Unconventional Gas Geochemistry—An Emerging Concept after 20 Years of Shale Gas Development?
Abstract
:1. Introduction
2. Materials and Methods
3. Results
3.1. The δ13C of Ethane and the Δ13CC1-C2 Versus the C2/C3 Ratio
3.1.1. The Barnett Shale and the Fayetteville Shale
3.1.2. The Lorraine Shale
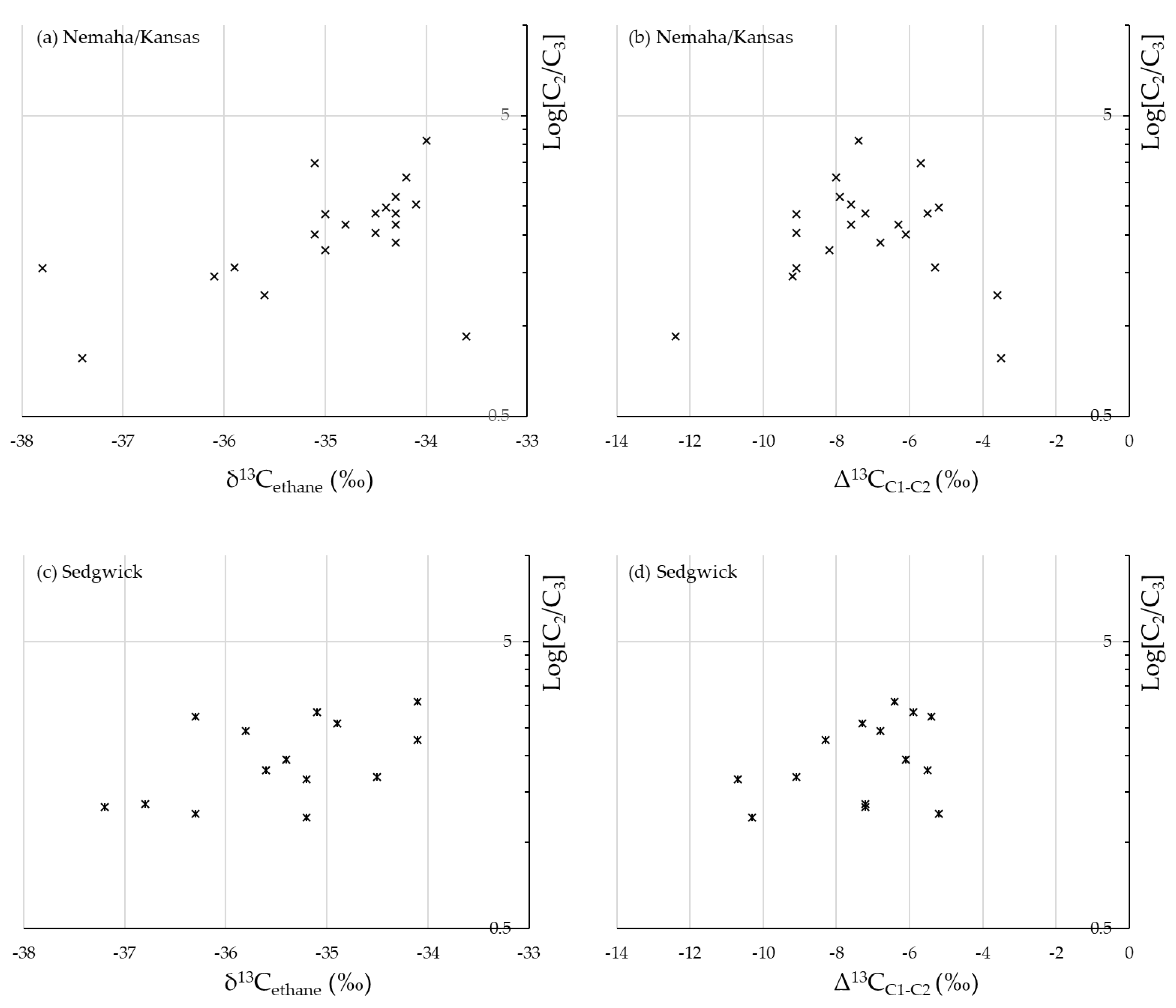
3.1.3. Nemaha/Kansas Uplift and Sedgwick Basin
3.2. Devonian Duvernay Formation—Well SCL HZ KAYBOB 4-16-64-20
4. Discussion
4.1. Implications on Isotope Equilibrium
4.2. Devonian Duvernay Formation—Well SCL HZ KAYBOB 4-16-64-20
5. Conclusions
6. Future Work
Supplementary Materials
Funding
Data Availability Statement
Acknowledgments
Conflicts of Interest
References
- Steward, B.W.; Capo, R.C.; Kirby, C.S. Geochemistry of unconventional shale gas from formation to extraction: Petrogenesis, hydraulic fracturing, and environmental impacts. Appl. Geochem. 2015, 60, 1–2. [Google Scholar] [CrossRef]
- Wang, X. Lacustrine Shale Gas: Case Study from the Ordos Basin; Elsevier Inc.: Oxford, UK, 2017; p. 358. [Google Scholar]
- Euzen, T.; Watson, N.; Chatellier, J.-Y.; Mort, A.; Mangenot, X. Petroleum System Analysis Using Unconventional Gas Geochemistry: Examples from the Montney Play of Western Canada. URTeC 2019, 649, 15. [Google Scholar]
- Burrus, R.C.; Laughrey, C.D. Carbon and hydrogen isotopic reversals in deep basin gas: Evidence for limits to the stability of hydrocarbons. Org. Geochem. 2010, 41, 1285–1296. [Google Scholar] [CrossRef]
- Zumberge, J.; Ferworn, K.; Brown, S. Isotopic reversal (‘rollover’) in shale gases produced from the Mississippian Barnett and Fayetteville formations. Mar. Petrol. Geol. 2012, 31, 43–52. [Google Scholar] [CrossRef]
- Xia, X.; Gao, Y. Depletion of 13C in residual ethane and propane during thermal decomposition in sedimentary basins. Org. Geochem. 2018, 125, 121–128. [Google Scholar] [CrossRef]
- Milkov, A.V.; Faiz, M.; Etiope, G. Geochemistry of shale gases from around the world: Composition, origins, isotope reversals and rollovers, and implications for the exploration of shale plays. Org. Geochem. 2020, 143, 103997. [Google Scholar] [CrossRef]
- Cheng, B.; Xu, J.; Deng, Q.; Liao, Z.; Wang, Y.; Faboya, O.L.; Li, S.; Liu, J.; Peng, P. Methane cracking within shale rocks: A new explanation for carbon isotope reversal of shale gas. Mar. Petrol. Geol. 2020, 121, 104591. [Google Scholar] [CrossRef]
- Fuex, A.N. The use of stable carbon isotopes in hydrocarbon exploration. J. Geochem. Explor. 1977, 7, 155–188. [Google Scholar] [CrossRef]
- Cramer, B.; Faber, E.; Gerling, P.; Krooss, B.M. Reaction kinetics of stable carbon isotopes in natural gas—insights from dry, open system pyrolysis experiments. Energy Fuels 2001, 15, 517–532. [Google Scholar] [CrossRef]
- Gaschnitz, R.; Krooss, B.M.; Gerling, P.; Faber, E.; Littke, R. On-line pyrolysis-GC-IRMS: Isotope fractionation of thermally generated gases from coals. Fuel 2001, 80, 2139–2153. [Google Scholar] [CrossRef]
- Cesar, J.; Nightingale, M.; Becker, V.; Mayer, B. Stable carbon isotope systematics of methane, ethane and propane from low-permeability hydrocarbon reservoirs. Chem. Geol. 2020, 558, 119907. [Google Scholar] [CrossRef]
- Thiagarajan, N.; Xie, H.; Ponton, C.; Kitchen, N.; Peterson, B.; Lawson, M.; Formolo, M.; Xiao, Y.; Eiler, J. Isotopic evidence for quasi-equilibrium chemistry in thermally mature natural gases. Proc. Natl. Acad. Sci. USA 2020, 117, 3989–3995. [Google Scholar] [CrossRef] [PubMed]
- Xie, H.; Dong, G.; Formolo, M.; Lawson, M.; Liu, J.; Cong, F.; Mangenot, X.; Shuai, Y.; Ponton, C.; Eiler, J. The evolution of intra- and inter-molecular isotope equilibria in natural gases with thermal maturation. Geochim. Cosmochim. Acta 2021, 307, 22–41. [Google Scholar] [CrossRef]
- Li, X.; Horita, J. Kinetic and equilibrium reactions on natural and laboratory generation of thermogenic gases from Type II marine shale. Geochim. Cosmochim. Acta 2022, in press. [CrossRef]
- Mango, F.D.; Jarvie, D.M.; Herriman, E. Natural gas at thermodynamic equilibrium implications for the origin of natural gas. Geochem. Trans. 2009, 10, 6. [Google Scholar] [CrossRef] [PubMed]
- Cesar, J.; Mayer, B.; Deblonde, C.; Mort, A.; Ardakani, O.H. Alternative indicators to assess the distribution characteristics of methane, ethane, and propane derived from petroleum in the Montney Formation, Western Canada. Fuel 2021, 294, 120524. [Google Scholar] [CrossRef]
- Heroux, Y.; Bertrand, R. Maturation thermique de la matière organique dans un bassin du Paléozoïque inférieur, basses-terres du Saint Laurent, Québec, Canada. Can. J. Earth Sci. 1991, 28, 1019–1030. [Google Scholar] [CrossRef]
- Chatellier, J.-Y.; Ferworn, K.; Lazreg Larsen, N.; Ko, S.; Flek, P.; Molgat, M.; Anderson, I. Overpressure in shale gas: When geochemistry and reservoir engineering data meet and agree. In Critical Assessment of Shale Resource Plays; Chatellier, J.-Y., Jarvie, D., Eds.; American Association of Petroleum Geologists: Tulsa, OK, USA, 2013; Volume 103, pp. 45–69. [Google Scholar]
- Jenden, P.D.; Newell, K.D.; Kaplan, I.R.; Watney, W.L. Composition and stable isotope geochemistry of natural gases from Kansas, Midcontinent, USA. Chem. Geol. 1988, 71, 117–147. [Google Scholar] [CrossRef]
- Hill, T. Potential source rocks in the Western Kansas Petroleum Province. Master’s thesis, Kansas State University, Manhattan, KS, USA, 2011. [Google Scholar]
- Drake, R.M.; Hatch, J.R. Geologic Assessment of Undiscovered Oil and Gas Resources in the Cherokee Platform Province Area of Kansas, Oklahoma, and Missouri. National and Global Petroleum Resources Assessment Project. US Geol. Surv. Sci. Investig. Rep. 2021, 2020–5110, 39. [Google Scholar]
- Prinzhofer, A.; Huc, A.Y. Genetic and post-genetic molecular and isotopic fractionations in natural gases. Chem. Geol. 1995, 126, 281–290. [Google Scholar] [CrossRef]
- Taylor, S.W.; Sherwood Lollar, B.; Wassenaar, L.I. Bacteriogenic ethane near surface aquifers: Implications for leaking hydrocarbon well bores. Environ. Sci. Technol. 2000, 34, 4727–4732. [Google Scholar] [CrossRef]
- Cesar, J.; Mayer, B.; Humez, P. A novel isotopic approach to distinguish primary microbial and thermogenic gases in shallow subsurface environments. Appl. Geochem. 2021, 105048. [Google Scholar] [CrossRef]
- Euzen, T.; Watson, N.; Fowler, M.; Mort, A.; Moslow, T.F. Petroleum distribution in the Montney hybrid play: Source, carrier bed and structural controls. Am. Assoc. Pet. Geol. Bull. 2021, 105, 1867–1892. [Google Scholar] [CrossRef]
- Speight, J. Shale Gas Production Processes; Elsevier Inc.: Amsterdam, The Netherlands, 2013; 170p. [Google Scholar]
- Ratchford, M.E.; Bridges, L.C.; Jordan, D.; Dow, W.G.; Colbert, A.; Jarvie, D.M. Organic geochemistry and thermal maturation analysis within the Fayetteville Shale study area—Eastern Arkoma Basin and Mississippi Embayment regions, Arkansas. Ark. Geol. Comm. Inf. Circ. 2006, 37, 12. [Google Scholar]
- Lavoie, D.; Ardakani, O.H.; Rivard, C. Synthesis of Organic Matter Composition and Maturation and Gas Data from Selected Deep Source Rock Units for Some Wells in the Fox Creek Area. Geological Survey of Canada Open File Report 8788, 96. Available online: https://geoscan.nrcan.gc.ca/starweb/geoscan/servlet.starweb?path=geoscan/fulle.web&search1=R=328238 (accessed on 16 August 2022).
- Clayton, C. Carbon isotope fractionation during natural gas generation from kerogen. Mar. Petrol. Geol. 1991, 8, 232–240. [Google Scholar] [CrossRef]
- Xia, X.; Chen, J.; Braun, R.; Tang, Y. Isotopic reversals with respect to maturity trends due to mixing of primary and secondary products in source rocks. Chem. Geol. 2012, 339, 205–212. [Google Scholar] [CrossRef]
- Liu, Q.; Wu, X.; Wang, X.; Jin, Z.; Zhu, D.; Meng, Q.; Huang, S.; Liu, J.; Fu, Q. Carbon and hydrogen isotopes of methane, ethane, and propane: A review of genetic identification of natural gas. Earth-Sci. Rev. 2019, 190, 246–272. [Google Scholar] [CrossRef]
- Xia, X.; Gao, Y. Kinetic clumped isotope fractionation during the thermal generation and hydrogen exchange of methane. Geochim. Cosmochim. Acta 2019, 248, 252–273. [Google Scholar] [CrossRef]
- Lorant, F.; Prinzhofer, A.; Behar, F.; Huc, A.-Y. Carbon isotopic and molecular constraints on the formation and the expulsion of thermogenic hydrocarbon gases. Chem. Geol. 1998, 147, 249–264. [Google Scholar] [CrossRef]
- James, A.T. Correlation of natural gas by use of carbon isotopic distribution between hydrocarbon components. Am. Assoc. Pet. Geol. Bull. 1983, 67, 1176–1191. [Google Scholar]
- Berner, U.; Faber, E. Maturity related mixing model for methane, ethane and propane, based on carbon isotopes. Adv. Org. Geochem. 1988, 13, 67–72. [Google Scholar] [CrossRef]
- Berner, U.; Faber, E. Empirical carbon isotope/maturity relationships for gases from algal kerogens and terrigenous organic matter, based on dry, open-system pyrolysis. Org. Geochem. 1996, 24, 947–955. [Google Scholar] [CrossRef]
- Schoell, M. Genetic characterization of natural gases. Am. Assoc. Pet. Geol. Bull. 1983, 67, 2225–2238. [Google Scholar]
- Abrams, M.A. Evaluation of near-surface gases in marine sediments to assess subsurface petroleum gas generation and entrapment. Geosciences 2017, 7, 35. [Google Scholar] [CrossRef]
- Hayes, J.M. Fractionation of the isotopes of carbon and hydrogen in biosynthetic processes. In Stable Isotope Geochemistry. Reviews in Mineralogy and Geochemistry; Valley, J.W., Cole, D.R., Eds.; Mineralogical Society of America: Washington, DC, USA, 2001; Volume 43, pp. 225–277. [Google Scholar]
- Hayes, J.M. Factors controlling 13C contents of sedimentary organic compounds: Principles and evidence. Mar. Geol. 1993, 113, 111–125. [Google Scholar] [CrossRef]
- Galimov, E.M. Isotope organic geochemistry. Org. Geochem. 2006, 37, 1200–1262. [Google Scholar] [CrossRef]





| Reservoir (Age) | Hydrocarbon Source | Maturity | Reference | |
|---|---|---|---|---|
| Barnett Shale (Mississippian) | Self-sourced | 1–2%Ro | [5] | |
| Fayetteville Shale (Mississippian) | Self-sourced | 2–3%Ro | [5] | |
| Lorraine Shale (Ordovician) | Self-sourced | 0.6–2%Ro | [18,19] | |
| N | Nemaha/Kansas * (Carboniferous) | Woodford Shale | 1–1.4%Ro | [20,21,22] |
| Sedgwick Basin * (Carboniferous) | Woodford Shale, Chattanooga Shale | 0.7%Ro | [20,21,22] |
Publisher’s Note: MDPI stays neutral with regard to jurisdictional claims in published maps and institutional affiliations. |
© 2022 by the author. Licensee MDPI, Basel, Switzerland. This article is an open access article distributed under the terms and conditions of the Creative Commons Attribution (CC BY) license (https://creativecommons.org/licenses/by/4.0/).
Share and Cite
Cesar, J. Unconventional Gas Geochemistry—An Emerging Concept after 20 Years of Shale Gas Development? Minerals 2022, 12, 1188. https://doi.org/10.3390/min12101188
Cesar J. Unconventional Gas Geochemistry—An Emerging Concept after 20 Years of Shale Gas Development? Minerals. 2022; 12(10):1188. https://doi.org/10.3390/min12101188
Chicago/Turabian StyleCesar, Jaime. 2022. "Unconventional Gas Geochemistry—An Emerging Concept after 20 Years of Shale Gas Development?" Minerals 12, no. 10: 1188. https://doi.org/10.3390/min12101188
APA StyleCesar, J. (2022). Unconventional Gas Geochemistry—An Emerging Concept after 20 Years of Shale Gas Development? Minerals, 12(10), 1188. https://doi.org/10.3390/min12101188
