optimized to obtain the minimum maintenance costs on the premise of satisfying the reliability requirement, which verifies the effectiveness of the proposed maintenance strategy.
(3) From the optimal results, compared with ST-G, ST-ML, and ST-G-ML, the optimal cost of ST is reduced by 77.52%, 92.9%, and 77.52%, respectively. This result indicates that the proposed strategy can more largely reduce maintenance costs compared to previous related strategies, which verifies the novelty and contribution of this work.
(4) In the application case, the reliability during the effective life period (occasional failure period) of a FMS is taken as the analysis objective, which can be modeled based on the exponential distribution hypothesis, with failure rates from experience and related product manuals as input. In actual applications, the reliability during the early failure period and loss failure period can be estimated based on the Weibull distribution with parameters calculated by failure data processing, which means that the proposed strategy applies to the whole lifestyle of a FMS.
6.2. Future Works
In future works, the proposed strategy will be applied to a real FMS with actual failure data, and verify the great significance of this work on the real FMS running. Moreover, except for reliability and cost, production quality and efficiency are important indices for the running of manufacturing systems. However, due to the complexity of the operational process and production tasks, future works will also focus on the FMS maintenance problem considering the above factors synthetically.
Author Contributions
Methodology, formal analysis, validation, resources, writing—original draft, Y.P.; funding acquisition, writing—review and editing, Z.L.; supervision, writing—review and editing, funding acquisition, J.X.; validation, formal analysis, B.Q.; validation, formal analysis, Q.C. All authors have read and agreed to the published version of the manuscript.
Funding
This research was supported by the National Natural Science Foundation of China (no. 51975019), National Science and Technology Major Project (Key Processing Equipment for Large and Medium CNC in the Machine Tool Industry, grant no. TC210H035-009), Scientific Research Project of the Beijing Educational Committee (no. KM202210005031), China Postdoctoral Science Foundation (no. 2021M700301).
Institutional Review Board Statement
Not applicable.
Informed Consent Statement
Not applicable.
Data Availability Statement
Not applicable.
Acknowledgments
The authors would like to thank the research team members for their contributions to this work.
Conflicts of Interest
The authors declare no conflict of interest.
Abbreviations
The following abbreviations are used in this manuscript:
| FMS | flexible manufacturing system |
| DML | dedicated manufacturing system |
| RMS | reconfigurable manufacturing system |
| CMT | cellular manufacturing system |
| UCS | upper control system |
| SLCS | station-level control system |
| ECS | equipment control system |
| WL | whole level |
| SSL | subsystem level |
| EL | equipment level |
| CS | control system |
| MS | mechanical system |
| PSO | particle swarm optimization |
| ST | proposed strategy |
| ST-G | strategy without considering grouping |
| ST-ML | strategy without considering maintenance level |
| ST-G-ML | strategy without considering grouping and maintenance level |
References
- Kaiser, K.A.; Gebraeel, N.Z. Predictive Maintenance Management Using Sensor-Based Degradation Models. IEEE Trans. Syst. Man Cybern.-Part A Syst. Hum. 2009, 39, 840–849. [Google Scholar] [CrossRef]
- Cheng, Y. Dynamic Preventive Maintenance Based on Reliability and Replacement Strategy for Manufacturing Systems; Xi’an Technological University: Xi’an, China, 2014. [Google Scholar]
- Ren, Z.H. Research on Manufacturing System Maintenance Policy Based on Limitation of Reliability; Xi’an Technological University: Xi’an, China, 2014. [Google Scholar]
- Shi, H.; Zeng, J.C. Preventive maintenance strategy based on life prediction. Comput. Integr. Manuf. Syst. 2014, 20, 1133–1140. [Google Scholar]
- Lin, Z.L.; Huang, Y.S.; Fang, C.C. Non-periodic preventive maintenance with reliability thresholds for complex repairable systems. Reliab. Eng. Syst. Saf. 2015, 136, 145–156. [Google Scholar] [CrossRef]
- Zequeira, R.I.; Berenguer, C. Periodic imperfect preventive maintenance with two categories of competing failure modes. Reliab. Eng. Syst. Saf. 2006, 91, 460–468. [Google Scholar] [CrossRef]
- Xi, Q.C.; Cao, J.P.; Chen, G.M.; Chang, L.-L.; Xiong, Q.; Wang, S. Research on a Phased Periodic Preventive Maintenance Model Based on Reliability Constraint. Acta Armamentarii 2017, 38, 2251–2258. [Google Scholar]
- Zhou, Y.; Kou, G.; Xiao, H.; Peng, Y.; Alsaadi, F.E. Sequential imperfect preventive maintenance model with failure intensity reduction with an application to urban buses. Reliab. Eng. Syst. Saf. 2020, 198, 106871. [Google Scholar] [CrossRef]
- Yang, X.J. Static Group maintenance strategy for complex systems based on average remaining life and Birnbaum importance. Intern. Combust. Engine Parts 2019, 6, 176–178. [Google Scholar]
- Hou, C. Maintenance Strategy of Car Crankshaft Automatic Production Line; Jilin University: Changchun, China, 2017. [Google Scholar]
- Vijayan, V.; Chaturvedi, S.K. Multi-component maintenance grouping optimization based on stochastic dependency. J. Risk Reliab. 2021, 235, 293–305. [Google Scholar] [CrossRef]
- Song, Z.J.; Chang, J.M.; Hou, G.B.; Zhu, H.C. Optimized Opportunistic Maintenance Strategy for Multi-Components Series System. Mach. Des. Manuf. 2015, 4, 259–262. [Google Scholar]
- Qin, Z.C. Research on Reliability Evaluation and Preventive Opportunity Maintenance Strategy for Wind Turbine; Lanzhou Jiaotong University: Lanzhou, China, 2021. [Google Scholar]
- Chen, X.J. Maintenance Decision Model Research about the Key-Subsystems of the CNC Lathe; Jilin University: Changchun, China, 2017. [Google Scholar]
- Jin, X.; Lin, L.; Ni, J. Option model for joint production and preventive maintenance system. Int. J. Prod. Econ. 2015, 119, 347–353. [Google Scholar] [CrossRef]
- Zhang, J.X.; Du, D.B.; Si, X.S.; Hu, C.-H.; Zhang, H.-W. Joint optimization of preventive maintenance and inventory management for standby systems with hybrid-deteriorating spare parts. Reliab. Eng. Syst. Saf. 2021, 6, 107686. [Google Scholar] [CrossRef]
- Fitouhi, M.C.; Nourelfath, M. Integrating noncyclical preventive maintenance scheduling and production planning for multi-state systems. Reliab. Eng. Syst. Saf. 2014, 121, 175–186. [Google Scholar] [CrossRef]
- Zhu, M.X.; Ge, Y.X. Preventive Maintenance Strategy for Multi-Stage Flexible Manufacturing System with Dynamic Production Planning. J. Shanghai Jiao Tong Univ. 2020, 54, 1124–1133. [Google Scholar]
- Ait, A.; Cadi, E.; Gharbi, A.; Dhouib, K.; Artiba, A. Joint production and preventive maintenance controls for unreliable and imperfect manufacturing systems. J. Manuf. Syst. 2021, 58, 263–279. [Google Scholar]
- Rivera-Gomez, H.; Gharbi, A.; Kenne, J.P.; Ortiz-Zarco, R.; Corona-Armenta, J.R. Joint production, inspection and maintenance control policies for deteriorating system under quality constraint. J. Manuf. Syst. 2021, 60, 585–607. [Google Scholar] [CrossRef]
- Huang, C.H.; Wang, C.H.; Chen, G.L. Multiobjective Multistate System Preventive Maintenance Model with Human Reliability. Int. J. Aerosp. Eng. 2021, 9, 1–16. [Google Scholar] [CrossRef]
- Zhang, C.; Zhu, H.; Wu, J.; Ma, L.; Cheng, J.; Wang, H. Preventive Maintenance Decision Model for Multi-Station Manufacturing System Subject to System Deterioration. In Proceedings of the 2019 2nd World Conference on Mechanical Engineering and Intelligent Manufacturing (WCMEIM), Shanghai, China, 22–24 November 2019. [Google Scholar]
- Malhotra, R.; Dureja, T.; Goyal, A. Reliability Analysis a Two-Unit Cold Redundant System Working in a Pharmaceutical Agency with Preventive Maintenance. J. Phys. Conf. Ser. 2021, 1850, 012087. [Google Scholar] [CrossRef]
- Wu, Z.Z. Research on Reliability Modeling and Maintenance Decision of Repairable System; Xidian University: Xi’an, China, 2020. [Google Scholar]
- Zhang, P.; Hu, X.Z.; Sun, H.L. Reliability Vector Methods of Serial and Parallel Engineering Systems. J. Sichuan Univ. Eng. Sci. Ed. 2004, 36, 1–6. [Google Scholar]
- Shankar Rai, R.; Jayswal, S. Design and Optimization of Loop Layout in Flexible Manufacturing System using Particle Swarm Optimization. Int. J. Adv. Technol. 2018, 9, 1000202. [Google Scholar] [CrossRef]
- Wikarek, J.; Sitek, P.; Nielsen, P. Model of decision support for the configuration of manufacturing system—ScienceDirect. IFAC-PapersOnLine 2019, 52, 826–831. [Google Scholar] [CrossRef]
- Liu, J.P.; Luo, Z.B.; Liu, S.J.; Chen, K.; Zhang, S.Q. Research on Diagnosability Measures Throughout the Process of a Manufacturing System. Ind. Eng. Manag. 2001, 2, 5–8. [Google Scholar]
- Yang, Q.F.; Wei, X.W.; Lin, C.Y.; Li, Z.L.; Liu, X.Y. Reliability prediction of travel time based on spatio-temporal bayesian model. J. South China Univ. Technol. Nat. Sci. Ed. 2016, 44, 115–122. [Google Scholar]
- Qin, J.; Li, Z.; Zhu, Y. Protection Mechanism in Reliability Evaluation Approach to Multistate System with Common Cause Failure. Complexity 2021, 2021, 1–12. [Google Scholar] [CrossRef]
- Zeng, J.; Dong, J.J. Optimization for Complex Production Time-repaired Intervals Based on the Reliability Importance. J. Acad. Equip. 2013, 24, 108–111. [Google Scholar]
- Wang, F. Research of a FMS Hierarchical Distributed Control System modeling and Communicating Mechanism; Chinese Academy of Sciences: Chengdu, China, 2010. [Google Scholar]
- Rao, Y.Q. Unified Modeling and Integrated Design of Schedule and Control for Flexible Manufacturing systems. China Mech. Eng. 2002, 13, 855–859. [Google Scholar]
- Shi, Z.; Zhao, X.; Zhang, H.; Sun, H.; Zeng, C.; Lei, P.; He, X.; Xia, F. Reliability Analysis on Domestic Special CNC Machine Tools Based on Weibull Distribution. J. Phys. Conf. Ser. 2021, 2101, 012024. [Google Scholar] [CrossRef]
- Sun, Z.J. Assessment Study on Reliability and Maintainability Analysis of Industrial Robots Based on Grey System Theory; Kunming University of Science and Technology: Kunming, China, 2015. [Google Scholar]
- Gao, M.; Lv, X.Q.; Xie, J.L.; Li, H.M.; Luo, J.H. Reliability Evaluation of Guided Ammunition Control System Based on GO Method and Bayes. Ordnance Ind. Autom. 2021, 40, 60–62. [Google Scholar]
- Alduais, F. Comparison of classical and Bayesian estimators to estimate the parameters in Weibull distribution under weighted general entropy loss function. Int. J. Adv. Appl. Sci. 2021, 8, 57–62. [Google Scholar] [CrossRef]
- Zhang, G.B.; Tang, X.J.; Liao, X.B.; Xu, Z. Quantitative modeling and application of CNC machine failure distribution curve. J. Chongqing Univ. 2013, 36, 119–123. [Google Scholar] [CrossRef]
- Liu, C.; Pang, R.Y.; Han, C.; Liu, T.T. Research on Opportunity Maintenance Strategy of Wind Turbines Based on Incomplete Maintenance. IOP Conf. Ser. Mater. Sci. Eng. 2021, 1043, 022051. [Google Scholar] [CrossRef]
- Wang, Q.; He, Z.Y.; Lin, S.; Liu, Y. Availability and Maintenance Modeling for GIS Equipment Served in High-Speed Railway Under Incomplete Maintenance. IEEE Trans. Power Deliv. 2018, 33, 2143–2151. [Google Scholar] [CrossRef]
- Sun, J.K.; Li, Z.N. Failure-Rate Analysis of Repairable Systems. J. Beijing Univ. Aeronaut. Astronaut. 2001, 27, 578–581. [Google Scholar]
- Kim, H.J.; Kang, H.J.; Kim, M.K. Data-Driven Bidding Strategy for DER Aggregator Based on Gated Recurrent Unit–Enhanced Learning Particle Swarm Optimization. IEEE Access 2021, 9, 66420–66435. [Google Scholar] [CrossRef]
- Li, S.; Ou, S.F.; Li, K.W.; Yu, X.Y. Fault rate model of distribution transformer based on bathtub curve. Inf. Technol. 2018, 3, 83–88. [Google Scholar]
Disclaimer/Publisher’s Note: The statements, opinions and data contained in all publications are solely those of the individual author(s) and contributor(s) and not of MDPI and/or the editor(s). MDPI and/or the editor(s) disclaim responsibility for any injury to people or property resulting from any ideas, methods, instructions or products referred to in the content. |
© 2023 by the authors. Licensee MDPI, Basel, Switzerland. This article is an open access article distributed under the terms and conditions of the Creative Commons Attribution (CC BY) license (https://creativecommons.org/licenses/by/4.0/).











