Human Health Risk Assessment and Safety Threshold of Harmful Trace Elements in the Soil Environment of the Wulantuga Open-Cast Coal Mine
Abstract
:1. Introduction
2. Experimental Section
2.1. Sample Collection


2.2. Sample Handling and Detection
2.3. Health Risk Assessment Methods
2.3.1. Exposure Assessment
| Exposure Routes | Instruction | Formula for Calculation of Exposure Dose | Equation Number |
|---|---|---|---|
| Inhalation of particles | Carcinogenic risk | (1) | |
| Non-carcinogenic risk | (2) | ||
| Skin contact | Carcinogenic risk | (3) | |
| Non-carcinogenic risk | (4) | ||
| Ingestion of soil particles | Carcinogenic risk | (5) | |
| Non-carcinogenic risk | (6) |
2.3.2. Toxicological Evaluation
| Parameter | Implication | Value | Unit |
|---|---|---|---|
| OSIRa | Intake amount of soil per day | 100.00 | mg·day−1 |
| EDa | Exposure time | 25.00 | a |
| EFa | Exposure rate | 250.00 | day·a−1 |
| BWa | Weight of an adult | 56.80 | kg |
| ABS0 | Absorption efficiency factor of inhaled particles | 26,280.00 | - |
| ATca | Average carcinogenic effect time | 26,280.00 | day |
| ATnc | Average non-carcinogenic effect time | 91,280.00 | day |
| SAEa | Exposed skin area | 2854.62 | cm2 |
| SSARa | Soil adhesion coefficient of skin surface | 0.20 | mg·cm−2 |
| ABSd | Absorption efficiency factor of skin contact | 0.03 | - |
| EV | Frequency of skin contact per day | 1.00 | time·day−1 |
| PM10 | Concentration of inhalable suspended particulate matter | 0.15 | m3·day−1 |
| DAIRa | Air intake per day | 14.50 | m3·day−1 |
| PIAF | Retention ratio of inhalable soil particles in vivo | 0.75 | - |
| fspi | Proportion of soil particles in indoor air | 0.80 | - |
| fspo | Proportion of soil particles in outdoor air | 0.50 | - |
| EFIa | Indoor exposure frequency | 187.50 | day·a−1 |
| EFOa | Outdoor exposure frequency | 62.50 | day·a−1 |
| Csur | Concentration of pollutants in the surface soil | Table 6 | mg·kg−1 |
| SF0 | Oral intake slope factor of carcinogenic element | 1.50 | (mg/kg·day)−1 |
| SFd | Skin contact slope factor of carcinogenic element | 1.00 | (mg/kg·day)−1 |
| SFi | Breathing slope factor of carcinogenic element | 4.30 | (mg/kg·day)−1 |
| SAF | Reference dose distribution coefficient of soil exposure | 0.20 | - |
| RfD0 | Reference dose for ingestion | 3.00 × 10−4 | mg·kg−1·day−1 |
| RfDd | Reference dose for skin contact | 3.00 × 10−4 | mg·kg−1·day−1 |
| RfDi | Reference dose for inhalation | 3.83 × 10−6 | mg·kg−1·day‑1 |
| Exposure Routes | Instruction | Cancer Risk or Hazard Quotient Calculating Formulas | Equation Number |
|---|---|---|---|
| Inhalation of particles | Carcinogenic risk | (7) | |
| Hazard quotient | (8) | ||
| Skin contact | Carcinogenic risk | (9) | |
| Hazard quotient | (10) | ||
| Ingestion of soil particles | Carcinogenic risk | (11) | |
| Hazard quotient | (12) |
2.3.3. Calculation of Control Values
| Exposure Routes | Instruction | Safety Threshold Formulas | Equation Number |
|---|---|---|---|
| Inhalation of particles | Carcinogenic risk | (13) | |
| Hazard quotient | (14) | ||
| Skin contact | Carcinogenic risk | (15) | |
| Hazard quotient | (16) | ||
| Ingestion of soil particles | Carcinogenic risk | (17) | |
| Hazard quotient | (18) |
3. Results and Discussion
3.1. Harmful Trace Elements’ Concentrations and Exposure Levels
| Sampling Site | Percentage of Each Size (%) | ||
|---|---|---|---|
| <0.002 mm | 0.02–0.002 mm | 2–0.02 mm | |
| Grassland | 2.00 | 12.29 | 85.70 |
| 10 m to the edge of the mine | 5.64 | 45.76 | 48.58 |
| 200 m to the edge of the mine | 2.74 | 20.91 | 76.33 |
| First layer | 0.49 | 4.03 | 95.47 |
| Second layer | 1.15 | 10.15 | 88.68 |
| Third layer | 0.38 | 4.46 | 95.15 |
| Fourth layer | 1.32 | 8.56 | 90.11 |
| Fifth layer | 1.48 | 10.80 | 87.70 |
| Sixth layer | 0.97 | 6.94 | 92.07 |
| Seventh layer | 0.87 | 8.60 | 90.52 |
| Eighth layer | 1.09 | 8.11 | 90.79 |
| Ninth layer | 1.72 | 11.31 | 86.95 |
| Tenth layer | 0.52 | 7.04 | 92.43 |
| Eleventh layer | 0.92 | 7.38 | 91.69 |
| Description | Sampling Site | Concentration of As (mg/kg) | Inhalation of Particles | Skin Contact | Ingestion of Soil Particles | |||
|---|---|---|---|---|---|---|---|---|
| CR | HQ | CR | HQ | CR | HQ | |||
| Background soil | Grassland | 12.63 | 7.93 × 10−6 | 2.60 × 10−1 | 1.36 × 10−6 | 4.00 × 10−2 | 1.05 × 10−6 | 2.40 × 10−1 |
| Mine side soil | 10 m to the edge of the mine | 66.10 | 4.15 × 10−5 | 1.34 | 7.14 × 10−6 | 2.30 × 10−1 | 5.51 × 10−6 | 1.24 |
| 200 m to the edge of the mine | 97.23 | 6.11 × 10−5 | 1.96 | 1.05 × 10−5 | 3.30 × 10−1 | 8.11 × 10−6 | 1.81 | |
| Section soil | First layer | 13.67 | 8.59 × 10−6 | 2.80 × 10−1 | 1.48 × 10−6 | 5.00 × 10−2 | 1.14 × 10−6 | 2.60 × 10−1 |
| Second layer | 10.56 | 6.63 × 10−6 | 2.20 × 10−1 | 1.14 × 10−6 | 4.00 × 10−2 | 8.81 × 10−7 | 2.00 × 10−1 | |
| Third layer | 7.67 | 4.82 × 10−6 | 1.60 × 10−1 | 8.29 × 10−7 | 3.00 × 10−2 | 6.40 × 10−7 | 1.40 × 10−1 | |
| Fourth layer | 47.97 | 3.01 × 10−5 | 9.70 × 10−1 | 5.18 × 10−6 | 1.60 × 10−1 | 4.00 × 10−6 | 9.00 × 10−1 | |
| Fifth layer | 107.07 | 6.72 × 10−5 | 2.16 | 1.16 × 10−5 | 3.70 × 10−1 | 8.93 × 10−6 | 2.00 | |
| Sixth layer | 47.45 | 2.98 × 10−5 | 9.60 × 10−1 | 5.12 × 10−6 | 1.60 × 10−1 | 3.96 × 10−6 | 8.90 × 10−1 | |
| Seventh layer | 11.39 | 7.15 × 10−6 | 2.30 × 10−1 | 1.23 × 10−6 | 4.00 × 10−2 | 9.50 × 10−7 | 2.10 × 10−1 | |
| Eighth layer | 32.94 | 2.07 × 10−5 | 6.70 × 10−1 | 3.56 × 10−6 | 1.10 × 10−1 | 2.75 × 10−6 | 6.20 × 10−1 | |
| Ninth layer | 20.71 | 1.30 × 10−5 | 4.20 × 10−1 | 2.24 × 10−6 | 7.00 × 10−2 | 1.73 × 10−6 | 3.90 × 10−1 | |
| Tenth layer | 14.21 | 8.92 × 10−6 | 2.90 × 10−1 | 1.54 × 10−6 | 5.00 × 10−2 | 1.19 × 10−6 | 2.70 × 10−1 | |
| Eleventh layer | 25.92 | 1.63 × 10−5 | 5.20 × 10−1 | 2.80 × 10−6 | 9.00 × 10−2 | 2.16 × 10−6 | 4.80 × 10−1 | |
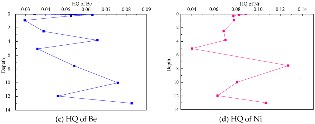
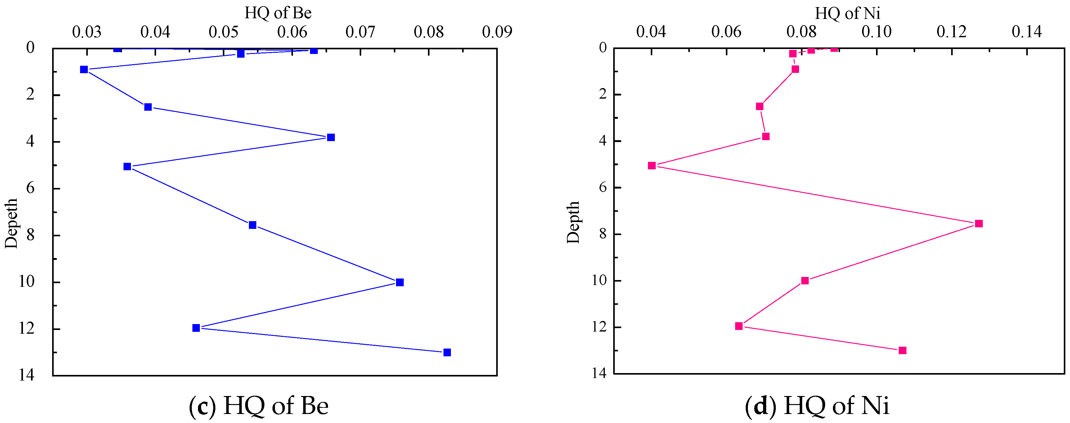
| Sample Description | Sampling Site | Concentration (mg/kg) | HQ of Inhalation of Particles | HQ of Skin Contact | HQ of Ingestion of Soil Particles | ||||||
|---|---|---|---|---|---|---|---|---|---|---|---|
| Cd | Be | Ni | Cd | Be | Ni | Cd | Cd | Be | Ni | ||
| Background soil | Grassland | 0.73 | 2.02 | 25.92 | 4.44 × 10−3 | 6.11 × 10−3 | 7.85 × 10−3 | 7.34 × 10−1 | 2.06 × 10−2 | 2.83 × 10−2 | 8.08 × 10−2 |
| Mine side soil | 10 m to the edge of the mine | 0.40 | 3.71 | 24.13 | 2.42 × 10−3 | 1.12 × 10−2 | 7.31 × 10−3 | 4.00 × 10−1 | 1.12 × 10−2 | 5.20 × 10−2 | 7.52 × 10−2 |
| 200 m to the edge of the mine | 0.38 | 3.08 | 22.71 | 2.32 × 10−3 | 9.32 × 10−3 | 6.88 × 10−3 | 3.83 × 10−1 | 1.07 × 10−2 | 4.32 × 10−2 | 7.08 × 10−2 | |
| Section soil | First layer | 0.43 | 1.73 | 22.92 | 2.61 × 10−3 | 5.25 × 10−3 | 6.94 × 10−3 | 4.31 × 10−1 | 1.21 × 10−2 | 2.43 × 10−2 | 7.14 × 10−2 |
| Second layer | 0.51 | 2.28 | 20.11 | 3.08 × 10−3 | 6.92 × 10−3 | 6.09 × 10−3 | 5.09 × 10−1 | 1.42 × 10−2 | 3.20 × 10−2 | 6.27 × 10−2 | |
| Third layer | 0.33 | 3.85 | 20.61 | 1.98 × 10−3 | 1.17 × 10−2 | 6.25 × 10−3 | 3.28 × 10−1 | 9.18 × 10−3 | 5.40 × 10−2 | 6.42 × 10−2 | |
| Fourth layer | 0.70 | 2.10 | 11.75 | 4.21 × 10−3 | 6.38 × 10−3 | 3.56 × 10−3 | 6.96 × 10−1 | 1.95 × 10−2 | 2.95 × 10−2 | 3.66 × 10−2 | |
| Fifth layer | 0.54 | 3.18 | 37.09 | 3.30 × 10−3 | 9.63 × 10−3 | 1.12 × 10−2 | 5.45 × 10−1 | 1.53 × 10−2 | 4.46 × 10−2 | 1.16 × 10−1 | |
| Sixth layer | 0.32 | 4.44 | 23.65 | 1.92 × 10−3 | 1.35 × 10−2 | 7.17 × 10−3 | 3.17 × 10−1 | 8.87 × 10−3 | 6.23 × 10−2 | 7.37 × 10−2 | |
| Seventh layer | 0.27 | 2.70 | 18.52 | 1.61 × 10−3 | 8.17 × 10−3 | 5.61 × 10−3 | 2.66 × 10−1 | 7.46 × 10−3 | 3.78 × 10−2 | 5.77 × 10−2 | |
| Eighth layer | 0.41 | 4.85 | 31.26 | 2.48 × 10−3 | 1.47 × 10−2 | 9.47 × 10−3 | 4.11 × 10−1 | 1.15 × 10−2 | 6.80 × 10−2 | 9.74 × 10−2 | |
| Ninth layer | 0.45 | 2.50 | 18.55 | 2.75 × 10−3 | 7.58 × 10−3 | 5.62 × 10−3 | 4.54 × 10−1 | 1.27 × 10−2 | 3.51 × 10−2 | 5.78 × 10−2 | |
| Tenth layer | 0.49 | 2.04 | 26.27 | 2.94 × 10−3 | 6.19 × 10−3 | 7.96 × 10−3 | 4.86 × 10−1 | 1.36 × 10−2 | 2.87 × 10−2 | 8.19 × 10−2 | |
| Eleventh layer | 0.35 | 3.19 | 28.45 | 2.15 × 10−3 | 9.65 × 10−3 | 8.62 × 10−3 | 3.55 × 10−1 | 9.93 × 10−3 | 4.47 × 10−2 | 8.87 × 10−2 | |
3.2. Health Risk Assessment
3.2.1. Carcinogenic Risk

3.2.2. Hazard Quotient


3.2.3. Contribution of Different Exposure Pathways

3.3. Safety Threshold Identification
| Exposure Route | Type of Risk | Control Value (mg/kg) |
|---|---|---|
| Inhalation of particles | carcinogenic | 1.59 |
| Skin contact | carcinogenic | 9.26 |
| Ingestion of soil particles | carcinogenic | 11.99 |
| Inhalation of particles | non-carcinogenic | 49.50 |
| Ingestion of soil particles | non-carcinogenic | 55.55 |
4. Conclusions
Acknowledgments
Author Contributions
Conflicts of Interest
References
- Longwell, J.P.; Rubin, E.S.; Wilson, J. Coal: Energy for the future. Prog. Energy Combust. Sci. 1995, 21, 269–360. [Google Scholar] [CrossRef]
- Qi, H.W.; Hu, R.Z.; Zhang, Q. Concentration and distribution of trace elements in lignite from the Shengli Coalfield, Inner Mongolia, China: Implications on origin of the associated Wulantuga Germanium Deposit. Int. J. Coal Geol. 2007, 71, 129–152. [Google Scholar] [CrossRef]
- Dai, S.F.; Seredin, V.V.; Ward, C.R.; Jiang, J.H.; Hower, J.C.; Song, X.L.; Jiang, Y.F.; Wang, X.B.; Gornostaeva, T.; Li, X.; et al. Composition and modes of occurrence of minerals and elements in coal combustion products derived from high-Ge coals. Int. J. Coal Geol. 2013, 121, 79–97. [Google Scholar] [CrossRef]
- Chen, J.; Chen, P.; Liu, W.Z. The occurrences and environmental effects of 12 kinds of trace elements in Huainan coal-mining area. Coal Geol. Explor. 2009, 37, 47–52. (In Chinese) [Google Scholar]
- Huggins, F.E.; Huffman, G.P. Modes of occurrence of trace elements in coal from XAFS spectroscopy. Int. J. Coal Geol. 1996, 32, 31–53. [Google Scholar] [CrossRef]
- Finkelman, R.B. Modes of occurrence of environmentally-sensitive trace elements in coal. Environ. Asp. Trace Elem. Coal Springer Neth. 1995, 2, 24–50. [Google Scholar]
- Ren, D.Y.; Zhao, F.H.; Wang, Y.Q.; Yang, S.J. Distributions of minor and trace elements in Chinese coals. Int. J. Coal Geol. 1999, 40, 109–118. [Google Scholar] [CrossRef]
- Ren, D.Y.; Xu, D.W.; Zhao, F.H. A preliminary study on the enrichment mechanism and occurrence of hazardous trace elements in the Tertiary lignite from the Shenbei coalfield, China. Int. J. Coal Geol. 2004, 57, 187–196. [Google Scholar] [CrossRef]
- Dai, S.F.; Li, T.; Seredin, V.V.; Ward, C.R.; Hower, J.C.; Zhou, Y.P.; Zhang, M.Q.; Song, X.L.; Song, W.J.; Zhao, C.L. Origin of minerals and elements in the Late Permian coals, tonsteins, and host rocks of the Xinde mine, Xuanwei, eastern Yunnan, China. Int. J. Coal Geol. 2014, 121, 53–78. [Google Scholar] [CrossRef]
- Wang, J.N.; Liu, Z.X.; Rong, L.I.; Qiang, L.I.; Deng, Y.F. Analysis of element content and discussion on migration of coal and flyash in coal-fired power plant. J. Henan Univ. Urban Constr. 2014, 23, 27–31. [Google Scholar]
- Matés, J.M.; Segura, J.A.; Alonso, F.J.; Márquez, J. Roles of dioxins and heavy metals in cancer and neurological diseases using ROS-mediated mechanisms. Free Radic. Biol. Med. 2010, 49, 1328–1341. [Google Scholar] [CrossRef] [PubMed]
- Soil Screening Guidance: Technical Background Document. Available online: http://www2.epa.gov/superfund/soil-screening-guidance-technical-background-document (accessed on 12 November 2015).
- Environmental Quality Standard for Soils (Amendment). Available online: http://kjs.mep.gov.cn/hjbhbz/bzwb/trhj/trhjzlbz/199603/W020070313485587994018.pdf (accessed on 12 November 2015).
- Johnson, B.B.; Slovic, P. Presenting uncertainty in health risk assessment: Initial studies of its effects on risk perception and trust. Risk Anal. Off. Publ. Soc. Risk Anal. 1995, 15, 485–494. [Google Scholar] [CrossRef]
- Fei, C. Health Risk assessment of Heavy Metals in Multimedia Environment in Shen-Fu Irrigation Area in Liaoning Province; Chinese Research Academy of Environmental Sciences: Beijing, China, 2009. [Google Scholar]
- Chen, M.F.; Luo, Y.M.; Song, J.; Li, C.P.; Wu, C.F.; Luo, F.; Wei, J. Theory and commonly used models for the derivation of soil generic assessment criteria for contaminated sites. Adm. Techn. Environ. Monit. 2011, 23, 19–25. [Google Scholar]
- Juhasz, A.L.; Smith, E.; Weber, J.; Rees, M.; Rofe, A.; Kuchel, T.; Sansom, L.; Naidu, R. In vivo assessment of arsenic bioavailability in rice and its significance for human health risk assessment. Environ. Health Perspect. 2007, 114, 1826–1831. [Google Scholar] [CrossRef]
- Zhuang, P.; McBride, M.B.; Xia, H.P.; Li, N.Y.; Li, Z.A. Health risk from heavy metals via consumption of food crops in the Vicinity of Dabaoshan mine, South China. J. Sci. Total Environ. 2009, 407, 1551–1561. [Google Scholar] [CrossRef] [PubMed]
- Ren, M.F.; Wang, J.D.; Wang, G.P.; Zhang, X.L.; Wang, C.M. Influence of soil lead upon children blood lead in Shenyang city. J. Environ. Sci. 2005, 26, 153–158. [Google Scholar]
- Li, Z.W.; Zhang, Y.L.; Pan, G.X.; Li, J.H.; Huang, X.M.; Wang, J.F. Grain Contents of Cd, Cu and Se by 57 rice cultivars and the risk significance for human dietary uptake. J. Chin. J. Environ. Sci. 2003, 21, 112–115. [Google Scholar]
- Swartjes, F.A.; Cornelis, C. Human health risk assessment. Deal. Contam. Sites 2011, 283, 107–172. [Google Scholar]
- Walden, T. Risk assessment in soil pollution: Comparison study. Rev. Environ. Sci. Biotechnol. 2005, 4, 87–113. [Google Scholar] [CrossRef]
- McNeel, P.J., IV; Atwood, C.J.; Dibley, V. Case Study Comparisons of Vapor Inhalation Risk Estimates: ASTM RBCA Model Predictions vs Site Specific Soil Vapor Data; Ground Water Publishing Co.: Westerville, OH, USA, 1997. [Google Scholar]
- Yang, M.M.; Sun, L.N.; Luo, Q.; Bing, L.F. Health risk assessment of polycyclic aromatic hydrocarbons in soils of the tiexi relocated old industrial area, shenyang, china. Chin. J. Ecol. 2013, 32, 675–681. [Google Scholar]
- Ministry of Environmental Protection of the People’s Republic of China. Technical Guidelines for Risk Assessment of Contaminated Sites (HJ25.3-2014); National Environmental Protection Standards of the People’s Republic of China: Beijing, China, 2014.
- Zhuang, X.; Querol, X.; Alastuey, A.; Juan, R.; Plana, F.; Lopez-Soler, A. Geochemistry and mineralogy of the Cretaceous Wulantuga high-germanium coal deposit in Shengli coal field, Inner Mongolia, Northeastern China. Int. J. Coal Geol. 2006, 66, 119–136. [Google Scholar] [CrossRef]
- Dai, S.F.; Wang, X.B.; Seredin, V.V.; Hower, J.C.; Ward, C.R.; O’Keefe, J.M.K.; Huang, W.H.; Li, T.; Li, X.; Liu, H.D.; et al. Petrology, mineralogy, and geochemistry of the Ge-rich coal from the Wulantuga Ge ore deposit, Inner Mongolia, China: New data and genetic implications. Int. J. Coal Geol. 2011, 90, 72–99. [Google Scholar] [CrossRef]
- Dai, S.F.; Liu, J.J.; Colin, R.W.; Hower, J.C.; Xie, P.P.; Jiang, Y.F.; Hood, M.M.; O’Keefe, J.M.K.; Song, H.J. Petrological, geochemical, and mineralogical compositions of the low-Ge coals from the Shengli coalfield, China: A comparative study with Ge-rich coals and a formation model for coal-hosted Ge ore deposit. Ore Geol. Rev. 2015, 71, 318–349. [Google Scholar] [CrossRef]
- Qi, H.W.; Hu, R.Z.; Zhang, Q. REE Geochemistry of the Cretaceous lignite from Wulantuga Germanium Deposit, Inner Mongolia, Northeastern China. Int. J. Coal Geol. 2007, 71, 329–344. [Google Scholar] [CrossRef]
- Jia, J.L.; Li, G.H.; Zhong, Y. The Relationship between abiotic factors and microbial activities of microbial eco-system in contaminated soil with petroleum hydrocarbons. Environ. Sci. 2004, 25, 110–114. [Google Scholar]
- Li, X.; Dai, S.F.; Zhang, W.G.; Li, T.; Zheng, X.; Chen, W.M. Determination of As and Se in coal and coal combustion products using closed vessel microwave digestion and collision/reaction cell technology (CCT) of inductively coupled plasma mass spectrometry (ICP-MS). Int. J. Coal Geol. 2014, 124, 1–4. [Google Scholar] [CrossRef]
- Khan, N.I.; Owens, G.; Bruce, D.; Naidu, R. Human arsenic exposure and risk assessment at the landscape level: A review. Environ. Geochem. Health 2009, 31, 143–166. [Google Scholar] [CrossRef] [PubMed]
- Dong, J.Y.; Wang, J.Y.; Zhang, G.X.; Wang, S.G.; Shang, K.Z. Population exposure to PAHs and the health risk assessment in Lanzhou city. Ecol. Environ. Sci. 2012, 21, 327–332. [Google Scholar]
- Yang, J.K.; Wang, Q.S.; Lu, J.F.; Wang, L.K.; Bei, X.Y.; Zhu, W.S. Human health risk assessment on trihalomethanes with multiple exposure pathways in drinking water. China Resour. Compr. Util. 2009, 27, 27–30. [Google Scholar]
- Yost, L.J.; Shock, S.S.; Holm, S.E.; Lowney, Y.W.; Noggle, J.J. Lack of complete exposure pathways for metals in natural and fgd gypsum. Hum. Ecol. Risk Assess. 2010, 16, 317–339. [Google Scholar] [CrossRef]
- Hua, Y.P.; Luo, Z.J.; Cheng, S.G.; Xiang, R. Analysis of Soil Remediation Limits in Site Based on Health Risk. Ind. Saf. Environ. Prot. 2012, 38, 68–71. [Google Scholar]
© 2015 by the authors; licensee MDPI, Basel, Switzerland. This article is an open access article distributed under the terms and conditions of the Creative Commons by Attribution (CC-BY) license (http://creativecommons.org/licenses/by/4.0/).
Share and Cite
Jia, J.; Li, X.; Wu, P.; Liu, Y.; Han, C.; Zhou, L.; Yang, L. Human Health Risk Assessment and Safety Threshold of Harmful Trace Elements in the Soil Environment of the Wulantuga Open-Cast Coal Mine. Minerals 2015, 5, 837-848. https://doi.org/10.3390/min5040528
Jia J, Li X, Wu P, Liu Y, Han C, Zhou L, Yang L. Human Health Risk Assessment and Safety Threshold of Harmful Trace Elements in the Soil Environment of the Wulantuga Open-Cast Coal Mine. Minerals. 2015; 5(4):837-848. https://doi.org/10.3390/min5040528
Chicago/Turabian StyleJia, Jianli, Xiaojun Li, Peijing Wu, Ying Liu, Chunyu Han, Lina Zhou, and Liu Yang. 2015. "Human Health Risk Assessment and Safety Threshold of Harmful Trace Elements in the Soil Environment of the Wulantuga Open-Cast Coal Mine" Minerals 5, no. 4: 837-848. https://doi.org/10.3390/min5040528
APA StyleJia, J., Li, X., Wu, P., Liu, Y., Han, C., Zhou, L., & Yang, L. (2015). Human Health Risk Assessment and Safety Threshold of Harmful Trace Elements in the Soil Environment of the Wulantuga Open-Cast Coal Mine. Minerals, 5(4), 837-848. https://doi.org/10.3390/min5040528
