Previous Article in Journal
Editorial for the Special Issue “Clay Minerals: Roles in Oil and Gas Generation, Drilling, and Enhanced Recovery”
 
 
Font Type:
Arial Georgia Verdana
Font Size:
Aa Aa Aa
Line Spacing:
Column Width:
Background:
Article

Competitive Adsorption of Thickeners and Superplasticizers in Cemented Paste Backfill and Synergistic Regulation of Rheology and Strength

1
Backfill Engineering Laboratory, Shandong Gold Mining Technology Co., Ltd., Yantai 261441, China
2
School of Civil Engineering, Henan Polytechnic University, Jiaozuo 454000, China
3
Songxian Shanjin Mining Co., Ltd., Luoyang 471400, China
4
Department of Civil Engineering, North China University of Technology, Beijing 100144, China
*
Author to whom correspondence should be addressed.
Minerals 2026, 16(1), 43; https://doi.org/10.3390/min16010043 (registering DOI)
Submission received: 7 December 2025 / Revised: 22 December 2025 / Accepted: 29 December 2025 / Published: 30 December 2025

Abstract

Balancing high fluidity and stability is a critical challenge in deep-shaft cemented paste backfill (CPB) with high-concentration tailings. This study investigates the synergistic regulation mechanism of a combined admixture system comprising hydroxypropyl methylcellulose (HPMC) thickener and polycarboxylate (PCE) or Melamine-Formaldehyde Resin (MFR) superplasticizers on CPB rheology, mechanical strength, and microstructure. Results indicate that HPMC significantly enhanced anti-segregation performance via intermolecular bridging, substantially increasing yield stress and plastic viscosity. Upon PCE introduction, the steric hindrance provided by its side chains effectively disrupted HPMC-induced flocs and released entrapped water. Consequently, yield stress and plastic viscosity were reduced by up to 22.1% and 64.3%, respectively, with PCE exhibiting markedly superior viscosity-reducing efficiency compared to MFR. Mechanical testing revealed that PCE co-addition did not compromise early-age strength but enhanced 3, 7, and 28-day unconfined compressive strength (UCS) by refining pore structures and promoting the uniform distribution of hydration products. Microstructural analysis unveiled a competitive adsorption mechanism: preferential PCE adsorption dispersed particle agglomerates, while non-adsorbed HPMC formed a viscoelastic network within the pore solution, constructing a stable “dispersion-suspension” microstructure. This work provides a theoretical basis for optimizing high-performance backfill formulations.

1. Introduction

As an indispensable pillar of the global economy, the mining industry’s significance in socioeconomic development is increasingly prominent [1,2]. As shallow mineral resources become depleted, deep mining is increasingly inevitable. However, the complex mechanical conditions at depth introduce substantial challenges for ground control in mined-out stopes [3,4]. In deep-shaft backfilling systems, a fundamental challenge lies in meeting the requirements for high flow rate, high solids concentration, and long-distance transport, while simultaneously ensuring slurry uniformity and stability [5,6]. As the primary aggregate, total tailings are characterized by fine particle size and a large specific surface area, making them susceptible to flocculation and sedimentation. This behavior can cause pipeline blockage or heterogeneity within the backfill body [7], making slurry stability a key research priority [8,9]. In practical applications, alongside water, tailings [10], and cement, chemical admixtures have become indispensable for regulating the rheology of cement-based systems and are now considered a governing factor in their performance [11,12].
Addressing the rheological constraints of deep-shaft backfilling has attracted considerable research attention to the regulatory role of chemical admixtures [13,14]. However, relying on a single admixture type often necessitates a trade-off, where optimizing fluidity compromises stability, or vice versa. PCE are widely utilized to lower yield stress via the steric hindrance exerted by their comb-like molecular structure [15]. Specifically, the main chains of PCE adsorb onto cement and tailings particles, while the side chains extend into the liquid phase. This interaction generates electrostatic repulsion and steric hindrance, which break down flocculated structures and release entrapped water [16,17]. Yet, in total tailings systems—where inert silicate minerals often exhibit unfavorable particle size distribution—the strong dispersive action of PCE can disrupt the interparticle structural skeleton [18]. As noted by [19], at low yield stress levels, coarse particles lose the buoyant support provided by the fine paste fraction. This phenomenon frequently triggers dynamic segregation and bleeding, significantly elevating the risk of pipeline blockages. To mitigate segregation, the incorporation of viscosity modifying agents (VMA) [20], such as hydroxypropyl methylcellulose (HPMC), has emerged as a prevalent strategy [21,22]. VMAs retain free water primarily through long-chain molecular bridging, association, and hydrogen bonding, thereby enhancing paste cohesiveness [23,24]. Guo et al. [25] found that HPMC significantly improved the anti-segregation performance and static homogeneity of lean-cement backfill. However, this stability often comes at the expense of pumpability [26]. Rheological studies [27] have confirmed that the long-chain entanglement of HPMC causes an exponential rise in plastic viscosity. Under the high shear rates (>100 s−1) typical of deep-shaft transport, this results in excessive frictional resistance, potentially exceeding the capacity of pumping equipment [28].
Consequently, the reliance on individual admixtures proves insufficient for deep-shaft backfilling. Theoretical studies indicate that long-chain VMA molecules can surround PCE molecules, partially shielding their steric hindrance layers [29,30], while the high charge density of PCE anionic groups may interfere with the conformational extension of VMA chains on particle surfaces [31]. Achieving an optimal balance between these competing “dispersion–thickening” interactions at the microscale—producing a slurry with low yield stress for good flowability yet sufficient plastic viscosity to resist segregation—remains a key challenge.
Although chemical admixtures are well studied in conventional concrete technology, the behavior of CPB differs significantly due to the high specific surface area and fine particle content of tailings. Furthermore, deep-shaft backfilling presents a unique challenge: the slurry must exhibit ‘high fluidity’ for long-distance transport yet ‘high stability’ to prevent segregation. Few studies have addressed how the combination of HPMC and superplasticizers specifically resolves these competing requirements in deep mining environments. In this study, we examine the synergistic effects of a binary system composed of HPMC and superplasticizers (PCE/MFR). By tracking changes in yield stress, plastic viscosity, microstructure, and mechanical strength, we reveal the competitive adsorption behavior of polymer molecules at the solid–liquid interface. These insights provide a theoretical foundation for optimizing admixture strategies in deep-shaft backfilling operations.

2. Materials and Methods

2.1. Materials

2.1.1. Tailings

The copper tailings utilized in this study were sourced from a mine located in Anhui Province, China. The particle size distribution was determined using a laser particle size analyzer supplemented by wet sieving, and the corresponding distribution curve is depicted in Figure 1. The chemical composition was characterized via X-ray fluorescence (XRF), with the primary components detailed in Table 1.

2.1.2. Cement

Ordinary Portland Cement (P.O 42.5) was used as the binder. According to the manufacturer’s specifications, it has a specific surface area of 401 m2/kg and a specific gravity of 3.15. The main chemical components, determined by X-ray fluorescence (XRF), are listed in Table 2.

2.1.3. Admixture and Water

The chemical admixtures employed in this study included hydroxypropyl methylcellulose (HPMC) as the thickening agent. Additionally, polycarboxylate superplasticizer (PCE) and Melamine-Formaldehyde Resin-based superplasticizer (MFR) were utilized as water-reducing agents. Municipal tap water served as the mixing water for all preparations.

2.2. Methods

2.2.1. Flowability Test

The fluidity of the fresh paste was measured following the Test Method for Fluidity of Cement Mortar (GB/T 2419-2005) [32]. The prepared slurry was poured into the mold, and the surface was leveled by striking off the excess paste. To avoid disturbing the flow, the mold was lifted vertically at a steady, slow pace. A truncated cone with a height of 150 mm, a top diameter of 50 mm, and a bottom diameter of 100 mm was used as the testing apparatus. The calculation formula for the slurry deformation capacity is as follows:
Γ = d 2 d 0 2 / d 0 2
where Γ is the deformation capacity; d0 is the diameter of the small slump cone (mm); and d is the flow diameter of the slurry (mm).

2.2.2. Rheological Test

The rheological properties and thixotropic behavior of the fresh paste were measured using an RST-SST rheometer (Brookfield, Middleboro, MA, USA). Approximately 400 mL of the freshly mixed slurry was transferred into the designated sample cup for testing. Rheological data were analyzed with Origin 2022 software using the Bingham model to determine the key parameters of yield stress and plastic viscosity. Although HPMC-modified pastes typically exhibit shear-thinning (pseudoplastic) behavior, the Bingham model was adopted because it serves as the governing constitutive equation for hydraulic calculations and pipeline resistance design in deep-shaft backfilling engineering. In addition, the dynamic evolution of the hysteresis loops was plotted and fitted using Matlab 2022a. The Bingham model describing the rheological behavior of the fresh paste is expressed as follows:
τ = τ 0 + η γ
where τ is the shear stress (Pa), τ 0 is the yield stress (Pa), η denotes the plastic viscosity Pa·s, and γ is the shear rate s−1.

2.2.3. Mechanical Testing

Uniaxial compressive strength (UCS) tests were carried out using a WAW-50 (Jinan Tianchen Testing Machine Co., Ltd., Jinan, China). computer-controlled servo testing machine, following the JGJ/T 70-2009 standard (Standard for Test Method of Basic Performance of Building Mortar) [33]. Cubic specimens measuring 70.7 × 70.7 × 70.7 mm3 were cured under standard conditions until the target ages. Each UCS value represents the average of three replicate specimens.

2.2.4. Microstructure

Mesoscopic morphology observation: A GP2010-100 (Shanghai Gaozhi Precision Instrument Co., Ltd., Shanghai, China) portable digital microscope was used for in situ observation of particle dispersion and flocculation behavior in the fresh paste.
Scanning Electron Microscopy (SEM): Representative fragments were taken from the cores of mechanically fractured hardened paste specimens. Hydration was stopped by immersing the samples in absolute ethanol, followed by oven-drying and gold sputter-coating. A scanning electron microscope was then used to examine the morphology of hydration products, the evolution of the pore structure, and the microstructural features of the polymer films.

2.3. Experimental Program

Previous studies have shown that hydroxypropyl methylcellulose (HPMC) markedly improves the cohesiveness of cemented tailings backfill, with an optimal dosage of approximately 0.1% [34]. Accordingly, with the HPMC dosage fixed at 0.1%, this study investigates the combined effects of polycarboxylate (PCE) and melamine-based (MFR) superplasticizers on slurry performance. The preparation process of the fresh paste slurry is illustrated in Figure 2, and the overall research methodology is outlined in the experimental flowchart in Figure 3. According to the experimental mix proportions summarized in Table 3, The cement-to-tailings ratio (c/t) and solids content were kept constant at 1:8 and 72%, respectively. The maximum dosage was set at 2.5% based on preliminary trials, which indicated that rheological improvements tend to saturate beyond this level. To assess the dosage response, the superplasticizers were added at increments of 0%, 0.5%, 1.0%, 1.5%, 2.0%, and 2.5%.

3. Results and Discussion

3.1. Effect of Combined Superplasticizers on Flowability

Figure 4 and Table 4 present the changes in fluidity (d) and deformability (Γ) of HPMC-modified paste slurries with increasing superplasticizer dosage. Although both types of superplasticizer improved flowability, their effects were not equivalent. With PCE, the response was progressive: at a dosage of 2.5%, the spread diameter reached 256 mm and the deformability coefficient increased from 1.43 to 5.55, reflecting a marked enhancement of gravity-driven plastic flow.
In contrast, the slurry with MFR showed a much weaker response. The deformability coefficient leveled off at about 2.42 once the dosage exceeded 2.0%, indicating a clear limit in its dispersing capacity.
These trends relate to the interaction between HPMC and the superplasticizers. Adsorption of superplasticizer molecules onto particle surfaces generates electrostatic repulsion and steric hindrance, which break down HPMC–cement flocs and release trapped water. As lubrication improves and yield stress decreases, the paste is able to spread more easily under its own weight [35].

3.2. Effect of Combined Superplasticizers on Rheological Properties

As illustrated in Figure 5 and Figure 6, and Table 5, the incorporation of PCE resulted in a substantial reduction in rheological parameters. As the dosage increased from 0% to 2.5%, yield stress decreased from 160.06 Pa to 124.69 Pa—a 22.1% reduction—with the most pronounced decline occurring in the high-dosage range (2.0%–2.5%). Similarly, plastic viscosity experienced a sharp drop of 64.3% (from 1.063 to 0.380 Pa·s), with maximum reduction rate observed between 1.5% and 2.0%. Mechanistically, PCE induces strong particle dispersion, effectively mitigating interparticle cohesion and internal friction. However, a saturation phenomenon was evident: while low dosages substantially enhanced flow, the reduction rate of rheological parameters tapered off at higher dosages as the system approached its dispersion limit.
In contrast, MFR exhibited a more moderate effect. Over the same dosage range, yield stress decreased by 11.1% (to 142.33 Pa) and plastic viscosity by 22.2% (to 0.82 Pa·s). The reductions followed a non-linear trend: significant improvements at low dosages (0%–0.5%) attenuated in the medium range and plateaued at high dosages (2.0%–2.5%), indicating a distinct threshold effect. Consequently, MFR demonstrates diminishing efficacy with increasing dosage. Its dispersing capability is notably inferior to that of PCE, as evidenced by the smaller reduction in yield stress. Although MFR reduces particle aggregation, its molecular structure provides less effective repulsion compared to the steric hindrance offered by PCE, resulting in limited fluidity enhancement, particularly at higher dosages.

3.3. Mesostructural Analysis

Figure 7 illustrates representative particle morphologies, specifically highlighting the effect of PCE incorporation. In the control group (Figure 7a), particles appeared fine and well-dispersed, with minimal oversized flocculates. Conversely, the HPMC-treated samples (Figure 7b,c) exhibited pronounced aggregation, where particles of varying sizes adhered to one another to form extensive flocculated structures. These aggregates primarily manifested in two forms: clusters resulting from the bridging effect of HPMC between adjacent particles, and the adhesion of fines onto larger particles or the auto-agglomeration of fine particles. Upon the introduction of PCE (Figure 7d), dispersion and uniformity improved markedly. Dense flocculates were substantially reduced; larger particles exhibited a spine-like surface texture, and loosely structured aggregates replaced the dense clusters observed in the HPMC-only samples.
Mechanistically, the unsatisfied charges on fracture surfaces generated during grinding serve as a primary driver of aggregation. Furthermore, driven by high surface free energy, fine particles exhibit a strong tendency for agglomeration via attachment to larger particles or self-aggregation [36]. The addition of PCE effectively disrupts these flocculated structures, breaking them into smaller clusters and producing a more homogeneous particle distribution.

3.4. Effect on Compressive Strength

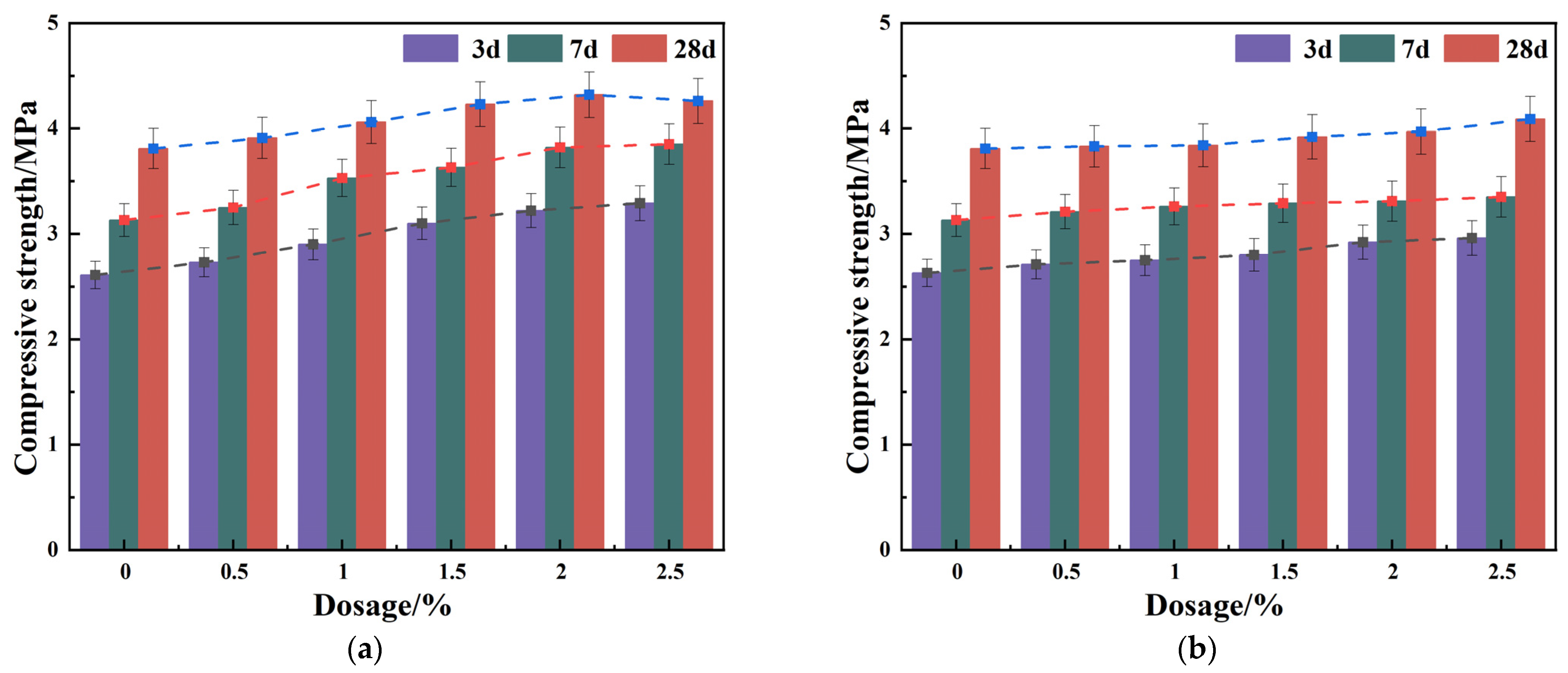
Figure 8 presents the UCS results for samples at varying curing ages. As illustrated in Figure 8a, compressive strength exhibited a positive correlation with both PCE dosage and curing time. During the early curing stage (3–7 days), all specimens achieved substantial strength gains, ranging from 0.498 to 0.626 MPa. From 7 to 28 days, although the rate of strength acquisition moderated, a steady increase persisted, with increments of 0.412–0.674 MPa corresponding to a 10.66%–21.44% increase. The variance in strength enhancement across dosages indicates that PCE differentially influences hydration kinetics at varying concentrations. The addition of PCE significantly improves particle distribution and mitigates coarse-particle segregation. Although PCE slightly retards initial hydration kinetics, it facilitates the formation of a more homogeneous and densified hydration product microstructure, thereby enhancing overall mechanical performance within the optimal dosage range.
Similarly, the MFR series (Figure 8b) demonstrated a consistent monotonic increase in strength with increasing dosage across all curing ages. The 3-day strength ranged from 2.641 to 2.973 MPa (mean: 2.805 MPa), while the 28-day strength ranged from 3.817 to 4.089 MPa (mean: 3.912 MPa). Pronounced strength development was observed in the early stage (3–7 days), with increments of 0.391–0.506 MPa (13.15%–19.01%). Notably, substantial growth sustained into the later stage (7–28 days), with increments of 0.589–0.725 MPa (18.05%–21.55%), indicating that MFR contributes favorably to long-term strength evolution.
A comparative analysis reveals that specimens treated with PCE exhibited slightly higher or comparable average compressive strengths than those treated with MFR at equivalent dosages (e.g., reaching approx. 4.3 MPa vs. 4.0 MPa at 28 days). This suggests that the PCE-induced microstructure is denser, likely due to its superior water-reducing capability which minimizes excess porosity. This confirms that, under the conditions tested, the polycarboxylate-based superplasticizer possesses superior efficacy over the melamine-based alternative in enhancing the mechanical properties of the backfill paste.

3.5. SEM Microstructural Analysis

Figure 9 presents SEM micrographs of the hardened paste. Figure 9a,c,e illustrate the microstructure of the paste containing HPMC alone at varying magnifications, while Figure 9b,d,f correspond to the HPMC-PCE combined system under identical conditions. These images highlight the distinct effects of the two systems on the microstructural evolution of the backfill paste. A comparative analysis of Figure 9a,b indicates that the incorporation of HPMC alone increased air entrainment, resulting in elevated internal porosity. This suggests that HPMC promotes the formation of void structures, thereby compromising the overall compactness of the matrix. Conversely, the HPMC-PCE system (Figure 9b) exhibits a noticeably denser morphology, indicating that the combined admixture effectively enhances microstructural integrity and stability.
At intermediate magnifications, a comparison between Figure 9c,d reveals that HPMC induces the formation of numerous pores, indicating the susceptibility of the paste to swelling and softening during hydration or water interaction. This leads to increased local porosity, a looser microstructure, and consequently, reduced strength. The HPMC-PCE system (Figure 9d), however, achieves a more uniform particle distribution, although an increased prevalence of micro-cracks was observed. These micro-cracks may partially limit the ultimate compressive strength.
High-magnification images (Figure 9e,f) further demonstrate that with PCE addition, the content of calcium sulfate (gypsum) increases, accompanied by porous structures and micro-cracks with diameters of 2–7 μm. This phenomenon is attributed to altered crystal growth kinetics driven by the adsorption of anionic groups, which promotes the formation of plate-like crystals. Specifically, PCE modifies the crystal habit, shifting growth from high-aspect-ratio columnar rods to lower-aspect-ratio plates. Such changes indirectly influence the microstructure and macroscopic performance, underscoring the synergistic role of the HPMC-PCE system in regulating microstructural evolution.

4. Analysis of the Synergistic Mechanism

The rheological behavior and mechanical evolution of the CPB slurry are fundamentally governed by the physicochemical interactions between the polymer admixtures and the solid particles. Based on the consistent trends observed in rheological measurements and microstructural characterization, the synergistic effect of the HPMC-PCE binary system is attributed to a competitive adsorption mechanism at the solid–liquid interface, as schematically illustrated in Figure 10. HPMC complexes with Ca2+ in the pore solution, forming two primary cross-linked structures: intermolecular and intramolecular bridges. This mechanism enables PCE to disperse the larger macromolecular conformations of HPMC in solution, enhancing the homogeneity of the slurry. Furthermore, electrostatic interactions facilitate the adsorption of HPMC onto the negatively charged particle surfaces [37]. This process reduces the quantity of free HPMC available to effectively act on the cement particles, consequently diminishing its aggregation efficiency.
PCE can also deposit directly onto certain regions of HPMC molecules, particularly targeting chains with longer side branches. This reduces the cohesive forces of HPMC through steric hindrance, further limiting its effectiveness. At the same time, HPMC and PCE compete for adsorption sites, which can compromise the performance of both and affect the overall workability of the paste [38].
While HPMC alone promotes the formation of flocculated structures, enhancing viscosity and shear resistance, the addition of superplasticizers changes this behavior. Aggregates of larger particles, having lower surface energy, are prone to deagglomeration. PCE effectively breaks down these flocculated structures involving coarse particles, resulting in improved fluidity.
In contrast to the comb-like structure of PCE, the MFR molecule possesses a linear resin structure. MFR primarily relies on electrostatic repulsion to disperse particles, which is less effective than the steric hindrance provided by PCE side chains, especially in high-concentration tailings environments. This structural limitation explains the “saturation effect” observed in the rheological results, where increasing the MFR dosage beyond 2.0% yielded minimal further reduction in yield stress [39,40]. Once electrostatic adsorption reaches equilibrium, MFR cannot effectively penetrate and disperse the dense HPMC-induced flocs, leading to inferior dispersing capability compared to PCE.

5. Conclusions

Addressing the critical trade-off between rheology and stability in deep mine CPB, this study investigated the synergistic effects and mechanisms of HPMC compounded with PCE and MFR. The main conclusions are drawn as follows:
In contrast, the MFR molecule possesses a linear resin structure, which relies mainly on electrostatic repulsion rather than steric hindrance. This structural limitation explains the “saturation effect” observed in the rheological results (Figure 4), where increasing the MFR dosage beyond 2.0% yielded minimal further reduction in yield stress. Unlike the comb-like structure of PCE, MFR cannot effectively penetrate and disperse the dense HPMC-induced flocs once its adsorption reaches equilibrium.
  • PCE exhibits markedly better rheological regulation compared to MFR. In full-tailings paste modified with 0.1% HPMC, PCE significantly outperforms MFR in enhancing fluidity and deformability. At a dosage of 2.5%, PCE reduces yield stress by 22.1% and plastic viscosity by 64.3%, whereas MFR shows a saturation effect beyond 2.0% with minimal gain. Through strong steric hindrance, PCE effectively mitigates the flocculation induced by HPMC.
  • In full-tailings paste modified with 0.1% HPMC, a PCE dosage range of 1.5%–2.0% is recommended for this full-tailings CPB system. This range effectively balances the reduction in pumping pressure with the maintenance of sufficient viscosity to prevent segregation during deep-shaft transport, while simultaneously securing robust mechanical support in the CPB.
  • Incorporation of PCE promotes microstructural homogenization and reduces macropore defects, leading to consistent compressive strength gains at 3, 7, and 28 days with increasing dosage. This HPMC–PCE binary system not only fulfills the transportability requirements for deep-shaft backfilling but also ensures the necessary mechanical support of the backfill structure.
  • Flocculation induced by HPMC—arising from intermolecular and intramolecular complexation with Ca2+—is effectively counteracted by PCE. PCE competes for adsorption sites and deposits onto HPMC chains, weakening their cohesive forces. This interaction selectively deagglomerates large-particle flocs while retaining essential viscosity, establishing a synergistic balance. The result is an optimized microstructural framework suitable for long-distance transport in deep mining operations.

Author Contributions

L.Y. contributed to the conceptualization, methodology, investigation, writing—original draft, writing—review and editing project administration, resources, funding acquisition and visualization; Y.W. contributed to the conceptualization, methodology, field investigations, writing—original draft, and visualization; Y.K. provided supervision, methodology oversight, field investigation support, funding acquisition, technical guidance, and critical revisions of the manuscript; Z.W. managed the technical guidance, data curation, and critical revisions of the manuscript; T.L., Q.L., H.Z. and S.C. assisted with field, supervision, laboratory work, supervision, and reviewed the manuscript. All authors have read and agreed to the published version of the manuscript.

Funding

This study received financial support from the Natural Science Foundation of Henan Province of China (Grant No. 252300420040), the National Natural Science Foundation of China (Grant No. 52104129), the Fundamental Research Funds for the Universities of Henan Province (Grant No. NSFRF240401).

Data Availability Statement

All data generated or analyzed during this study are included in this article. Further inquiries can be directed to the corresponding author.

Acknowledgments

The authors express their gratitude to State Key Laboratory of Henan Polytechnic University and Filling Engineering Laboratory of Shandong Gold Mining Technology Co., Ltd. for their scholarship support and the opportunity to conduct this research.

Conflicts of Interest

Authors Liuhua Yang, Yunpeng Kou and Zengjia Wang were employed by the company Shandong Gold Mining Technology Co., Ltd. Author Teng Li was employed by the company Songxian Shanjin Mining Co., Ltd. The remaining authors declare that the research was conducted in the absence of any commercial or financial relationships that could be construed as a potential conflict of interest.

Abbreviations

The following abbreviations are used in this manuscript:
CPBCemented Paste Backfill
HPMCHydroxypropyl methylcellulose
PCEPolycarboxylate Superplasticizer
MFRMelamine-Formaldehyde Resin
VMAViscosity Modifying Agent
UCSUniaxial Compressive Strength

References

  1. Cai, M.; Li, P.; Tan, W.; Ren, F. Key Engineering Technologies to Achieve Green, Intelligent, and Sustainable Development of Deep Metal Mines in China. Engineering 2021, 7, 1513–1517. [Google Scholar] [CrossRef]
  2. Wang, J.; Liu, Y.; Li, Y.; Wang, L. 60 years development and prospect of mining systems engineering. J. China Coal Soc. 2024, 49, 261–279. [Google Scholar]
  3. Yang, L.; Li, J.; Liu, H.; Jiao, H.; Yin, S.; Chen, X.; Yu, Y. Systematic review of mixing technology for recycling waste tailings as cemented paste backfill in mines of China. Int. J. Miner. Metall. Mater. 2023, 30, 1430–1443. [Google Scholar] [CrossRef]
  4. Xu, J.; Zhou, N.; Zhang, J.; Yao, Y.; Wang, H.; Liu, S. Study on rheological properties of large particle gangue slurry and its drag reduction effect caused by wall slippage in pipeline transportation. Powder Technol. 2025, 452, 120573. [Google Scholar] [CrossRef]
  5. Cheng, H.Y.; Wu, A.X.; Wu, S.C.; Zhu, J.Q.; Li, H.; Liu, J.; Niu, Y.H. Research status and development trend of solid waste backfill in metal mines. Chin. J. Eng. 2022, 44, 11–25. [Google Scholar]
  6. Yang, X.; Yi, S. Research status and prospects of efficient green mining technology and intelligent equipment for ultra large deep iron mines. Chin. J. Eng. 2024, 46, 2147–2158. [Google Scholar]
  7. Sada, H.; Mamadou, F. Reactivity of cemented paste backfill containing polycarboxylate-based superplasticizer. Miner. Eng. 2022, 188, 107856. [Google Scholar] [CrossRef]
  8. Dikonda, R.K.; Mbonimpa, M.; Belem, T. Specific mixing energy of cemented paste backfill, Part I: Laboratory determination and influence on the consistency. Minerals 2021, 11, 1165. [Google Scholar] [CrossRef]
  9. Yang, L.; Wang, Y.; Fu, B.; Fu, S.; Li, Z.; Gong, J. Bleeding characteristics and water migration mechanism of backfill slurry. J. Henan Polytech. Univ. (Nat. Sci.) 2025, 44, 55–63. [Google Scholar]
  10. Yang, L.; Li, J.; Yin, S.; Jiao, H.; Chen, X.; Kou, Y.; Wang, Z.; Jia, H. Mechanism of bubble action in backfill slurry and the evolution of its rheological properties. J. China Coal Soc. 2024, 49, 1894−1905. [Google Scholar]
  11. Wang, X.; Wang, H.; Wu, A.; Jiang, H.; Peng, Q.; Zhang, X. Evaluation of time-dependent rheological properties of cemented paste backfill incorporating superplasticizer with special focus on thixotropy and static yield stress. J. Cent. South Univ. 2022, 29, 1239–1249. [Google Scholar] [CrossRef]
  12. Kou, Y.; Jiang, H.; Ren, L.; Yilmaz, E.; Li, Y. Rheological properties of cemented paste backfill with alkali-activated slag. Minerals 2020, 10, 288. [Google Scholar] [CrossRef]
  13. Wu, A.; Li, H.; Cheng, H.; Wang, Y.; Li, C.; Ruan, Z. Status and prospects of researches on rheology of paste backfill using unclassified ailings (Part 1): Concepts, characteristics and models. Chin. J. Eng. 2020, 42, 803–813. [Google Scholar]
  14. Liu, B.; Zhang, Y.; Zou, X.; Zhang, C.; Chang, Y. Coupled Effects of Time and Temperature on the Rheological and Pipe Flow Properties of Cemented Paste Backfill. Minerals 2024, 14, 1221. [Google Scholar] [CrossRef]
  15. Yin, S.; Hao, S.; Zhang, H.; Hu, C.; Cao, D. Modeling the resistance of unclassified waste rock paste slurries mixed with water-reducing agents. J. Harbin Eng. Univ. 2022, 43, 212–220. [Google Scholar]
  16. Liu, Z.; Fu, X.; Liu, D.; Li, Y. Competitive adsorption of polycarboxylate superplasticizer by gangue powder and cement in backfilling engineering. Chin. J. Eng. 2025, 47, 2388–2396. [Google Scholar]
  17. Perrot, A.; Lecompte, T.; Khelifi, H.; Brumaud, C.; Hot, J.; Roussel, N. Yield stress and bleeding of fresh cement pastes. Cem. Concr. Res. 2012, 42, 937–944. [Google Scholar] [CrossRef]
  18. Yang, L.; Yilmaz, E.; Li, J.; Liu, H.; Jiang, H. Effect of superplasticizer type and dosage on fluidity and strength behavior of cemented tailings backfill with different solid contents. Constr. Build. Mater. 2018, 187, 290–298. [Google Scholar] [CrossRef]
  19. Zhang, Y.; Zhao, Q.; Liu, C.; Zhou, M. Properties comparison of mortars with welan gum or cellulose ether. Constr. Build. Mater. 2016, 102, 648–653. [Google Scholar] [CrossRef]
  20. Yin, S.; Shao, Y.; Wu, A.; Wang, H.; Liu, X.; Wang, Y. A systematic review of paste technology in metal mines for cleaner production in China. J. Clean. Prod. 2020, 247, 119590. [Google Scholar] [CrossRef]
  21. Gu, C.; Yang, B.; Yang, F.; Ren, Q.; e Silva, M.C. Fluidity and rheological properties with time-dependence of cemented fine-grained coal gangue backfill containing HPMC using response surface method. Constr. Build. Mater. 2024, 451, 138691. [Google Scholar] [CrossRef]
  22. Ding, C.; Zhang, M.; Li, G. Preparation and characterization of collagen/hydroxypropyl methylcellulose (HPMC) blend film. Carbohydr. Polym. 2015, 119, 194–201. [Google Scholar] [CrossRef]
  23. Bai, Y.; Bai, Y.; Tang, J.; Su, H.; Zhang, F.; Ma, H.; Ge, L.; Cai, Y. Effects of hydroxypropyl methylcellulose on anti-dispersion and rheology of alkali-activated materials in underwater engineering. Constr. Build. Mater. 2023, 393, 132135. [Google Scholar] [CrossRef]
  24. Bulichen, D.; Kainz, J.; Plank, J. Working mechanism of methyl hydroxyethyl cellulose (MHEC) as water retention agent. Cem. Concr. Res. 2012, 42, 953–959. [Google Scholar] [CrossRef]
  25. Guo, C.; Chen, N.; Wang, R. Study on hydroxypropyl methylcellulose modified Portland cement-sulphoaluminate cement composites: Rheology, setting time, mechanical strength, resistance to chloride ingress, early reaction kinetics and microstructure. J. Build. Eng. 2024, 98, 111070. [Google Scholar] [CrossRef]
  26. Jin, J.; Jin, X.; Wang, Y.; Qiao, F. Study on Stability and Fluidity of HPMC-Modified Gangue Slurry with Industrial Validation. Materials 2025, 18, 3461. [Google Scholar] [CrossRef]
  27. Guan, L.; Liu, X.; Liu, X. Effect of hydroxypropyl methyl cellulose on rheological properties of cement-limestone paste. Arch. Civ. Eng. 2023, 593–612. [Google Scholar] [CrossRef]
  28. Abbas, G.; Irawan, S.; Memon, K.R.; Kumar, S.; Elrayah, A.A. Hydroxypropylmethylcellulose as a Primary Viscosifying Agent in Cement Slurry at High Temperature. Int. J. Automot. Mech. Eng. 2013, 8, 1218–1225. [Google Scholar] [CrossRef]
  29. Palacios, M.; Flatt, R.J.; Puertas, F.; Sánchez-Herencia, A. Compatibility Between Polycarboxylate and Viscosity-Modifying Admixtures in Cement Pastes; ACI Special Publication: Farmington Hills, MI, USA, 2012; pp. 29–42. [Google Scholar]
  30. Zhang, J.; Deng, H.; Taheri, A.; Deng, J.; Ke, B. Effects of superplasticizer on the hydration, consistency, and strength development of cemented paste backfill. Minerals 2018, 8, 381. [Google Scholar] [CrossRef]
  31. Bessaies-Bey, H.; Khayat, K.H.; Palacios, M.; Schmidt, W. Viscosity modifying agents: Key components of advanced cement-based materials with adapted rheology. Cem. Concr. Res. 2022, 152, 106646. [Google Scholar] [CrossRef]
  32. GB/T 2419-2005; General Administration of Quality Supervision, Inspection and Quarantine of the People’s Republic of China, Standardization Administration of the People’s Republic of China. Test Method for Fluidity of Cement Mortar. Standards Press of China: Beijing, China, 2005.
  33. JGJ/T 70-2009; Ministry of Housing and Urban-Rural Development of the People’s Republic of China. Standard for Test Method of Basic Properties of Construction Mortar. China Construction Industry Press: Beijing, China, 2009.
  34. Yang, L.; Jia, H.; Jiao, H.; Dong, M.; Yang, T. The Mechanism of Viscosity-Enhancing Admixture in Backfill Slurry and the Evolution of Its Rheological Properties. Minerals 2023, 13, 1045. [Google Scholar] [CrossRef]
  35. Rao, Y.; Shao, Y.; Xiao, G.; Sun, X.; Li, Y.; Li, J. Effect of polycarboxylate-based superplasticizer on performances of super fine tailings paste backfill. Chin. J. Nonferrous Met. 2016, 26, 2647–2655. [Google Scholar]
  36. Wu, D.; Fall, M.; Cai, S.J. Coupling temperature, cement hydration and rheological behaviour of fresh cemented paste backfill. Miner. Eng. 2013, 42, 76–87. [Google Scholar] [CrossRef]
  37. Ma, B.; Peng, Y.; Tan, H.; Jian, S.; Zhi, Z.; Guo, Y.; Qi, H.; Zhang, Z.; He, X. Effect of hydroxypropyl-methyl cellulose ether on rheology of cement paste plasticized by polycarboxylate superplasticizer. Constr. Build. Mater. 2018, 160, 341–350. [Google Scholar] [CrossRef]
  38. Yang, L.; Zhao, P.; Li, Z.; Jiao, H.; Li, P.; Chen, Q.; Zheng, Y. The stabilizing effect and mechanism of nano-silica on bubbles in cemented paste backfill. Powder Technol. 2025, 470, 122005. [Google Scholar] [CrossRef]
  39. Judžentienė, A.; Zdaniauskienė, A.; Ignatjev, I.; Druteikienė, R. Evaluation of Physico-Chemical Characteristics of Cement Superplasticizer Based on Polymelamine Sulphonate. Materials 2024, 17, 1940. [Google Scholar] [CrossRef] [PubMed]
  40. Tekin, I.; Pekgöz, M.; Saleh, N.K.; Kiamahalleh, M.V.; Gholampour, A.; Gencel, O.; Ozbakkaloglu, T. Compatibility of melamine formaldehyde-and polycarboxylate-based superplasticizers on slag/sintering ash-based geopolymer paste. Constr. Build. Mater. 2025, 458, 139681. [Google Scholar] [CrossRef]
Figure 1. Particle size distribution of tailings.
Figure 1. Particle size distribution of tailings.
Minerals 16 00043 g001
Figure 2. Preparation process of fresh paste slurry.
Figure 2. Preparation process of fresh paste slurry.
Minerals 16 00043 g002
Figure 3. Experimental flowchart.
Figure 3. Experimental flowchart.
Minerals 16 00043 g003
Figure 4. Effect of superplasticizer co-addition on the spread of CPB slurry. (a) PCE group, (b) MFR group.
Figure 4. Effect of superplasticizer co-addition on the spread of CPB slurry. (a) PCE group, (b) MFR group.
Minerals 16 00043 g004
Figure 5. Shear stress and apparent viscosity of the paste with co-addition of HPMC and PCE. (a) Shear stress, (b) apparent viscosity.
Figure 5. Shear stress and apparent viscosity of the paste with co-addition of HPMC and PCE. (a) Shear stress, (b) apparent viscosity.
Minerals 16 00043 g005
Figure 6. Shear stress and apparent viscosity of the paste with co-addition of HPMC and MFR. (a) Shear stress, (b) apparent viscosity.
Figure 6. Shear stress and apparent viscosity of the paste with co-addition of HPMC and MFR. (a) Shear stress, (b) apparent viscosity.
Minerals 16 00043 g006
Figure 7. Effect of superplasticizer co-addition on the agglomerates in CPB slurry. (a) Initial slurry, (b) Addition of HPMC, (c) Cohesive Effect, (d) Co-addition of PCE.
Figure 7. Effect of superplasticizer co-addition on the agglomerates in CPB slurry. (a) Initial slurry, (b) Addition of HPMC, (c) Cohesive Effect, (d) Co-addition of PCE.
Minerals 16 00043 g007
Figure 8. Effect of superplasticizer dosage on the UCS of CPB; (a) PCE group, (b) MFR group.
Figure 8. Effect of superplasticizer dosage on the UCS of CPB; (a) PCE group, (b) MFR group.
Minerals 16 00043 g008
Figure 9. SEM images at different magnifications. (a) Addition HPMC, (b) Addition HPMC-PCE, (c) Addition HPMC, (d) Addition HPMC-PCE, (e) Addition HPMC, (f) Addition HPMC-PCE.
Figure 9. SEM images at different magnifications. (a) Addition HPMC, (b) Addition HPMC-PCE, (c) Addition HPMC, (d) Addition HPMC-PCE, (e) Addition HPMC, (f) Addition HPMC-PCE.
Minerals 16 00043 g009
Figure 10. Interaction mechanism between HPMC and PCE.
Figure 10. Interaction mechanism between HPMC and PCE.
Minerals 16 00043 g010
Table 1. Chemical composition and weight fraction of tailings.
Table 1. Chemical composition and weight fraction of tailings.
CompositionSiO2Al2O3CaONa2OFe2O3SO3MgOK2O
content (%)42.4522.3514.055.224.364.33.224.05
Table 2. Chemical composition and weight fraction of Cement.
Table 2. Chemical composition and weight fraction of Cement.
CompositionMgOSiO2Na2OK2OAl2O3SO3Fe2O3CaO
content (%)1.4020.700.180.484.502.603.3065.10
Table 3. Experimental mix proportions.
Table 3. Experimental mix proportions.
GroupAdmixture Dosage
ThickenerDosageSuperplasticizerDosage
NHPMC0.1%0%0%
P-1 PCE0.5%
P-2 1.0%
P-3 1.5%
P-4 2.0%
P-5 2.5%
M-1MFR0.5%
M-21.0%
M-31.5%
M-42.0%
M-52.5%
Table 4. Deformability of the slurry.
Table 4. Deformability of the slurry.
Groupd0 (mm)D (mm)Γ
H-11001561.43
P-1 1001892.57
P-2 1001962.84
P-3 1002173.71
P-4 1002304.29
P-5 1002565.55
M-11001661.76
M-21001711.92
M-31001782.17
M-41001852.42
M-51001852.42
Table 5. Fitting results of the Bingham model.
Table 5. Fitting results of the Bingham model.
GroupShear Stress/PaApparent Viscosity/Pa·sR2
H-1160.0641.0630.996
P-1 153.1980.9140.971
P-2 145.220.7720.994
P-3 137.640.6280.968
P-4 134.5760.4610.966
P-5 124.6850.3800.964
M-1156.3370.9470.991
M-2151.6130.8940.993
M-3147.8220.8830.998
M-4144.5230.8460.996
M-5142.3280.8270.983
Disclaimer/Publisher’s Note: The statements, opinions and data contained in all publications are solely those of the individual author(s) and contributor(s) and not of MDPI and/or the editor(s). MDPI and/or the editor(s) disclaim responsibility for any injury to people or property resulting from any ideas, methods, instructions or products referred to in the content.

Share and Cite

MDPI and ACS Style

Yang, L.; Wang, Y.; Kou, Y.; Wang, Z.; Li, T.; Li, Q.; Zhang, H.; Chen, S. Competitive Adsorption of Thickeners and Superplasticizers in Cemented Paste Backfill and Synergistic Regulation of Rheology and Strength. Minerals 2026, 16, 43. https://doi.org/10.3390/min16010043

AMA Style

Yang L, Wang Y, Kou Y, Wang Z, Li T, Li Q, Zhang H, Chen S. Competitive Adsorption of Thickeners and Superplasticizers in Cemented Paste Backfill and Synergistic Regulation of Rheology and Strength. Minerals. 2026; 16(1):43. https://doi.org/10.3390/min16010043

Chicago/Turabian Style

Yang, Liuhua, Yongbin Wang, Yunpeng Kou, Zengjia Wang, Teng Li, Quanming Li, Hong Zhang, and Shuisheng Chen. 2026. "Competitive Adsorption of Thickeners and Superplasticizers in Cemented Paste Backfill and Synergistic Regulation of Rheology and Strength" Minerals 16, no. 1: 43. https://doi.org/10.3390/min16010043

APA Style

Yang, L., Wang, Y., Kou, Y., Wang, Z., Li, T., Li, Q., Zhang, H., & Chen, S. (2026). Competitive Adsorption of Thickeners and Superplasticizers in Cemented Paste Backfill and Synergistic Regulation of Rheology and Strength. Minerals, 16(1), 43. https://doi.org/10.3390/min16010043

Note that from the first issue of 2016, this journal uses article numbers instead of page numbers. See further details here.

Article Metrics

Back to TopTop