An Improved Permanent Magnet Synchronous Motor Rotor Position Observer Design Based on Error Harmonic Elimination
Abstract
:1. Introduction
2. Mathematical Model of PMSM
3. Rotor Position Observer with Traditional SMO
4. Improved Rotor Position Observer
4.1. Improvement Measures Based on Multi-Proportional Resonant Filter
4.2. Parameter Design and System Stability Analysis
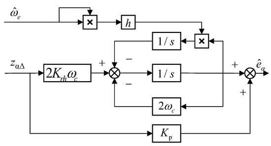
5. Rotor Position and Speed Estimation Based on FN-PLL
6. Simulation Analysis
6.1. Simulation Analysis of Low-Speed Operation
6.2. Simulation Analysis of Variable-Speed Operation
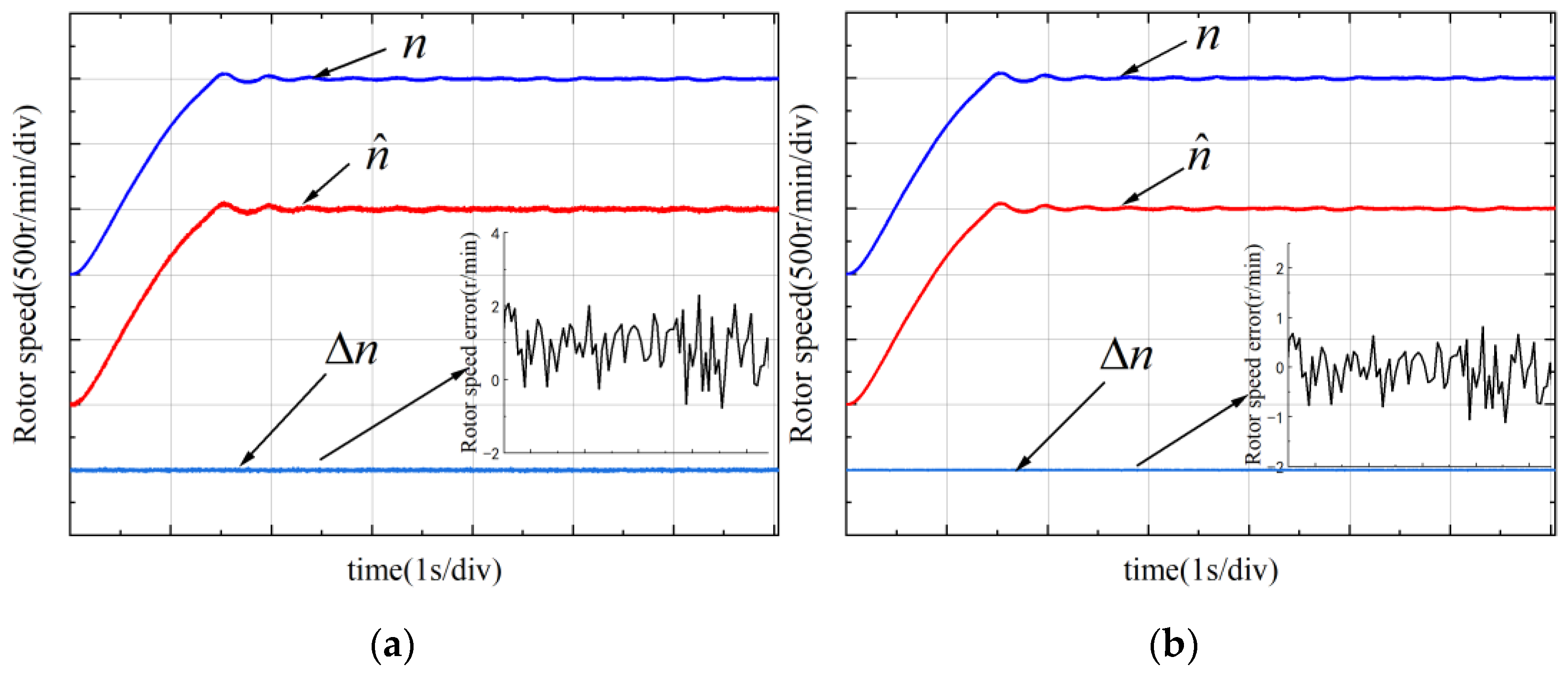
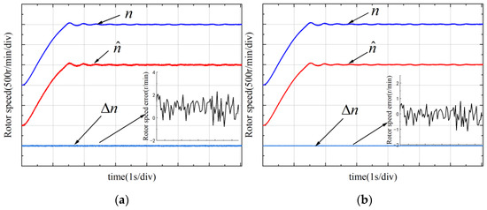
7. Experimental Verification
7.1. Harmonic Analysis
7.2. Anti-Disturbance Dynamic Analysis
8. Conclusions
- A MPF was designed instead of LPF to reduce the chattering in the traditional SMO back EMF and eliminate the system phase delay. The parameter design of MPF was analyzed. Using the frequency response analysis, the relationship between the main parameters and the stability margin was discussed and summarized. Then, the improved FN-PLL was used to calculate the rotor position and speed, which simplified the system structure. The stability of the improved SMO was verified by the pole-zero and Nyquist theory of the discrete model.
- The simulation model was built to verify the proposed control strategy. Through the analysis of the simulation results, compared with the traditional SMO, the total harmonic distortion (THD) in the back EMF in the improved SMO was reduced by 6.14%, the chattering was suppressed while the system phase delay was eliminated, and the estimated accuracy of position and speed were improved; the performance of the improved SMO was verified by simulation.
- The experimental platform was built up and showed that the improved SMO has the following advantages. The experimental results show that MPF can effectively eliminate the selective frequency harmonic content of the estimated back EMF; under different working conditions, such as load and speed transients, the position error and speed error of the improved SMO were also significantly improved compared with the traditional SMO, which helps to improve the sensorless control performance of the PMSM driver.
Author Contributions
Funding
Institutional Review Board Statement
Informed Consent Statement
Data Availability Statement
Conflicts of Interest
References
- Hu, S.; Hu, B.; Wang, W.; Cao, W. Analysis of loss-of-excitation characteristics of permanent magnets of high-density permanent magnet synchronous motors. Chin. J. Electr. Eng. 2019, 14, 121–126. [Google Scholar]
- Wang, L.; Kong, X.; Yu, G. Parameter tuning of motor servo control of parallel-hybrid machine tool based on genetic algorithm. J. Tsinghua Univ. (Nat. Sci. Ed.) 2021, 61, 1106–1114. [Google Scholar] [CrossRef]
- Zhang, Y.; Liu, J. An improved Q-PLL to overcome the speed reversal problems in sensorless PMSM drive. In Proceedings of the 2016 IEEE 8th International Power Electronics and Motion Control Conference (IPEMC-ECCE Asia), Hefei, China, 22–26 May 2016; IEEE: Piscataway, NJ, USA, 2016; pp. 1884–1888. [Google Scholar]
- Lu, W. Research on Sensorless Vector Control Technology of Permanent Magnet Synchronous Motor. Ph.D. Thesis, Southeast University, Dhaka, Bangladesh, 2016. [Google Scholar]
- Li, H.; Chen, T. Review of parameter identification of permanent magnet synchronous motor. J. Electron. Meas. Instrum. 2015, 29, 638–647. [Google Scholar]
- Liu, J.; Xiao, F.; Shen, Y.; Mai, Z.; Li, C. Research review on position-free sensor control technology of permanent magnet synchronous motor. Electrotech. J. 2017, 32, 76–88. [Google Scholar]
- Zhang, Y.; Wang, W.; Zhang, X.; Xiao, X.; Shang, J. Improved sliding mode observation method of permanent magnet synchronous motor with resistance online identification. J. Electr. Mot. Control. 2017, 21, 10–17, 25. [Google Scholar]
- Li, R.; Zhao, G.; Xu, S. Sensorless control of permanent magnet synchronous motor based on extended sliding mode observer. Trans. China Electrotech. Soc. 2012, 3, 79–85. [Google Scholar]
- Chen, S.; Pi, Y. Position sensorless control of permanent magnet synchronous motor based on sliding mode observer and sliding mode controller. J. Electrotech. Technol. 2016, 31, 108–117. [Google Scholar]
- Chen, Y.; Gao, Y.; Chen, Z. A sliding-mode observer combining an adaptive synchronous filter and an orthogonal phase-locked loop. Electrotech. J. 2018, 33, 265–274. [Google Scholar]
- Liu, Z.; Chen, W. Research on an Improved Sliding Mode Observer for Speed Estimation in Permanent Magnet Synchronous Motor. Processes 2022, 10, 1182. [Google Scholar] [CrossRef]
- Huang, Y.; Wu, F. A Sensorless Control Method for Permanent Magnet Synchronous Motor Based on Fractional-Order Sliding Mode Observer. In 2020 Industry Applications, Proceedings of the IEEE 5th Information Technology and Mechatronics, Chongqing, China, 12–14 June 2020; IEEE: Piscataway, NJ, USA, 2020; Volume 53, pp. 3672–3682. [Google Scholar]
- Wang, Q.; Zhang, X.; Zhang, C. Permanent magnet synchronous motor vector control dual-sliding mode model refers to the adaptive system speed identification. Chin. J. Electr. Eng. 2014, 34, 897–902. [Google Scholar]
- Nguyen, A.T.; Rafaq, M.S.; Choi, H.H.; Jung, J.W. A model reference adaptive control based speed controller for a surface-mounted permanent magnet synchronous motor drive. IEEE Trans. Ind. Electron. 2018, 65, 9399–9409. [Google Scholar] [CrossRef]
- Gopinath, G.R.; Das, S.P. An extended Kalman filter based sensorless permanent magnet synchronous motor drive with improved dynamic performance. In Proceedings of the 2018 IEEE International Conference on Power Electronics, Drives and Energy Systems (PEDES), Xiamen, China, 18–21 December 2018; IEEE: Piscataway, NJ, USA, 2018; pp. 1–6. [Google Scholar]
- Bolognani, S.; Calligaro, S.; Petrella, R. Design issues and estimation errors analysis of back-EMF-based position and speed observer for SPM synchronous motors. IEEE J. Emerg. Sel. Top. Power Electron. 2014, 2, 159–170. [Google Scholar] [CrossRef]
- Li, H.; Zhang, X.; Yang, S.; Li, E. Review of sensor-less control technology of permanent magnet synchronous motor based on high-frequency signal injection. Electrotech. J. 2018, 33, 2653–2664. [Google Scholar]
- Kim, S.Y.; Lee, W.; Rho, M.S.; Park, S.Y. Effective dead-time compensation using a simple vectorial disturbance estimator in PMSM drives. IEEE Trans. Ind. Electron. 2009, 57, 1609–1614. [Google Scholar]
- Choi, Y.S.; Shin, H.C.; Song, W.J. Robust regularization for normalized LMS algorithms. IEEE Trans. Circuits Syst. II Express Briefs 2006, 53, 627–631. [Google Scholar] [CrossRef]
- Wang, G.; Zhan, H.; Zhang, G.; Gui, X. Adaptive compensation method of position estimation harmonic error for EMF-based observer in sensorless IPMSM drives. IEEE Trans. Power Electron. 2013, 29, 3055–3064. [Google Scholar] [CrossRef]
- Wang, G.; Ding, L.; Li, Z.; Xu, J.; Zhang, G.; Zhan, H.; Ni, R.; Xu, D. Enhanced position observer using second-order generalized integrator for sensorless interior permanent magnet synchronous motor drives. IEEE Trans. Energy Convers. 2014, 29, 486–495. [Google Scholar]
- Du, S.; Quan, L.; Zhu, X.; Zhang, L.; Zuo, Y. Fault-tolerant control of position sensor failure at zero and low speed of permanent magnet synchronous motor based on high frequency injection. Chin. J. Electr. Eng. 2019, 39, 3038–3047. [Google Scholar]
- Jiang, Y.; Li, B.; Wu, X.; Huang, S.; Huang, K.; Xiao, S.; Zhang, X. Improved permanent magnet synchronous motor rotor position observer based on proportional resonant filter. Electrotech. J. 2020, 35, 3619–3630. [Google Scholar]
- Pugi, L.; Grasso, E.; Fabbri, S. Enhanced Back EMF Sensorless Control for Permanent Magnet Synchronous Motors. In Proceedings of the 2018 IEEE International Conference on Environment and Electrical Engineering and 2018 IEEE Industrial and Commercial Power Systems Europe (EEEIC/I&CPS Europe), Palermo, Italy, 12–15 June 2018; IEEE: Piscataway, NJ, USA, 2018; pp. 1–6. [Google Scholar]
- Ali, S.; Raza, M.T.; Abbas, G.; Ullah, N.; Al Otaibi, S.; Luo, H. Sliding Mode Observer-Based Fault Detection in Continuous Time Linear Switched Systems. Energies 2022, 15, 1090. [Google Scholar] [CrossRef]





















| Parameter | Parameter Value |
|---|---|
| Polar pairs p | 4 |
| Rated speed n (rpm) | 2000 |
| Torque Te (N·m) | 14.3 |
| Stator resistance R (Ω) | 0.1 |
| Stator inductance L (H) | 0.0015 |
| Rated voltage Udc (V) | 300 |
| Speed PI parameters | 1, 0.2 |
| Current PI parameter | 3, 20 |
Publisher’s Note: MDPI stays neutral with regard to jurisdictional claims in published maps and institutional affiliations. |
© 2022 by the authors. Licensee MDPI, Basel, Switzerland. This article is an open access article distributed under the terms and conditions of the Creative Commons Attribution (CC BY) license (https://creativecommons.org/licenses/by/4.0/).
Share and Cite
Lv, H.; Zhang, L.; Yao, C.; Sun, Q.; Du, J.; Chen, X. An Improved Permanent Magnet Synchronous Motor Rotor Position Observer Design Based on Error Harmonic Elimination. Machines 2022, 10, 633. https://doi.org/10.3390/machines10080633
Lv H, Zhang L, Yao C, Sun Q, Du J, Chen X. An Improved Permanent Magnet Synchronous Motor Rotor Position Observer Design Based on Error Harmonic Elimination. Machines. 2022; 10(8):633. https://doi.org/10.3390/machines10080633
Chicago/Turabian StyleLv, Haiying, Lei Zhang, Chunya Yao, Qiang Sun, Jingjuan Du, and Xueyong Chen. 2022. "An Improved Permanent Magnet Synchronous Motor Rotor Position Observer Design Based on Error Harmonic Elimination" Machines 10, no. 8: 633. https://doi.org/10.3390/machines10080633
APA StyleLv, H., Zhang, L., Yao, C., Sun, Q., Du, J., & Chen, X. (2022). An Improved Permanent Magnet Synchronous Motor Rotor Position Observer Design Based on Error Harmonic Elimination. Machines, 10(8), 633. https://doi.org/10.3390/machines10080633

