Dynamic Analysis of Gear Rattling of a Certain Type of Dual-Clutch Transmission
Abstract
:1. Introduction
2. Dynamic Model of Transmission Gear Rattling
2.1. Dynamic Model
2.2. Gear Contact Model
2.3. Drag Torque
2.4. Model Validation
3. Numerical Simulations and Analysis
3.1. Rattling Evaluation Index and Power Loss
3.2. Dynamic Response
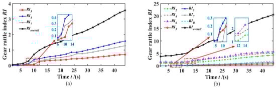
3.2.1. 1st Gear without Preselection
3.2.2. 1st Gear Pre-Selection 4th
3.3. Parameter Ananlysis
4. Summary
Author Contributions
Funding
Data Availability Statement
Acknowledgments
Conflicts of Interest
References
- Yoon, J.Y.; Kim, B. Gear rattle analysis of a torsional system with multi-staged clutch damper in a manual transmission under the wide open throttle condition. J. Mech. Sci. Technol. 2016, 30, 1003–1019. [Google Scholar] [CrossRef]
- Wang, M.Y.; Zhao, W. Numerical Modelling and Analysis of Automotive Transmission Rattle. J. Vib. Control 2016, 8, 921–943. [Google Scholar] [CrossRef]
- Bozca, M. Torsional vibration model based optimization of gearbox geometric design parameters to reduce rattle noise in an automotive transmission. Mech. Mach. Theory 2010, 45, 1583–1598. [Google Scholar] [CrossRef]
- Chen, M.; Wang, D. Application of cae in design optimization of a wet dual cutch transmission and driveline. SAE Int. J. Passeng. Cars-Mech. Syst. 2014, 7, 1128–1137. [Google Scholar] [CrossRef]
- Yi, Y.; Huang, K.; Xiong, Y.; Sang, M. Nonlinear dynamic modelling and analysis for a spur gear system with time-varying pressure angle and gear backlash. Mech. Syst. Signal Processing 2019, 132, 18–34. [Google Scholar] [CrossRef]
- Theodossiades, S.; Tangasawi, O. Gear teeth impacts in hydrodynamic conjunctions promoting idle gear rattle. J. Sound Vib. 2007, 303, 632–658. [Google Scholar] [CrossRef]
- Brancati, R.; Rocca, E.; Russo, R. A gear rattle model accounting for oil squeeze between the meshing gear teeth. Proc. Inst. Mech. Eng. Part D J. Automob. Eng. 2005, 219, 1075–1083. [Google Scholar] [CrossRef]
- Brancati, R.; Rocca, E.; Russo, R. An analysis of the automotive driveline dynamic behaviour focusing on the influence of the oil squeeze effect on the idle rattle phenomenon. J. Sound Vib. 2007, 303, 858–872. [Google Scholar] [CrossRef]
- Rahnejat, H.; Gohar, R. The vibrations of radial ball bearings. Proc. Inst. Mech. Eng. Part C J. Mech. Eng. Sci. 1985, 199, 181–193. [Google Scholar] [CrossRef]
- Cruz, M.D.l.; Theodossiades, S. Transmission drive rattle with thermo-elastohydrodynamic impacts numerical and experimental investigations. Int. J. Powertrains 2011, 1, 137–161. [Google Scholar] [CrossRef]
- Wei, Z.; Shangguan, W.-B.; Liu, X. Modeling and analysis of friction clutches with three stages stiffness and damping for reducing gear rattles of unloaded gears at transmission. J. Sound Vib. 2020, 483, 115469. [Google Scholar] [CrossRef]
- Changenet, C.; Velex, P. A Model for the Prediction of Churning Losses in Geared Transmissions—Preliminary Results. J. Mech. Des. 2007, 129, 128–133. [Google Scholar] [CrossRef]
- Li, Z.; Zhu, C.; Liu, H.; Gu, Z. Mesh stiffness and nonlinear dynamic response of a spur gear pair considering tribo-dynamic effect. Mech. Mach. Theory 2020, 153, 103989. [Google Scholar] [CrossRef]
- Li, S.; Wu, Q.; Zhang, Z. Bifurcation and chaos analysis of multistage planetary gear train. Nonlinear Dyn. 2013, 75, 217–233. [Google Scholar] [CrossRef]
- Liu, F.; Zhang, L.; Jiang, H.; Zhang, J. Nonlinear dynamic analysis of two external excitations for the gear system using an original computational algorithm. Mech. Syst. Signal Processing 2020, 144, 106823. [Google Scholar] [CrossRef]
- Wang, J.; Zhang, J.; Yao, Z.; Yang, X.; Sun, R.; Zhao, Y. Nonlinear characteristics of a multi-degree-of-freedom spur gear system with bending-torsional coupling vibration. Mech. Syst. Signal Processing 2019, 121, 810–827. [Google Scholar] [CrossRef]
- Cao, Z.; Chen, Z.; Jiang, H. Nonlinear dynamics of a spur gear pair with force-dependent mesh stiffness. Nonlinear Dyn. 2019, 99, 1227–1241. [Google Scholar] [CrossRef]
- Chen, Z.; Ning, J.; Wang, K.; Zhai, W. An improved dynamic model of spur gear transmission considering coupling effect between gear neighboring teeth. Nonlinear Dyn. 2021, 106, 339–357. [Google Scholar] [CrossRef]
- Fernandez-Del-Rincon, A.; Diez-Ibarbia, A.; Iglesias, M.; Viadero, F. Gear rattle dynamics: Lubricant force formulation analysis on stationary conditions. Mech. Mach. Theory 2019, 142, 103581. [Google Scholar] [CrossRef]
- Guo, D.; Chen, F.; Liu, J. Numerical Modeling of Churning Power Loss of Gear System Based on Moving Particle Method. Tribol. Trans. 2019, 63, 182–193. [Google Scholar] [CrossRef]
- Guo, D.; Zhou, Y.; Zhou, Y.; Wang, Y.; Chen, F.; Shi, X. Numerical and experimental study of gear rattle based on a refined dynamic model. Appl. Acoust. 2022, 185, 108407. [Google Scholar] [CrossRef]
- Robinette, D.; Beikmann, R.; Piorkowski, P.; Powell, M. Characterizing the Onset of Manual Transmission Gear Rattle Part II Analytical Results. SAE Int. J. Passeng. Cars Mech. Syst. 2009, 2, 1365–1376. [Google Scholar] [CrossRef]
- Qbal, S.; Al-Bender, F. Mathematical Model and Experimental Evaluation of Drag Torque in Disengaged Wet Clutches. ISRN Tribol. 2013, 2013, 206539. [Google Scholar]
- Liu, H.; Arfaoui, G.; Stanic, M. Numerical modelling of oil distribution and churning gear power losses of gearboxes by smoothed particle hydrodynamics. Proc. Inst. Mech. Eng. Part J J. Eng. Tribol. 2018, 233, 74–86. [Google Scholar] [CrossRef]





















| Condition | 1st Gear | 2nd Gear | 3rd Gear | 4th Gear | 5th Gear | 6th Gear | 7th Gear | Reverse Gear |
|---|---|---|---|---|---|---|---|---|
| 1st | × | × | o | × | o | × | o | × |
| 1st pre-selection 4th | × | o | o | o | o | o | o | o |
| Motor parameters | Motor | Max/Rated speed | Max Torque | Power |
| Main motor | 10,000/5435 rpm | 650 Nm | 370 kw | |
| Secondary motor | 3000/650 rpm | 3200 Nm | 220 kw | |
| Test conditions | Gear position | 1st gear | 1st gear pre-selection 4th | |
| Input speed | 1500 rpm | |||
| Angular acceleration | in 0–90 s | |||
| Input torque | 80 Nm | |||
Publisher’s Note: MDPI stays neutral with regard to jurisdictional claims in published maps and institutional affiliations. |
© 2022 by the authors. Licensee MDPI, Basel, Switzerland. This article is an open access article distributed under the terms and conditions of the Creative Commons Attribution (CC BY) license (https://creativecommons.org/licenses/by/4.0/).
Share and Cite
Guo, D.; Ning, Q.; Ge, S.; Zhou, Y.; Luo, R. Dynamic Analysis of Gear Rattling of a Certain Type of Dual-Clutch Transmission. Machines 2022, 10, 805. https://doi.org/10.3390/machines10090805
Guo D, Ning Q, Ge S, Zhou Y, Luo R. Dynamic Analysis of Gear Rattling of a Certain Type of Dual-Clutch Transmission. Machines. 2022; 10(9):805. https://doi.org/10.3390/machines10090805
Chicago/Turabian StyleGuo, Dong, Qinfeng Ning, Shuaishuai Ge, Yi Zhou, and Ruitian Luo. 2022. "Dynamic Analysis of Gear Rattling of a Certain Type of Dual-Clutch Transmission" Machines 10, no. 9: 805. https://doi.org/10.3390/machines10090805
APA StyleGuo, D., Ning, Q., Ge, S., Zhou, Y., & Luo, R. (2022). Dynamic Analysis of Gear Rattling of a Certain Type of Dual-Clutch Transmission. Machines, 10(9), 805. https://doi.org/10.3390/machines10090805
