Evolution of Pore Structure and Mechanical Characteristics of Red Sandstone Under Drying–Wetting Cycles
Abstract
1. Introduction
2. Test Programme
2.1. Specimen Preparation
2.2. Tests
- (1)
- Dry and wet cycle test
- (2)
- Nuclear magnetic resonance (NMR) test
- (3)
- Fracture mechanical strength test
2.3. NMR Aperture Conversion and Fractal Calculation
2.3.1. NMR Aperture Conversion
2.3.2. NMR Fractal Dimension Calculation and Pore Structure Delineation
3. Analysis of Experimental Results
3.1. Characteristics of T2 Spectrum Distribution and Evolution Law
3.2. Characteristics of Sandstone Pore Structure
3.2.1. Change Rule of Total Porosity of Mortar
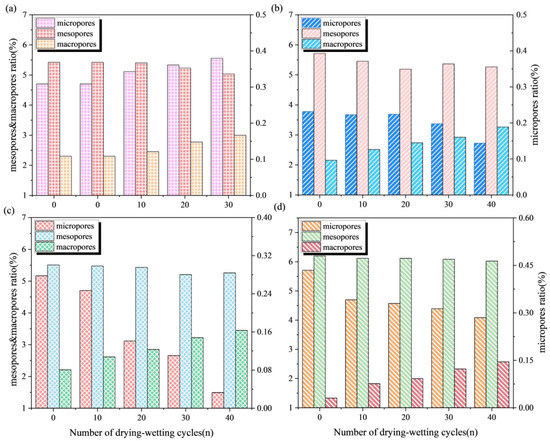
3.2.2. Mortar Division of Pore Structure Porosity
3.3. The Characteristics of the Correlation Between the Pore Structure and Fractal Dimension
3.3.1. Fractal Characterization of Pore Structure
3.3.2. Correlation Between Fractal Dimension and Porosity
3.4. Characteristics of Fracture Mechanics Changes in Red Sandstone
3.4.1. Changing Law of Fracture Toughness
3.4.2. Characteristics of Correlation Between Pore Structure and Fracture Mechanics
4. Discussion
5. Conclusions
Author Contributions
Funding
Data Availability Statement
Conflicts of Interest
References
- Du, K.; Liu, M.; Li, X.; Wang, L.; Zhou, J.; Yang, T.; Li, P. Mechanical properties of hard red sandstone in conventional triaxial compression tests incorporating acoustic emission. Trans. Nonferrous Met. Soc. China 2013, 1–23. [Google Scholar]
- Shen, S.W.; Wu, F.; Gan, L.; Jiang, M. Physical and mechanical properties of red sandstone with different initial saturation after freezing and thawing. Drill. Proj. 2021, 48, 120–128. [Google Scholar]
- Chen, J.; Tong, J.; Rui, Y.C.; Cui, Y.; Pu, Y.; Du, J.; Apel, D. Step-path failure mechanism and stability analysis of water-bearing rock slopes based on particle flow simulation. Theor. Appl. Fract. Mech. 2024, 131, 104370. [Google Scholar] [CrossRef]
- Miao, F.; Wu, Y.; Li, L.; Tang, H.; Xiong, F. Weakening Laws of Slip Zone Soils during Wetting–drying Cycles based on Fractal Theory. A Case Study in the Three Gorges Reservoir (China). Acta Geotech. 2020, 15, 1909–1923. [Google Scholar] [CrossRef]
- Ye, W.J.; Wu, Y.; Yang, G.; Jing, H.; Chang, S.; Chen, M. Study on the change rule of fine microstructure and macro-mechanical properties of ancient soil under dry and wet cycling. J. Rock Mech. Eng. 2019, 38, 2126–2137. [Google Scholar]
- Cai, X.; Zhou, Z.L.; Tan, L.H.; Zang, H.Z.; Song, Z.Y. Fracture behavior and damage mechanisms of sandstone subjected to wetting-drying cycles. Eng. Fract. Mech. 2020, 234, 107109. [Google Scholar] [CrossRef]
- Li, X.; Deng, L.; Zhang, G.; Yi, Q.; Deng, M.; Shang, M.; Li, J.; Zhang, Y.; Yang, J. Mechanism of fine structure evolution and macro-mechanical multi-scale study of soil under loaded wet and dry cycles in the downward sliding zone. Water Conserv. Hydropower Technol. 2024, 55, 180–192. [Google Scholar]
- Jiang, Q.; Xu, Y.; Wang, H.; Yang, L. Effects of dry and wet cycles on suction and shear strength of slip belt soil matrix. J. Earth Sci. Environ. 2022, 44, 959–970. [Google Scholar]
- Liu, K.; Ye, W.J.; Gao, H.J.; Dong, Q. Multi-scale effects of mechanical property degradation of expansive soils in dry and wet environments. J. Rock Mech. Eng. 2020, 39, 2148–2159. [Google Scholar]
- Yang, X.; Wang, J.; Hou, D.; Zhu, C.; He, M. Effect of dry-wet cycling on the mechanical properties of rocks, a laboratory-scale experimental study. Processes 2018, 6, 199. [Google Scholar] [CrossRef]
- Zhang, F.; Jiang, A.; Yang, X. Shear creep experiments and modeling of granite under dry-wet cycling. Eng. Geol. Environ. 2021, 80, 5897–5908. [Google Scholar] [CrossRef]
- Li, X.; Peng, K.; Peng, J.; Hou, D. Experimental investigation of cyclic wetting-drying effect on mechanical behavior of a medium-grained sandstone. Eng. Geol. 2021, 293, 106335. [Google Scholar] [CrossRef]
- Zang, Q.; Liu, C.; Awan, R.S. Occurrence characteristics of the movable fluid in heterogeneous sandstone reservoir based on fractal analysis of NMR data: A case study of the Chang 7 Member of Ansai Block, Ordos Basin, China. J. Pet. Sci. Eng. 2022, 214, 110499. [Google Scholar] [CrossRef]
- Liu, M.; Bi, R.; Luo, X.; Du, K. Natural joint effect on mechanical characteristics and fracture evolution of In-Site rocks under uniaxial compression. Eng. Fail. Anal. 2024, 157, 107880. [Google Scholar] [CrossRef]
- Liu, Y.; Deng, H. Study on permeability performance of cemented tailings backfill based on fractal characteristics of pore structure. Constr. Build Mater. 2023, 365, 130035. [Google Scholar] [CrossRef]
- Gao, L.; Zhang, J. Evaluation of reservoir pore classification based on fractal features and cluster analysis. Adv. Fine Pertrochem. 2024, 25, 27–34. [Google Scholar]
- Zhang, H.; Lu, K.; Zhang, W.; Li, D.; Yang, G. Quantification and acoustic emission characteristics of sandstone damage evolution under dry–wet cycles. J. Build. Eng. 2022, 48, 103996. [Google Scholar] [CrossRef]
- Yu, Y.; Li, C.; Hong, W.; Meng, J.; Fu, G. Strength characteristics and structural damage of red bedded sandstone of Xiaoba Formation in Baihetan under dry and wet cycling. Saf. Environ. Eng. 2022, 29, 24–32. [Google Scholar]
- Yuan, P.; Qi, S.; Bit, N. Strength deterioration and energy evolution law of deep sandstone under dry and wet cycling. Sci. Technol. Eng. 2022, 22, 337–343. [Google Scholar]
- Liu, M. Experimental study on strength damage of dolomite under dry and wet cycling. Roadbed Eng. 2022, 5, 117–121. [Google Scholar] [CrossRef]
- Fu, Y.; Wang, Z.; Liu, X.; Yuan, W.; Miao, L.; Liu, J.; Deng, Z. Study on fine-scale damage evolution and macroscopic deterioration of sandstone under dry and wet cycling. J. Geotech. Eng. 2017, 39, 1653–1661. [Google Scholar]
- Chen, Z.; Lan, H.; Liu, S.; Du, K. Tensile strength deterioration mechanism and damage mode of grotto temple sandstone under dry and wet cycling. Earth Sci. 2024, 49, 612–624. [Google Scholar]
- Zhao, B.; Li, Y.; Huang, W.; Yang, J.; Sun, J.; Li, W.; Zhang, L.; Zhang, L. Mechanical characteristics of red sandstone under cyclic wetting and drying. Environ. Earth Sci. 2021, 80, 738. [Google Scholar] [CrossRef]
- Wang, X.; Lian, B.; Wang, J.; Feng, W.; Gu, T. Creep damage properties of sandstone under dry-wet cycles. J. Mt. Sci. 2020, 17, 3112–3122. [Google Scholar] [CrossRef]
- Jiang, J.; Chen, S.; Xu, J.; Liu, Q. Mechanical properties and energy characteristics of mudstone in different water-bearing states. J. Coal 2018, 43, 2217–2224. [Google Scholar]
- Cherblanc, F.; Berthonneau, J.; Bromblet, P.; Huon, V. Influence of water content on the mechanical behaviour of limestone, role of the clay minerals content. Rock Mech. Rock Eng. 2016, 49, 2033–2042. [Google Scholar] [CrossRef]
- Jiang, Y.; Zhou, L.; Zhu, Z.; Ma, L.; Chen, J.; Li, Y. Research on dynamic cracking properties of cracked rock mass under the effect of thermal treatment. Theor. Appl. Fract. Mech. 2022, 122, 103580. [Google Scholar] [CrossRef]
- Jiang, Y.; Zhu, Z.; Yu, L.; Zhou, L.; Zhang, R.; Ma, L. Investigation of the fracture characteristics of granite and green sandstone under different thermal treatments. Theor. Appl. Fract. Mech. 2022, 118, 103217. [Google Scholar] [CrossRef]
- GB/T 50266-2013; Standard for Engineering Rock Test Methods. General Administration of Quality Supervision, Inspection and Quarantine of the People’s Republic of China: Beingjing, China, 2013.
- Brown, E.T. Rock Characterization, Testing & Monitoring, ISRM Suggested Methods; Commission on Testing Methods, International Society for Rock Mechanics by Pergamon Press: Oxford, UK, 1981. [Google Scholar]
- Zhang, S.; An, D.; Zhang, X.; Yu, B.; Wang, H. Research on size effect of fracture toughness of sandstone using the center-cracked circular disc samples. Eng. Fract. Mech. 2021, 251, 107777. [Google Scholar] [CrossRef]
- Hou, C.; Jin, X.; He, J. Study on freeze-thaw damage characterization of pore structure of hard gypsum rock based on nuclear magnetic resonance technique. J. Southwest Jiaotong Univ. 2024, 1–10. [Google Scholar]
- Sun, Z. Research on Micro-Scale Pore-Throat Inhomogeneity and Fluid Storage Law in Tight Sandstone Reservoirs. Master’s Thesis, Xi’an Shiyou University, Xi’an, China, 2024. [Google Scholar]
- Li, J.; Kaunda, R.B.; Zhou, K.P. Experimental investigations on the effects of ambient freeze-thaw cycling on dynamic properties and rock pore structure deterioration of sandstone. Cold Reg. Sci. Technol. 2018, 154, 133–141. [Google Scholar] [CrossRef]
- Zhang, J.; Deng, H.; Deng, J.; Gao, R. Fractal Analysis of Pore Structure Development of Sandstone, A Nuclear Magnetic Resonance Investigation. IEEE Access 2019, 7, 47282–47293. [Google Scholar] [CrossRef]
- Yan, J.; Wen, D.; Li, Z.; Geng, B.; Cai, J.; Liang, Q.; Yan, Y. The quantitative evaluation method of low permeable sandstone pore structure based on nuclear magnetic resonance (NMR) logging. Chin. J. Geophys. 2016, 59, 1543–1552. [Google Scholar]
- Li, X.; Che, X.; Li, H.; Qi, C. Macro- and fine-scale mechanical modeling of direct tensile fracture in brittle rocks with dry and wet cycles. Geotechnics 2024, 07, 1–12. [Google Scholar]
- Han, X.; Wang, B.; Feng, J. Relationship between fractal feature and compressive strength of concrete based on MIP. Constr. Build. Mater. 2022, 322, 126504. [Google Scholar] [CrossRef]
- Gu, X.; Liu, B.; Li, Z.; Wang, H.; Liu, J.; Nehdi, M.; Zhang, Y. Optimizing the pore structure and permeability of calcined clay limestone cement through shell powder. J. Build. Eng. 2024, 91, 2352–7102. [Google Scholar] [CrossRef]
- Gong, S.; Zhao, Y.; Zhang, H.; Zhou, Y.; Zhao, C.; Wang, W. Experimental Study on the Anisotropy of Fracture Toughness and Fracture Process Zone of Anthracite. J. China Coal Soc. 2024, 49, 3399–3424. [Google Scholar]
- Zhang, Z.; Weller, A. Fractal dimension of pore-space geometry of an Eocene sandstone formation. Geophysics 2014, 79, 377–387. [Google Scholar] [CrossRef]
- Li, K. Analytical derivation of Brooks–Corey type capillary pressure models using fractal geometry and evaluation of rock heterogeneity. J. Pet. Sci. Eng. 2010, 73, 20–26. [Google Scholar] [CrossRef]
- Hu, J.; Ren, Q.; Yang, D. Cross-scale characteristics of backfill material using NMR and fractal theory. Trans. Nonferrous Met. Soc. China 2020, 30, 1347–1363. [Google Scholar] [CrossRef]
- Zhang, C.; Chen, Z.; Zhang, Z. Study on pore fractal structure of reservoir rock based on NMR T2 spectrum distribution. Oil Gas Technol. 2007, 29, 80–86. [Google Scholar]
- Brooks, R.H.; Corey, A.T. Hydraulic properties of porous media. Colo. State Univ. Hydrol. Pap. 1964, 3, 7280. [Google Scholar]
- Li, H.; Ma, L.; Yang, C.; Sima, Y.; Liu, J.; Li, Y. Experimental investigation on the damage and deterioration of sandstone subjected to cycling pore water pressure. Bull. Eng. Geol. Environ. 2023, 82, 107. [Google Scholar] [CrossRef]
- Lin, Z.; Wang, J. Experimental study on the softening mechanism of red sandstone disintegration in water. Roadbed Eng. 2019, 94–98. [Google Scholar]
- Xie, H.; Chen, Z. Fractal geometry and fracture of rock. Acta Mech. Sin. 1988, 4, 255–264. [Google Scholar]
- Xu, P.; Li, C.; Qiu, S.; Sasmito, A.P. A fractal network model for fractured porous media. Fractals-Complex Geom. Patterns Scaling Nat. Soc. 2016, 24, 1650018. [Google Scholar] [CrossRef]
- Shi, J.; Chun, Q.; Feng, S.; Liu, C.; Liu, Z.; Wang, D.; Zhang, Y. Pore structure and fractal dimension analysis of ancient city wall bricks in China. J. Build. Eng. 2023, 76, 107324. [Google Scholar] [CrossRef]
- Dang, H.L.; Wang, X.F.; Cui, P.X.; Hou, B.C.; Li, T. Characterization of seepage-absorption oil drive in low-permeability tight sandstone reservoirs based on nuclear magnetic resonance technology. Adv. Geophys. 2020, 35, 1759–1769. [Google Scholar]
- Liu, Y.; Deng, H.; Jiang, Z. Pore structure characteristics of artificial sand aggregate mortar. J. Build. Eng. 2024, 94, 109940. [Google Scholar] [CrossRef]
- Jiang, Z.; Cai, G.; Liu, Y. Pore structure and mechanical characteristics of CRS mortar based on NMR and fractal theory. Constr. Build. Mater. 2024, 457, 139459. [Google Scholar] [CrossRef]
- Lai, J.; Wang, G.; Fan, Z.; Zhou, Z.; Chen, J. Fractal analysis of tight shaly sandstones using nuclear magnetic resonance measurements. AAPG Bull. 2018, 102, 175–193. [Google Scholar] [CrossRef]
- Yu, S.; Deng, H.; Tian, G.; Deng, J. Microscopic Characteristic Analysis on Sandstone under Coupling Effect of Freeze-Thaw and Acidic Treatment: From Nuclear Magnetic Resonance Perspective. Appl. Sci. 2020, 10, 5699. [Google Scholar] [CrossRef]
- Li, H.; Liu, J.; Lin, B.; Shi, S.; Yang, W.; Lu, Y.; Lu, J.; Liu, M. Mechanism of pore feature evolution of Wufeng-Longmaxi Formation shale under microwave-enhanced acid erosion. J. Coal 2024, 1–13. [Google Scholar] [CrossRef]
- Liu, Y.; Deng, H.; Jiang, Z.; Tian, G.; Wang, P.; Yu, S. Research on influence laws of aggregate sizes on pore structures and mechanical characteristics of cement mortar. J. Constr. Build. Mater. 2024, 442, 137606. [Google Scholar] [CrossRef]
- Sun, W. Research on Fine Analysis Method and Rupture Mechanism of Brazilian Splitting and Fracture Toughness Test of Brittle Rock. Ph.D. Thesis, University of Science and Technology, Beijing, China, 2022. [Google Scholar]
- Ayatollahi, M.R.; Sistaninia, M. Mode II fracture study of rocks using Brazilian disk specimens. Int. J. Rock Mech. Min. Sci. 2011, 48, 819–826. [Google Scholar] [CrossRef]
- Chen, C.; Zhao, B.; Zhang, L. Mechanism of strength deterioration of red sandstone on reservoir bank slopes under the action of dry-wet cycles. Sci. Rep. 2023, 13, 20027. [Google Scholar] [CrossRef] [PubMed]
- Hua, W.; Dong, S.; Peng, F.; Li, K.; Wang, Q. Experimental investigation on the effect of wetting-drying cycles on mixed mode fracture toughness of sandstone. Int. J. Rock Mech. Min. Sci. 2017, 93, 242–249. [Google Scholar] [CrossRef]
- Qin, L.; Zhai, C.; Liu, S.; Xu, J.; Wu, S.; Dong, R. Fractal dimensions of low rank coal subjected to liquid nitrogen freeze-thaw based on nuclear magnetic resonance applied for coalbed methane recovery. Powder Technol. 2018, 325, 11–20. [Google Scholar] [CrossRef]
- Huang, S.; Yu, S.; Ye, Y.; Ye, Z.; Cheng, A. Pore structure change and physico-mechanical properties deterioration of sandstone suffering freeze-thaw actions. Constr. Build. Mater. 2022, 330, 127200. [Google Scholar] [CrossRef]
- Lian, C.; Zhuge, Y.; Beecham, S. The relationship between porosity and strength for porous concrete. Constr. Build. Mater. 2011, 25, 4294–4298. [Google Scholar] [CrossRef]
- Amiri, M.; Moomivand, H. Development of a new physical modeling method to investigate the effect of porosity on the parameters of intact rock failure criteria. Arab. J. Geosci. 2019, 12, 317. [Google Scholar] [CrossRef]
- Wang, X.; Zhang, Q. Role of surface roughness in the wettability, surface energy and flotation kinetics of calcite. Powder Technol. 2020, 371, 55–63. [Google Scholar] [CrossRef]
- Luo, P.; Zhong, N.; Imran, K. Effects of pore structure and wettability on methane adsorption capacity of mud rock: Insights from mixture of organic matter and clay minerals. Fuel 2019, 251, 551–561. [Google Scholar] [CrossRef]
- Zhou, C.; Tan, X.; Deng, Y.; Zhang, L.; Wang, J. Microscopic mechanism of softening of special soft rock. Chin. J. Rock Mech. Eng. 2005, 24, 394–400. [Google Scholar]
- Yao, W.; Li, C.; Ke, Q. Multi-scale deterioration of physical and mechanical properties of argillaceous siltstone under cyclic wetting-drying of Yangtze River water. Eng. Geol. 2023, 312, 106925. [Google Scholar] [CrossRef]
- Miao, C.; Yang, L.; Xu, Y.; Yang, K.; Sun, X.; Jiang, M.; Zhao, W. Experimental study on strength softening of sandstone based on nuclear magnetic resonance monitoring and its microscopic mechanism. Chin. J. Rock Mech. Eng. 2021, 40, 2189–2198. [Google Scholar]
- Liu, H.; Xie, H.; Wu, F.; Li, C.; Gao, R. A novel box-counting method for quantitative fractal analysis of three-dimensional pore characteristics in sandstone. Int. J. Min. Sci. Technol. 2024, 34, 479–489. [Google Scholar] [CrossRef]










| Number of Drying–Wetting Cycles (n) | 25% Saturation | 50% Saturation | 75% Saturation | 100% Saturation |
|---|---|---|---|---|
| 0 | 8.032 | 8.103 | 8.001 | 7.956 |
| 10 | 8.198 | 8.192 | 8.359 | 8.280 |
| 20 | 8.365 | 8.370 | 8.445 | 8.442 |
| 30 | 8.416 | 8.487 | 8.560 | 8.726 |
| 40 | 8.436 | 8.674 | 8.739 | 8.875 |
| Cycles | Initial Saturation | Fractal Dimension | |||
|---|---|---|---|---|---|
| Dtotal | Dmi | Dme | Dma | ||
| 0 | 25% Saturation | 2.494 | −0.930 | 2.531 | 2.897 |
| 10 | 2.501 | −0.480 | 2.562 | 2.923 | |
| 20 | 2.499 | −1.071 | 2.554 | 2.931 | |
| 30 | 2.506 | −0.800 | 2.593 | 2.938 | |
| 40 | 2.514 | −0.547 | 2.672 | 2.947 | |
| 0 | 50% Saturation | 2.454 | 0.082 | 2.263 | 2.865 |
| 10 | 2.486 | 0.011 | 2.359 | 2.871 | |
| 20 | 2.499 | 0.202 | 2.396 | 2.915 | |
| 30 | 2.506 | 0.409 | 2.424 | 2.931 | |
| 40 | 2.508 | 0.488 | 2.434 | 2.942 | |
| 0 | 75% Saturation | 2.454 | −0.786 | 2.238 | 2.891 |
| 10 | 2.500 | −0.749 | 2.305 | 2.913 | |
| 20 | 2.499 | 0.051 | 2.292 | 2.927 | |
| 30 | 2.509 | −0.101 | 2.348 | 2.924 | |
| 40 | 2.507 | −0.606 | 2.402 | 2.935 | |
| 0 | 100% Saturation | 2.483 | −0.644 | 1.856 | 2.927 |
| 10 | 2.521 | 0.113 | 1.898 | 2.913 | |
| 20 | 2.502 | 0.387 | 1.836 | 2.937 | |
| 30 | 2.513 | 0.376 | 1.807 | 2.944 | |
| 40 | 2.520 | 0.074 | 1.879 | 2.948 | |
| Fracture Toughness | Saturation | Related Coefficient | |||||
|---|---|---|---|---|---|---|---|
| Porosity | Fractal Dimension | ||||||
| Linear Function | Exponential Function | Power Function | Linear Function | Exponential Function | Power Function | ||
| Type I | 25% | 0.914 | 0.495 | 0.876 | 0.812 | 0.442 | 0.836 |
| 50% | 0.927 | 0.736 | 0.931 | 0.783 | 0.638 | 0.689 | |
| 75% | 0.894 | 0.628 | 0.833 | 0.610 | 0.702 | 0.601 | |
| 100% | 0.923 | 0.764 | 0.918 | 0.331 | 0.340 | 0.382 | |
| Type II | 25% | 0.937 | 0.759 | 0.895 | 0.789 | 0.441 | 0.702 |
| 50% | 0.932 | 0.642 | 0.931 | 0.881 | 0.738 | 0.858 | |
| 75% | 0.957 | 0.661 | 0.911 | 0.688 | 0.502 | 0.435 | |
| 100% | 0.942 | 0.834 | 0.839 | 0.456 | 0.490 | 0.268 | |
Disclaimer/Publisher’s Note: The statements, opinions and data contained in all publications are solely those of the individual author(s) and contributor(s) and not of MDPI and/or the editor(s). MDPI and/or the editor(s) disclaim responsibility for any injury to people or property resulting from any ideas, methods, instructions or products referred to in the content. |
© 2025 by the authors. Licensee MDPI, Basel, Switzerland. This article is an open access article distributed under the terms and conditions of the Creative Commons Attribution (CC BY) license (https://creativecommons.org/licenses/by/4.0/).
Share and Cite
Deng, H.; Zhou, S.; Yu, S.; Liu, Y.; Xu, J. Evolution of Pore Structure and Mechanical Characteristics of Red Sandstone Under Drying–Wetting Cycles. Minerals 2025, 15, 158. https://doi.org/10.3390/min15020158
Deng H, Zhou S, Yu S, Liu Y, Xu J. Evolution of Pore Structure and Mechanical Characteristics of Red Sandstone Under Drying–Wetting Cycles. Minerals. 2025; 15(2):158. https://doi.org/10.3390/min15020158
Chicago/Turabian StyleDeng, Hongwei, Shiyu Zhou, Songtao Yu, Yao Liu, and Jingbo Xu. 2025. "Evolution of Pore Structure and Mechanical Characteristics of Red Sandstone Under Drying–Wetting Cycles" Minerals 15, no. 2: 158. https://doi.org/10.3390/min15020158
APA StyleDeng, H., Zhou, S., Yu, S., Liu, Y., & Xu, J. (2025). Evolution of Pore Structure and Mechanical Characteristics of Red Sandstone Under Drying–Wetting Cycles. Minerals, 15(2), 158. https://doi.org/10.3390/min15020158
