Abstract
Following the notions of -set and -algebra where is a complete lattice, we introduce P-algebras, replacing the lattice by a poset P. A P-algebra is a classical algebraic structure in which the usual equality is replaced by a P-valued equivalence relation, i.e., with the symmetric and transitive map from the underlying set into a poset P. In addition, this generalized equality is (as a map) compatible with the fundamental operations of the algebra. The diagonal restriction of this map is a P-valued support of a P-algebra. The particular subsets of this support, its cuts, are classical subalgebras, while the cuts of the P-valued equality are congruences on the corresponding cut subalgebras. We prove that the collection of the corresponding quotients of these cuts is a centralized system in the lattice of weak congruences of the basic algebra. We also describe the canonical representation of P-algebras, independent of the poset P.
Keywords:
partially ordered set; poset-valued function; poset-valued equivalence relations; congruences; subalgebras; factors; cuts MSC:
08A72; 06A06
1. Introduction
This paper originates in the field of generalized characteristic functions of sets and relations, providing functions that extend the notion of a subset, or a subrelation. The co-domain of these functions is usually an ordered structure. In this context, the Fuzzy set theory is well known and one of its main tools in the corresponding investigations are so-called cut sets and relations (see, e.g., [1]), which we also use here. The cuts are particular subsets (subrelations) of the function’s domain, determined by the value from the co-domain lattice. Another independently developed theory dealing with generalizations of characteristic functions is omega sets, introduced by Fourman and Scott in [2]. They were considering a set equipped with the particular generalized equality, being a symmetric and transitive map from this set into a Heyting lattice. Their aim was to model axioms of the Set Theory, and in this way, they obtained suitable objects (functions) acting as sets. Let us mention that the kind of generalized equality as a function from the square of the domain to the co-domain lattice was also investigated by Höhle ([3,4]), Demirci ([5,6,7]), Belohlavek, Vychodil ([8,9]) and others within the theory of fuzzy sets. Our goal when we started our investigations, which continue in the present paper, was to introduce an extension of omega sets by considering algebras instead of sets only. In this way, we obtained omega algebras.
In particular, we were dealing with omega algebras as general structures [10], defining how identities hold in them as lattice formulas. We proved that for an omega algebra, all quotients of cut subalgebras over the corresponding cut congruences are classical algebras of the same type, fulfilling the corresponding identities. Then, we dealt with omega quasigroups together with a new way of approximating the solution of linear equations [11] and with some other special algebraic structures. In our further research, we extended the co-domain ordered structure, which was a lattice. In paper [12], we introduced the notion of a poset-valued set, also named a P-set. A P-set is a pair consisting of a set and a generalized equality relation as a special map from to P, extending the classical equality relation. In the mentioned paper, we proved that a P-set is characterized by a centralized system in the family of all weak equivalences in the underlying set A. Consequently, the canonical representation of a P-set is defined using the mentioned centralized system as the related poset.
As the next step, in the present research, we naturally use the newly introduced concept of P-sets to introduce and investigate the related poset-valued algebras (P-algebras).
Our manuscript aims to investigate the concept of P-algebras for general algebraic structures. Therefore, all the general results are valid for specialized algebraic structures, as P-groups, P-rings, P-lattices, and others. Such specialized structures are not defined, but the definitions can be easily deduced from the general definition of P-algebras. We prove that cuts of the diagonal subrelation of the P-valued equality for a P-algebra are subalgebras of its basic algebra. Similarly, cuts of the P-valued equality itself are congruences on the corresponding subalgebras—i.e., weak congruences on the basic algebra. Consequently, the collection of all the obtained quotient structures is a centralized system in the lattice of weak congruences of this algebra. Further, if ordered dually to the set inclusion, this collection is used for the construction of the canonical representation of this P-algebra, in which the poset P is replaced by the mentioned poset of cut-quotients. In the framework of set-theoretic language, we also define how identities hold on P-algebras. It turns out that in this case, the cut-quotients classically satisfy these identities. As for omega algebras, this is a necessary and sufficient condition under which a P-algebra satisfies identities in the language of set-theoretic formulas.
Our results are illustrated by suitable examples.
Let us finally mention that by generalizing lattice-valued algebraic structures to poset-valued ones, we fully change the syntax of our framework. While in the lattice case, i.e., for -algebras, we use lattice-theoretic formulas, in the poset framework i.e., for P-algebras, we strictly apply the set-theoretic syntax; we use it for introducing and investigating relevant properties of the new structures.
2. Preliminaries
We list here some notions that we use. These are connected to sets, families of particular subsets, relations (like equivalence and order) and functions. We also recall some basic features from the theory of ordered sets and general algebra.
If X is a nonempty set, then a collection of subsets closed under all intersections is called a closure system. A generalization of this notion is a collection of subsets closed under centralized intersections, meaning that for all , Such collection of subsets is called a centralized system.
A partially ordered set (poset) is a set with an ordering relation (reflexive, antisymmetric and transitive), denoted by . We also use other related relations on P, ⩾, < and > defined by the following:
if and only if ;
if and only if and ;
if and only if and .
We mention the important properties and subsets of a poset P that we use.
The poset may have the greatest element (also called the top element, or the top), denoted by 1:
for every , .
Clearly, the top element, if it exists, is unique.
Analogously, the poset may have the smallest element (the bottom), denoted by 0:
for every , .
As for the top element, if the bottom exists, it is unique.
The principal ideal generated with is defined with and the dual notion is the principal filter generated by p: .
If and are posets, then the bijective map that fulfills
is an order-isomorphism.
More details and further results from the theory of ordered sets and lattice theory can be found e.g., in books [13,14].
If A is a nonempty set, then a symmetric and transitive relation E on A is a weak equivalence on A. Observe that a relation E on A with these properties can fulfill. Also, implies and . As a consequence, we have the following.
Lemma 1.
Every weak equivalence E on A is an equivalence relation on a subset of A where .
The collection of all weak equivalences on a nonempty set A forms a complete lattice under the set inclusion.
If A is a nonempty set and P is a poset, then any map is poset-valued map, or a P-map. In particular, if the domain of a poset-valued map is a square, i.e., if we have , then the map is a poset-valued (binary) relation on A. For a poset-valued map and , we define the p-cut or simply cut the subset of A by . Obviously, . By this definition, the cut of a poset-valued relation is a classical binary relation on A: . The families of all cuts of a P-valued set , or of a P-valued relation , are denoted by the capital index, namely by and , respectively: and .
The following is a known basic property of cuts for P-valued functions (see e.g., [15]).
Proposition 1.
For any P-valued function , for every ,
A consequence of this proposition is that the collection of all cuts of a poset-valued set is a centralized system over A.
For , let ∼ be a relation on a poset P, defined by
Relation ∼ is the kernel of the map defined by . Therefore, ∼ is an equivalence relation on P.
If is a poset, then a -valued weak equivalence relation on a nonempty set A is a P-valued relation on A, which for all fulfills the symmetry (S) and transitivity (T), as follows:
(S): ;
(T): .
A P-valued equality on A is a P-valued equivalence which additionally satisfies the separability condition: for all .
implies unless P has the bottom element 0 and .
Clearly, if for some , , then by S and T, for every y, we have as well.
If is an algebra, then a weak equivalence on A which is compatible with all the operations in F is a weak congruence relation on .
The following holds by Lemma 1 and by the definition of a weak congruence.
Lemma 2.
For every weak congruence ρ on , the set is a subalgebra of , and ρ is a classical congruence on B.
The set of all weak congruences on forms an algebraic lattice under the set inclusion. This lattice is denoted by .
Let , let P be a poset and E a P-valued equality on A. Then, as defined in [12], a pair is called a -set.
In this context, the P-valued map , defined with is called the support of E.
If P is a complete lattice (P is then usually denoted by ), then is an -set [12].
Some basic properties of P-sets were elaborated in the paper [12]. We omit the proofs, they can be found in the mentioned paper, together with some other relevant properties and examples.
Theorem 1.
Let be a P-set with the support μ. The families of cuts of E and of μ are centralized systems and every is an equivalence relation on .
According to the last theorem, for every , the quotient is a partition of the subset of A induced by the equivalence relation over this subset. These quotient sets are the basic features of P-sets, establishing their link to classical set-theoretic structures. Moreover, not only that a P-set determine a collection of cut-quotient sets, but also the converse holds. This procedure which starts with a particular collection of weak equivalences enabling a construction of a P-set, is described in the sequel.
Theorem 2
([12]). Let be a centralized system over the set of weak equivalences of a nonempty set A, satisfying the condition
Then, is a P-set with
where the poset is considered under the order opposite to inclusion and .
The P-set constructed in Theorem 2 from the set A using the centralized family of weak equivalences on A is said to be a canonical -set. This name indicates the general role of this construction.
Let and be posets, let A be a set, and let and be P-sets.
and are cut-equivalent if their collections of cuts (factors) . coincide.
Theorem 3.
Let be a P-set where P is a poset. Then there is a unique canonical P-set which is cut-equivalent to .
Let be a P-set and let be the unique canonical P-set which is cut-equivalent to . We call the canonical P-set which is cut-equivalent to , canonical representation of .
Corollary 1.
Let A be a set. Let and be posets. Let and be poset-valued relations, such that and are P-sets. Then and are cut-equivalent if and only if they have the same canonical representation.
In the present research, we generalize -algebras, introduced in [10].
3. Results: -Algebra
Let be an algebra and let be a poset. In case the algebra has a nullary operation, then P has the top element 1. We say that a P-valued function is compatible with the operations on if for every n-ary operation , , for all and for any constant ,
Analogously, a P-relation on , is said to be compatible with the operation f, if for all and for the constant c in F,
Observe that for , is a characteristic function of a subset of A and is a characteristic function of a binary relation R over A. In this case, Formula (3) expresses the compatibility of f over the subset M of A: , and Formula (4) analogously present the compatibility of the binary relation R over A, whose characteristic function is . As mentioned, if the algebra has nullary operations, then these operations have the greatest value of belonging to and they have the greatest value of relationship to themselves. Therefore, in the case of the existence of nullary operations, poset has to possess the greatest element 1.
Let be an algebra and let be a poset. Let also be a P-valued equality on A, which is compatible with the operations in . Then, the pair is a -algebra. The classical algebra is the underlying, basic algebra of .
Theorem 4.
Let be a P-algebra. Then the following hold:
The P-valued function , determined by E with is compatible with the operations in F.
For every , the cut is a subalgebra of , and is a congruence on .
Proof.
It is obvious that Equation (3) for and for each f, including the nullary operations, follows directly from Equation (4) with P-valued relation E.
Let and . Then for every nullary operation , if there are nullary operations in F, we have
Now, let and let . Then, and thus for all Hence, and by
we have that and , and hence . Therefore, is a subalgebra of .
is an equivalence relation on by Theorem 1. Now, we have to prove the compatibility.
Let and let such that
This means that for all i and hence
and by Formula (4),
and thus . Therefore, is a congruence on . □
Theorem 4 remains valid if P is a complete lattice, so this theorem is a generalization of the analogous theorem on -algebras ([10]).
Theorem 5.
Let be an algebra and let be a poset with the top element 1. Let be a P-valued relation on A. Then, E is a P-valued compatible equivalence on if and only if all the cut relations are weak congruences on .
Proof.
From the fact that E is a P-valued weak equivalence relation on A compatible with the operations in , we have that all the cuts satisfy analogous conditions by Theorem 4. Now, suppose that is a P-valued relation on A and that all the cut relations are weak equivalences on A compatible with operations on F. By Proposition 1, and the supremum on the right exists in poset P. Since all the cuts are symmetric, it is easy to see that E is symmetric as well. To prove transitivity, suppose that . It follows that and and hence . By the transitivity of , and .
To prove compatibility with an n-ary operation , suppose that . It follows that for all By the compatibility of cut , and hence . for every constant follows from the fact that for every . □
We can note that in case there are no constants in F, the previous theorem is valid without the request that the poset P possesses the top element 1.
Proposition 2.
Let be a P-algebra and let be a family of cuts of E. Then, for all such that if 0 exists in P,
Proof.
Let and suppose that . Since , we have and and hence and due to the separability, . □
Lemma 3.
Let be a P-algebra. Let u be a term in the language of the algebra , whose variables are among . Then, for all ,
Proof.
The proof uses the induction on the complexity of the term u. Let k be the number of operational symbols in the term u. For , u is a variable x and then the Equation (6) is trivially valid. If u is a term with one operational symbol f, then the Equation (6) is valid by (4).
Suppose that (6) is valid for all terms with less than k operational symbols and prove that it is true for a term with k operational symbols. Let and let be all variables that appear in term u. Now for every , for ,
hence also
Corollary 2.
Let be a P-algebra. Let u be a term in the language of the algebra , whose variables are among . Let . Then, for all ,
Theorem 6.
Let be a P-algebra. Then, the collection of cuts of E is a centralized system in the lattice of weak congruences of the basic algebra .
Proof.
Straightforward by Proposition 1. □
Example 1.
Let and let the binary operation over G be defined by . is clearly a groupoid. Let the poset P be the one in Figure 1, and let the P-valued equality on G be given in Table 1.
Figure 1.
Poset P.
Table 1.
P-valued relation E.
It is straightforward to check that E is symmetric and transitive. Moreover, the Formula (4) is obviously valid due to the simple definition of the operation *. In addition, the separability property is satisfied, since all the elements of the diagonal of E are strictly greater than the elements in the same row and column. Hence, is a P-algebra, i.e., a P-groupoid.
We can see that all the cuts of E are weak congruences on the groupoid , as follows:
, , ,
, ;
, ;
, .
The family of all cuts of E is a centralized system, which is easy to check.
Clearly, if P is a complete lattice, then the mentioned collection of cuts of E is a closure system in the weak congruence lattice of .
Let , shortly , be an identity in the language of the algebra , whose variables are among . Then, we say that the P-algebra satisfies this identity if for any
where .
As for the other properties, if P is a complete lattice, then the Formula (8) is equivalent to the lattice version.
It may happen that the basic algebra of a P-algebra fulfills an identity in the well-known ordinary way. Then, we have the following:
Proposition 3.
If the basic algebra satisfies an identity , then also the corresponding P-algebra fulfills this identity in the sense of (8).
Proof.
Since the algebra satisfies the identity, for all , . Hence, . By Corollary 2,
and hence
and P-algebra fulfills the identity . □
The converse of the claim in Proposition 3 is not satisfied in general, although it is true in some special cases as follows.
Let be a term operation in the language of algebra . It is said to be idempotent on if satisfies the identity .
Theorem 7.
A P-algebra satisfies an idempotent identity
if and only if this identity holds on the underlying algebra .
Proof.
Suppose that a P-algebra satisfies an idempotent identity i.e., for all . It follows that (since belongs to so it belongs also to ). Now, by the separability property for all . The other implication is true by Proposition 3. □
Observe that by Theorem 4 , for every , is a subalgebra of the underlying algebra , and is a congruence relation on . Therefore, for every , is a quotient structure over the subalgebra .
Theorem 8.
A P-algebra satisfies an identity in the sense of (8), if and only if for every the quotient subalgebra satisfies this identity in the classical way.
Proof.
Suppose that P-algebra satisfies an identity , where are all variables appearing in u and v. Then for any
where .
Let and let . We have that and hence for all
Therefore
and hence
Consequently, and . Then finally
So, the cut-quotient structures satisfy this identity in the classical way.
Conversely, suppose that for every , the quotient subalgebra of the given P-algebra satisfies this identity in the classical way, i.e., suppose that (11) holds for every . Then, for every p, we have and therefore □
Analogously as for classical algebras, a P-algebra satisfies a set of identities in the language of , if for each of this identities the Formula (8) holds.
Example 2.
Let be a three-element algebra, i.e., a three-element groupoid with a binary operation given in Table 2.
Table 2.
Operation ·.
Obviously, the operation in Table 2 is not commutative. Using the poset , represented by the diagram in Figure 2, we define a P-valued equality E, as given in Table 3.
Figure 2.
Poset P.
Table 3.
P-valued equality E.
Now, the P-algebra is a commutative P-groupoid, since the set-theoretic Formula (8), i.e.,
where and , is fulfilled.
E.g., since and similarly , the identity applied to a and c in the above formula, gives
The same holds for the other pairs of elements.
Equivalently, the P-algebra is a commutative P-groupoid by Theorem 8, since all the cut-quotient groupoids are commutative:
Recall that for (any) the cut is a weak congruence on , such that for , if . This cut-relation is actually a congruence on the subalgebra of , obtained as the cut of the diagonal of E: if Following these definitions, we obtain the quotient structures , given as the collections of classes:
; ; ; ; ; ; .
Each of the above quotient groupoids consists of one or two elements - classes and they are commutative.
Essential algebraic properties of P-algebras are related to the quotient structures of their cut-subalgebras over the cuts of the P-valued equality E. Let and be posets and let be an algebra. Suppose further that is a -valued algebra and a -valued algebra. We say that and are cut-equivalent if their collections of the mentioned quotient subalgebras over cuts of and coincide. This means that for every there is such that and vice versa.
Theorem 9.
Let be a P-algebra. Let also be the collection of cuts of E ordered dually to the set inclusion:
Define :
Then, is a -algebra and P-algebra and -algebra are cut-equivalent. In addition, every coincides with the corresponding cut, i.e., .
Proof.
is a set of some weak congruences of algebra (congruences on subalgebras) by Theorem 4. It is a poset by the relation opposite of inclusion. Since is a P-algebra, the following property is satisfied by Proposition 2: for elements , (if 0 exists in P),
In case there is no 0 in P or if there is but there is no such that , is a -set by Theorem 2.
Suppose that there is and such that . Then, for all . For such elements a, and all , since there are no other cuts of E containing . Similarly, we have that , so is separable.
Now, we prove that for . Let . This is equivalent to by the definition of a cut. This is further equivalent to since the order in is opposite to the inclusion. Further, we look at the definition of , and every belongs to , so we have . To prove the opposite, suppose that . By the definition of , and .
Finally, by Theorem 5 is a -algebra since it has the same cuts as . □
Theorem 9 shows that from the aspect of cut quotient structures; every P-algebra with a fixed basic algebra and an arbitrary co-domain poset P can be identified in the weak congruence lattice of by the suitable centralized system. Moreover, every centralized system of weak congruences of satisfying condition (13) always determines a P-algebra over the corresponding quotients, which follows from Theorems 2, 8 and 9:
Theorem 10.
Let be an algebra and a centralized system of weak congruences of , satisfying
Let further and let
Then is a P-algebra, such that for every , .
An identity in the language of holds in , if and only if each of the quotient algebras obtained by a weak congruence from on the corresponding subalgebra of satisfy this identity in the classical sense.
According to the above-defined cut-equivalence of P-algebras, we say that two cut-equivalent P-algebras over the same basic algebra are equal up to the cut-equivalence. Consequently, different P-algebras over the same basic algebra are those that are not cut-equivalent.
Based on the definitions and properties of poset-valued structures elaborated in this section, we obtain the following practical conclusion: If an algebra is given, then there are two main procedures to obtain a P-algebra .
The first is to have an algebra and also a poset and to construct a symmetric and transitive map , which is compatible with the operation in in the sense of (4). If we want to also fulfill the set of identities , then for each of these identities, the Formula (8) is assumed to hold. This procedure is a straightforward application of the definition of a P-algebra, including the Formula (8) related to identities if necessary.
This procedure is applied in the construction of the P-valued commutative groupoid in Example 2.
In order to explain the second procedure, we recall that P-algebras are characterized by the centralized collections of weak congruences, which form a subposet in the corresponding lattice. These weak congruences determine the quotient structures over subalgebras. Clearly, all these subalgebras and quotient structures are of the same type as the starting basic algebra. Now, in the second procedure for getting a P-algebra starting with the classical algebra , the poset is not given in advance. Instead, a centralized system —a subposet of the lattice of weak congruences on , ordered dually to inclusion—is chosen to be the poset P. consists of congruences on subalgebras of and consequently, the corresponding quotient (sub)algebras are determined. This construction of a P-algebra is based on Theorem 10. Accordingly, if satisfies some identities, then the quotient structures from should also satisfy the corresponding identities.
The second procedure is explained in the sequel on the same three-element groupoid from Example 2.
Example 3.
Let , and be as in Example 2.
The ∼-classes on the poset P, induced by the mapping E, are indicated on the diagram in Figure 3.
Figure 3.
Poset P with ∼-classes.
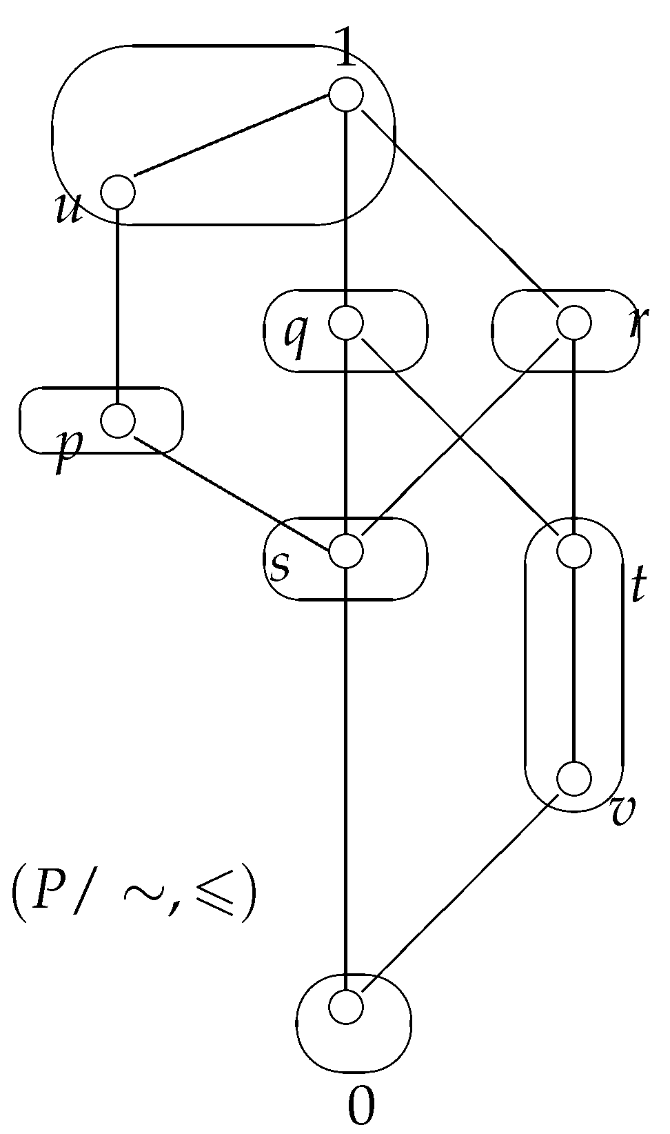
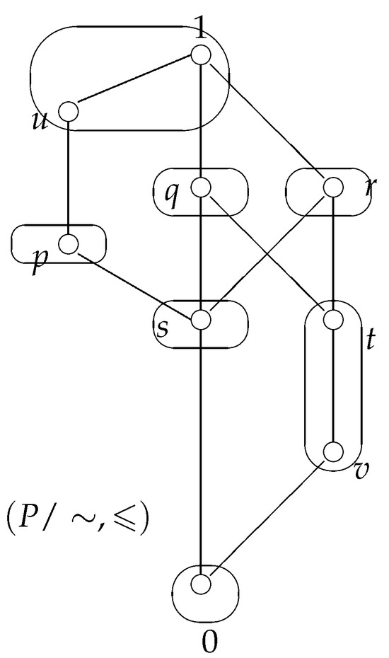
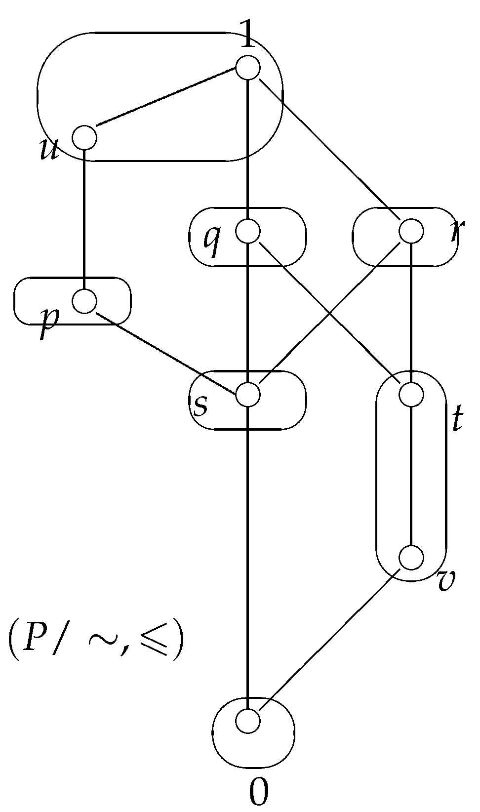
In Figure 4, there is the diagram of the weak congruence lattice of the above three-element algebra . The subposet consisting of the filled circles corresponds to the centralized system of weak congruences determined by the cuts of the P-valued equality E. When ordered dually to the set inclusion, this subposet is order-isomorphic to the poset of ∼-classes, indicated on the poset in Figure 3 and represented by the diagram in Figure 5.
Figure 4.
Weak congruence lattice .
Figure 5.
Poset of ∼-classes.
So, by the above-described procedures for constructing P-algebras, we should investigate the structure of the quotient subalgebras in the lattice of weak congruences of the starting basic algebra .
As already pointed out, if is a weak congruence on an algebra , i.e., if , then can be considered as a congruence on the subalgebra of , where . Therefore, instead of analyzing the set of quotient structures of the form , we use the collection of the corresponding weak congruences. They are relations which are in one-to-one correspondences to .
The above analysis shows that for a given algebra , whichever poset P is chosen and the generalized equality E obtained as a map from to P, the obtained P-algebra is cut-equivalent to the one constructed by the suitable centralized system of weak congruences of . In this case, the poset is dually order isomorphic with the corresponding centralized system. Therefore, when dealing with P-algebras, we do not necessarily fix the poset P, but only indicate that the given basic algebra is used for the construction of a poset-valued one by the construction via a centralized system of weak congruences.
4. Discussion and Conclusions
P-algebras, introduced here, are a generalization of classical algebras so that the ordinary equality in these algebras is replaced by the poset-valued function, where the poset P is chosen in advance. In order to check the validity of identities in the language of the starting (called basic) algebra, we use particular set-theoretic formulas. We have shown here that these new algebraic structures keep a close connection to classical algebras of the same type over the cut-quotient subalgebras. The canonical representation of these algebras that we define shows that information and properties obtained by using any poset as a co-domain of the generalized equality can be obtained by replacing the poset with a special subposet of the weak congruence lattice of the starting algebra.
As mentioned above, any class of P-algebras fulfilling known properties (e.g., identities) includes the classical algebras fulfilling the same properties as a subclass. Therefore, they are convenient for applications, particularly when the classical equality cannot be used (e.g., corrupted or missing data). Consequently, our further research in this field would be to investigate P-groups, P-moduls and P-vector-spaces and to apply them in solving linear equations and systems of these equations in the mentioned conditions. Another ample field of possible application of our newly introduced structure is analyzing relational data and also decision-making, where all the options are not linearly ordered.
As we already mentioned, this manuscript provides a generalization of some of the results on -algebras, where is a complete lattice [10,11]. Recently, more techniques have been developed to address similar applications. Regarding the approximate solving of linear equations, in paper [16], approximate systems of linear equations are solved using the fuzzy and interval finite element methods. Particular methods of finding minimal solutions of generalized fuzzy relational equations are discussed in [17]. Formal concept analysis, as one of the most popular methods based on lattice theory used to extract knowledge from relational data [18], has recently been further developed to accommodate special applications [19,20]. Finally, the decision algorithms within the framework of rough sets have been developed in [21].
Author Contributions
Conceptualization, B.Š.; Methodology, E.E.E. and A.T.; Validation, E.E.E.; Formal analysis, B.Š. and A.T.; Investigation, B.Š. and A.T.; Writing—original draft, A.T.; Writing—review & editing, E.E.E. and B.Š.; Supervision, B.Š. and A.T.; Project administration, A.T. All authors have read and agreed to the published version of the manuscript.
Funding
This research was supported by the Science Fund of the Republic of Serbia, # Grant no 6565, Advanced Techniques of Mathematical Aggregation and Approximative Equations Solving in Digital Operational Research, AT-MATADOR and by the Ministry of Science, Technological Development and Innovation of the Republic of Serbia through Mathematical Institute SANU, Belgrade and Faculty of Sciences, University of Novi Sad.
Data Availability Statement
Data are contained within the article.
Conflicts of Interest
The authors declare no conflicts of interest.
References
- Klir, G.J.; Yuan, B. Fuzzy Sets and Fuzzy Logic: Theory and Applications; Prentice Hall: Upper Saddle River, NJ, USA, 1995; p. xv, 574. [Google Scholar]
- Fourman, M.P.; Scott, D.S. Sheaves and logic. In Applications of Sheaves, Lecture Notes in Mathematics; Fourman, M.P., Mulvey, C.J., Scott, D.S., Eds.; Springer: Berlin/Heidelberg, Germany; New York, NY, USA, 1979; Volume 753, pp. 302–401. [Google Scholar]
- Höhle, U. Quotients with respect to similarity relations. Fuzzy Sets Syst. 1988, 27, 31–44. [Google Scholar] [CrossRef]
- Höhle, U. Fuzzy sets and sheaves. Part I: Basic concepts. Fuzzy Sets Syst. 2007, 158, 1143–1174. [Google Scholar] [CrossRef]
- Demirci, M. Foundations of fuzzy functions and vague algebra based on many-valued equivalence relations part I: Fuzzy functions and their applications. Int. J. Gen. Syst. 2003, 32, 123–155. [Google Scholar] [CrossRef]
- Demirci, M. Foundations of fuzzy functions and vague algebra based on many-valued equivalence relations, part II: Vague algebraic notions. Int. Gen. Syst. 2003, 32, 157–175. [Google Scholar] [CrossRef]
- Demirci, M. Foundations of fuzzy functions and vague algebra based on many-valued equivalence relations, part III: Constructions of vague algebraic notions and vague arithmetic operations. Int. Gen. Syst. 2003, 32, 177–201. [Google Scholar] [CrossRef]
- Bělohlávek, R. Fuzzy Relational Systems: Foundations and Principles; Kluwer Academic/Plenum Publishers: New York, NY, USA, 2002. [Google Scholar]
- Bělohlávek, R.; Vychodil, V. Algebras with fuzzy equalities. Fuzzy Sets Syst. 2006, 157, 161–201. [Google Scholar] [CrossRef]
- Šešelja, B.; Tepavčević, A. Ω-algebras. In Algebras and Lattice in Hawai’i; A Conference in Honor of Ralph Freese, William Lampe, and J.B. Nation; Department of Mathematics, University of Hawaii at Manoa: Honolulu, HI, USA, 2018; pp. 96–106. Available online: https://universalalgebra.github.io/ALH-2018/assets/ALH-2018-proceedings-6x9.pdf (accessed on 1 May 2024).
- Krapež, A.; Šešelja, B.; Tepavčević, A. Solving Linear Equations in Fuzzy Quasigroups. Inf. Sci. 2019, 491, 179–189. [Google Scholar] [CrossRef]
- Horvath, E.; Kwuida, L.; Šešelja, B.; Tepavčević, A. P-sets. Fuzzy Sets Syst. 2025, 503, 109244. [Google Scholar] [CrossRef]
- Birkhoff, G. Lattice Theory; AMS: Providence, RI, USA, 1967. [Google Scholar]
- Davey, B.A.; Priestley, H.A. Introduction to Lattices and Order; Cambridge University Press: Cambridge, UK, 1992. [Google Scholar]
- Šeselja, B.; Tepavčević, A. On a construction of codes by P-fuzzy sets. Novi Sad J. Math. 1990, 20, 71–80. [Google Scholar]
- Behera, D.; Chakraverty, S. Solving the nondeterministic static governing equations of structures subjected to various forces under fuzzy and interval uncertainty. Int. J. Approx. Reason. 2020, 116, 43–61. [Google Scholar] [CrossRef]
- Medina, J. Minimal solutions of generalized fuzzy relational equations: Clarifications and corrections towards a more flexible setting. Int. J. Approx. Reason. 2017, 84, 33–38. [Google Scholar] [CrossRef]
- Ganter, B.; Wille, R. Formal Concept Analysis: Mathematical Foundation; Springer: New York, NY, USA, 1999. [Google Scholar]
- Kridlo, O.; Lopez-Rodriguez, D.; Antoni, L.; Elias, P.; Krajci, S.; Ojeda-Aciego, M. Connecting concept lattices with bonds induced by external information. Inf. Sci. 2023, 648, 119498. [Google Scholar] [CrossRef]
- Aragón, R.G.; Medina, J.; Ramírez-Poussa, E. Factorizing formal contexts from closures of necessity operators. Comput. Appl. Math. 2024, 43, 124. [Google Scholar] [CrossRef]
- Chacon-Gomez, F.; Cornejo, M.E.; Medina, J.; Ramírez-Poussa, E. Rough set decision algorithms for modeling with uncertainty. J. Comput. Appl. Math. 2024, 437, 115413. [Google Scholar] [CrossRef]
Disclaimer/Publisher’s Note: The statements, opinions and data contained in all publications are solely those of the individual author(s) and contributor(s) and not of MDPI and/or the editor(s). MDPI and/or the editor(s) disclaim responsibility for any injury to people or property resulting from any ideas, methods, instructions or products referred to in the content. |
© 2025 by the authors. Licensee MDPI, Basel, Switzerland. This article is an open access article distributed under the terms and conditions of the Creative Commons Attribution (CC BY) license (https://creativecommons.org/licenses/by/4.0/).




