Next Article in Journal
Study on Discrete Mosquito Population-Control Models with Allee Effect
Previous Article in Journal
On Sharp Coefficients and Hankel Determinants for a Novel Class of Analytic Functions
 
 
Font Type:
Arial Georgia Verdana
Font Size:
Aa Aa Aa
Line Spacing:
Column Width:
Background:
Article

Analysis of Approximation Methods of Laplacian Eigenvectors of the Kronecker Product of Graphs

by
Marko Miladinović
*,†,
Milan Bašić
and
Aleksandar Stamenković
Faculty of Sciences and Mathematics, University of Niš, 18000 Niš, Serbia
*
Author to whom correspondence should be addressed.
These authors contributed equally to this work.
Axioms 2025, 14(3), 192; https://doi.org/10.3390/axioms14030192
Submission received: 24 January 2025 / Revised: 26 February 2025 / Accepted: 27 February 2025 / Published: 5 March 2025
(This article belongs to the Section Mathematical Analysis)

Abstract

This paper analyzes two approximation methods for the Laplacian eigenvectors of the Kronecker product, as recently presented in the literature. We enhance the approximations by comparing the correlation coefficients of the eigenvectors, which indicate how well an arbitrary vector approximates a matrix’s eigenvector. In the first method, some correlation coefficients are explicitly calculable, while others are not. In the second method, only certain coefficients can be estimated with good accuracy, as supported by empirical and theoretical evidence, with the rest remaining incalculable. The primary objective is to evaluate the accuracy of the approximation methods by analyzing and comparing limited sets of coefficients on one hand and the estimation on the other. Therefore, we compute the extreme values of the mentioned sets and theoretically compare them. Our observations indicate that, in most cases, the relationship between the majority of the values in the first set and those in the second set reflects the relationship between the remaining coefficients of both approximations. Moreover, it can be observed that each of the sets generally contains smaller values compared to the values found among the remaining correlation coefficients. Finally, we find that the performance of the two approximation methods is significantly influenced by imbalanced graph structures, exemplified by a class of almost regular graphs discussed in the paper.

1. Introduction

Interactions in nature and society, such as protein–protein interactions [1], image pixel connections [2], social networks [3], or quantum system evolution [4], are often best understood through the lens of large networks. However, analyzing such networks poses significant computational challenges due to the complexity of operations on their graph matrices. Fortunately, these networks are frequently composed of smaller, more manageable structures—motifs [5], communities [6], or layers [7]. By utilizing the properties of these substructures, we can infer characteristics of the larger networks formed through specific operations [8,9]. In graph theory, three fundamental graph products are commonly used to construct larger networks from smaller ones: the Cartesian product, the Kronecker product (also known as the direct product), and the strong product. Each of these products defines the vertex set as ordered pairs of the vertices of the constituent graphs and employs distinct rules for forming edges based on the edges of the constituent graphs.
Graph products play a crucial role in fields such as computer science, mathematics, and engineering, providing both practical applications and theoretical insights. For instance, the Kronecker product effectively models large networks, such as Internet graphs, by approximating them with powers of smaller subgraphs [10]. Recently, graph products have emerged as a significant formalism in network science for characterizing the topologies of multilayer networks [7,11,12]. Furthermore, their spectral properties have demonstrated substantial utility in various domains, including interconnection networks, parallel computing architectures, and diffusion processes [13].
In the past two decades, graph spectra have found significant applications across various fields, particularly in computer science [14,15], including Internet technologies, computer vision, data mining, and multiprocessor systems. Among graph spectra, the spectrum and eigenspaces of the Laplacian matrix have received considerable attention due to its numerous applications. For instance, it has been used to analyze spanning trees resistance distances, community structures, and various network dynamics such as mechanical relaxation and fluorescence depolarization [16,17]. A fundamental challenge in this area is understanding how the spectral properties of graph products relate to those of their factor graphs. While relationships of the spectra of degree and adjacency matrices have been established for all major graph products, explicit characterizations of the Laplacian spectrum and eigenvectors remain limited. Complete results are available for the Cartesian product [18], but the Laplacian spectrum and eigenvectors of the Kronecker product of graphs are difficult to derive directly from their factors, as were explored in [19] for the modeling of multilayer networks. This has motivated research on the creation of empirical methods for estimation [20,21], as well as the derivation of explicit solutions for very specific cases [22].
This paper focuses on analyzing approximation methods for the Laplacian eigenvectors of the Kronecker product, addressing both theoretical insights and practical implications for large-scale networks, as studied in [20,21]. The mentioned studies developed practical methods for estimating the Laplacian spectrum and eigenvectors of the Kronecker product of two graphs. These approximations reveal that the estimated eigenvalues and eigenvectors behave differently depending on the network topology. Empirical and theoretical evidence suggests that the Kronecker product of eigenvectors derived from the (normalized) Laplacian matrices of factor graphs, which is central to these approximation methods, can, in many cases, effectively approximate the eigenvectors of the Laplacian matrix of the Kronecker product. This process of approximation can be enhanced further by examining and comparing the correlation coefficients of the approximated eigenvectors. This measure determines the degree to which an arbitrary vector approximates an eigenvector of a given matrix. It is also shown that higher correlation coefficients of the approximated eigenvectors lead to lower relative errors in the estimated eigenvalues, highlighting the accuracy of the approximation. These approximation methods generally provide a more accessible approach for analyzing large-scale, complex networks, with significant implications for network science and machine learning models, such as random fields [19].
The computation of the correlation coefficient is typically impractical because there is no explicit formula available for the (normalized) Laplacian eigenvectors of factor graphs expressed in terms of graph degrees or other structural parameters of the graph. However, Ref. [21] showed that n out of n 2 correlation coefficients could be explicitly determined using the approximation method proposed in [20], with the first Zagreb index playing a crucial role in the expression. On the other hand, the expression that served as a lower bound, (in some cases) of n correlation coefficients of the second approximation method in [21] contains a factor that is a function of the degrees of the first factor graph, but the second factor is still a function of second factor of an eigenvector of the normalized Laplacian of the second factor graph. Conversely, the expression that provides a lower bound for n correlation coefficients, as derived from the second approximation method proposed in [21], incorporates a factor that is influenced by the degrees of the first factor graph. In this context, both the first Zagreb index and the forgotten topological index play a crucial role. However, the second factor of this expression is determined as a function of the eigenvectors of the normalized Laplacian corresponding to the second factor graph.
Following the preliminary section, where we outline the established formulas for n correlation coefficients derived from the approximation formulas in [20], as well as the lower bounds (in specific cases) for n correlation coefficients derived from the approximation formulas in [21], the third section provides empirical and theoretical evidence to demonstrate why the aforementioned bounds serve as reasonably accurate approximations for the actual values of the correlation coefficients. In Section 3.1, we conduct a comparison between the set of actual values of n correlation coefficients and the set of proposed approximated correlation coefficients. This is achieved by plotting their smoothed probability distributions for different types of random model graphs. Our observations reveal that, for sparse graphs, both the actual and approximated values of the correlation coefficients exceed 0.9. For slightly denser graphs, these values exceed 0.95 and exhibit similar behavior in both cases (see Figure 1). Additionally, we perform a direct comparison of each of the n correlation coefficients with its corresponding estimated value by calculating the percentage errors. The results show that the distribution of percentage errors is nearly uniform around 0, as observed in certain regions of the percentage error graph. A shared characteristic of all types of random graphs considered in the experiment is that, after an initial drop in their values, the percentage errors exhibit a gradual upward trend. Subsequently, these errors can be expressed in permilles, indicating a reduction in variability as the order number of the correlation coefficient increases.
In Section 3.2, we theoretically show that the relative error between the approximated and actual n coefficients tends to zero as n (fixed p) or p 1 (fixed n) in the case of the Erdős–Rényi graph. Experiments confirm that the accuracy of approximation improves with graph density, supporting the reliability of approximation for large or dense networks. This conclusion is established by building upon the results presented in Theorem 3 from [21], which are derived from Lemma 1 and Lemma 2 in the same work. While these results are initially expressed in terms of inequalities, it is observed that the left-hand and right-hand sides of these inequalities become asymptotically equivalent in the case of this random graph model. The refined proofs show that certain functions of degree sequences in Erdős–Rényi graphs, interpreted as topological indices, are asymptotically equivalent. This strengthens the mathematical foundation of the approximation and broadens the application of chemical graph theory to complex networks.
The primary objective of Section 4 is to evaluate the accuracy of the approximation method introduced in [20], which considers only n coefficients expressed as a function of the degree sequence of a graph. Furthermore, the section aims to evaluate the accuracy of the approximation method presented in [21], which focuses on n approximations of the corresponding coefficients associated with this approximation. Given that the n correlation coefficients in the approximation method from [20] are mutually equal, we establish the following: The maximum value of these coefficients is achieved when the factor graph (G) is a regular graph, as shown in Theorem 3. In contrast, the minimum value occurs when G is a star graph, as stated in Theorem 4 (these results are observed when analyzing the Laplacian matrix of the Kronecker product of graphs G and H). For the derived classes of graphs, it is observed that the values of the n correlation coefficients are consistently smaller than those of the other correlation coefficients. This observation has been extended to additional classes of graphs and is empirically validated. Furthermore, a similar trend is evident among the correlation coefficients obtained via the approximation method presented in [21]. In Theorem 7, the maximum value of the n approximated coefficients is achieved when G is a regular graph, provided that the normalized Laplacian vector of the factor graph (H) is fixed. It is further proven that the approximated coefficients reach their minimum when G belongs to a certain class of almost regular graphs, as demonstrated in Theorem 8 and some empirical comments after the theorem, for a fixed normalized Laplacian vector of the factor graph (H).
In Section 4.2, we analyze the relationship between the majority of the set of n correlation coefficients from the first approximation method and the set of n approximated correlation coefficients from the second method. We also examine how this relationship reflects the connection between the remaining coefficients of both methods. This analysis may lead us to a conclusion regarding which approximation method is more suitable for certain classes of graphs. According to Theorem 5, when G is an almost regular graph with the degree sequence expressed as ( y , , y n 1 , y n 1 ) , where n 1 is a perfect square, the discrepancy is minimized, favoring the second set. This pattern extends to the remaining coefficients, further emphasizing the influence of the structure of G on the methods. On the other hand, as shown in Theorems 5 and 6, along with the comments following these theorems, when G is a star graph, the discrepancy between the approximated n correlation coefficients of the second method and those of the first method is maximized, favoring the first set. In both cases, this observation holds true when the normalized Laplacian vector of the factor graph (H) is fixed. This trend also applies to the remaining coefficients, highlighting the structural distinctions between the two methods. However, deviations from this trend may occur when the values of the n correlation coefficients from both methods are close, and the relationship between them is not necessarily reflected in the remaining coefficients, as discussed at the end of the section.
The proofs generally require a thorough discussion and encompass a broad spectrum of distinct cases. These cases employ techniques derived from the intersection of graph index theory, probability theory, mathematical analysis, inequalities, polynomial theory, computational mathematics, and other relevant fields.

2. Preliminaries

Consider a simple graph (G) with order n, characterized by a set of vertices ( V ( G ) ) and a set of edges ( E ( G ) ), denoted as G = ( V G , E G ) . The adjacency matrix (A) of G is an n × n matrix, where the entry at position ( i , j ) is 1 if vertices i and j are adjacent and 0 if they are not. The degree matrix (D) is a diagonal matrix in which each entry ( i , i ) corresponds to the number of edges incident to the i-th vertex. The Laplacian matrix of the adjacency matrix (A) is defined as L = D A , where D is the degree matrix of A. The normalized Laplacian matrix is defined as L = D 1 2 L D 1 2 = I D 1 2 A D 1 2 .
Let G = ( V G , E G ) and H = ( V H , E H ) be two simple, connected graphs, each of the order n. The Kronecker product of graphs, denoted by G H , is a graph defined on the vertex set ( V G × V H ) such that two vertices ( ( g , h ) and ( g , h ) ) are adjacent if and only if ( g , g ) E G and ( h , h ) E H .
The approximation proposed in [20] suggests that w i G w j H , where w i G and w j H ( 1 i , j n ) are arbitrary eigenvectors of L G and L H , respectively, can be used as an approximation for the true eigenvectors of L G H . On the other hand, the authors of [21] found that, in certain cases, the Kronecker product of the eigenvectors of L G and L H , denoted by v i G v j H , where v i G and v j H ( 1 i , j n ) are arbitrary eigenvectors of L G and L H , provides a more accurate approximation for the eigenvectors of L G H than the Kronecker product of the eigenvectors of L G and L H . The idea also partially comes from the fact that the normalized Laplacian matrix of the Kronecker product of graphs G H can be represented in terms of normalized Laplacian matrices of factor graphs G and H.
The closeness of the estimated vector (x) to any of the original eigenvectors of the Laplacian of the Kronecker product of graphs L G H is measured using the vector correlation coefficient (cosine similarity), denoted by ρ L G H ( x ) , as described in [20,21]:
ρ L G H ( x ) = x T L G H x x L G H x .
Throughout the paper, we deal with approximations that are Kronecker products of two vectors, i.e., w i G w j H and v i G v j H for 1 i , j n , and to simplify notation, we define r i , j = ρ L G H ( w i G w j H ) and r i , j = ρ L G H ( v i G v j H ) . Since not all of the coefficients ( r i , j and r i , j ) are feasible, our focus is on those that are feasible or for which a reasonable estimation can be provided. Specifically, since 1 n and D G 1 2 1 n are eigenvectors of L G and L G , respectively, by substituting w 1 G = 1 n and v 1 G = D G 1 2 1 n , in accordance with Theorem 1 and Theorem 3 from [21], we can express the following consequences: For 1 i n and d 1 , , d n ,
r 1 , i = d 1 + + d n n d 1 2 + + d n 2 n
and
r 1 , i d 1 2 + + d n 2 ( d 1 3 + + d n 3 ) ( d 1 + + d n ) v i H T L H v i H L H v i H v i H ,
are the degrees of G. In addition, Theorem 2 states that the expectation of r 1 , i may be greater than or equal to the expectation of the expression on the right-hand side of relation (2) in certain cases where the Kronecker product of two graphs (G and H) comprises Erdős–Rényi graphs. Therefore, in the following section, we demonstrate that the aforementioned expression represents a reasonable approximation of r 1 , i .
For the sake of simplicity, we denote the right-hand side of expression (2) as follows:
a p p ( r 1 , i ) = d 1 2 + + d n 2 ( d 1 3 + + d n 3 ) ( d 1 + + d n ) v i H T L H v i H L H v i H v i H ,
Furthermore, throughout the paper, we compare the value of r 1 , i with this approximation (3), and the resulting analysis ultimately addresses the following question: Which classes of graphs allow the approximation methods proposed in [20,21] to yield better results?

3. Analysis of the Approximation of Correlation Coefficients r 1 , i

In this section, we evaluate the accuracy of the estimated value of r 1 , i by comparing it to the original value, with the estimate derived from the right-hand side of expression (2). The first subsection presents a series of experiments measuring the distributions of the vector correlation coefficients ( r 1 , i ) and their estimates, as calculated using (2), across various graph structures and edge density levels. Additionally, we analyze the percentage errors between the actual and estimated values to quantify the discrepancies in a more detailed manner. In the second subsection, we present theoretical insights into the connection between the estimated and true values by demonstrating their asymptotic equivalence as the order of the graph increases, thereby explaining the observed experimental results.

3.1. Experimental Results

This subsection analyzes the behavior of the vector correlation coefficients ( r 1 , i ) by comparing the actual correlation coefficients with their approximations (3) for the Kronecker product of two random graphs, namely Erdős–Rényi and Barabási–Albert graphs. We present two sets of results: first, smoothed probability density functions that illustrate the distribution of correlation coefficients and their approximations and, second, percentage errors that quantify the discrepancies between the actual and approximated values. This dual approach provides a deeper understanding of the performance of approximations across various graph combinations, offering greater insights into their correlation dynamics.
The initial experiments compare the correlation coefficients and their approximations on Erdős–Rényi random graphs G and H with 100 vertices and approximately 1000 and 490 edges, respectively (see Figure 1, top left). The edge densities were approximately 25% and 10%, respectively, indicating that the resulting Kronecker product of these two graphs is highly sparse, with an edge density of 2.5%. For the given parameters, it can initially be observed that the correlation coefficients corresponding to the vectors ( v 1 G v i H ) exhibit high values (blue solid line), which generally exceed 0.9, with peaks surpassing 0.94. This indicates that v 1 G v i H provides a reasonably good approximation for the Laplacian matrix of the Kronecker product of two Erdős–Rényi graphs. Furthermore, it can be noticed that the correlation coefficients ( r 1 , i ) increase, and their peaks shift rightwards, approaching a value of 1, as the edge density level increases (see the other graphs in Figure 1). The top-right and bottom-left graphs illustrate cases where the edge density of G H is doubled: in the first scenario, by doubling the edge density of G, and in the second scenario, by doubling the edge density of H. Finally, when the edge densities of both G and H are doubled, resulting in an overall edge density of 10% for G H (which does not constitute a dense graph), the peak of the blue line reaches approximately 0.98, and the correlation coefficients corresponding to the vectors display exceptionally high values exceeding 0.955 (as shown in the bottom-right graph).
Furthermore, the probability density function of the approximation of the correlation coefficient (green solid line) effectively tracks the blue line, closely following the overall distribution of the actual correlation coefficients, as shown in all the graphs presented in Figure 1. Although there is a slight deviation around the highest peak (with the green line being marginally higher than the blue line), it is evident that the number of values in each subinterval of the correlation range (0.9,1) is consistent between the actual coefficients and the approximation. These minimal differences still suggest that the approximation is highly reliable.
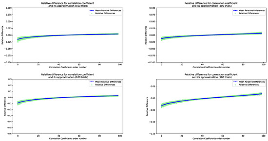
Motivated by the observation that the graph of the approximation captures the overall trend of the density function of the correlation coefficient when G and H follow Erdős–Rényi random models, we conduct a more detailed analysis by calculating the percentage errors between a specific correlation coefficient ( r 1 , i ) and its estimate given by expression (3) for each 1 i n . This way, we aim to quantify the accuracy of the approximation method and evaluate its reliability across different graph structures. Therefore, the percentage error is calculated over one hundred independent tests for the Kronecker product of two graphs (G and H), each being either an Erdős–Rényi random graph with a 10% edge density or a Barabási–Albert random graph with a 25% edge density, both containing 100 vertices (see Figure 2).
In the case of the Kronecker product of two Erdős–Rényi graphs, we observe a consistent pattern in the distribution of percentage errors. Initially, there are slight negative fluctuations, followed by a gradual increase. After this initial phase, the percentage errors remain remarkably consistent across all correlation coefficients up to r 1 , n . More precisely, for the first few correlation coefficients, the percentage errors range from −2% to −1%. Beyond this range, the differences stabilize at values that can be expressed in permilles or tenths of permilles, indicating a significant decrease in variability. Additionally, it is noteworthy that the sign of approximately the first half of the percentage errors is negative, while that of the second half is positive, with the mean remaining close to zero after the initial fluctuations, as highlighted by the blue dots.
For the Kronecker product of an Erdős–Rényi graph and a Barabási–Albert graph, the percentage errors remain small, and the distribution of percentage errors becomes more stable compared to the previous case. This indicates that the sudden negative jump observed at the beginning of the graph is less pronounced, with the initial relative errors ranging from −1% to −0.5%. Towards the end of the graph, the percentage errors show marginally larger values, reaching around 0.5%. In the middle section, we notice significant consistency, with the mean almost forming a straight line at zero, highlighting minimal variation in percentage errors throughout this range.
For the Kronecker product ( G H , where G is a Barabási–Albert graph), we observe a pronounced initial dip in the percentage errors, with a magnitude of approximately −3% when H is a Barabási–Albert graph and −8% when H is an Erdős–Rényi graph. After this initial drop, the percentage errors exhibit a gradual upward trend and can be expressed in permilles, indicating reduced variability as the correlation coefficient’s order number increases. However, as the order number approaches n, the percentage errors show a slight increase before stabilizing at approximately 1.5% for the Barabási–Albert graph and around 3.5% for the Erdős–Rényi graph. This overall behavior demonstrates that, despite larger initial deviations, the approximation method achieves high accuracy and reliability, effectively capturing the correlation coefficients for various graph structures, even when these structures display distinct complexities. Moreover, it is worthwhile to mention that as the edge densities of G or H increase, the percentage errors become smaller for each of the correlation coefficients, further improving the accuracy of the approximation method across all cases. The same observation regarding the accuracy of the approximation method remains valid when the edge densities of G or H are fixed and the order of the graphs increases. This is one of the topics discussed in the following subsection.
Both experiments, as illustrated by the plotted probability density functions and percentage errors, indicate that the approximations of the correlation coefficients are highly accurate across all scenarios. Despite some minor deviations in certain complex graph structures, the overall performance of the approximations remains robust. These findings emphasize that the proposed approximation effectively captures the correlation dynamics, making it a potentially reliable method for analyzing various types of random graphs. Therefore, in the following subsection, we provide a theoretical explanation of why a p p ( r 1 , i ) given by expression (3) for each 1 i n represents an adequate estimation of the correlation coefficient ( r 1 , i ) by demonstrating that these two values are asymptotically equivalent as n when G is an Erdős–Rényi graph.

3.2. Theoretical Results

In this subsection, we examine the theoretical foundations underlying the approximation of the correlation coefficient ( r 1 , j ). We build upon the results established in Theorem 3 from [21], which are grounded in Lemma 1 and Lemma 2 from [21]. We first review the critical inequalities and bounds provided in these lemmas, which are essential for understanding the accuracy of the approximation. Specifically, we examine how the inequalities in Lemma 1 and Lemma 2 impact the approximation of r 1 , j and its relationship with the true correlation coefficient. This theoretical analysis helps clarify how the approximation ( a p p ( r 1 , j ) ) relates to the true correlation coefficient ( r 1 , j ) and highlights the factors affecting the accuracy of the estimation.
The proof of Theorem 3 from [21] is based on Lemmas 1 and 2, with key steps involving the observations that the inequalities expressed as
{ i , j } E ( G ) 2 d i d j { i , j } E ( G ) d i + d j ,
and
[ { 1 , i } E ( G ) d i , , { n , i } E ( G ) d i ] T 2 i = 1 n d i 3 ,
hold in their proofs.
The disparity between the left- and right-hand sides in both of the inequalities directly influences the accuracy of the approximation of r 1 , j given in (2). Moreover, the first inequality directly influences the difference between ( v 1 G v i H ) T L G H ( v 1 G v i H ) and ( d 1 2 + + d n 2 ) v i H T L H v i H , as stated in Lemma 1. Similarly, the disparity between the right-hand side and the left-hand side directly affects the second inequality’s influence on the difference between L G H ( v 1 G v i H ) and i = 1 n d i 3 L H v i H , as stated in Lemma 2. In the remainder of this section, we perform an asymptotic analysis of the previously mentioned inequalities. In the preceding subsection, our experiments primarily examined random graph models of order n, where the degree sequences are largely influenced by the order and edge densities.
Therefore, we proceed to perform experiments on the Erdős–Rényi random graph model (with varying orders and fixed density levels). From these experiments, it is observed that the mean relative error between { i , j } E ( G ) ( d i + d j ) and { i , j } E ( G ) 2 d i d j is less than 10 log 10 ( n ) (see Table 1).
Since we conduct experiments on Erdős–Rényi graphs, we can first calculate the expectation of the term expressed as { i , j } E ( G ) d i + d j and subsequently approximate the expected value of { i , j } E ( G ) 2 d i d j . The final result of these calculations shows that the expectations of these terms are of the same order of magnitude as n, indicating that they are asymptotically equivalent.
Lemma 1.
Let G ( n , p ) be an Erdős–Rényi graph with a degree sequence of ( d 1 , , d n ) . The expected value of { i , j } E ( G ) d i + d j is given by
n ( n 1 ) p [ ( n 2 ) p + 1 ] .
Proof. 
Let ( d 1 , , d n ) be random variables representing the degrees of the vertices of G. Hence, the expected value of { i , j } E ( G ) d i + d j can be expressed as follows:
E { i , j } E ( G ) d i + d j = 1 2 i = 1 n j = 1 n E ( ( d i + d j ) x i , j ) ,
where x i , j represents random indicator variables denoting whether vertices i and j are adjacent, with a probability of p.
Expressing d i = d i + x i , j and d j = d j + x i , j implies that variables d i , d j , and x i j are independent. Consequently, we can derive the following expectation:
E ( ( d i + d j ) x i , j ) = E ( ( d i + x i , j + d j + x i , j ) x i , j ) = E ( d i x i , j + d j x i , j + 2 x i , j 2 ) .
Considering that
E ( d i ) = E ( d i ) E ( x i , j ) = ( n 1 ) p p = ( n 2 ) p ,
we obtain
E ( d i x i , j + d j x i , j + 2 x i , j 2 ) = 2 ( n 2 ) p 2 + 2 p .
Finally, it can be concluded that
E { i , j } E ( G ) d i + d j = n ( n 1 ) 2 E ( ( d i + d j ) x i , j ) = n ( n 1 ) 2 ( 2 ( n 2 ) p 2 + 2 p ) = n ( n 1 ) p [ ( n 2 ) p + 1 ] .
To calculate the expected value of { i , j } E ( G ) 2 d i d j for some Erdős–Rényi graph ( G ( n , p ) ), it is necessary to evaluate 1 2 i = 1 n j = 1 n E ( 2 d i d j x i , j ) , which is further simplified to
n ( n 1 ) E ( d i d j x i , j 2 ) .
Let y i , j be defined as y i , j = d i d j x i , j 2 . We can approximate y i , j by expanding the x function into a Taylor series around point E ( y i , j ) , considering terms up to the second order.
More specifically, the Taylor-series expansion of x around point x 0 is given by
x = x 0 + x x 0 2 x 0 ( x x 0 ) 2 8 x 0 3 + O ( x 3 ) .
After a brief calculation, we conclude that the expectation of y i , j after the expansion of y i , j around point E ( y i , j ) can be expressed as
E ( y i , j ) = E ( y i , j ) 1 E ( y i , j 2 ) E ( y i , j ) 2 8 E ( y i , j ) 2 + E ( R ( y i , j ) ) ,
where R ( y i , j ) = ( c ) ( 3 ) 6 ( y i , j E ( y i , j ) ) 3 and c between y i , j and E ( y i , j ) .
Following similar reasoning, by refining the Taylor expansion, we can obtain a lower bound for x as follows:
x 0 + x x 0 2 x 0 ( x x 0 ) 2 2 x 0 3 x ,
where x 0 and x 0 > 0 are arbitrary real numbers. Indeed, after dividing both sides of the inequality by x 0 and substituting t = x / x 0 , we can conclude that it is equivalent to 3 t t 2 2 t . Subsequently, by dividing both sides by t , we find that the resulting inequality is equivalent to the arithmetic–geometric mean inequality ( ( t ) 3 + 1 + 1 3 t ).
Finally, after substituting x = y i , j and x 0 = E ( y i , j ) , we obtain the following inequality:
E ( y i , j ) 1 E ( y i , j 2 ) E ( y i , j ) 2 2 E ( y i , j ) 2 E ( y i , j ) .
Therefore, in the following lemmas, we calculate E ( y i , j ) and E ( y i , j 2 ) .
Lemma 2.
Let G ( n , p ) be an Erdős–-Rényi graph with a degree sequence of ( d 1 , , d n ) . The expected value of d i d j x i , j 2 , where x i , j represents random indicator variables denoting whether vertices i and j are adjacent, with a probability of p, is given by
E ( y i , j ) = E ( d i d j x i , j 2 ) = ( n 2 ) 2 p 3 + 2 ( n 2 ) p 2 + p .
Proof. 
Stating d i = d i + x i , j and d j = d j + x i , j implies that variables d i , d j , and x i j are independent. Therefore, we can deduce the following expectation:
E ( d i d j x i , j 2 ) = E ( ( d i + x i , j ) ( d j + x i , j ) x i , j 2 ) = E ( d i d j x i , j 2 + d i x i , j 3 + d j x i , j 3 + x i , j 4 ) .
Using Equation (5), we can conclude that the expected value of d i d j x i , j 2 is given by ( n 2 ) 2 p 3 + 2 ( n 2 ) p 2 + p . □
In order to calculate E ( y i , j 2 ) , it is necessary to first determine E ( d i 2 ) , where d i = d i x i , j , with x i , j representing random indicator variables indicating whether vertices i and j are adjacent, with a probability of p. It can be easily concluded that
E ( d i 2 ) = ( n 3 ) ( n 2 ) p 2 + ( n 2 ) p .
Indeed, according to (5) and the fact that d i has a binomial distribution with the parameters B ( n 1 ; p ) , we have
E ( d i 2 ) = E ( d i 2 2 d i x i , j + x i , j 2 ) = E ( d i 2 ) + E ( x i , j 2 ) 2 E ( ( d i + x i , j ) x i , j ) = ( n 1 ) 2 p 2 + ( n 1 ) p ( 1 p ) + p 2 E ( d i x i , j ) 2 E ( x i , j 2 ) = ( n 1 ) 2 p 2 + ( n 1 ) p ( 1 p ) + p 2 ( n 2 ) p · p 2 p = ( n 3 ) ( n 2 ) p 2 + ( n 2 ) p .
Lemma 3.
Let G ( n , p ) be an Erdős–Rényi graph with a degree sequence of ( d 1 , , d n ) . The expected value of d i 2 d j 2 x i , j 4 , where x i , j represents random indicator variables denoting whether vertices i and j are adjacent, with a probability of p, is given by
E ( y i , j 2 ) = E ( d i 2 d j 2 x i , j 4 ) = ( n 3 ) 2 ( n 2 ) 2 p 5 + 6 ( n 3 ) ( n 2 ) 2 p 4 + ( 9 ( n 2 ) 2 + 2 ( n 3 ) ( n 2 ) ) p 3 + 6 ( n 2 ) p 2 + p .
Proof. 
To prove the lemma, we start by expanding the expression of d i 2 d j 2 x i , j 4 using d i = d i + x i , j and d j = d j + x i , j , where d i and d j are independent of x i , j . Thus, we have
d i 2 d j 2 x i , j 4 = ( d i + x i , j ) 2 ( d j + x i , j ) 2 x i , j 4 .
Expanding this expression and taking the expectation, we obtain the following:
E ( d i 2 d j 2 x i , j 4 ) = E ( d i 2 + 2 d i x i , j + x i , j 2 ) ( d j 2 + 2 d j x i , j + x i , j 2 ) x i , j 4 .
Since d i , d j , and x i , j are independent, the expectation can be expressed as follows:
E ( d i 2 d j 2 x i , j 4 ) = E ( d i 2 ) E ( d j 2 ) p + 4 E ( d i 2 ) E ( d j ) p + 2 E ( d i 2 ) p + 4 E ( d i ) 2 p + 4 E ( d i ) p + p .
Substituting E ( d i ) = ( n 2 ) p and E ( d i 2 ) = ( n 3 ) ( n 2 ) p 2 + ( n 2 ) p , we obtain
E ( d i 2 d j 2 x i , j 4 ) = ( n 3 ) ( n 2 ) p 2 + ( n 2 ) p 2 · p + 4 ( n 3 ) ( n 2 ) p 2 + ( n 2 ) p ( n 2 ) p 2 + 2 ( n 3 ) ( n 2 ) p 2 + ( n 2 ) p p + 4 ( n 2 ) p 2 p + 4 ( n 2 ) p 2 + p .
Simplifying the above expression, we get
E ( d i 2 d j 2 x i , j 4 ) = ( n 3 ) 2 ( n 2 ) 2 p 5 + 6 ( n 3 ) ( n 2 ) 2 p 4 + ( 9 ( n 2 ) 2 + 2 ( n 3 ) ( n 2 ) ) p 3 + 6 ( n 2 ) p 2 + p .
This completes the proof. □
According to Lemmas 2 and 3, we have E ( y i , j ) p 3 n 2 and E ( y i , j 2 ) p 5 n 4 as n ; therefore, E ( y i , j ) 2 E ( y i , j 2 ) ( p 6 p 5 ) n 4 . Using the properties of f 1 f 2 g 1 g 2 and f 1 / f 2 g 1 / g 2 , given that f 1 g 1 and f 2 g 2 , the left-hand side of inequality (6) is asymptotically equivalent to
E ( y i , j ) 1 E ( y i , j 2 ) E ( y i , j ) 2 2 E ( y i , j ) 2 = E ( y i , j ) E ( y i , j ) 2 E ( y i , j 2 ) 2 E ( y i , j ) 2 p 3 2 n ( p 6 p 5 ) n 4 2 p 6 n 4 n .
On the other hand, by applying Jensen’s inequality, we obtain E ( y i , j ) E ( y i , j ) n , which implies that E ( y i , j ) n , given that
n E ( y i , j ) 1 E ( y i , j 2 ) E ( y i , j ) 2 2 E ( y i , j ) 2 E ( y i , j ) E ( y i , j ) n .
Finally, given that E ( { i , j } E ( G ) 2 d i d j ) = n ( n 1 ) E ( y i , j ) , it can be obtained that
E ( { i , j } E ( G ) 2 d i d j ) n 3 and E ( { i , j } E ( G ) 2 d i d j ) n 3 E ( { i , j } E ( G ) d i + d j ) , according to Lemma 1. This means that we have effectively proven that E ( { i , j } E ( G ) 2 d i d j ) and E ( { i , j } E ( G ) ( d i + d j ) ) are asymptotically equivalent as n , that is, E ( { i , j } E ( G ) 2 d i d j ) E ( { i , j } E ( G ) ( d i + d j ) ) , which implies that
E ( ( v 1 G v i H ) T L G H ( v 1 G v i H ) ) E i = 1 n d i 2 E ( v i H T L H v i H ) ,
as n , according to equality (8) and the proof of Lemma 1.
Furthermore, from E ( { i , j } E ( G ) 2 d i d j ) E ( { i , j } E ( G ) ( d i + d j ) ) or, equivalently,
lim n E ( { i , j } E ( G ) 2 d i d j ) E ( { i , j } E ( G ) ( d i + d j ) ) = 1 ,
it follows that
lim n E ( { i , j } E ( G ) ( d i + d j ) ) E ( { i , j } E ( G ) 2 d i d j ) E ( { i , j } E ( G ) ( d i + d j ) ) = 0 ,
which supports the results obtained in Table 1, suggesting that as the graph order (n) increases, the relative error decreases.
In the remaining part of this section, we analyze inequality (4) by proving that the expectations of its left-hand side ( [ { 1 , i } E ( G ) d i , , { n , i } E ( G ) d i ] T 2 ) and its right-hand side ( i = 1 n d i 3 ) are of the same order of magnitude.
First, we present some results obtained from experiments conducted on various random graph models with distinct orders and a fixed edge density of p = 0.3 . It can be noticed that the mean of the relative error between [ { 1 , i } E ( G ) d i , , { n , i } E ( G ) d i ] T 2 and i = 1 n d i 3 is less than 10 log 10 ( n ) 1 (see Table 2).
We proceed by determining the expected value of i = 1 n d i 3 . Considering the fact that d i has a binomial distribution with the parameters B ( n 1 ; p ) , it is well known that the third moment of d i is given by
E ( d i 3 ) = ( n 1 ) ( n 2 ) ( n 3 ) p 3 + 3 ( n 1 ) ( n 2 ) p 2 + ( n 1 ) p ;
thus,
E i = 1 n d i 3 = n ( n 1 ) ( n 2 ) ( n 3 ) p 3 + 3 ( n 2 ) p 2 + p .
Next, we analyze the expectation of the second term, S 2 = [ { 1 , i } E ( G ) d i , , { n , i } E ( G ) d i ] T 2 . For ( d 1 , , d n ) , representing random variables corresponding to the degrees of the vertices of the Erdős–Rényi graph (G), the expected value of the term can be expressed as follows:
E ( S 2 ) = E i = 1 n { i , j } E ( G ) d j 2 = 1 2 i = 1 n E j = 1 n d j x i , j 2 ,
where x i , j represents random indicator variables that denote whether vertices i and j are adjacent, with adjacency occurring with a probability of p. Given that E ( Y 2 ) ( E ( Y ) ) 2 , by substituting Y = j = 1 n d j x i , j , we derive the following:
E ( S 2 ) 1 2 i = 1 n E j = 1 n d j x i , j 2 = n 2 E j = 1 n z i , j 2 = n ( n 1 ) 2 2 E z i , j 2 ,
where z i , j = d j x i , j 2 . To apply inequality (6) to the final expression, it is necessary to determine E ( z i , j ) and E ( z i , j 2 ) . Therefore, we have
E ( z i , j ) = E ( ( d j + x i , j ) x i , j 2 ) = E ( d j x i , j 2 + x i , j 3 ) = ( n 2 ) p 2 + p E ( z i , j 2 ) = E ( ( d j + x i , j ) 2 x i , j 4 ) = E ( d j 2 ) p + 2 E ( d j ) p + p = ( n 3 ) ( n 2 ) p 3 + 3 ( n 2 ) p 2 + p .
Applying inequality (6) to variable z i , j yields
E ( z i , j ) E ( z i , j ) 1 E ( z i , j 2 ) E ( z i , j ) 2 2 E ( z i , j ) 2 n · p 1 n 2 p 3 n 2 p 4 2 n 2 p 4 n .
Finally, taking into account (4), (10), (11), and (12), we have
n 4 E i = 1 n d i 3 E ( S 2 ) n ( n 1 ) 2 2 E z i , j 2 n 4 ,
which implies that
E i = 1 n d i 3 E ( S 2 ) n 4 .
This means that we have effectively proven that E ( [ { 1 , i } E ( G ) d i , , { n , i } E ( G ) d i ] T 2 ) and E i = 1 n d i 3 are asymptotically equivalent as n .
From E i = 1 n d i 3 E ( [ { 1 , i } E ( G ) d i , , { n , i } E ( G ) d i ] T 2 ) or, equivalently,
lim n E i = 1 n d i 3 E ( [ { 1 , i } E ( G ) d i , , { n , i } E ( G ) d i ] T 2 ) E i = 1 n d i 3 = 1 ,
we conclude that
lim n E ( [ { 1 , i } E ( G ) d i , , { n , i } E ( G ) d i ] T 2 ) E i = 1 n d i 3 = 0 ,
which supports the results obtained in Table 2, indicating that the relative error decreases as the order of the graph (n) grows.
Furthermore, based on equality (10) in the proof of Lemma 2, it follows that
E ( L G H ( v 1 G v i H ) ) E i = 1 n d i 3 E ( L H v i H ) ,
as n .
By combining the last relation with (9), we conclude that
E ( r 1 , i ) = E ( ( v 1 G v i H ) T L G H ( v 1 G v i H ) ) E ( L G H ( v 1 G v i H ) ) E ( v 1 G v i H ) E i = 1 n d i 2 E ( v i H T L H v i H ) E i = 1 n d i 3 E ( L H v i H ) E ( v 1 G v i H )
Since v 1 G = D G 1 2 1 n , we obtain v 1 G v i H = v 1 G · v i H = i = 1 n d i v i H . Consequently, E ( v 1 G v i H ) = E ( i = 1 n d i ) E ( v i H ) . Finally, as n and graphs G and H are independently generated, the following result holds:
E ( r 1 , i ) E i = 1 n d i 2 E ( v i H T L H v i H ) E i = 1 n d i 3 E ( L H v i H ) E ( i = 1 n d i ) E ( v i H ) E d 1 2 + + d n 2 ( d 1 3 + + d n 3 ) ( d 1 + + d n ) E v i H T L H v i H L H v i H v i H = E d 1 2 + + d n 2 ( d 1 3 + + d n 3 ) ( d 1 + + d n ) v i H T L H v i H L H v i H v i H = E ( a p p ( r 1 , i ) ) .
From E ( r 1 , i ) E ( a p p ( r 1 , i ) ) or, equivalently,
lim n E ( r 1 , i ) E ( a p p ( r 1 , i ) ) = 1 ,
we conclude that
lim n E ( r 1 , i ) E ( a p p ( r 1 , i ) ) E ( r 1 , i ) = lim n E r 1 , j a p p ( r 1 , i ) r 1 , i = 0 ,
which supports the experimental results obtained in Section 3.1, indicating that the percentage error decreases as the order of the graph (n) grows.
It remains necessary to provide an explanation of the asymptotic equivalence between the expressions of E i = 1 n d i 2 E i = 1 n d i 3 E ( i = 1 n d i ) and E d 1 2 + + d n 2 ( d 1 3 + + d n 3 ) ( d 1 + + d n ) in (13). We use the following auxiliary result.
Theorem 1
([23] p. 211). Suppose that X n is A N ( μ , c n 2 Σ ) , where Σ is a symmetric, non-negative definite matrix and c n 0 as n . If g ( X ) = ( g 1 ( X ) , , g m ( X ) ) is a mapping from R k to R m such that each g i is continuously differentiable in a neighborhood of μ, and if all diagonal elements of D Σ D are non-zero, where D is the m × k matrix ( [ ( g i x j ) ( μ ) ] ) , then
g ( X n ) i s A N ( g ( μ ) , c n 2 D Σ D ) .
Let Y j = i = 1 n d i j n for 1 j 3 . According to the central limit theorem, Y j has a normal asymptotic distribution ( A N ( μ j , σ j 2 n ) ). It follows from X n = [ Y 1 , Y 2 , Y 3 ] ) that the normal asymptotic distribution of the three-dimensional variable is A N ( [ μ 1 , μ 2 , μ 3 ] , c n 2 Σ ) , where Σ denotes a non-negative definite symmetric matrix. By defining a function ( g ( y 1 , y 2 , y 3 ) = y 2 y 1 y 3 ) that is continuously differentiable, we can apply Theorem 1. Consequently, it can be concluded that E ( g ( X n ) ) converges to g ( μ 1 , μ 2 , μ 3 ) , meaning that
E d 1 2 + + d n 2 ( d 1 3 + + d n 3 ) ( d 1 + + d n ) E i = 1 n d i 2 E ( i = 1 n d i 3 ) E ( i = 1 n d i ) .
Similarly, by applying Theorem 1 to X n = Y 3 with g ( y 3 ) = y 3 , it follows that E ( g ( X n ) ) converges to g ( μ 3 ) as n . Consequently, this implies that E i = 1 n d i 3 E i = 1 n d i 3 . In a similar manner, we deduce that E i = 1 n d i E i = 1 n d i by defining X n = Y 1 and g ( y 1 ) = y 1 . Finally, according to (14), we deduce that the expressions of E i = 1 n d i 2 E i = 1 n d i 3 E ( i = 1 n d i ) and E d 1 2 + + d n 2 ( d 1 3 + + d n 3 ) ( d 1 + + d n ) are asymptotically equivalent.
Let us also mention the asymptotic equivalence between E v i H T L H v i H L H v i H v i H and E ( v i H T L H v i H ) E ( L H v i H ) E ( v i H ) . Given v i H = [ x 1 , , x n ] T and L H = [ l i , j ] n × n , the expression of v i H T L H v i H expands to 1 i , j n l i , j x i x j , with the norm ( L H v i H ) given by i = 1 n j = 1 n l i , j x j 2 and v i H expressed as i = 1 n x i 2 . Without delving deeply into the theoretical details of Wigner matrices, it can be concluded that the three-dimensional variable ( X n = [ Y 1 , Y 2 , Y 3 ] ) asymptotically follows a normal distribution, where Y 1 = 1 i , j n l i , j x i x j n 2 , Y 2 = i = 1 n j = 1 n l i , j x j 2 n 3 and Y 3 = i = 1 n x i 2 n . Further details regarding Wigner matrices can be found in [24]. By defining a function ( g ( y 1 , y 2 , y 3 ) = y 1 y 2 y 3 ), we can apply Theorem 1 to deduce the asymptotic equivalence, as shown in the above case.

4. Comparison of Correlation Coefficients r i , j and r k , l

In this section, we further analyze the distribution of correlation coefficients associated with both approximate vectors discussed in previous sections. Initially, we evaluate these approximations by comparing their distributions of correlation coefficients, as calculating the correlation coefficients is generally not feasible for r i , j or r i , j when 1 i , j n . However, only the values of r 1 , i can be explicitly calculated as presented in (1). Additionally, there exists a reasonably good approximation for r 1 , i , as discussed in the previous section and given by (2) for 1 i n . Thus, the main question we aim to address is the following: Can we determine which approximation is more suitable for the given graphs (G and H) by comparing only the values of r 1 , i and an estimation of r 1 , i ?
Motivated by the observation that when G is d-regular, the following inequality between r 1 , i and the approximation of r 1 , j , denoted by a p p ( r 1 , j ) , always holds for 1 i , j n :
1 = r 1 , i a p p ( r 1 , j ) = v j H T L H v j H L H v j H v j H = ρ L H ( v j H ) .
We assume that the approximation for the eigenvectors of L G H presented in [20] is more suitable than the one provided in [21]. However, this verification is only possible if we establish that the majority of the correlation coefficients ( r i , j ) are greater than those of r k , l for 1 i , j , k , l n . This conclusion can be further supported by comparing the smoothed probability density functions of the vector correlation coefficients ( r i , j and r k , l ). In this analysis, we assume that G is a regular graph of order 50 with an edge density level of 25% (see Figure 3). Graph H, which also has an order of 50, is an Erdős–Rényi graph with an edge density of 10% in the first case (left panel) and a Barabási–Albert graph with an edge density of 25% in the second case (right panel).
In the given plot, we compare the smoothed probability functions of correlation coefficients derived from the Kronecker product of normalized Laplacian vectors (blue line) and Laplacian vectors (green line). The figure shows that the majority of correlation coefficients based on the Kronecker product of normalized Laplacian vectors ( r i , j ) are concentrated between 0.87 and 0.96. This concentration is reflected in a sharp peak at around 0.93, indicating that most of the values are clustered around this point. There are almost no r i , j values greater than 0.96, as seen from the sudden drop-off of the blue line beyond 0.96. On the other hand, the correlation coefficients based on the Kronecker product of Laplacian vectors, denoted as r i , j , have a broader distribution, primarily covering the range from 0.87 to 1. The green line shows a peak around 0.96, indicating that a considerable number of these values is concentrated around this point. Additionally, there are many r i , j values in the range from 0.96 to 1, as illustrated by the gentler slope of the green curve compared to the blue one. This suggests that r i , j values tend to spread out closer to 1, while r i , j values are more narrowly concentrated.
The second plot shows an even more pronounced trend compared to the first. The majority of correlation coefficients based on the Kronecker product of normalized Laplacian vectors ( r i , j ) are concentrated in the range from 0.87 to 0.97, with a sharp peak around 0.94. This indicates a tighter clustering of values around this point, and very few coefficients exceed 0.97. In contrast, the coefficients derived from the Kronecker product of Laplacian vectors ( r i , j ) are spread over a narrower high-value range from 0.95 to 1, peaking around 0.98. This suggests a higher concentration of r i , j values close to 1. The green curve’s shape in the second plot confirms that r i , j values tend to accumulate near the maximum, while r i , j values show a slightly broader distribution but still remain tightly concentrated.
It is important to note that the sum of the cubes of vertex degrees of a graph (G) is referred to as the forgotten topological index, denoted by F ( G ) [25]. In contrast, the sum of the squares of vertex degrees of the same graph (G) is known as the well-established first Zagreb index, denoted by M 1 1 ( G ) [26]. According to this notation, the correlation coefficient ( r 1 , i ) and the value of a p p ( r 1 , j ) can be expressed as follows:
r 1 , i = 4 m 2 n M 1 1 ( G )
and
a p p ( r 1 , j ) = M 1 1 ( G ) 2 2 m F ( G ) ρ L H ( v j H ) ,
where m represents the number of edges in the graph (G).
Let us consider the F ( x , p , l , s ) function expressed in its general form as follows:
F ( x , p , l , s ) = p 1 ( x ) p p 3 ( x ) s p 2 ( x ) l ,
where the condition of p + 3 s = 2 l holds and p k ( x ) = i = 1 n x i k represents the k-th moment, with x 1 , x 2 , , x n being positive real numbers.
If we denote r 1 , i and a p p ( r 1 , j ) as functions of d = ( d 1 , d 2 , , d n ) , then it follows that r 1 , i = F ( d , 2 , 1 , 0 ) n and a p p ( r 1 , j ) = 1 F ( d , 1 , 2 , 1 ) ρ L H ( v j H ) . Since the extremal values of r 1 , i and a p p ( r 1 , j ) are achievable for the same values as the extremal values of F ( d , 2 , 1 , 0 ) and F ( d , 1 , 2 , 1 ) , we analyze them in order to identify suitable candidates (G) with a particular graphical sequence ( d 1 , , d n ) that exhibit low or high values of r i , j or r i , j .
On the other hand, for the comparison of the values of r 1 , i and a p p ( r 1 , j ) , it is necessary to examine the extremal values of F ( d , 3 , 3 , 1 ) , as we can deduce that the inequality expressed as r 1 , i a p p ( r 1 , j ) is equivalent to F ( d , 3 , 3 , 1 ) n ρ L H ( v j H ) . Therefore, in the following part of this section, we determine the extremal values of the functions expressed as F ( x 1 , , x n , 2 , 1 , 0 ) , F ( x 1 , , x n , 1 , 2 , 1 ) , and F ( x 1 , , x n , 3 , 3 , 1 ) , subject to the constraint of 1 x i n 1 for 1 i n , as the degrees of a connected graph can only take integer values between 1 and n 1 .
Theorem 2.
The stationary points of F ( x 1 , , x n , p , l , s ) , as defined by (15), under the constraints of p + 3 s = 2 l and 1 x i n 1 , for 1 i n , are
(i) 
( y , y , , y n ) for p = 2 , l = 1 , and s = 0 ;
(ii) 
( y , y , , y n ) and ( y z 0 , , y z 0 k , y , y n k ) for p = 1 , l = 2 , and s = 1 ;
(iii) 
( y , y , , y n ) and ( y n k , y n k k , y k , , y k n k ) for p = 3 , l = 3 , and s = 1 .
For a suitable y R , there exists an integer (k) such that 1 k n 1 , and z 0 is a positive root of the polynomial expressed as P ( z ) = k z 3 3 k z 2 3 ( n k ) z + ( n k ) .
Proof. 
For given values of p, l, and s, we first calculate the partial derivatives of F ( x ) = F ( x , p , l , s ) with respect to x i for 1 i n :
F x i ( x ) = ( p 1 p p 3 s ) x i · p 2 l p 1 p p 3 s · ( p 2 l ) x i p 2 2 l = p 2 l 1 ( p p 1 p 1 p 2 p 3 s + 3 s p 1 p p 2 p 3 s 1 x i 2 2 l p 1 p p 3 s x i ) p 2 2 l = p 1 p p 3 s p 2 l 3 s p 3 x i 2 2 l p 2 x i + p p 1 = F ( x ) 3 s p 3 x i 2 2 l p 2 x i + p p 1 .
In order to find the stationary points of F ( x ) , the following system of equations must be solved for all 1 i n :
3 s p 3 x i 2 2 l p 2 x i + p p 1 = 0 .
The above quadratic equations can have, at most, two distinct solutions. Let a and b be solutions of the quadratic equation so that a stationary point is represented as ( a , , a k , b , b n k ) .
If k = n , then it holds that x 1 = x 2 = = x n = a for all values. Consequently, the left-hand side of (17) becomes
3 s x 2 n a 3 2 l x n a 2 + p n a = 1 n a ( 3 s 2 l + p ) = 0 ,
from which we deduce that ( a , a , , a n ) is a stationary point in all cases stated in the theorem. The same conclusion can be derived for k = 0 .
Now, let 1 k n 1 . It easy to see that ( a , , a k , b , , b n k ) is a solution of Equation (17) if and only if ( t a , , t a k , t b , , t b n k ) is also a solution for some t 0 . Therefore, if we set t = 1 b and substitute ( x 1 , , x n ) = ( z , , z k , 1 , , 1 n k ) and x i = 1 for z = a b 1 into (17), we obtain
3 s k z 3 + ( n k ) 2 l k z 2 + ( n k ) + p k z + ( n k ) = 0 .
After substituting 2 l = p + 3 s and performing a short calculation, the previous equation becomes
P ( z ) = p k z 3 3 s k z 2 3 s ( n k ) z + p ( n k ) = 0 .
By dividing the preceding equation by n k 0 , where 1 < k < n , and introducing the substitution of t = k n k , the equation can be expressed in a more simplified form as
P ( z ) = p t z 3 3 s t z 2 3 s z + p = 0 .
If p = 2 , l = 1 , and s = 0 , the equation becomes P ( z ) = 2 ( t z 3 + 1 ) = 0 . The left-hand side of the equality can be expressed as p ( z t 3 + 1 ) ( z 2 t 2 3 + z t 3 + 1 ) . Consequently, it is greater than zero for t > 0 . Therefore, the equation does not have a solution, which proves the first part of the theorem.
If p = 1 , l = 2 , and s = 1 , Equation (19) becomes P ( z ) = t z 3 3 t z 2 3 z + 1 = 0 . As the discriminant of this cubic equation is given by
D = 27 t ( 4 p s 3 t 2 + ( 3 s 4 + 6 p 2 s 2 p 4 ) t + 4 p s 3 ) = 108 t ( t + 1 ) 2 > 0 ,
we find that all zeros of P ( z ) are real. Moreover, according to Descartes’ rule of signs, it is evident that the initial cubic function ( P ( z ) ) has one negative and two positive roots. For z 0 > 0 , which is a root of P ( z ) , we find that ( z 0 , , z 0 k , 1 , , 1 n k ) is a stationary point of F ( x , 1 , 2 , 1 ) , which completes the proof of part ( i i ) of the theorem.
Finally, we need to address the case where p = 3 , l = 3 , and s = 1 . In this scenario, Equation (19) becomes P ( z ) = 3 t z 3 3 t z 2 3 z + 3 = 0 . Furthermore, P ( z ) can be factorized as P ( z ) = 3 ( z 1 ) ( t z 1 ) ( t z + 1 ) , from which we conclude that the only positive root distinct from one is z 0 = 1 / t = n k k . Consequently, it follows that ( n k k , , n k k k , 1 , , 1 n k ) is a stationary point of F ( x , 3 , 3 , 1 ) , completing the proof of part ( i i i ) of the theorem. □

4.1. Extreme Values of the Correlation Coefficients r 1 , i

In the following theorems, we determine the global minimum and maximum of the function expressed as F ( x 1 , , x n , 2 , 1 , 0 ) to identify the extreme values of r 1 , i , where r 1 , i is defined as F ( d 1 , , d n , 2 , 1 , 0 ) n for a given degree sequence of a graph (G).
Theorem 3.
The point expressed as ( y , y , , y n ) represents the maximum of the function expressed as F ( x 1 , , x n , 2 , 1 , 0 ) , subject to the constraint of 1 x i n 1 for all 1 i n .
Proof. 
In the previous theorem, we proved that the point expressed as ( y , y , , y n ) is a stationary point of F ( x , 2 , 1 , 0 ) , and now, we show that this point is a global maximum of the function. According to the definition of F ( x , 2 , 1 , 0 ) = p 1 ( x ) 2 p 2 ( x ) , for x = ( x 1 , , x n ) , F ( y , y , , y n , 2 , 1 , 0 ) = ( n y ) 2 n y 2 = n . Since x 1 , , x n are positive real numbers, the arithmetic–quadratic mean inequality implies p 1 ( x ) n p 2 ( x ) n , leading to
F ( x , 2 , 1 , 0 ) = p 1 ( x ) 2 p 2 ( x ) n = F ( y , y , , y n , 2 , 1 , 0 ) .
According to the preceding theorem, we have demonstrated that the correlation coefficient ( r 1 , i ) attains its highest value of 1 only when G is regular, as r 1 , i = F ( d , 2 , 1 , 0 ) n n n = 1 . On the other hand, the second part of the assertion indicates that a p p ( r 1 , j ) = 1 F ( d , 1 , 2 , 1 ) ρ L H ( v j H ) ρ L H ( v j H ) , since F ( d , 1 , 2 , 1 ) 1 , with equality occurring only when G is regular. Let us note that this extremal case serves as a motivation for comparing the values of r 1 , i and a p p ( r 1 , j ) in order to establish certain relations between the correlation coefficients ( r i , j and r k , l ), as mentioned at the beginning of this section. We conclude that r 1 , i is always greater than or equal to a p p ( r 1 , j ) due to the presence of the 0 ρ L H ( v j H ) 1 factor in the expression for a p p ( r 1 , j ) , which prevents the two values from being equal. Additionally, we experimentally demonstrate that r i , j tends to exhibit higher values than r k , l , as illustrated in Figure 3. However, since the upper bound of a p p ( r 1 , j ) depends on the graph (H), it is evident that the maximum value of a p p ( r 1 , j ) can reach 1 if H is a regular graph, in which case it would be equal to r 1 , i . Consequently, in this case (where G and H are regular), both approximations become actual eigenvectors of L G H . This straightforward observation serves as the motivation for the approximation suggested in [20], leading to the conclusion that all values of r i , j and r k , l are equal to 1. This further supports our hypothesis that higher values of r 1 , i and a p p ( r 1 , j ) correspond to greater values of r i , j and r k , l , respectively.
Consequently, we identify the classes of graphs (G) for which the values of r 1 , i are low and compare these with the corresponding values of a p p ( r 1 , j ) . Given that r 1 , i = F ( d , 2 , 1 , 0 ) n and F ( d , 2 , 1 , 0 ) does not possess any other stationary point, except for the one at which the maximum is attained, as indicated in the previous theorem, we conclude that the minimum of this function is achieved at the boundary points of d [ 1 , n 1 ] n . Therefore, we prove the following theorem.
Theorem 4.
The minimum of the function expressed as F ( x 1 , , x n , 2 , 1 , 0 ) , given 1 x i n 1 , is achieved at the point expressed as ( 1 , , 1 n 1 , n 1 ) .
Proof. 
Since the minimum is achieved at a boundary point, we can assume, without loss of generality, that x n { 1 , n 1 } . According to (16), partial derivatives of F ( x 1 , , x n , 2 , 1 , 0 ) = F ( x ) with respect to x i for 1 i n 1 are defined as
F x i ( x ) = F ( x ) 2 p 2 x i + 2 p 1 .
Since the partial derivatives have the same form as in the case of the function (F) when considered over the entire domain, it follows that the stationary points must satisfy the system of linear equations ( F x i ( x ) = 0 ). The solution to this system is given in the form of x 1 = = x n 1 = y and x n { 1 , n 1 } . Since each of the equations can be transformed as 1 ( n 1 ) y + x n = y ( n 1 ) y 2 + x n 2 , we conclude that every stationary point on the boundary of the domain satisfies x 1 = = x n 1 = x n { 1 , n 1 } . These points correspond to the global maxima. Thus, it follows that the global minimum is achieved on the boundary of the domain expressed as [ 1 , n 1 ] n 1 , implying that x n 1 { 1 , n 1 } . Continuing this process, we can deduce that, for a point of global minimum ( x 1 , , x n ) , it holds that x i { 1 , n 1 } for all 1 i n 1 .
If x n = n 1 , then the above equality can be expressed as 1 ( n 1 ) y + n 1 = y ( n 1 ) y 2 + ( n 1 ) 2 .
Therefore, we proceed by comparing the values of F ( x k * , 2 , 1 , 0 ) , where x k * = ( 1 , , 1 n k , n 1 , , n 1 k ) for 1 k n 1 . These values represent the potential points at which the function expressed as F ( x 1 , , x n , 2 , 1 , 0 ) may achieve its minimum. Given that
F ( x k * , 2 , 1 , 0 ) = ( n k + k ( n 1 ) ) 2 n k + k ( n 1 ) 2 ,
our goal is to find the minimum value of the function expressed as G ( x ) = ( n x + x ( n 1 ) ) 2 n x + x ( n 1 ) 2 , for 1 x n 1 .
The first derivative of G is expressed as
G ( x ) = n ( n 2 ) 2 ( n + x ( n 2 ) ) ( x 1 ) ( n x + x ( n 1 ) 2 ) 2 .
From this expression, it follows that G is an increasing function for x 1 , which implies that x 1 * is the point where the function (F) attains its minimum. □
According to the preceding theorem, we conclude that for a graph (G) with a degree sequence of ( 1 , , 1 n 1 , n 1 ) , the correlation coefficients ( r 1 , i ) attain their lowest values. This indicates that G is a star graph. By substituting the degree sequence into the formula for r 1 , i , we find that r 1 , i = 2 n 1 n , which holds true as F ( 1 , , 1 n 1 , n 1 , 2 , 1 , 0 ) = ( 2 n 2 ) 2 ( n 1 ) + ( n 1 ) 2 = 4 ( n 1 ) n . On the other hand, we have F ( d , 1 , 2 , 1 ) = p 1 ( d ) p 3 ( d ) p 2 ( d ) 2 = ( 2 n 2 ) ( ( n 1 ) + ( n 1 ) 3 ) ( ( n 1 ) + ( n 1 ) 2 ) 2 = 2 ( n 2 2 n + 2 ) n 2 , implying that a p p ( r 1 , j ) = n 2 2 ( n 2 2 n + 2 ) ρ L H ( v j H ) . In examining the formulas of a p p ( r 1 , j ) = n 2 2 ( n 2 2 n + 2 ) ρ L H ( v j H ) and r 1 , i = 2 n 1 n , we note that the order of magnitude of n in the first formula exceeds that in the second. This suggests that a p p ( r 1 , j ) is generally greater than r 1 , i . However, the correlation coefficient ( ρ L H ( v j H ) ) may decrease the value of a p p ( r 1 , j ) , potentially resulting in cases where a p p ( r 1 , j ) < r 1 , i , depending on the specific classes of graphs and, consequently, the value of ρ L H ( v j H ) .
Now, we conduct experiments that compare the coefficient relations of r i , j and r k , l when G is a star graph of order 50 and H is an Erdős–Rényi graph of order 50, with an edge density of 10% in the first case (see Figure 4, left panel) and an edge density of 30% in the second case (Figure 4, right panel). The left plot shows that most correlation coefficients ( r k , l , blue line) cluster around 0.93, indicating a sharp peak and low dispersion, suggesting that values are concentrated within a narrow range. Meanwhile, the coefficients ( r i , j , green line) peak around 0.97 but display a wider dispersion, covering a broader range of values. This suggests that r k , l generally takes higher values than r i , j , except within the narrow range of the highest values (0.95 to 0.98). In the second case, with a slightly denser graph (H), the trend becomes more pronounced. The number of correlation coefficients ( r k , l ) is consistently higher than that of r i , j across all ranges, indicating that r k , l typically achieves higher values overall. Additionally, in both panels, we observe a slight lift in each curve: around 0.7 for the blue line and around 0.3 for the green line, corresponding to r 1 , j and r 1 , i , respectively.
The relationship between a p p ( r 1 , j ) and r 1 , i is, indeed, indicative of the relationship between r i , j and r k , l . The density of graph H plays a pivotal role in amplifying a p p ( r 1 , j ) through increases in ρ L H ( v j H ) . This dynamic not only increases a p p ( r 1 , j ) but also ensures that r k , l becomes more dominant in relation to r i , j (right panel). By choosing graph G as a star graph, we achieve the desired dominance of a p p ( r 1 , j ) over r 1 , i , further validating the hypothesis.

4.2. Comparison of the Correlation Coefficients r 1 , i and the Approximations a p p ( r 1 , j )

Based on previous discussions, we find that the value of r 1 , i reaches its minimum when considering the star graph among all connected graphs of order n. However, we have shown that, even when G is a star graph, the value of a p p ( r 1 , j ) remains greater than r 1 , i by a factor on the order of n, up to the value of ρ L H ( v j H ) . This suggests that the discrepancy between these two values may be at its maximum in this specific case. Therefore, in the following theorem, we compare a p p ( r 1 , j ) and r 1 , i directly by examining the extreme values of the function expressed as F ( x 1 , , x n , 3 , 3 , 1 ) . It is worth noting that the comparison between a p p ( r 1 , j ) and r 1 , i can be analyzed by studying the function expressed as F ( x 1 , , x n , 3 , 3 , 1 ) under the following condition, which we previously established:
r 1 , i a p p ( r 1 , j ) F ( d , 3 , 3 , 1 ) n ρ L H ( v j H ) .
In the following theorems, we aim to find the second differential of the function expressed as F ( x ) = F ( x , p , l , s ) and, accordingly, calculate its second partial derivatives. First, in equality (16), let G ( x i ) denote the factor of F x i ( x ) , which is given by 3 s p 3 x i 2 2 l p 2 x i + p p 1 . Thus, the second partial derivatives are expressed as
F x i , x j ( x ) = F ( x ) G x j ( x i ) + F x j ( x ) G ( x i ) ,
where the partial derivative of the G ( x i ) function with respect to x j is given by
G x j ( x i ) = 9 s p 3 2 x i 2 x j 2 + 4 l p 2 2 x i x j p p 1 2 , if   i j 9 s p 3 2 x i 4 + 4 l p 2 2 x i 2 + 6 s p 3 x i 2 l p 2 p p 1 2 , if   i = j .
Theorem 5.
For the function expressed as F ( x 1 , , x n , 3 , 3 , 1 ) , under the constraint of 1 x i n 1 for 1 i n , it follows that the point expressed as ( y , , y n 1 , y n 1 ) represents the maximum for a suitable y R .
Proof. 
According to Theorem 2, the points expressed as ( y k , , y k n k , y n k , y n k k ) , for 1 k n 1 represent the potential points at which the function expressed as F ( x 1 , , x n , 3 , 3 , 1 ) achieves its maximum. Therefore, we proceed by comparing the values of F ( x k * , 3 , 3 , 1 ) , where x k * = ( k , , k n k , n k , n k k ) , for every 1 k n 1 in order to identify the maximum. First, we observe
F ( x k * , 3 , 3 , 1 ) = ( k n k + ( n k ) k ) 3 ( k ( n k ) 3 / 2 + ( n k ) k 3 / 2 ) ( k ( n k ) + ( n k ) k ) 3 = ( k + n k ) 4 8 k ( n k ) = ( n + 2 k ( n k ) ) 2 8 k ( n k ) = 1 8 n t + 2 t 2 = 1 8 n t 2 t 2 + n ,
where t = k ( n k ) . Clearly, the function expressed F ( x k * , 3 , 3 , 1 ) attains its minimum value when t is as small as possible. Furthermore, since the quadratic function expressed as x 2 + x n = x ( n x ) for 1 x n 1 attains its maximum at x = n 2 , as established using the arithmetic–geometric mean inequality, we conclude that it reaches its minimum at the endpoints of the interval of [ 1 , n 1 ] . This implies that t = k ( n k ) n 1 for k = 1 or k = n 1 . Since x 1 * = x n 1 * = ( 1 , , 1 n 1 , n 1 ) is the point at which the function expressed as F ( x , 3 , 3 , 1 ) achieves its maximum in the set of points expressed as { x k * | 1 k n 1 } , it remains to be proven that this point is, indeed, a global maximum of F ( x , 3 , 3 , 1 ) under the constraints given in the statement of the theorem.
To establish this, we demonstrate that the second derivative of the function at point x 1 * is negative. Therefore, we calculate the second derivatives at point x 1 * following Equation (21), from which we conclude that F x i , x j ( x 1 * ) = F ( x 1 * ) G x j ( x i ) , given that G ( x i ) = 0 at stationary point x 1 * . Since the value of F ( x 1 * ) is constant, we calculate G x j ( x i ) only at stationary point x 1 * using (22), resulting in
G x j ( x i ) = 6 ( n 1 1 ) ( n 1 ) 2 ( 1 + n 1 ) 2 , if   1 i j n 1 3 ( n 1 ) ( n 2 ) 2 ( n 1 1 ) ( n 1 ) 2 ( 1 + n 1 ) 2 , if   1 i = j n 1 3 ( n 1 1 ) n 1 ( n 1 ) 2 ( 1 + n 1 ) 2 , if   1 i n 1   and   j = n 3 ( n 2 ) 2 n 1 ( n 1 ) 2 , if   i = j = n .
First, let a be a substitute for n 1 , and observe that n 1 = a 2 , which implies n 2 = a 2 1 = ( a 1 ) ( a + 1 ) . Therefore, by extracting the factor expressed as 3 ( n 1 ) 2 ( 1 + n 1 ) 2 = 3 a 4 ( a + 1 ) 2 , the second derivative of the function expressed as F ( x , 3 , 3 , 1 ) at point x 1 * can be expressed as
d 2 F d x 2 = i = 1 n 1 F x i , x i ( x 1 * ) d x i 2 + 2 1 i < j n 1 F x i , x j ( x 1 * ) d x i d x j + 2 i = 1 n 1 F x i , x n ( x 1 * ) d x i d x n + F x n , x n ( x 1 * ) d x n 2 = 3 F ( x 1 * ) a 4 ( a + 1 ) 2 ( a 2 ( a 1 ) ( a + 1 ) 2 ( a 1 ) ) i = 1 n 1 d x i 2 4 ( a 1 ) 1 i < j n 1 d x i d x j 2 a ( a 1 ) i = 1 n 1 d x i d x n + a ( a 1 ) 2 ( a + 1 ) 4 d x n 2 .
Applying the arithmetic–quadratic mean inequality to variables d x 1 , , d x n 1 , i.e., p 1 ( d x 1 , , d x n 1 ) 2 ( n 1 ) p 2 ( d x 1 , , d x n 1 ) , we deduce that
2 1 i < j n 1 d x i d x j ( n 2 ) p 2 ( d x 1 , , d x n 1 ) = ( n 2 ) i = 1 n 1 d x i 2 = ( a 1 ) ( a + 1 ) i = 1 n 1 d x i 2 .
Using this inequality in Equation (24) and factoring out the common term ( a 1 ) , we obtain the following inequality:
d 2 F d x 2 3 ( a 1 ) F ( x 1 * ) a 4 ( a + 1 ) 2 ( a 2 ( a + 1 ) 2 ) i = 1 n 1 d x i 2 2 ( a 1 ) ( a + 1 ) i = 1 n 1 d x i 2 2 a i = 1 n 1 d x i d x n + a ( a 1 ) ( a + 1 ) 4 d x n 2 .
Observing that ( a 2 ( a + 1 ) 2 ) 2 ( a 1 ) ( a + 1 ) = ( a 1 ) ( a 2 + 2 a + 2 ) 2 ( a 1 ) ( a + 1 ) = ( a 1 ) a 2 , we can rewrite the right-hand side of the above inequality in the following form by placing the sum in front of the expression:
d 2 F d x 2 3 ( a 1 ) F ( x 1 * ) a 4 ( a + 1 ) 2 i = 1 n 1 a 2 ( a 1 ) d x i 2 2 a d x i d x n + ( a 1 ) ( a + 1 ) 4 a d x n 2 .
If we factor out d x n 2 from the expression under the summation, we obtain a quadratic equation in terms of d x i d x n whose discriminant is given by 4 a ( a ( a 1 ) 2 ( a + 1 ) 4 ) . It is evident that this discriminant is negative, implying that the expression under the summation is greater than zero. This further implies that d 2 F d x 2 is negative, thereby completing the proof. □
Theorem 6.
The point expressed as ( y , y , , y n ) is a saddle point of the function expressed as F ( x 1 , , x n , 3 , 3 , 1 ) , where the function is defined in the domain of 1 x i n 1 for 1 i n and 1 < y < n 1 .
Proof. 
We examine function F around the point expressed as ( y , y , , y n ) along the line expressed as ( y , y , , y n 1 , y x ) , where x R . The value of the function along the line, given by F ( y , y , , y n 1 , y x , 3 , 3 , 1 ) , is denoted as G ( x ) and is defined as
G ( x ) = ( ( n 1 ) + x ) 3 ( ( n 1 ) + x 3 ) ( ( n 1 ) + x 2 ) 3 .
The first derivative of G is given by
G ( x ) = 3 ( n 1 ) ( n 1 + x ) 2 ( x 1 ) 2 ( n 1 x 2 ) ( n 1 + x 2 ) 4 ,
from which it follows that G is non-decreasing in the interval of ( , n 1 ] . This implies that in an arbitrary y ϵ neighborhood of point y, we can identify the points ( ( y , y , , y n 1 , y ( 1 + ϵ ) ) and ( y , y , , y n 1 , y ( 1 ϵ ) ) ) where F ( x ) F ( y , y , , y n ) exhibits opposite signs. This indicates that F has a saddle point at ( y , y , , y n ) for 1 < y < n 1 . □
Given that F ( x , 3 , 3 , 1 ) does not possess any stationary points other than the one at which the maximum is attained and a has only a single saddle point, as established in the previous theorems, we conclude that the minimum of this function is achieved at the boundary points ( x [ 1 , n 1 ] n ). After performing the necessary derivative calculations applied to the function expressed as F ( x , 3 , 3 , 1 ) , similar to those given in the proof of Theorem 4, where they are applied to the function expressed as F ( x , 2 , 1 , 0 ) , we find that the minimum occurs for ( 1 , , 1 n 2 , n 1 , n 1 ) . However, no graph (G) exists with a degree sequence of ( d 1 , , d n ) = ( 1 , , 1 n 2 , n 1 , n 1 ) . In the contrary case, two vertices would be connected to all other vertices, which would imply that every vertex has a degree of at least two, leading to a contradiction. The problem of finding the minimum of F ( x , 3 , 3 , 1 ) at points with integer coordinates falls within the field of integer programming, where problems are often infeasible. In this case, experimental confirmation shows that the minimum is achieved for ( d 1 , , d n ) = ( 1 , , 1 n 1 , n 1 ) , which implies that G is a star graph. However, this case has already been analyzed (thus, it does not provide new theoretical insights, as no new class of graphs is discovered), indicating that the values of a p p ( r 1 , i ) are of a significantly higher order of magnitude of (n) than r 1 , j , resulting in the greatest discrepancy between them according to the previous conclusion.
According to Theorem 5, we conclude that the function expressed as F ( x , 3 , 3 , 1 ) attains its maximum value, which is equal to ( 1 + n 1 ) 4 8 n 1 , based on relation (23) at point y x 1 * for some y R .
Therefore, for graph G with a degree sequence of d = ( y , , y n 1 , y n 1 ) , where 1 y n 1 and n 1 are integers, we have that a condition of
F ( d , 3 , 3 , 1 ) n = ( 1 + n 1 ) 4 8 n n 1 1 ρ L H ( v j H ) ,
which implies that r 1 , i a p p ( r 1 , j ) for any graph H according to the relation (20).
Before we proceed with further analysis of our hypothesis that the r 1 , i a p p ( r 1 , j ) relation reflects the relation between the remaining correlation coefficients ( r i , j and r k , l ) by experimentally calculating them, let us briefly mention why a graph (G) with a degree sequence of d = ( y , , y n 1 , y n 1 ) , where 1 y n 1 and n 1 are integers, exists. Graph G exists if and only if graph G v exists, where v is a vertex of G such that its degree is equal to y k , where k = n 1 . The sum of the vertex degrees of G v is equal to ( y 1 ) y k + y ( n 1 y k ) , from which we can immediately conclude that the first summand is an even number. Furthermore, the second summand ( y ( n 1 y k ) ) can be rewritten as y n 1 ( n 1 y ) , indicating that it is also an even number. This conclusion follows from the fact that y, n 1 , and ( n 1 y ) cannot all be odd simultaneously. However, the first summand represents the sum of the degrees of a y 1 -regular graph with y k vertices, while the second summand represents the sum of the degrees of a y-regular graph with n 1 y k vertices. These sums are evidently even, confirming the existence of a disconnected graph with two connected components. Finally, to obtain a connected graph with the same degree sequence, it is sufficient to remove an edge in the d-regular component and connect one of its ends to an arbitrary vertex of the other component.
According to the previous discussion, we can conclude that a graph (G) with a degree sequence of d = ( y , , y n 1 , y k ) exists if and only if the following condition is satisfied:
y ( n 1 y k ) 2 N .
In the following experiments, a graph with a degree sequence of d = ( y , , y n 1 , y k ) is referred to as an almost regular graph with parameters of y and k, denoted by A R ( y , k ) . It is important to note that both a regular graph and the star graph can be treated as almost regular graphs with parameters of A R ( y , 1 ) and A R ( 1 , n 1 ) , respectively, see Figure 5.
The blue line, representing the correlation coefficients ( r k , l ), indicates a concentration of values around a peak of 0.94, with a moderate spread in the both cases. We observe greater variability and a broader distribution in the correlation coefficients ( r k , l ) due to the increased density of graph H. In contrast, the green line, corresponding to r i , j , consistently shows higher correlation values than r k , l , with peaks approaching 0.98 across both scenarios. The increase in the edge density of H affects r k , l slightly, whereas r i , j remains largely unchanged. A similar pattern can be seen in the comparison of the correlation coefficients ( r 1 , j and r 1 , i ). Moreover, r 1 , j approximately ranges from 0.4 to 0.7, while r 1 , i reaches 0.8, corresponding to the elevation of the green curve at that point.
From the discussion above, we conclude that the relationship between r 1 , j and r 1 , i is consistent with the relationship between the entire sets of correlation coefficients ( r k , l and r i , j ). This claim is validated for classes of graphs for which the values of r 1 , i and a p p ( r 1 , j ) r 1 , i achieve their extremes. As observed in the previous assertions, these classes of graphs fall within the class of almost regular graphs. Therefore, it is useful to examine the relation between r 1 , i and a p p ( r 1 , j ) within this class to substantiate the claim. This examination can be conducted by analyzing the G ( x ) function expressed as (25). Since G ( x ) is a function of a single variable, it can be plotted over the interval of [ 1 , n 1 ] (for instance, we can consider the case where n = 50 ).
On the graph of G ( x ) , we can identify three characteristic points, as shown in the Figure 6. The first two points ( 1 , G ( 1 ) ) and ( n 1 , G ( n 1 ) ) are considered in Theorems 6 and 5, from which we conclude that they represent a saddle point and the point of global maximum, respectively. According to the inequality in (20), we conclude that if F ( d , 3 , 3 , 1 ) n 1 ρ L H ( v j H ) is satisfied, then it holds that r 1 , i a p p ( r 1 , j ) . This implies that for point x 0 , such that G ( x 0 ) = n and x 0 1 , it holds that r 1 , i a p p ( r 1 , j ) for x x 0 . Moreover, for x x 0 , it could potentially be that r 1 , i a p p ( r 1 , j ) , depending on the value of ρ L H ( v j H ) . After a brief calculation, we can determine that the equation expressed as G ( x ) = n is equivalent to
( n 1 ) ( x 1 ) 3 ( x 3 ( n 1 ) 2 ) = 0 ,
which implies that x 0 = ( n 1 ) 2 3 .
We conduct an experiment to calculate the correlation coefficients ( r i , j and r k , l ) and to construct their smoothed probability functions, where G is an A R ( 3 , 16 ) graph and H is an Erdős–Rényi graph, with edge densities of 10% and 30%, respectively. Both graphs (G and H) are of order n = 50 . Based on the previous discussion, given n = 50 , we have x 0 = ( n 1 ) 2 3 = 13.39 , from which it further follows that r 1 , i a p p ( r 1 , j ) potentially holds, provided that G A R ( 3 , 16 ) and x 0 < 16 . We examine the entire sets of values of r i , j and r k , l to determine their relationship.
In the first plot, where H is an Erdős–Rényi graph with a 10% edge density, the green line representing the correlation coefficients ( r i , j ) lacks a distinct, sharp peak, instead exhibiting a broad, flatter distribution, see Figure 7. This contrasts with the blue line r k , l , which has a pronounced peak around 0.95, indicating a sharp concentration of values with limited dispersion. This suggests that the values of r k , l are generally greater than r i , j . The right panel, representing H with a 30% edge density, shows similar trends, though the differences between r k , l and r i , j become more pronounced. The r k , l values remain concentrated around a pronounced peak near 0.97, whereas the r i , j values also shift higher, centering around the same peak but exhibiting a wider distribution.
A similar pattern is observed in the comparison of the correlation coefficients ( r 1 , j and r 1 , i ), where r 1 , j values are generally higher than those of r 1 , i . Specifically, r 1 , j approximately ranges from 0.45 to 0.62 when H has an edge density of 10%, while r 1 , i reaches a maximum value of 0.52, corresponding to the elevation of the blue and green curves in those segments. This trend becomes more pronounced when H has an edge density of 30%, when nearly all r 1 , j values are greater than r 1 , i . In this case, r 1 , j ranges from 0.51 to 0.63, whereas r 1 , i remains at 0.52.
In the following subsection, we examine the values of the sets of correlation coefficients ( r i , j and r k , l ). Up until this point in this subsection, we have compared these values only in terms of their relative ratios.

4.3. Extreme Values of the Approximated Correlation Coefficients a p p ( r 1 , j )

In the following two theorems, we analyze the extreme values of a p p ( r 1 , j ) by determining the minimum and maximum value of the function expressed as F ( x 1 , , x n , 1 , 2 , 1 ) , as it was previously established that a p p ( r 1 , j ) = 1 F ( d , 1 , 2 , 1 ) ρ L H ( v j H ) .
Theorem 7.
The point expressed as ( y , y , , y n ) represents the minimum of the function expressed as F ( x 1 , , x n , 1 , 2 , 1 ) , subject to the constraint of 1 x i n 1 for all 1 i n .
Proof. 
In Theorem 2, we prove that the point expressed as ( y , y , , y n ) is a stationary point of F ( x , 1 , 2 , 1 ) , and now, we show that this point is a global minimum of the function. According to the definition of F ( x , 1 , 2 , 1 ) = p 1 ( x ) p 3 ( x ) p 2 ( x ) 2 , for x = ( x 1 , , x n ) , we find that F ( y , y , , y n , 1 , 2 , 1 ) = n 2 y 4 n 2 y 4 = 1 . First, observe that p 1 ( x ) p 3 ( x ) = i = 1 n x i 4 + 1 i < j n ( x i x j 3 + x i 3 x j ) , while p 2 ( x ) 2 = i = 1 n x i 4 + 1 i < j n 2 x i 2 x j 2 . Consequently, we have
p 1 ( x ) p 3 ( x ) p 2 ( x ) 2 = 1 i < j n x i x j ( x i 2 + x j 2 2 x i x j ) = 1 i < j n x i x j ( x i x j ) 2 0 ,
which ultimately implies that p 1 ( x ) p 3 ( x ) p 2 ( x ) 2 1 = F ( y , y , , y n , 1 , 2 , 1 ) . □
Theorem 8.
The maximum of the function expressed as F ( x 1 , , x n , 1 , 2 , 1 ) , subject to the condition 1 x i n 1 , is attained at the point expressed as ( y , , y n 1 , y z 0 ) for n 7 , where y R is a suitable constant and z 0 > 1 is a root of the following polynomial:
P ( z ) = z 3 3 z 2 3 ( n 1 ) z + ( n 1 ) .
Proof. 
According to Theorem 2, the points expressed as ( y z 0 , , y z 0 k , y , , y n k ) , for 1 k n 1 , represent the potential points at which the function expressed as F ( x 1 , , x n , 1 , 2 , 1 ) achieves its maximum, where z 0 represents a positive root of P ( z ) = k z 3 3 k z 2 3 ( n k ) z + ( n k ) . Therefore, we proceed by comparing the values of F ( x k * , 1 , 2 , 1 ) , where x k * = ( z 0 , , z 0 k , 1 , , 1 n k ) , for every 1 k n 1 in order to identify the maximum. Given that
F ( x k * , 1 , 2 , 1 ) = ( n k + k z 0 ) ( n k + k z 0 3 ) ( n k + k z 0 2 ) 2 = ( k ( z 0 1 ) + n ) ( k ( z 0 3 1 ) + n ) ( k ( z 0 2 1 ) + n ) 2 ,
we aim to find the maximum value of the function expressed as G ( x ) = ( x ( z 0 1 ) + n ) ( x ( z 0 3 1 ) + n ) ( x ( z 0 2 1 ) + n ) 2 , where z 0 = z 0 ( x ) is a positive solution of Q ( z ) = x z 3 3 x z 2 3 ( n x ) z + ( n x ) , for 1 x n 1 . The first derivative, G ( x ) , can be expressed as G ( x ) = N ( x ) D ( x ) , where N ( x ) and D ( x ) are defined as
N ( x ) = 2 ( n + x · ( z 0 1 ) ) ( n + x · ( z 0 3 1 ) ) 2 x z 0 z 0 + z 0 2 1 + ( n + x · ( z 0 2 1 ) ) ( n + x · ( z 0 1 ) ) 3 x z 0 2 z 0 + z 0 3 1 + ( n + x · ( z 0 3 1 ) ) x z 0 + z 0 1 , D ( x ) = ( x ( z 0 2 1 ) + n ) 3 .
By regrouping the terms that include the z 0 factor in N ( x ) , we can represent N ( x ) as N ( x ) = N 1 ( x ) + z 0 N 2 ( x ) , where
N 1 ( x ) = n 2 z 0 3 2 n 2 z 0 2 + n 2 z 0 n x z 0 5 + 2 n x z 0 4 2 n x z 0 3 + 2 n x z 0 2 n x z 0 N 2 ( x ) = 3 n 2 x z 0 2 4 n 2 x z 0 + n 2 x n x 2 z 0 4 + 4 n x 2 z 0 3 9 n x 2 z 0 2 + 8 n x 2 z 0 2 n x 2 + x 3 z 0 4 4 x 3 z 0 3 + 6 x 3 z 0 2 4 x 3 z 0 + x 3 .
After extracting the n z 0 facotr from the terms of N 1 ( x ) , the resulting quotient is a polynomial in z 0 , which has a double root at 1. Thus, N 1 ( x ) can be rewritten as
N 1 ( x ) = n z 0 ( z 0 1 ) 2 ( n x ( z 0 2 + 1 ) ) .
According to the given formula, after extracting the x factor from the terms of N 2 ( x ) , the resulting quotient is a polynomial in z 0 , which has a root at 1. Dividing this polynomial by z 0 1 results in a new polynomial in the form of ( x n ) Q ( z 0 ) . Explicitly, we have
N 2 ( x ) = x ( z 0 4 ( n x + x 2 ) + z 0 3 ( 4 n x 4 x 2 ) + z 0 2 ( 3 n 2 9 n x + 6 x 2 ) + z 0 ( 4 n 2 + 8 n x 4 x 2 ) + n 2 2 n x + x 2 ) = x ( z 0 1 ) ( n 2 + 2 n x x 2 + z 0 3 ( n x + x 2 ) + z 0 2 ( 3 n x 3 x 2 ) + z 0 ( 3 n 2 6 n x + 3 x 2 ) ) = x ( z 0 1 ) ( x n ) ( x z 0 3 3 x z 0 2 + z 0 ( 3 n + 3 x ) + n x ) = x ( z 0 1 ) ( x n ) Q ( z 0 ) = 0 .
Therefore, we have
G ( x ) = n z 0 ( z 0 1 ) 2 ( n x ( z 0 2 + 1 ) ) ( x ( z 0 2 1 ) + n ) 3 .
We previously established that polynomial P ( z ) , as defined in (19), where p = 1 , l = 2 and s = 1 , has exactly one negative root and two positive roots, as demonstrated in the proof of Theorem 2. This implies that Q ( z ) satisfies the same condition. Moreover, since the roots of the derivative of Q ( z ) , calculated by Q ( z ) = 3 ( x z 2 2 x z ( n x ) ) , are w 1 , 2 = 1 ± n x , we can conclude that for the greater positive root of Q ( z ) , denoted as z 01 , it holds that z 01 1 > w 1 . Additionally, for the smaller positive root of Q ( z ) , denoted as z 02 , it follows that w 2 z 02 w 1 , in accordance with the Gauss–Lucas theorem.
If z 0 = z 01 , we have z 01 > w 1 > 1 , which implies that z 0 2 1 > 0 . Therefore, we conclude that ( x ( z 0 2 1 ) + n ) 3 > 0 . Furthermore, since z 01 > w 1 > n x , it follows that x ( z 0 2 + 1 ) > n + x , leading to the inequality expressed as n x ( z 0 2 + 1 ) < x < 0 . Consequently, we can infer that G ( x ) < 0 , which indicates that G ( x ) is a decreasing function. This implies that G ( x ) reaches its maximum at x = x 1 * within the interval of [ 1 , n 1 ] . Therefore, we conclude that the point expressed as ( y , , y n 1 , y z 01 ) , where z 01 is a root of polynomial P 1 ( z ) = z 3 3 z 2 3 ( n 1 ) z + ( n 1 ) and is greater than one, is the point at which the function expressed as F ( x , 1 , 2 , 1 ) attains its maximum within the domain defined by the set of points ( x k * ) for 1 k n 1 .
If z 0 = z 02 , we have z 0 2 > 0 > x n x , given that 1 x n 1 , which implies that x ( z 0 2 1 ) + n > 0 . Additionally, note that Q ( 0 ) = n x > 0 . On the other hand, if we rewrite Q ( z ) as Q ( z ) = z ( x z 2 3 ( n x ) ) 3 x z 2 + ( n x ) , it is evident that Q n x x = 2 n x x ( n x ) 2 ( n x ) < 0 , which implies that z 0 < n x x ( Q ( z ) decrease on the segment of [ w 1 , w 2 ] ). Therefore, we conclude that z 0 2 + 1 < n x , further inferring that n x ( z 0 2 + 1 ) > 0 . Consequently, we establish that G ( x ) > 0 , implying that G ( x ) is an increasing function. This observation implies that G ( x ) reaches its maximum at x = x n 1 * over the interval of [ 1 , n 1 ] . Therefore, we conclude that the point expressed as ( y z 02 , , y z 02 n 1 , y ) , where z 02 is a root of the polynomial expressed as P 2 ( z ) = ( n 1 ) z 3 3 ( n 1 ) z 2 3 z + 1 and is lower than one, is the point at which the function expressed as F ( x , 1 , 2 , 1 ) attains its maximum within the domain defined by the set of points ( x k * ) for 1 k n 1 .
However, if we substitute y = t z 02 , we obtain ( t , , t n 1 , t 1 z 02 ) , and 1 z 02 > 1 is a root of polynomial P 1 ( z ) , given that P 1 ( 1 z 02 ) = P 2 ( z 02 ) z 02 3 = 0 . Consequently, we conclude that 1 z 02 = z 01 , and for every positive t and y, it holds that
F ( y z 02 , , y z 02 n 1 , y , 1 , 2 , 1 ) = F ( t , , t n 1 , t 1 z 02 , 1 , 2 , 1 ) = F ( y , , y n 1 , y z 01 , 1 , 2 , 1 ) .
Therefore, it is sufficient to prove that the second derivative of F is negative at point z 01 , which satisfies P 1 ( z 01 ) = 0 . However, we omit the proof due to the extensive calculations involved, which offer little in the way of a qualitatively new technique compared to those demonstrated in the proof of Theorem 5.
By substituting z = x + 1 , we obtain P 1 ( x + 1 ) = x 3 3 n x 2 n , which essentially represents the depressed cubic form of P 1 ( z ) . We can straightforwardly observe that P 1 ( 3 n + 1 ) = 2 n < 0 and P 1 ( 3 n + 2 ) = 3 3 n + 4 n + 1 > 0 , which implies 3 n + 1 z 01 3 n + 2 . However, z 01 3 n + 2 n 1 if n 2 9 n + 9 0 , which holds true for n 8 . For n = 7 , we can directly verify that z 01 6 , which completes the proof. □
Now, we examine the values of r 1 , i and a p p ( r 1 , j ) within the class of almost regular graphs in a manner similar to how we analyzed their ratio in Figure 6.
Let us first note that r 1 , i = F ( d , 2 , 1 , 0 ) n = ( x + n 1 ) 2 n ( x 2 + n 1 ) = f 1 ( x ) and a p p ( r 1 , j ) = 1 F ( d , 1 , 2 , 1 ) ρ L H ( v j H ) = ( x 2 + n 1 ) 2 ( x + n 1 ) ( x 3 + n 1 ) ρ L H ( v j H ) = f 2 ( x ) ρ L H ( v j H ) for some graphs (G and H), where G has an order of n and a degree sequence of ( y , , y n 1 , y x ) .
According to the two preceding theorems, we observe that the minimum and maximum values of f 2 ( x ) are attained at x = z 0 and x = 1 , respectively. Additionally, as established by Theorems 3 and 4, the maximum and minimum values of f 1 ( x ) are achieved at x = 1 and x = n 1 , respectively. Furthermore, since the maximum value of G ( x ) = n f 1 ( x ) 2 f 2 ( x ) 2 occurs at x = n 1 , as indicated by Theorem 5, we conclude that the maximum value of f 1 ( x ) f 2 ( x ) is also attained at x = x 0 = n 1 . Finally, according to Equation (26), we observe that G ( x ) = n or, equivalently, f 1 ( x ) = f 2 ( x ) when x = ( n 1 ) 2 3 . Since f 1 ( x ) and f 2 ( x ) are functions of a single variable, they can be plotted over the interval of [ 1 , n 1 ] for n = 50 , with the characteristic points marked on the plots, see Figure 8.
As z 0 is the point of the global minimum of f 2 ( x ) , we observe that a p p ( r 1 , j ) achieves its minimum when G belongs to the class of almost regular graphs with a degree sequence of ( y , , y n 1 , y z 0 ) or ( y , , y n 1 , y z 0 + 1 ) for an appropriate integer (y) and a given graph (H). Furthermore, based on empirical evidence, we hypothesize that these points are the candidates among which the global maximum of F ( x , 1 , 2 , 1 ) should be located. Determining the theoretical maximum of this function lies within the scope of integer programming, a domain where problems often prove to be infeasible.
However, even though f 2 ( x ) reaches its minimum at z 0 , we observe that the value of f 1 ( z 0 ) can be lower than the value of f 2 ( x ) , as shown in the provided graph for n = 50 . Specifically, it is established that for x > ( n 1 ) 2 3 , the inequality expressed as f 2 ( x ) > f 1 ( x ) holds. Consequently, since z 0 = 13.568 and ( n 1 ) 2 3 = 13.39 , we conclude that f 2 ( z 0 ) > f 1 ( z 0 ) .
Now, we provide some comments related to the comparison between z 0 and ( n 1 ) 2 / 3 . According to the proof of Theorem 8, it is observed that 3 n + 1 z 0 3 n + 2 , which implies that for all n satisfying ( n 1 ) 2 3 3 n + 2 z 0 , the inequality expressed as f 1 ( z 0 ) > f 2 ( z 0 ) holds. If we raise both sides of the inequality expressed as ( n 1 ) 2 3 3 n + 2 to the power of three, we obtain n 2 20 n 7 3 3 n ( n + 4 ) . Similarly, squaring both sides of the inequality expressed as n 2 20 n 7 3 3 n ( n + 4 ) yields n 4 67 n 3 + 170 n 2 152 n + 49 0 , from which we straightforwardly conclude that it is satisfied for n 67 .
In the same manner, we observe that for all n satisfying ( n 1 ) 2 3 3 n + 1 z 0 , the inequality expressed as f 1 ( z 0 ) < f 2 ( z 0 ) holds. Consequently, it can be concluded that this inequality is satisfied when n 4 49 n 3 + 67 n 2 27 n 0 , which implies n 47 . For values of n in the range of 48 n 66 , the relationship between z 0 and ( n 1 ) 2 3 must be checked directly, as demonstrated for n = 50 .
For the case of n = 50 , as we have observed, the values of z 0 and ( n 1 ) 2 3 are very close, and for a fixed y = 3 , f 2 ( x ) reaches its minimum on one of the graphs ( A R ( 3 , 40 3 ) or A R ( 3 , 41 3 ) ). It can be noted that f 2 ( 41 3 ) < f 2 ( 40 3 ) ; therefore, the analysis focuses on the sets of correlation coefficients of ( A R ( 3 , 41 3 ) ), despite the fact that the values differ only at the fifth decimal place. Moreover, given that 41 3 = 13 2 3 > ( n 1 ) 2 3 = 13.39 , we conclude that f 2 ( 41 3 ) > f 1 ( 41 3 ) . Since r 1 , i = f 1 ( 41 3 ) = 0.577 and a p p ( r 1 , j ) = f 2 ( 41 3 ) ρ L H ( v j H ) = 0.583 ρ L H ( v j H ) , it follows that, for sufficiently high values of ρ L H ( v j H ) , the value of a p p ( r 1 , j ) could exceed r 1 , i . However, we conduct experiments to calculate all correlation coefficients ( r i , j and r k , l ) and compare them for graph G being A R ( 3 , 41 3 ) , while H represents an Erdős–Rényi graph, with edge densities of 10% and 30%, respectively, as shown in Figure 9. In the first case, the values of the correlation coefficients ( r 1 , j ) range from 0.42 to 0.63. In the second case, their lower bound is slightly higher, starting at 0.5, while the upper bound remains the same, at 0.63. Therefore, in both cases, we can infer that some of the correlation coefficients ( r 1 , j ) are higher than r 1 , i = 0.577 (note the upward shift of the green line in both plots around this value). Conversely, the values of r i , j clearly dominate the values of r k , l overall in both scenarios.
On the other hand, the situation is entirely different when considering the Kronecker product of graph G, which is A R ( 5 , 49 5 ) , and the graph H, an Erdős–Rényi graph, with edge densities of 10% and 30%, respectively (see Figure 10). We observe that r 1 , i = f 1 ( 49 5 ) = 0.69 , while a p p ( r 1 , j ) = f 2 ( 49 5 ) ρ L H ( v j H ) = 0.6 ρ L H ( v j H ) , which implies that r 1 , i > a p p ( r 1 , j ) (note the rise of the green line near the value of 0.69). In the conducted experiment, the values of r 1 , j range from 0.4 to 0.67 when H has an edge density of 10% and from 0.5 to 0.65 when H has an edge density of 30%, implying that r 1 , i is always greater than r 1 , j . Nevertheless, it is observed that the values of r k , l are considerably higher in both plots compared to the preceding experiment. Furthermore, in a significant number of cases, r k , l exceeds the corresponding values of r i , j .
Based on the two preceding experiments, we believe that the relationship between r 1 , i and r 1 , j does not necessarily determine the relationship between the entire sets of correlation coefficients ( r i , j and r k , l ), especially when the absolute difference between r 1 , i and r 1 , j is small. More generally, we can conclude that the relationship between r 1 , i and r 1 , j does not significantly influence the relationship between r i , j and r k , l , provided that G is an almost regular graph ( A R ( y , k ) ) of order n and k is close to z 0 = ( n 1 ) 2 3 .

5. Concluding Remarks

Although the relationships between the spectral properties of a product graph and those of its factor graphs are well-established for standard graph products, the characterization of the Laplacian spectrum and eigenvectors of the Kronecker product of graphs using the Laplacian spectra of the factors remains an unresolved problem. In this work, we analyzed approximation methods recently proposed in the literature for estimating the Laplacian eigenvectors of the Kronecker product of graphs, given the eigenvectors of their factor graphs. The most common method to evaluate the extent to which an arbitrary vector belongs to a set of eigenvectors of a given matrix involves the use of a correlation coefficient. This measure is closely related to the cosine of the angle between the original vector and its image under the matrix transformation. However, the calculation of the correlation coefficient is typically infeasible, as the explicit formula for the (normalized) Laplacian eigenvectors of factor graphs is not known in the general case in terms of the parameters of the factor graphs.
Fortunately, n of the n 2 correlation coefficients can be explicitly determined using the method proposed in [20] and estimated using the method proposed in [21], where n 2 is the order of the graph formed as the Kronecker product of two graphs of order n. The expression presented in [21] has proven to be a highly accurate approximation of these n correlation coefficients. This was validated through numerous experiments, which included determining the probability density functions and analyzing the percentage errors between actual and estimated values. These experiments encompassed various scenarios, such as Kronecker products of different types of random graphs and varying edge densities, consistently demonstrating the method’s reliability. Theoretical analysis shows that the expected value of relative error between approximated and actual values of the n coefficients tends to zero as n with a fixed p in the Erdős–Rényi model. Similarly, as p 1 with a fixed n, the error also diminishes. Both conclusions are supported by experimental verification, highlighting that the approximation improves with increasing graph density and confirming its reliability for large or dense networks.
The theoretical analysis relies on demonstrating that certain functions of degree sequences, which can be interpreted as topological indices (including the forgotten topological index), are asymptotically equivalent. This connection not only strengthens the mathematical foundation of the approximation but also provides a novel contribution to the chemical graph theory of random graphs, extending its applicability to the study of structural properties in complex networks.
The primary advantage of n specific correlation coefficients of the method proposed in [20] lies in their dependence on the degree sequences of one factor graph, classifying them as structural topological indices. Moreover, the dependence of only one factor in the approximation of coefficients related to the method proposed in [21] on the degree sequence allows it to be viewed as a hybrid index, combining structural and spectral characteristics. This leads to the central motivation for the second part of the paper, which raises several questions:
  • Can we infer the accuracy of the first approximation method by knowing only the explicit values of the n correlation coefficients?
  • Similarly, can the accuracy of the second approximation method be assessed using only the approximations of the n correlation coefficients?
  • Finally, is it possible to determine which approximation is more suitable for specific classes of factor graphs by comparing the mentioned correlation coefficients and the approximations?
Related to the first two questions, it can be observed that the n correlation coefficients (for both approximation methods) are generally smaller than the remaining correlation coefficients. This trend is evident in all plots, where the smoothed probability distributions of the correlation coefficients show a lift on the left side of the graph, corresponding to the lower values of these n coefficients. In contrast, the dominant majority of the coefficients tend to cluster around a peak on the right side of the graphs, indicating that these coefficients typically have greater values. Therefore, it naturally arose as a task to determine the extreme values of these coefficients for the first approximation method and the approximated values for the second method. This is because higher extreme values generally imply higher overall values across the entire set of coefficients. We proved that for the first approximation method, the maximum value of the n coefficients is achieved when the factor graph (G) is a regular graph, while the minimum value occurs when G is a star graph. Similarly, for the second approximation method, the maximum value of the n approximated coefficients is achieved when G is a regular graph, given a fixed normalized Laplacian eigenvector of factor graph H. We also proved that the approximated coefficients achieve their minimum when G belongs to the class of almost regular graphs with a degree sequence of ( y , , y n 1 , y z 0 ) or ( y , , y n 1 , y z 0 + 1 ) , where y is an appropriate integer and z 0 is defined in Theorem 8 for a fixed normalized Laplacian eigenvector of H. Based on empirical evidence, we hypothesize that these points are strong candidates for the global minimum. Determining the theoretical minimum or maximum of this function, however, involves integer programming, a field known for its computational complexity and infeasibility in certain cases. As such, resolving these challenges represents a promising direction for future research, particularly in advancing both theoretical insights and practical applications.
Regarding the third raised question, we observed that, in most cases, the relationship between the majority of the values in the set of n correlation coefficients of the first approximation method and the approximated n correlation coefficients of the second method reflects the relationship between the remaining coefficients of both approximations. Specifically, we proved that when G is a star graph, the discrepancy between the approximated n correlation coefficients of the second method and the n correlation coefficients of the first method is largest, favoring the first set. This same behavior extends to the remaining coefficients, further emphasizing the structural distinctions between the two methods in this case. The reverse case is observed when G is an almost regular graph with a degree sequence of ( y , , y n 1 , y n 1 ) , where n 1 is a perfect square. In this scenario, the discrepancy between the approximated n correlation coefficients of the second method and the n correlation coefficients of the first method is smallest, favoring the second set. This pattern also extends to the remaining coefficients, further highlighting how the structural properties of G influence the behavior of the two approximation methods. Certain deviations from this trend can be observed when the values of the n correlation coefficients of the first and second methods are close, and the relationship between them cannot be reflected in the relationship between the remaining coefficients of the approximation methods.
These observations emphasize the significant impact of the graph structure, particularly highly imbalanced configurations, such as certain types of almost regular graphs (one example being the star graph), on the performance of the two approximation methods. Therefore, it will be useful to examine the accuracy of the classes of graphs with more balanced degree sequences, i.e., graphs with more than two values in their degree sequence. However, the proofs generally require extensive discussion and fall into a wide range of distinct cases, involving techniques based on the interplay of graph index theory, mathematical analysis, inequalities, polynomial theory, and computational mathematics, among others. Consequently, the examination of more balanced graphs would be a more demanding task. In addition, certain results concerning the examination of the functions expressed as F ( x , 1 , 2 , 1 ) and F ( x , 3 , 3 , 1 ) can stand alone in the literature on graph indices, as they establish certain relationships between the forgotten topological index and the first Zagreb index. These results contribute to the broader understanding of graph indices and may inspire further exploration in this area.

Author Contributions

Conceptualization, M.M. and M.B.; methodology, M.M., M.B. and A.S.; formal analysis, M.B. and M.M; investigation, M.B. and A.S.; writing—original draft preparation, M.B. and M.M; writing—review and editing, M.B., M.M. and A.S.; visualization, M.M. and M.B; supervision, M.M. and A.S. All authors have read and agreed to the published version of the manuscript.

Funding

This research received no external funding.

Data Availability Statement

The data supporting this study will be available on request to the authors.

Acknowledgments

This research was supported by a research project of the Ministry of Education, Science and Technological Development of the Republic of Serbia (number 451-03-137/2025-03/200124).

Conflicts of Interest

The authors declare no conflicts of interest.

References

  1. Pržulj, N. Protein-protein interactions: Making sense of networks via graph-theoretic modeling. Bioessays 2011, 33, 115–123. [Google Scholar] [PubMed]
  2. Shi, J.; Malik, J. Normalized cuts and image segmentation. IEEE Trans. Pattern Anal. Mach. Intell. 2000, 22, 888–905. [Google Scholar]
  3. Arsić, B.; Bašić, M.; Spalević, P.; Ilić, M.; Veinović, M. Facebook profiles clustering. In Proceedings of the 6th International Conference on Information Society and Technology (ICIST 2016), Kopaonik, Serbia, 28 February–2 March 2016; pp. 154–158. [Google Scholar]
  4. Bašić, M. Which weighted circulant networks have perfect state transfer? Inf. Sci. 2014, 257, 193–209. [Google Scholar]
  5. Milo, R.; Shen-Orr, S.; Itzkovitz, S.; Kashtan, N.; Chklovskii, D.; Alon, U. Network motifs: Simple building blocks of complex networks. Science 2002, 298, 824–827. [Google Scholar]
  6. Girvan, M.; Newman, M.E. Community structure in social and biological networks. Proc. Natl. Acad. Sci. USA 2002, 99, 7821–7826. [Google Scholar] [PubMed]
  7. De Domenico, M.; Solé-Ribalta, A.; Cozzo, E.; Kivelä, M.; Moreno, Y.; Porter, M.A.; Gómez, S.; Arenas, A. Mathematical formulation of multilayer networks. Phys. Rev. X 2013, 3, 041022. [Google Scholar]
  8. Arenas, A.; Duch, J.; Fernández, A.; Gómez, S. Size reduction of complex networks preserving modularity. New J. Phys. 2007, 9, 176. [Google Scholar]
  9. Skardal, P.S.; Restrepo, J.G. Hierarchical synchrony of phase oscillators in modular networks. Phys. Rev. E 2012, 85, 016208. [Google Scholar]
  10. Leskovec, J.; Chakrabarti, D.; Kleinberg, J.; Faloutsos, C.; Ghahramani, Z. Kronecker graphs: An approach to modeling networks. J. Mach. Learn. Res. 2010, 11, 985–1042. [Google Scholar]
  11. Sole-Ribalta, A.; De Domenico, M.; Kouvaris, N.E.; Diaz-Guilera, A.; Gomez, S.; Arenas, A. Spectral properties of the Laplacian of multiplex networks. Phys. Rev. E 2013, 88, 032807. [Google Scholar]
  12. Kivelä, M.; Arenas, A.; Barthelemy, M.; Gleeson, J.P.; Moreno, Y.; Porter, M.A. Multilayer networks. J. Complex Netw. 2014, 2, 203–271. [Google Scholar]
  13. Elsässer, R.; Monien, B.; Preis, R.; Frommer, A. Optimal diffusion schemes and load balancing on product graphs. Parallel Process. Lett. 2004, 14, 61–73. [Google Scholar] [CrossRef]
  14. Cvetković, D.M.; Gutman, I. Selected Topics on Applications of Graph Spectra; Matematicki Institut SANU: Beograd, Serbia, 2011. [Google Scholar]
  15. Cvetković, D.; Simić, S. Graph spectra in computer science. Linear Algebra Its Appl. 2011, 434, 1545–1562. [Google Scholar]
  16. Agliari, E.; Tavani, F. The exact Laplacian spectrum for the Dyson hierarchical network. Sci. Rep. 2017, 7, 39962. [Google Scholar] [CrossRef] [PubMed]
  17. Liu, H.; Dolgushev, M.; Qi, Y.; Zhang, Z. Laplacian spectra of a class of small-world networks and their applications. Sci. Rep. 2015, 5, 9024. [Google Scholar] [CrossRef]
  18. Merris, R. Laplacian matrices of graphs: A survey. Linear Algebra Its Appl. 1994, 197, 143–176. [Google Scholar]
  19. Glass, J.; Obradović, Z. Structured Regression on Multiscale Networks. IEEE Intell. Syst. 2017, 32, 23–30. [Google Scholar] [CrossRef]
  20. Sayama, H. Estimation of Laplacian spectra of direct and strong product graphs. Discret. Appl. Math. 2016, 205, 160–170. [Google Scholar] [CrossRef]
  21. Bašić, M.; Arsić, B.; Obradović, Z. Another estimation of Laplacian spectrum of the Kronecker product of graphs. Inf. Sci. 2022, 609, 605–625. [Google Scholar] [CrossRef]
  22. Barik, S.; Bapat, R.B.; Pati, S. On the Laplacian spectra of product graphs. Appl. Anal. Discret. Math. 2015, 9, 39–58. [Google Scholar] [CrossRef]
  23. Brockwell, P.J.; Davis, R.A. Time Series: Theory and Methods; Graduate Texts in Mathematics; Springer: Berlin/Heidelberg, Germany, 1991. [Google Scholar]
  24. Knowles, A.; Yin, J. Eigenvector distribution of Wigner matrices. Probab. Theory Relat. Fields 2013, 155, 543–582. [Google Scholar]
  25. Furtula, B.; Gutman, I. A forgotten topological index. J. Math. Chem. 2015, 53, 1184–1190. [Google Scholar]
  26. Gutman, I.; Das, K.C. The first Zagreb index 30 years after. MATCH Commun.Math. Comput. Chem. 2004, 50, 83–92. [Google Scholar]
Figure 1. Smoothed probability density functions of vector correlation coefficients between L G H ( D G 1 2 1 n v j H ) and D G 1 2 1 n v j H . The blue solid line represents the actual values, while the green solid line indicates the approximations. The probability density functions are plotted for two Erdős–Rényi random graphs (G and H), each of an order of 100. The graphs are displayed for each pair of edge density levels— ( 25 % , 10 % ) , ( 25 % , 20 % ) , ( 50 % , 10 % ) , and ( 50 % , 20 % ) —arranged from the (top left) to the (bottom right) in a row-wise manner.
Figure 1. Smoothed probability density functions of vector correlation coefficients between L G H ( D G 1 2 1 n v j H ) and D G 1 2 1 n v j H . The blue solid line represents the actual values, while the green solid line indicates the approximations. The probability density functions are plotted for two Erdős–Rényi random graphs (G and H), each of an order of 100. The graphs are displayed for each pair of edge density levels— ( 25 % , 10 % ) , ( 25 % , 20 % ) , ( 50 % , 10 % ) , and ( 50 % , 20 % ) —arranged from the (top left) to the (bottom right) in a row-wise manner.
Axioms 14 00192 g001
Figure 2. Relative difference (percentage error) between correlation coefficient and its approximation. Green points indicate the percentage errors, while blue points represent mean percentage errors across 100 independent experiments repeated for each correlation coefficient. Percentage errors are presented for the tensor product of two Erdős–Rényi random graphs (top left), Erdős–Rényi and Barabási–Albert graphs (top right), Barabási–Albert and Erdős–Rényi graphs (bottom left), and two Barabási–Albert random graphs (bottom right).
Figure 2. Relative difference (percentage error) between correlation coefficient and its approximation. Green points indicate the percentage errors, while blue points represent mean percentage errors across 100 independent experiments repeated for each correlation coefficient. Percentage errors are presented for the tensor product of two Erdős–Rényi random graphs (top left), Erdős–Rényi and Barabási–Albert graphs (top right), Barabási–Albert and Erdős–Rényi graphs (bottom left), and two Barabási–Albert random graphs (bottom right).
Axioms 14 00192 g002
Figure 3. Smoothed probability density functions of vector correlation coefficients between L G H ( v i G v j H ) (blue line) and v i G v j H , as well as between L G H ( w i G w j H ) and w i G w j H (green line). The probability density functions are depicted for the Kronecker product of G and H, where each graph is of order 50. Specifically, G is a random regular graph with an edge density of 25%, while H is an Erdős–Rényi graph with an edge density of 10% in the first case (left panel) and a Barabási–Albert graph with an edge density of 25% in the second case.
Figure 3. Smoothed probability density functions of vector correlation coefficients between L G H ( v i G v j H ) (blue line) and v i G v j H , as well as between L G H ( w i G w j H ) and w i G w j H (green line). The probability density functions are depicted for the Kronecker product of G and H, where each graph is of order 50. Specifically, G is a random regular graph with an edge density of 25%, while H is an Erdős–Rényi graph with an edge density of 10% in the first case (left panel) and a Barabási–Albert graph with an edge density of 25% in the second case.
Axioms 14 00192 g003
Figure 4. Smoothed probability density functions of vector correlation coefficients between L G H ( v i G v j H ) (blue line) and v i G v j H , as well as between L G H ( w i G w j H ) and w i G w j H (green line). The probability density functions are depicted for the Kronecker product of G and H, where each graph is of order 50. Specifically, G is a star graph, while H is an Erdős–Rényi graph, with an edge density of 10% in the first case (left panel) and an edge density of 30% in the second case (right panel).
Figure 4. Smoothed probability density functions of vector correlation coefficients between L G H ( v i G v j H ) (blue line) and v i G v j H , as well as between L G H ( w i G w j H ) and w i G w j H (green line). The probability density functions are depicted for the Kronecker product of G and H, where each graph is of order 50. Specifically, G is a star graph, while H is an Erdős–Rényi graph, with an edge density of 10% in the first case (left panel) and an edge density of 30% in the second case (right panel).
Axioms 14 00192 g004
Figure 5. Smoothed probability density functions of vector correlation coefficients between L G H ( v i G v j H ) (represented by the blue line) and v i G v j H , as well as between L G H ( w i G w j H ) and w i G w j H (represented by the green line). The probability density functions are presented for the Kronecker product of graphs G and H, where each graph has an order of 50. G is a random, almost regular graph ( A R ( 4 , 7 ) ), while H is an Erdős–Rényi graph, with edge densities of 10% and 30%, respectively.
Figure 5. Smoothed probability density functions of vector correlation coefficients between L G H ( v i G v j H ) (represented by the blue line) and v i G v j H , as well as between L G H ( w i G w j H ) and w i G w j H (represented by the green line). The probability density functions are presented for the Kronecker product of graphs G and H, where each graph has an order of 50. G is a random, almost regular graph ( A R ( 4 , 7 ) ), while H is an Erdős–Rényi graph, with edge densities of 10% and 30%, respectively.
Axioms 14 00192 g005
Figure 6. Graphical representation of the maximum of function G ( x ) .
Figure 6. Graphical representation of the maximum of function G ( x ) .
Axioms 14 00192 g006
Figure 7. The smoothed probability density functions of vector correlation coefficients between L G H ( v i G v j H ) (indicated by the blue line) and v i G v j H , as well as between L G H ( w i G w j H ) and w i G w j H (indicated by the green line). These probability density functions are presented for the Kronecker product of graphs G and H, where each graph has an order of 50. In both plots, H is represented as an Erdős–Rényi graph with an edge density of 10% in one case and 30% in the other. In both plots, G is a random, almost regular graph, denoted as A R ( 3 , 16 ) .
Figure 7. The smoothed probability density functions of vector correlation coefficients between L G H ( v i G v j H ) (indicated by the blue line) and v i G v j H , as well as between L G H ( w i G w j H ) and w i G w j H (indicated by the green line). These probability density functions are presented for the Kronecker product of graphs G and H, where each graph has an order of 50. In both plots, H is represented as an Erdős–Rényi graph with an edge density of 10% in one case and 30% in the other. In both plots, G is a random, almost regular graph, denoted as A R ( 3 , 16 ) .
Axioms 14 00192 g007
Figure 8. Graphical comparison of functions f 1 ( x ) and f 2 ( x ) .
Figure 8. Graphical comparison of functions f 1 ( x ) and f 2 ( x ) .
Axioms 14 00192 g008
Figure 9. The smoothed probability density functions of vector correlation coefficients between L G H ( v i G v j H ) and v i G v j H (indicated by the blue line), as well as between L G H ( w i G w j H ) and w i G w j H (indicated by the green line). These probability density functions are presented for the Kronecker product of graphs G and H, where each graph has an order of 50. In both plots, H is represented as an Erdős–Rényi graph with an edge density of 10% in one case and 30% in the other. In both plots, G is a random, almost regular graph, denoted as A R ( 3 , 41 3 ) .
Figure 9. The smoothed probability density functions of vector correlation coefficients between L G H ( v i G v j H ) and v i G v j H (indicated by the blue line), as well as between L G H ( w i G w j H ) and w i G w j H (indicated by the green line). These probability density functions are presented for the Kronecker product of graphs G and H, where each graph has an order of 50. In both plots, H is represented as an Erdős–Rényi graph with an edge density of 10% in one case and 30% in the other. In both plots, G is a random, almost regular graph, denoted as A R ( 3 , 41 3 ) .
Axioms 14 00192 g009
Figure 10. The smoothed probability density functions of vector correlation coefficients between L G H ( v i G v j H ) and v i G v j H (indicated by the blue line), as well as between L G H ( w i G w j H ) and w i G w j H (indicated by the green line). These probability density functions are presented for the Kronecker product of graphs G and H, where each graph has an order of 50. In both plots, H is represented as an Erdős–Rényi graph with an edge density of 10% in one case and 30% in the other. In both plots, G is a random, almost regular graph, denoted as A R ( 3 , 49 4 ) .
Figure 10. The smoothed probability density functions of vector correlation coefficients between L G H ( v i G v j H ) and v i G v j H (indicated by the blue line), as well as between L G H ( w i G w j H ) and w i G w j H (indicated by the green line). These probability density functions are presented for the Kronecker product of graphs G and H, where each graph has an order of 50. In both plots, H is represented as an Erdős–Rényi graph with an edge density of 10% in one case and 30% in the other. In both plots, G is a random, almost regular graph, denoted as A R ( 3 , 49 4 ) .
Axioms 14 00192 g010
Table 1. The mean values of the topological indices ( { i , j } E ( G ) ( d i + d j ) and { i , j } E ( G ) 2 d i d j ) analyzed for Erdős–Rényi graphs of varying orders, with a fixed edge density.
Table 1. The mean values of the topological indices ( { i , j } E ( G ) ( d i + d j ) and { i , j } E ( G ) 2 d i d j ) analyzed for Erdős–Rényi graphs of varying orders, with a fixed edge density.
GraphMean { i , j } E ( G ) ( d i + d j ) Mean { i , j } E ( G ) 2 d i d j # IterationsPercentage Error
G ( 50 , 0.3 ) 11,463.3811,341.501000.010
G ( 100 , 0.3 ) 89,682.7489,168.091000.005
G ( 1000 , 0.3 ) 90,035,066.289,982,432.631000.00058
Table 2. The mean values of the topological indices ( i = 1 n d i 3 and S 2 = | [ { 1 , i } E ( G ) d i ,   , { n , i } E ( G ) d i ] T 2 ) analyzed for Erdős–Rényi graphs of varying orders, with a fixed edge density.
Table 2. The mean values of the topological indices ( i = 1 n d i 3 and S 2 = | [ { 1 , i } E ( G ) d i ,   , { n , i } E ( G ) d i ] T 2 ) analyzed for Erdős–Rényi graphs of varying orders, with a fixed edge density.
GraphMean i = 1 n d i 3 Mean S 2 # IterationsPercentage Error
G ( 50 , 0.3 ) 183,849.1174,702.891000.049748
G ( 100 , 0.3 ) 2,797,487.962,723,596.771000.026413
G ( 1000 , 0.3 ) 27,130,565,485.0427,051,927,598.691000.002898
Disclaimer/Publisher’s Note: The statements, opinions and data contained in all publications are solely those of the individual author(s) and contributor(s) and not of MDPI and/or the editor(s). MDPI and/or the editor(s) disclaim responsibility for any injury to people or property resulting from any ideas, methods, instructions or products referred to in the content.

Share and Cite

MDPI and ACS Style

Miladinović, M.; Bašić, M.; Stamenković, A. Analysis of Approximation Methods of Laplacian Eigenvectors of the Kronecker Product of Graphs. Axioms 2025, 14, 192. https://doi.org/10.3390/axioms14030192

AMA Style

Miladinović M, Bašić M, Stamenković A. Analysis of Approximation Methods of Laplacian Eigenvectors of the Kronecker Product of Graphs. Axioms. 2025; 14(3):192. https://doi.org/10.3390/axioms14030192

Chicago/Turabian Style

Miladinović, Marko, Milan Bašić, and Aleksandar Stamenković. 2025. "Analysis of Approximation Methods of Laplacian Eigenvectors of the Kronecker Product of Graphs" Axioms 14, no. 3: 192. https://doi.org/10.3390/axioms14030192

APA Style

Miladinović, M., Bašić, M., & Stamenković, A. (2025). Analysis of Approximation Methods of Laplacian Eigenvectors of the Kronecker Product of Graphs. Axioms, 14(3), 192. https://doi.org/10.3390/axioms14030192

Note that from the first issue of 2016, this journal uses article numbers instead of page numbers. See further details here.

Article Metrics

Back to TopTop