Petrography and Geochemistry of the Upper Cretaceous Volcaniclastic Deposits of the Haţeg Basin (Southern Carpathians): Inferences on Petrogenesis and Magma Origin
Abstract
1. Introduction
2. Geological Background
3. Sample Selection and Methodology
4. Results
4.1. Petrographic Analysis
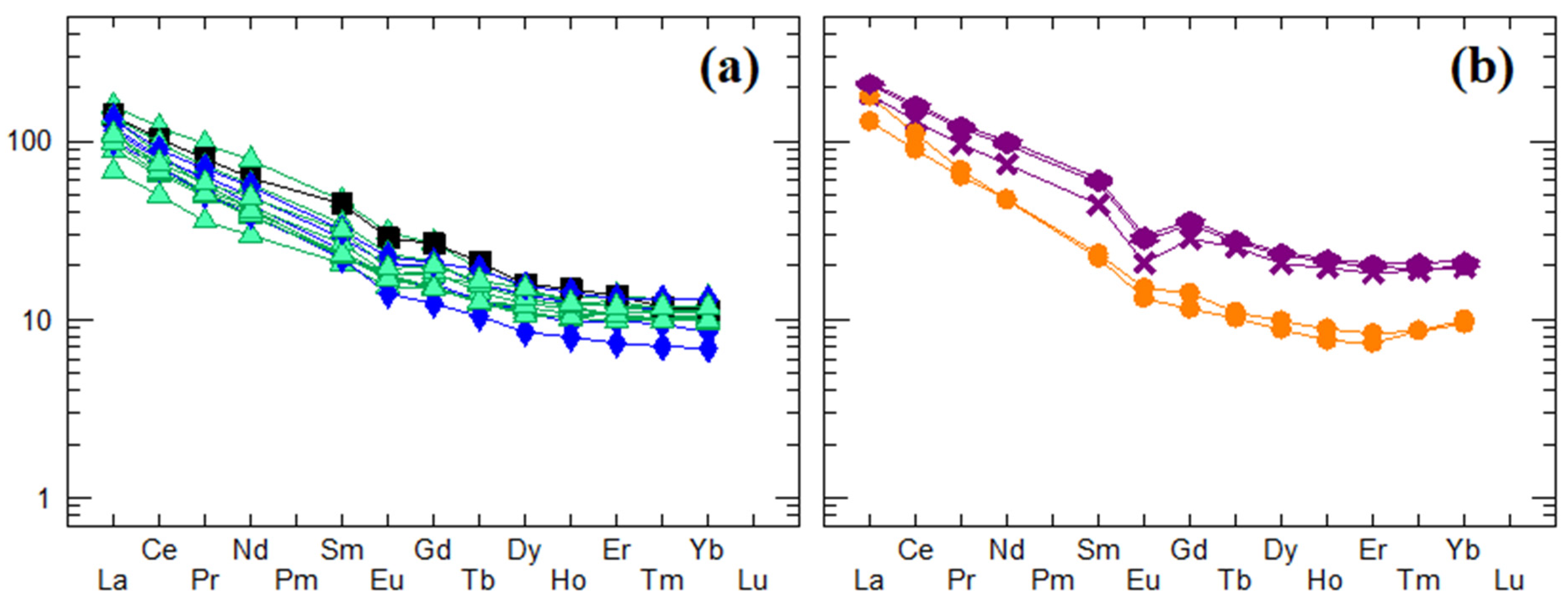
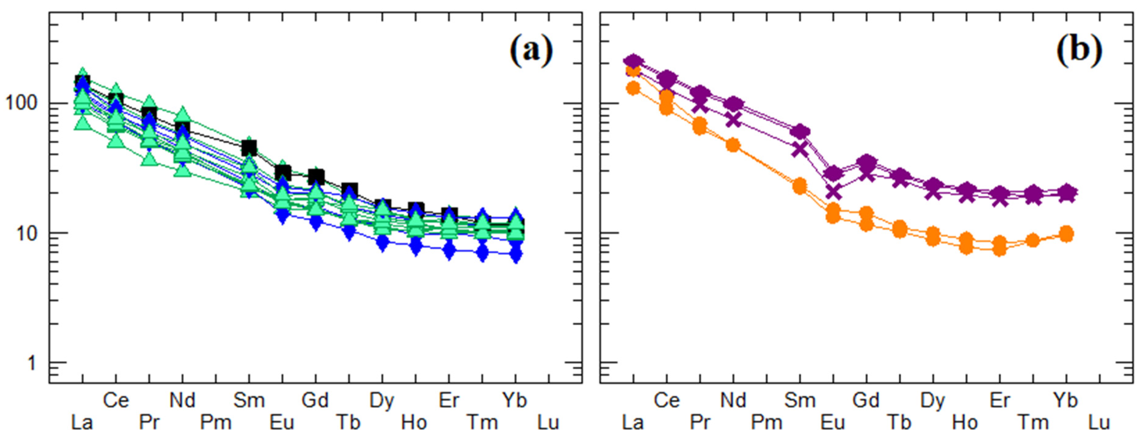
4.2. Whole-Rock Geochemistry
5. Discussion
5.1. Geobarometry
5.2. Open System Igneous Differentiation
5.2.1. Crystal Fractionation
5.2.2. Crustal Assimilation
5.3. Potential Magma Source and Geodynamic Implications
5.4. How Many Magmatic Events?
5.5. Correlation with the Late Cretaceous ABTS Subduction-Related Magmatism
6. Concluding Remarks
Supplementary Materials
Author Contributions
Funding
Data Availability Statement
Conflicts of Interest
References
- Laufer, F. Contributions to the geological study of the Haţeg area. Anu. Institutului Geol. României 1925, 10, 301–333. [Google Scholar]
- Anastasiu, N.; Csobuka, D. Non-marine Uppermost Cretaceous deposits in the Ştei-Densuş region (Haţeg Basin): A sketch for a facial model. Rev. Roum. Géologie Géophysique Géographie 1989, 33, 43–53. [Google Scholar]
- Grigorescu, D. Nonmarine Cretaceous formations of Romania. In Aspects of Nonmarine Cretaceous Geology; Matter, N.J., Chen, P.J., Eds.; China Ocean Press: Beijing, China, 1992; Special volume, IGCP Project 245; pp. 142–164. [Google Scholar]
- Popa, R.G.; Seghedi, I. Late Cretaceous hydrovolcanism of Hațeg Country Dinosaurs Geopark, Romania. In Proceedings of the 26th IUGG General Assembly, Prague, Czech Republic, 22 June–2 July 2015. Abstract VS15p-823 479. [Google Scholar]
- Vornicu, V. Lithology and genetic interpretation of Upper Cretaceous volcaniclastic deposits of the Haţeg Country UNESCO Global Geopark: Interplay of Science and Geoheritage. Geoheritage 2024, 16, 120. [Google Scholar] [CrossRef]
- Vornicu, V.M.; Seghedi, I.; Csiki-Sava, Z.; Ducea, M.N. Campanian U-Pb ages of volcaniclastic deposits of the Haţeg Basin (Southern Carpathians): Implications for future intrabasinal lithostratigraphic correlations. Geol. Carpathica 2023, 74, 407–422. [Google Scholar] [CrossRef]
- Bârzoi, S.C.; Şeclăman, M. Petrographic and geochemical interpretation of the Late Cretaceous volcaniclastic deposits from the Haţeg Basin. Paleogeogr. Paleoclimatol. Paleoecol. 2010, 293, 306–318. [Google Scholar] [CrossRef]
- Popov, P.; Popov, K. General geologic and metallogenic features of the Panagyurishte ore region. In Geology and Metallogeny of the Panagyurishte Ore Region (Srednogorie Zone, Bulgaria), Guide to Excursions A and C, ABCD-GEODE 2000 Workshop, Borovets; Strashimirov, S., Popov, P., Eds.; Sofia University: Sofia, Bulgaria, 2000; pp. 1–7. [Google Scholar]
- Berza, T.; Constantinescu, E.; Vlad, S.N. Upper Cretaceous magmatic series and associated mineralization in the Carpathian–Balkan orogen. Resour. Geol. 1998, 48, 291–306. [Google Scholar] [CrossRef]
- Ilinca, G.; Berza, T.; Iancu, V.; Seghedi, A. The Late Cretaceous Magmatic and Metallogenetic Belt and the Alpine structures of the western South Carpathians. In Proceedings of the 3rd International Symposium on the geology of the Black Sea Region, Geoecomar, Bucharest, Romania, 1–10 October 2011. 117p. [Google Scholar]
- Janković, S. The Carpatho-Balkanides and adjacent area: A sector of the Tethyan Eurasian metallogenic belt. Miner. Depos. 1977, 32, 426–433. [Google Scholar] [CrossRef]
- Janković, S. Major alpine ore deposits and metallogenic units in the northeastern Mediterranean and concepts of plate tectonics. In Metallogeny and Plate Tectonics in the Northeastern Mediterranean; Janković, S., Ed.; Faculty of Mining Geology, Belgrade University: Beograd, Serbia, 1977; pp. 105–171. [Google Scholar]
- Ştefan, A.; Rusu, A.; Bratosin, I.; Colios, E. Petrological study of the alpine magmatites in the linkzone between the Apuseni Mountains and the Oas-Gutâi-Tibles Volcanic Chain. D. S. Institutul Geol. Geofiz. 1986, 70, 243–262. [Google Scholar]
- Dupont, A.; Vander Auwera, J.; Pin, C.; Marincea, S.; Berza, T. Trace element and isotope (Sr, Nd) geochemistry of porphyryand skarn-mineralising Late Cretaceous intrusions from Banat, western South Carpathians, Romania. Miner. Depos. 2002, 37, 568–586. [Google Scholar] [CrossRef]
- Gallhofer, D.; von Quadt, A.; Peytcheva, I.; Schmid, S.M.; Heinrich, C.A. Tectonic, magmatic, and metallogenic evolution of the Late Cretaceous arc in the Carpathian-Balkan orogen. Tectonics 2015, 34, 1813–1836. [Google Scholar] [CrossRef]
- Vander Auwera, J.; Berza, T.; Gesels, J.; Dupont, A. The Late Cretaceous igneous rocks of Romania (Apuseni Mountains and 870 Banat): The possible role of amphibole versus plagioclase deep fractionation in two different crustal terranes. Int. J. Earth Sci. 2015, 105, 819–847. [Google Scholar] [CrossRef]
- Georgiev, S.; Marchev, P.; Heinrich, C.A.; Von Quadt, A.; Peytcheva, I.; Manetti, P. Origin of nepheline-normative high-K ankaramites and the evolution of Eastern Srednogorie arc in SE Europe. J. Petrol. 2009, 50, 1899–1933. [Google Scholar] [CrossRef]
- Marchev, P.; Georgiev, S.; Zajacz, Z.; Raycheva, R.; Manetti, P.; von Quadt, A.; Tomassini, S. High-K ankaramitic melt inclusions and lavas in the Upper Cretaceous Eastern Srednogorie continental arc, Bulgaria: Implications for the genesis of arc shoshonites. Lithos 2009, 113, 228–245. [Google Scholar] [CrossRef]
- Von Cotta, B. Erzlagerstätten im Banat und in Serbien; W. Braumüller: Vienna, Austria, 1864; 108p. [Google Scholar]
- Săndulescu, M. Geotectonica României; Editura Tehnică: Bucharest, Romania, 1984; 366p. (In Romanian) [Google Scholar]
- Săndulescu, M. Cenozoic Tectonic History of the Carpathians. In The Pannonian Basin: A Study in Basin Evolution, American Association of Petroleum Geologists Memoir; Royden, L.H., Horváth, F., Eds.; American Association of Petroleum Geologists: Washington, DC, USA, 1988; Volume 45, pp. 17–25. [Google Scholar]
- Dewey, J.; Pitman, W.; Bonnin, J. Plate tectonics and evolution of the Alpine system. Geol. Soc. Am. Bull. 1973, 85, 1429–1440. [Google Scholar] [CrossRef]
- Boccaletti, M.; Manetti, P.; Peccerillo, A. The Balkanids as an instance of back-arc thrust belt: Possible relation with the Hellenids. Geol. Soc. Am. Bull. 1974, 85, 1077–1084. [Google Scholar] [CrossRef]
- Dabovski, C.; Harkovska, A.; Kamenov, B.; Mavrudchiev, B.; Stanisheva-Vassileva, G.; Yanev, Y. A geodynamic model of the Alpine magmatism in Bulgaria. Geol. Balc. 1991, 21, 3–15. [Google Scholar] [CrossRef]
- Csontos, L.; Vörös, A. Mesozoic plate tectonic reconstruction of the Carpathian region. Palaeogeogr. Palaeoclimatol. Palaeoecol. 2004, 210, 1–56. [Google Scholar] [CrossRef]
- Schmid, S.M.; Bernoulli, D.; Fuegenschuh, B.; Matenco, L.; Schefer, S.; Schuster, R.; Tischler, M.; Ustaszewski, K. The Alpine-Carpathian-Dinaridic orogenic system: Correlation and evolution of tectonic units. Swiss J. Geosci. 2008, 101, 139–183. [Google Scholar] [CrossRef]
- Bojar, A.-V.; Neubauer, F.; Fritz, H. Cretaceous to Cenozoic thermal evolution of the southwestern South Carpathians: Evidence from fission-track thermochronology. Tectonophysics 1998, 297, 229–249. [Google Scholar] [CrossRef]
- Willingshofer, E.; Neubauer, F.; Cloetingh, S. The significance of Gosau-type basins for the Late Cretaceous history of the Alpine-Carpathian Belt. Phys. Chem. Earth 1999, 24, 687–695. [Google Scholar] [CrossRef]
- Iancu, V.; Berza, T.; Seghedi, A.; Gheuca, I.; Hann, H.P. Alpine polyphase tectono-metamorphic evolution of the South Carpathians: A new overview. Tectonophysics 2005, 410, 337–365. [Google Scholar] [CrossRef]
- Lips, A.L.W. Correlating magmatic-hydrothermal ore deposit formation over time with geodynamic processes in SE Europe. In The Timing and Location of Major Ore Deposits in an Evolving Orogen; Blundell, D.J., Neubauer, F., Von Quadt, A., Eds.; Geological Society London Special Publications: London, UK, 2002; Volume 204, pp. 69–79. [Google Scholar] [CrossRef]
- von Quadt, A.; Moritz, R.; Peycheva, I.; Heinrich, C.A. 3: Geochronology and geodynamics of Late Cretaceous magmatism and Cu–Au mineralizationn in the Panagyurishte Region of the Apuseni-Banat-Timok-Srednogorie Belt, Bulgaria. Ore Geol. Rev. 2005, 27, 95–126. [Google Scholar] [CrossRef]
- Chambefort, I.; Moritz, R. Late Cretaceous structural control and Alpine overprint of the high-sulfidation Cu–Au epithermal Chelopech deposit, Srednogorie Belt, Bulgaria. Miner. Depos. 2006, 41, 259–280. [Google Scholar] [CrossRef]
- Zimmerman, A.; Stein, H.; Hannah, J.; Koželj, D.; Bogdanov, K.; Berza, T. Tectonic configuration of the Apuseni-Banat-Timok-Srednogorie belt, Balkans-South Carpathians, constrained by high precision RE-Os molybdenite ages. Miner. Depos. 2008, 43, 1–21. [Google Scholar] [CrossRef]
- Neubauer, F. Contrasting Late Cretaceous with Neogene ore provinces in the Alpine–Balkan-Carpathian-Dinaride collision belt. In The Timing and Location of Major Ore Deposits in an Evolving Orogen; Blundell, D.J., Neubauer, F., Von Quadt, A., Eds.; Geological Society London Special Publications: London, UK, 2002; Volume 204, pp. 81–102. [Google Scholar] [CrossRef]
- Stoykov, S.; Peytcheva, I.; von Quadt, A.; Moritz, R.; Frank, M.; Fontignie, D. Timing and magma evolution of the Chelopech volcanic complex (Bulgaria). Swiss J. Geosci. Suppl. 2004, 84, 101–117. [Google Scholar]
- Chambefort, I.; Moritz, R.; von Quadt, A. Petrology, geochemistry and U-Pb geochronology of magmatic rocks from the high-sulfidation epithermal Au-Cu Chelopech deposit, Srednogorie zone, Bulgaria. Miner. Depos. 2007, 42, 665–690. [Google Scholar] [CrossRef]
- Bojar, A.-V.; Halas, S.; Bojar, H.-P.; Grigorescu, D.; Vasile, Ş. Upper Cretaceous volcanoclastic deposits from the Haţeg Basin, South Carpathians (Romania): K-Ar ages and intrabasinal correlation. Geochronometria 2011, 38, 182–188. [Google Scholar] [CrossRef]
- Ratschbacher, L.; Linzer, H.G.; Moser, F.; Strusievicz, R.O.; Bedelean, H.; Har, N.; Mogoş, P.A. Cretaceous to Miocene thrusting and wrenching along the central South Carpathians due to a corner effect during collision and orocline formation. Tectonics 1993, 12, 855–873. [Google Scholar] [CrossRef]
- Lupu, M.; Avram, E.; Antonescu, E.; Dumitrică, P.; Lupu, D.; Nicolae, I. The Neojurassic and the Cretaceous of the Drocea Mts.: The stratigraphy and the structure of an ensialic marginal basin. Rom. J. Tecton. Reg.Geol. 1993, 75, 53–66. [Google Scholar]
- Grigorescu, D.; Melinte, M.C. The stratigraphy of the Upper Cretaceous marine sediments from the NW Haţeg area (South Carpathians, Romania). Acta Palaeontol. Rom. 2001, 3, 153–160. [Google Scholar]
- Melinte-Dobrinescu, M.C. Lithology and biostratigraphy of Upper Cretaceous marine deposits from the Haţeg region (Romania): Palaeoenvironmental implications. Palaeogeogr. Palaeoclimatol. Palaeoecol. 2010, 293, 283–294. [Google Scholar] [CrossRef]
- Ţabără, D.; Slimani, H. Palynological and palynofacies analyses of Upper Cretaceous deposits in the Haţeg Basin, southern Carpathians, Romania. Cretac. Res. 2019, 104, 104185. [Google Scholar] [CrossRef]
- Grigorescu, D.; Anastasiu, N. Densuş-Ciula and Sînpetru formations (Late Maastrichtian -?Early Paleogene). In IGCP245: Nonmarine Cretaceous Correlation, IGCP262: Tethyan Cretaceous, International Symposium, Guide to Excursions A + B; 1990; pp. 42–54. [Google Scholar]
- Grigorescu, D.; Avram, E.; Pop, G.; Lupu, M.; Anastasiu, N.; Rădan, S. Guide to excursion. In International Symposium IGCP Projects 245: Nonmarine Cretaceous Correlation, 282: Tethyan Cretaceous Correlation: Bucharest, Romania; 1990; 109p. [Google Scholar]
- Bojar, A.-V.; Grigorescu, D.; Ottner, F.; Csiki-Sava, Z. Paleoenvironmental interpretation of dinosaur-and mammal-bearing continental Maastrichtian deposits, Haţeg Basin, Romania. Geol. Q. 2005, 49, 205–222. [Google Scholar]
- Grigorescu, D. The Latest Cretaceous fauna with dinosaurs and mammals from the Haţeg Basin—A historical overview. Palaeogeogr. Palaeoclimatol. Palaeoecol. 2010, 293, 271–282. [Google Scholar] [CrossRef]
- Vasile, Ș.; Csiki, Z.; Grigorescu, D. Reassessment of the spatial extent of the Middle Member, Densuș-Ciula Formation (Maastrichtian), Hațeg Basin, Romania. Acta Palaeontol. Rom. 2011, 7, 335–342. [Google Scholar]
- Botfalvai, G.; Csiki-Sava, Z.; Grigorescu, D.; Vasile, Ş. Taphonomical and palaeoecological investigation of the Late Cretaceous (Maastrichtian) Tuştea vertebrate assemblage (Romania; Haţeg Basin)-insights into a unique dinosaur nesting locality. Palaeogeogr. Palaeoclimatol. Palaeoecol. 2017, 468, 228–262. [Google Scholar] [CrossRef]
- Codarcea, A.; Dimitrescu, R.; Gherasi, N.; Mureşan, M.; Mureşan, G.; Kräutner, H.; Kräutner, F.; Lupu, M.; Marinescu, F.; Savu, H.; et al. Geological Map of Romania: Deva Sheet, Scale 1:200.000; Geological Institute of Romania Press: Bucharest, Romania, 1967. [Google Scholar]
- Dessila-Codarcea, M.; Savu, H.; Pavelescu, M.; Stancu, I.; Lupu, D. Geological Map of Romania: Orăştie Sheet, Scale 1:200.000; Geological Institute of Romania Press: Bucharest, Romania, 1968. [Google Scholar]
- Csiki-Sava, Z.; Vremir, M.; Vasile, Ş.; Brusatte, S.L.; Dyke, G.; Naish, D.; Norell, M.A.; Totoianu, R. The East Side Story -The Transylvanian latest Cretaceous continental vertebrate record and its implications for understanding Cretaceous-Paleogene boundary events. Cretac. Res. 2016, 57, 663–698. [Google Scholar] [CrossRef]
- Le Maitre, R.W.; Bateman, P.; Dudek, A.J.; Keller, M.J. A Classification of Igneous Rocks and Glossary of Terms, Blackwell; Cambridge University Press: Oxford, UK, 1989. [Google Scholar]
- Peccerillo, A.; Taylor, S.R. Geochemistry of Eocene Calc-Alkaline Volcanic Rocks from the Kastamonu Area, Northern Turkey. Contrib. Mineral. Petrol. 1976, 58, 63–81. [Google Scholar] [CrossRef]
- Winchester, J.A.; Floyd, P.A. Geochemical Discrimination of Different Magma Series and Their Differentiation Product Using Immobile Elements. Chem. Geol. 1977, 20, 325–343. [Google Scholar] [CrossRef]
- Sun, S.S.; McDonough, W. Chemical and isotopic systematics of oceanic basalts: Implications for mantle composition and processes. Geol. Soc. Lond. Spec. Publ. 1989, 42, 313–345. [Google Scholar] [CrossRef]
- Rudnick, R.; Gao, S. Composition of the Continental Crust. Treatise Geochem. Treatise Geochem. 2003, 3, 1–64. [Google Scholar] [CrossRef]
- Johnson, M.C.; Rutherford, M.J. Experimental Calibration of the Aluminium in Hornblende Geobarometer with Application to Long Valley Caldera (California) Volcanic Rocks. Geology 1989, 17, 837–841. [Google Scholar] [CrossRef]
- Grove, T.; Till, C.; Krawczynski, M. The Role of H2O in subduction zone magmatism. Annu. Rev. Earth Planet. Sci. 2012, 40, 413–439. [Google Scholar] [CrossRef]
- Schmidt, M.W.; Jagoutz, O. The global systematics of primitive arc melts. Geochem. Geophys. Geosystems 2017, 18, 2817–2854. [Google Scholar] [CrossRef]
- Lee, C.T.A.; Bachmann, O. How important is the role of crystal fractionation in making intermediate magmas? Insights from Zr and P systematics. Earth Planet. Sci. Lett. 2014, 393, 266–274. [Google Scholar] [CrossRef]
- Kay, S.M.; Mpodozis, C.; Ramos, V.A.; Munizaga, F. Magma source variations for mid-late Tertiary magmatic rocks associated with a shallowing subduction zone and thickening crust in the central Andes (28–33°S). In Andean Magmatism and Its Tectonic Setting; Harmon, R.S., Rapela, C., Eds.; Geological Society of America Special Papers: Boulder, CO, Colorado, 1991; Volume 265, pp. 113–137. [Google Scholar] [CrossRef]
- Castillo, P.R.; Janney, P.E.; Solidum, R.U. Petrology and geochemistry of Camiguin Island, southern Philippines: Insights to the source of adakites and other lavas in a complex arc setting. Contrib. Mineral. Petrol. 1999, 134, 33–51. [Google Scholar] [CrossRef]
- Macpherson, C.; Dreher, S.; Thirlwall, M. Adakites without slab melting: High pressure differentiation of island arc magma, Mindanao, the Philippines. Earth Planet. Sci. Lett. 2006, 243, 581–593. [Google Scholar] [CrossRef]
- Hora, J.; Singer, B.; Wörner, G.; Beard, B.; Jicha, B.; Johnson, C. Shallow and deep crustal control on differentiation of calc- alkaline and tholeiitic magma. Earth Planet. Sci. Lett. 2009, 285, 75–86. [Google Scholar] [CrossRef]
- Davidson, J.; Turner, S.; Handley, H.; Macpherson, C.; Dosseto, A. Amphibole “sponge” in arc crust? Geology 2007, 35, 787–790. [Google Scholar] [CrossRef]
- Bourdon, E.; Eissen, J.P.; Monzier, M.; Robin, C.; Martin, H.; Cotten, J.; Hall, M.L. Adakite-like lavas from Antisana volcano (Ecuador): Evidence for slab melt metasomatism beneath the Andean Northern Volcanic Zone. J. Petrol. 2002, 43, 199–217. [Google Scholar] [CrossRef]
- Davidson, J.; Turner, S.; Plank, T. Dy/Dy*: Variations Arising from Mantle Sources and Petrogenetic Processes. J. Petrol. 2013, 54, 525–537. [Google Scholar] [CrossRef]
- Nakamura, N. Determination of REE, Ba, Fe, Mg, Na and K in carbonaceous and ordinary chondrites. Geochim. Cosmochim. Acta 1974, 38, 757–775. [Google Scholar] [CrossRef]
- Grove, T.; Chatterjee, N.; Parman, S.; Médard, E. The influence of H2O on mantle melting. Earth Planet. Sci. Lett. 2006, 249, 74–89. [Google Scholar] [CrossRef]
- Till, C.B.; Grove, T.L.; Withers, A.C. The beginnings of hydrous mantle wedge melting. Contrib. Mineral. Petrol. 2011, 163, 669–688. [Google Scholar] [CrossRef]
- Fischer, T.P.; Marty, B. Volatile abundances in the sub-arc mantle: Insights from volcanic and hydrothermal gas discharges. J. Volcanol. Geotherm. Res. 2005, 140, 205–216. [Google Scholar] [CrossRef]
- Kelley, K.A.; Cottrell, E. Water and the Oxidation State of Subduction Zone Magmas. Science 2009, 325, 605–607. [Google Scholar] [CrossRef]
- Ulmer, P. High-pressure phase equilibria of a calc-alkaline picro-basalt: Implications for the genesis of calc-alkaline magmas, Carnegie Institution of Washington Geophysical Laboratory. Annu. Rep. 1988, 87, 28–35. [Google Scholar]
- Rohrlach, B.D.; Loucks, R.R. Multi-Million-Year Cyclic Ramp-Up of Volatiles in a Lower Crustal Magma Reservoir Trapped Below the Tampakan Copper-Gold Deposit by Mio-Pliocene Crustal Compression in the Southern Philippines; PGC Publishing: Adelaide, SA, Australia, 2005; 270p. [Google Scholar]
- Alonso-Perez, R.; Müntener, O.; Ulmer, P. Igneous garnet and amphibole fractionation in the roots of island arcs: Experimental constraints on andesitic liquids. Contrib. Mineral. Petrol. 2008, 157, 541–558. [Google Scholar] [CrossRef]
- Maksimov, A.P. The influence of water on the temperature of amphibole stability in melts. J. Volcanol. Seismol. 2009, 3, 27–33. [Google Scholar] [CrossRef]
- Sisson, T.W.; Ratajeski, K.; Hankins, W.B.; Glazner, A.F. Voluminous granitic magmas from common basaltic sources. Contrib. Mineral. Petrol. 2005, 148, 635–661. [Google Scholar] [CrossRef]
- Müntener, O.; Kelemen, P.; Grove, T. The role of H2O during crystallization of primitive arc magmas under uppermost mantle conditions and genesis of igneous pyroxenites: An experimental study. Contrib. Mineral. Petrol. 2001, 141, 643–658. [Google Scholar] [CrossRef]
- Lambert, R.J.; Holland, J.G. Yttrium geochemistry applied to petrogenesis utilizing calcium-yttrium relationships in minerals and rocks. Geochim. Cosmochim. Acta 1974, 38, 1393–1414. [Google Scholar] [CrossRef]
- Defant, M.J.; Drummond, M.S. Mount St. Helens-Potential example of the partial melting of the subducted lithosphere in a volcanic arc. Geology 1993, 21, 547–550. [Google Scholar] [CrossRef]
- Richards, J.P.; Kerrich, R. Special paper: Adakite-like rocks: Their diverse origins and questionable role in metallogenesis. Econ. Geol. 2007, 102, 537–576. [Google Scholar] [CrossRef]
- Kolb, M.; Von Quadt, A.; Peytcheva, I.; Heinrich, C.A.; Fowler, S.J.; Cvetković, V. Adakite-like and Normal Arc Magmas: Distinct Fractionation Paths in the East Serbian Segment of the Balkan-Carpathian Arc. J. Petrol. 2013, 54, 421–451. [Google Scholar] [CrossRef]
- Hildreth, W.; Moorbath, S. Crustal contributions to arc magmatism in the Andes of central Chile. Contrib. Mineral. Petrol. 1988, 98, 455–489. [Google Scholar] [CrossRef]
- Thirlwall, M.F.; Upton, B.G.J.; Jenkins, C. Interaction between continental lithosphere and the Iceland plume-Sr-Nd-Pb isotope geochemistry of Tertiary basalts, NE Greenland. J. Petrol. 1994, 35, 839–879. [Google Scholar] [CrossRef]
- Zellmer, G.F.; Annen, C.; Charlier, B.L.A.; George, R.M.M.; Turner, S.P.; Hawkesworth, C.J. Magma evolution and ascent at volcanic arcs: Constraining petrogenetic processes through rates and chronologies. J. Volcanol. Geotherm. Res. 2005, 140, 171–191. [Google Scholar] [CrossRef]
- Annen, C.; Blundy, J.D.; Sparks, R.S.J. The genesis of intermediate and silicic magmas in deep crustal hot zones. J. Petrol. 2006, 47, 505–539. [Google Scholar] [CrossRef]
- Bojar, A.-V.; Dodd, J.; Seghedi, I. Isotope geochemistry (O, H and Sr) of Late Cretaceous volcanic rocks, Hateg Basin, South Carpathians, Romania. Geol. Soc. Lond. Spec. Publ. 2013, 382, 105–122. [Google Scholar] [CrossRef]
- White, W.M.; Schilling, J.-G.; Hart, S.R. Evidence for the Azores mantle plume from strontium isotope geochemistry of the Central North Atlantic. Nature 1976, 263, 659–663. [Google Scholar] [CrossRef]
- White, W.M.; Hofmann, A.W. Sr and Nd isotope geochemistry of oceanic island basalts and mantle evolution. Nature 1982, 296, 821–825. [Google Scholar] [CrossRef]
- Gallhofer, D. Magmatic Geochemistry and Geochronology in Relation to the Geodynamic and Metallogenic Evolution of the Banat Region and the Apuseni Mountains of Romania. Ph.D. Thesis, ETH-Zürich, Zürich, Switzerland, 2015; 173p. [Google Scholar] [CrossRef]
- De Paolo, D.J. Trace element and isotopic effects of combined wallrock assimilation and fractional crystallization. Earth Planet. Sci. Lett. 1981, 53, 189–202. [Google Scholar] [CrossRef]
- Gill, J.B. Orogenic Andesites and Plate Tectonics; Springer: Berlin, Germany, 1981; 390p. [Google Scholar]
- Hawkesworth, C.J.; Gallagher, K.; Hergt, J.M.; McDermott, F. Mantle and slab contributions in arc magmas. Annu. Rev. Earth Planet. Sci. 1993, 21, 175–204. [Google Scholar] [CrossRef]
- Tatsumi, Y.; Hamilton, D.L.; Nesbitt, R. Chemical characteristics of fluid phase released from a subducted lithosphere and origin of arc magmas: Evidence from high-pressure experiments and natural rocks. J. Volcanol. Geotherm. Res. 1986, 29, 293–309. [Google Scholar] [CrossRef]
- Pearce, J.A.; Peate, D.W. Tectonic implications of the composition of volcanic arc magmas. Annu. Rev. Earth Planet. Sci. 1995, 23, 251–285. [Google Scholar] [CrossRef]
- Iwamori, H. Transportation of H2O and melting in subduction zones. Earth Planet. Sci. Lett. 1998, 160, 65–80. [Google Scholar] [CrossRef]
- Gans, P.B.; Mahood, G.A.; Schermer, E. Syn-extensional magmatism in the Basin and Range Province; A case study from the eastern Great Basin. Geol. Soc. Am. Spec. Pap. 1989, 233, 53. [Google Scholar] [CrossRef]
- Hawkesworth, C.; Turner, S.; Gallagher, K.; Hunter, A.; Bradshaw, T.; Rogers, N. Calc-alkaline magmatism, lithospheric thinning and extension in the Basin and Range. J. Geophys. Res. 1995, 100, 10271–10286. [Google Scholar] [CrossRef]
- Sisson, T.W.; Bronto, S. Evidence of pressure-release melting beneath magmatic arcs from basalt at Galunggung, Indonesia. Nature 1998, 391, 883–886. [Google Scholar] [CrossRef]
- Cameron, B.I.; Walker, J.A.; Carr, M.J.; Patino, L.C.; Matias, O.; Feigenson, M.D. Flux versus decompression melting at stratovolcanoes in southeastern Guatemala. J. Volcanol. Geotherm. Res. 2003, 119, 21–50. [Google Scholar] [CrossRef]
- Seghedi, I.; Downes, H.; Szakács, A.; Mason, P.R.D.; Thirlwall, M.F.; Rosu, E.; Pécskay, Z.; Marton, E.; Panaiotu, C. Neogene-Quaternary magmatism and geodynamics in the Carpathian-Pannonian region: A synthesis. Lithos 2004, 72, 117–146. [Google Scholar] [CrossRef]
- Pearce, J.A. Trace element characteristics of lavas from destructive plate boundaries. In Andesites. Orogenic Andesites and Related Rocks; Thorpe, R.S., Ed.; John Wiley: New York, NY, USA, 1982; pp. 525–548. [Google Scholar]
- McCulloch, M.T.; Gamble, J.A. Geochemical and geodynamical constraints on subduction zone magmatism. Earth Planet. Sci. Lett. 1991, 102, 358–374. [Google Scholar] [CrossRef]
- Woodhead, J.; Eggins, S.; Gamble, J. High field strength and transition element systematics in island arc and backarc basin asalts: Evidence for multi-phase melt extraction and a depleted mantle wedge. Earth Planet. Sci. Lett. 1993, 114, 491–504. [Google Scholar] [CrossRef]
- Kamber, B.S.; Ewart, A.; Collerson, K.D.; Bruce, M.C.; McDonald, G.D. Fluid-mobile trace element constraints on the role of slab melting and implications for Archaean crustal growth models. Contrib. Mineral. Petrol. 2002, 144, 38–56. [Google Scholar] [CrossRef]
- Pătraşcu, S.; Panaiotu, C. Paleomagnetism of some Upper Cretaceous deposits in the South Carpathians. Rev. Roum. Géophysique 1990, 34, 67–77. [Google Scholar]
- Pătraşcu, S.; Şeclăman, M.; Panaiotu, C. Tectonic implications of paleomagnetism in Upper Cretaceous deposits in the Haţeg and Rusca Montană basins (South Carpathians, Romania). Cretac. Res. 1993, 14, 255–264. [Google Scholar] [CrossRef]
- Panaiotu, C.G.; Panaiotu, C.E. Palaeomagnetism of the Upper Cretaceous Sânpetru Formation (Haţeg Basin, South Carpathians). Palaeogeogr. Palaeoclimatol. Palaeoecol. 2010, 293, 343–352. [Google Scholar] [CrossRef]
- Schuller, V.; Frisch, W.; Danisik, M.; Dunkl, I.; Melinte, M.C. Upper Cretaceous Gosau deposits of the Apuseni Mountains (Romania)-Similarities and differences to the Eastern Alps. Austrial. J. Earth Sci. 2009, 102, 133–145. [Google Scholar]
- Faupl, P.; Wagreich, M. Cretaceous flysch and pelagic sequences of the Eastern Alps: Correlations, heavy minerals, paleogeographic implications. Cretac. Res. 1992, 13, 387–403. [Google Scholar] [CrossRef]
- Haschke, M.; Ben-Avraham, Z. Adakites from collision-modified lithosphere. Geophys. Res. Lett. 2005, 32, L15302. [Google Scholar] [CrossRef]
- Richards, J.P. Postsubduction porphyry Cu-Au and epithermal Au deposits: Products of remelting of subduction modified lithosphere. Geology 2009, 37, 247–250. [Google Scholar] [CrossRef]
- Bowman, E.; Ducea, M.N. Pyroxenite melting at subduction zones. Geology 2023, 51, 383–386. [Google Scholar] [CrossRef]
- Bachmann, O.; Bergantz, G.W. Rhyolites and their Source Mushes across Tectonic Settings. J. Petrol. 2008, 49, 2277–2285. [Google Scholar] [CrossRef]
- Liégeois, J.P.; Navez, J.; Hertogen, J.; Black, R. Contrasting origin of post-collisional high-K calc-alkaline and shoshonitic versus alkaline and peralkaline granitoids. The use of sliding normalization. Lithos 1998, 45, 1–28. [Google Scholar] [CrossRef]
- Pearce, J.A.; Bender, J.F.; De Long, S.E.; Kidd, W.S.F.; Low, P.J.; Guner, Y.; Saroglu, F.; Yilmaz, Y.; Moorbath, S.; Mitchell, J.J. Genesis of collision volcanism in eastern Anatolia Turkey. J. Volcanol. Geotherm. Res. 1990, 44, 189–229. [Google Scholar] [CrossRef]
- Pearce, J.A.; Parkinson, I.J. Trace element models for mantle melting: Application to volcanic arc petrogenesis. In Magmatic Processes and Plate Tectonics; Prichard, H.M., Alabaster, T., Harris, N.B.W., Neary, C.R., Eds.; Geological Society London Special Publications: London, UK, 1993; Volume 76, pp. 373–403. [Google Scholar] [CrossRef]
- Hofmann, A. Mantle geochemistry: The message from oceanic volcanism. Nature 1997, 385, 219–229. [Google Scholar] [CrossRef]
- Hofmann, A.; Jochum, K.; Seufert, M.; White, W. Nb and Pb in oceanic basalts: New constraints on mantle evolution. Earth Planet. Sci. Lett. 1986, 90, 297–314. [Google Scholar] [CrossRef]
- Pearce, J.A. Role of the sub-continental lithosphere in magma genesis at active continental margins. In Continental Basalts and Mantle Xenoliths; Hawkesworth, C.J., Norry, M.J., Eds.; Shiva: Cheshire, UK, 1983; pp. 230–249. [Google Scholar]
- Barbey, P.; Allé, P.; Brouand, M.; Albarède, F. Rare-earth patterns in zircons from the Manaslu granite and Tibetan Slab migmatites (Himalaya): Insights in the origin and evolution of a crustally-derived granite magma. Chem. Geol. 1995, 125, 1–17. [Google Scholar] [CrossRef]
- Nardi, L.S.; Formoso, M.L.L.; Jarvis, K.; Oliveira, L.; Bastos Neto, A.C.; Fontana, E. REE, Y, Nb, U, and Th contents and 1156 tetrad effect in zircon from a magmatic-hydrothermal F-rich system of Sn-rare metal-cryolite mineralized granites from the Pitinga Mine, Amazonia, Brazil. J. S. Am. Earth Sci. 2012, 33, 34–42. [Google Scholar] [CrossRef]
- Tian, W.; Campbell, I.H.; Allen, C.M.; Guan, P.; Pan, W.; Chen, M.; Yu, H.; Zhu, W. The Tarim picrite-basalt-rhyolite suite, a Permian flood basalt from northwest China with contrasting rhyolites produced by fractional crystallization and anatexis. Contrib. Mineral. Petrol. 2010, 160, 407–425. [Google Scholar] [CrossRef]
- Halder, M.; Paul, D.; Sensarma, S. Rhyolites in continental mafic Large Igneous Provinces: Petrology, geochemistry and petrogenesis. Geosci. Front. 2021, 12, 53–80. [Google Scholar] [CrossRef]
- Smith, E.I.; Sanchez, A.; Walker, J.D.; Wang, K. Geochemistry of mafic magmas in the Hurricane Volcanic field, Utah: Implications for small- and large-scale chemical variability of the lithospheric mantle. J. Geol. 1999, 107, 433–448. [Google Scholar] [CrossRef]
- Bradshaw, T.K.; Smith, E.I. Polygenetic Quaternary volcanism at Crater Flat, Nevada. J. Volcanol. Geotherm. Res. 1994, 63, 165–182. [Google Scholar] [CrossRef]
- Deering, C.D.; Bachmann, O. Trace element indicators of crystal accumulation in silicic igneous rocks. Earth Planet. Sci. Lett. 2010, 297, 324–331. [Google Scholar] [CrossRef]
- Fowler, S.J.; Spera, F.J. A Metamodel for Crustal Magmatism: Phase Equilibria of Giant Ignimbrites. J. Petrol. 2010, 51, 1783–1830. [Google Scholar] [CrossRef]
- Gualda, G.A.R.; Ghiorso, M.S. Low-Pressure Origin of High-Silica Rhyolites and Granites. J. Geol. 2013, 121, 537–545. [Google Scholar] [CrossRef]















| Sample | Location | Lat | Long | Petrographic Type | Genetic Type |
|---|---|---|---|---|---|
| P5A | Densuş | 45° 34′ 54″ | 22° 46′ 53″ | basaltic trachy-andesite | lava clast |
| E7 | Densuş | 45° 34′ 55″ | 22° 46′ 17″ | trachy-andesite | lava clast |
| P4A | Densuş | 45° 35′ 04″ | 22° 46′ 44″ | trachy-andesite | lava clast |
| E4 | Densuş | 45° 34′ 54″ | 22° 45′ 8″ | andesite | lava clast |
| E3 | Densuş | 45° 34′ 52″ | 22° 45′ 1″ | trachy-andesite | lava clast |
| P6C | Răchitova | 45° 36′ 2″ | 22° 44′ 55″ | trachy-andesite | lava clast |
| E6 | Densuş | 45° 34′ 55″ | 22° 46′ 17″ | andesite | lava clast |
| E5 | Densuş | 45° 34′ 55″ | 22° 46′ 17″ | dacite | lava clast |
| D2-2 | Densuş | 45° 34′ 54″ | 22° 45′ 11″ | andesite | lava clast |
| D2-3 | Densuş | 45° 34′ 54″ | 22° 45′ 11″ | dacite | lava clast |
| P5B | Densuş | 45° 34′ 54″ | 22° 46′ 53″ | trachy-andesite | lava clast |
| E2 | Densuş | 45° 34′ 53″ | 22° 45′ 2″ | trachy-andesite | lava clast |
| P6B | Răchitova | 45° 36′ 2″ | 22° 44′ 54″ | trachy-dacite | lava clast |
| D2-1 | Densuş | 45° 34′ 54″ | 22° 45′ 11″ | dacite | lava clast |
| P1 | Peşteniţa | 45° 33′ 45″ | 22° 47′ 19″ | trachyte | ignimbrite deposit |
| P6A | Răchitova | 45° 36′ 4″ | 22° 44′ 55″ | rhyolite | ignimbrite deposit |
| P4B | Densuş | 45° 35′ 04″ | 22° 46′ 44 | rhyolite | lava clast |
| P2 | Peşteniţa | 45° 33′ 45″ | 22° 47′ 19″ | trachyte | ignimbrite deposit |
| P6D | Răchitova | 45° 36′ 3″ | 22° 44′ 57″ | rhyolite | ignimbrite deposit |
| P7A | Răchitova | 45° 36′ 4″ | 22° 44′ 53″ | rhyolite | lava clast |
| Sample | P5A D | E7 D | P4A D | E4 D | E3 D | P6C R | E6 D | E5 D | D2-2 D | D2-3 D | P5B D | E2 D | P6B R | D2-1 D | P1 P | P6A R | P4B D | P2 P | P6D R | P7A R | LOD% |
|---|---|---|---|---|---|---|---|---|---|---|---|---|---|---|---|---|---|---|---|---|---|
| wt% | |||||||||||||||||||||
| SiO2 | 53.3 | 55.6 | 55.8 | 56.5 | 58.4 | 59.3 | 59.4 | 60.2 | 60.3 | 61.0 | 61.1 | 61.9 | 63 | 63.1 | 64.2 | 66.4 | 68.4 | 68.5 | 68.5 | 74.6 | 0.1 |
| TiO2 | 0.78 | 0.73 | 0.77 | 0.61 | 0.63 | 0.88 | 0.77 | 0.58 | 0.63 | 0.56 | 0.62 | 0.52 | 0.74 | 0.56 | 0.82 | 0.37 | 0.33 | 0.77 | 0.28 | 0.12 | 0.1 |
| Al2O2 | 18.85 | 17.45 | 17.45 | 18.35 | 19.2 | 17.8 | 17.45 | 15.05 | 17.60 | 16.50 | 16.45 | 18.3 | 17.85 | 16.30 | 15.9 | 13.7 | 15.15 | 15.25 | 12.6 | 14.15 | 0.1 |
| Fe2O3 | 6.34 | 7.67 | 6.98 | 6.49 | 5.77 | 6.23 | 5.82 | 6.09 | 5.90 | 5.13 | 5.64 | 5.97 | 5.89 | 6.38 | 3.56 | 1.86 | 2.84 | 4.14 | 1.46 | 2.52 | 0.1 |
| MnO | 0.1 | 0.09 | 0.14 | 0.08 | 0.07 | 0.21 | 0.05 | 0.09 | 0.12 | 0.07 | 0.11 | 0.06 | 0.09 | 0.06 | 0.15 | 0.03 | 0.04 | 0.05 | 0.02 | 0.05 | 0.1 |
| MgO | 4.39 | 3.11 | 4.73 | 2.87 | 1.92 | 1.76 | 2.34 | 2.48 | 1.25 | 2.06 | 2.19 | 1.56 | 1.22 | 1.47 | 0.69 | 1.14 | 0.68 | 0.32 | 1.15 | 0.2 | 0.1 |
| CaO | 6.39 | 6.2 | 4.28 | 6.99 | 4.99 | 6.1 | 5.91 | 4.96 | 5.33 | 5.18 | 6.28 | 4.42 | 3.95 | 3.10 | 1.81 | 2.83 | 2.62 | 0.8 | 2.68 | 1.54 | 0.1 |
| Na2O | 4.52 | 4.23 | 6.79 | 3.98 | 6.29 | 4.45 | 3.92 | 3.3 | 4.08 | 3.59 | 3.79 | 5.36 | 6.35 | 5.80 | 3.97 | 1.52 | 2.86 | 3.86 | 0.99 | 4.44 | 0.1 |
| K2O | 2.63 | 1.92 | 1.16 | 1.7 | 1.34 | 2.24 | 2.04 | 2.57 | 2.09 | 2.45 | 3.08 | 1.93 | 1.14 | 0.62 | 6.69 | 2.96 | 5.46 | 6.88 | 2.53 | 3.43 | 0.1 |
| P2O5 | 0.29 | 0.17 | 0.35 | 0.13 | 0.21 | 0.22 | 0.17 | 0.21 | 0.15 | 0.15 | 0.25 | 0.17 | 0.21 | 0.19 | 0.23 | 0.09 | 0.14 | 0.22 | 0.05 | 0.09 | 0.1 |
| LOI | 3.43 | 4.37 | 2.77 | 2.55 | 1.87 | 1.85 | 1.96 | 3.3 | 1.52 | 2.35 | 1.7 | 1.52 | 1.43 | 1.66 | 1.85 | 8.47 | 2.82 | 1.09 | 9,54 | 0.24 | 0.1 |
| Total | 101.18 | 101.68 | 101.33 | 100.36 | 100.8 | 101.14 | 99.95 | 98.95 | 99.06 | 99.15 | 101.36 | 101.85 | 101.94 | 99.30 | 99.99 | 99.85 | 101.54 | 101.99 | 100,19 | 101.51 | 0.1 |
| ppm | |||||||||||||||||||||
| Ba | 675 | 785 | 397 | 419 | 414 | 373 | 526 | 597 | 469 | 537 | 555 | 632 | 260 | 291 | 966 | 1970 | 1410 | 837 | 1170 | 850 | 0.5 |
| Rb | 47.6 | 29.5 | 27.9 | 62.7 | 38.8 | 87.6 | 63.8 | 63.7 | 89.4 | 76.9 | 99.1 | 28.8 | 39.3 | 10.4 | 188.5 | 99.6 | 120.5 | 180.5 | 59.4 | 99.6 | 0.2 |
| Sr | 523 | 406 | 385 | 471 | 460 | 434 | 424 | 387 | 414 | 403 | 542 | 520 | 326 | 343 | 147.5 | 2160 | 232 | 114 | 2070 | 265 | 0.1 |
| Cs | 1.64 | 0.65 | 1.19 | 2.21 | 1.66 | 2.36 | 2.07 | 1.14 | 2.59 | 2.05 | 3.08 | 0.4 | 1.74 | 0.51 | 1.89 | 3.21 | 2.78 | 1.64 | 2.76 | 1.55 | |
| Ga | 24.9 | 22.3 | 20.9 | 21.2 | 19.6 | 23.6 | 23.1 | 19.5 | 18.5 | 16.6 | 21.1 | 18.9 | 19.6 | 12.6 | 20.7 | 18.4 | 18.8 | 13.4 | 17 | 17 | 0.05 |
| V | 155 | 120 | 168 | 158 | 144 | 131 | 160 | 67 | 130 | 131 | 137 | 81 | 123 | 67 | 34 | 25 | 16 | 25 | 17 | 5 | 5 |
| Cr | 124 | 27 | 47 | 59 | 39 | 31 | 59 | 23 | 10 | 100 | 108 | 45 | 13 | 20 | <5 | 5 | <5 | 5 | <5 | <5 | 10 |
| Co | 20.5 | 15.8 | 18.8 | 16.2 | 7.4 | 9.7 | 10.4 | 10.6 | 9.4 | 13.3 | 10.7 | 8.8 | 9.7 | 11.4 | 3.3 | 1.9 | 2 | 2.7 | 1.6 | 1.1 | 0.1 |
| Ni | 22.2 | 12 | 14.7 | 27.6 | 14.5 | 15.5 | 11.8 | 9 | 6.5 | 19.3 | 24 | 11.4 | 10.2 | 13.2 | 2.4 | 2.8 | 1.2 | 2.7 | 2.5 | 2.1 | 0.2 |
| U | 2.67 | 1.35 | 3.3 | 1.58 | 2.63 | 2.11 | 1.92 | 2.52 | 2.32 | 2.48 | 3.31 | 1.72 | 2.54 | 2.27 | 6.13 | 4.07 | 3 | 5.64 | 4.17 | 4.3 | 0.05 |
| Th | 10.25 | 7.07 | 11.5 | 5.16 | 7.71 | 6.96 | 6.38 | 8.38 | 6.46 | 8.56 | 9.98 | 6.83 | 10 | 8.60 | 20.1 | 16.6 | 11.45 | 18.6 | 16.25 | 16.1 | 0.05 |
| Zr | 156 | 124 | 183 | 117 | 127 | 261 | 132 | 144 | 130 | 150 | 146 | 129 | 172 | 157 | 306 | 240 | 172 | 286 | 247 | 110 | 2 |
| Hf | 4.26 | 3.51 | 4.87 | 2.95 | 3.7 | 6.51 | 3.61 | 4.09 | 3.6 | 4.0 | 4.23 | 3.59 | 4.84 | 4.0 | 8.2 | 7 | 4.78 | 7.79 | 7.32 | 3 | 0.1 |
| Nb | 9.18 | 7.75 | 10.55 | 7.41 | 8.85 | 6.92 | 8.14 | 7.05 | 7.0 | 6.7 | 7.14 | 6.45 | 8.67 | 7.4 | 16.5 | 13.4 | 8.53 | 15.6 | 12.7 | 31.1 | 0.1 |
| Ta | 0.5 | 0.4 | 0.7 | 0.5 | 0.7 | 0.4 | 0.5 | 0.5 | 0.5 | 0.5 | 0.4 | 0.4 | 0.5 | 0.6 | 1.1 | 0.9 | 0.6 | 1 | 0.9 | 2.1 | 0.1 |
| Zn | 111 | 47 | 98 | 69 | 69 | 74 | 45 | 41 | 82 | 66 | 69 | 52 | 66 | 55 | 75 | 46 | 42 | 70 | 37 | 38 | 2 |
| Pb | 33.3 | 25.6 | 14.2 | 16.3 | 17.2 | 24.1 | 22.3 | 23.7 | 31.3 | 25.2 | 24 | 27.7 | 17.2 | 17.4 | 27.5 | 27.2 | 22 | 30.3 | 27.8 | 21.2 | 0.5 |
| Y | 23.4 | 20.3 | 21.1 | 16 | 17.8 | 19.1 | 15.8 | 10.6 | 19.3 | 18.3 | 16.6 | 14.4 | 21.7 | 16.4 | 33.1 | 34 | 13.1 | 34.4 | 27.9 | 13.7 | 0.1 |
| La | 33 | 26.1 | 37.2 | 16 | 26.3 | 25.6 | 23.4 | 23.7 | 20.9 | 27.1 | 32.6 | 32.1 | 31.5 | 28.3 | 50.3 | 54.7 | 30.4 | 48.9 | 43.2 | 42.1 | 0.1 |
| Ce | 62.9 | 41.9 | 73.1 | 30.3 | 44.4 | 46 | 40 | 44 | 39.6 | 48.1 | 59.5 | 50.8 | 54.6 | 49.6 | 98 | 100.5 | 54.7 | 95.1 | 79.1 | 67.2 | 0.1 |
| Pr | 7.56 | 4.79 | 9.15 | 3.37 | 4.97 | 5.52 | 4.63 | 4.81 | 4.72 | 6.01 | 6.87 | 5.37 | 6.65 | 5.78 | 11.6 | 11.55 | 6 | 11.15 | 9.1 | 6.52 | 0.02 |
| Nd | 29 | 19 | 36.5 | 13.8 | 20 | 22.5 | 18.1 | 18.1 | 17.6 | 22.9 | 26.8 | 19.6 | 26 | 20.5 | 47 | 43 | 21.9 | 44.4 | 34.6 | 21.7 | 0.1 |
| Sm | 6.8 | 3.55 | 7.09 | 3.16 | 4.07 | 4.8 | 3.43 | 3.36 | 3.58 | 4.37 | 5.24 | 3.43 | 4.82 | 3.75 | 9.38 | 7.72 | 3.54 | 8.9 | 6.74 | 3.38 | 0.03 |
| Eu | 1.66 | 0.98 | 1.78 | 0.89 | 1.04 | 1.12 | 1.03 | 0.81 | 1.05 | 1.18 | 1.36 | 0.99 | 1.3 | 0.95 | 1.7 | 1.43 | 0.87 | 1.6 | 1.2 | 0.76 | 0.02 |
| Gd | 5.47 | 3.05 | 5.51 | 3.04 | 3.78 | 4.09 | 3.11 | 2.52 | 3.61 | 4.20 | 4.33 | 3.18 | 4.28 | 3.25 | 7.41 | 6.53 | 2.88 | 7.02 | 5.83 | 2.35 | 0.05 |
| Tb | 0.79 | 0.47 | 0.72 | 0.47 | 0.53 | 0.62 | 0.47 | 0.39 | 0.59 | 0.59 | 0.58 | 0.46 | 0.71 | 0.48 | 1.05 | 0.97 | 0.41 | 1.01 | 0.95 | 0.38 | 0.01 |
| Dy | 4 | 3.06 | 3.81 | 2.96 | 3.13 | 3.78 | 2.68 | 2.16 | 3.54 | 3.49 | 3.33 | 2.8 | 3.92 | 2.82 | 6.02 | 5.91 | 2.49 | 5.87 | 5.22 | 2.23 | 0.05 |
| Ho | 0.84 | 0.71 | 0.7 | 0.61 | 0.65 | 0.7 | 0.58 | 0.45 | 0.75 | 0.70 | 0.67 | 0.57 | 0.8 | 0.54 | 1.24 | 1.22 | 0.5 | 1.19 | 1.1 | 0.43 | 0.01 |
| Er | 2.24 | 1.97 | 2.09 | 1.8 | 1.74 | 1.95 | 1.62 | 1.22 | 2.24 | 1.96 | 1.74 | 1.84 | 2.16 | 1.62 | 3.4 | 3.34 | 1.38 | 3.26 | 3.01 | 1.22 | 0.03 |
| Tm | 0.3 | 0.28 | 0.29 | 0.28 | 0.26 | 0.3 | 0.26 | 0.18 | 0.33 | 0.29 | 0.25 | 0.28 | 0.33 | 0.24 | 0.53 | 0.47 | 0.22 | 0.49 | 0.48 | 0.22 | 0.01 |
| Yb | 1.92 | 1.89 | 1.87 | 1.62 | 1.75 | 2 | 1.8 | 1.17 | 2.24 | 1.83 | 1.68 | 1.91 | 2.19 | 1.44 | 3.6 | 3.63 | 1.6 | 3.36 | 3.33 | 1.69 | 0.03 |
| Mg# | 43.48 | 31.06 | 42.95 | 32.95 | 26.99 | 23.89 | 30.88 | 31.15 | 19.05 | 30.85 | 30.14 | 22.50 | 18.61 | 20.38 | 17.72 | 40.51 | 21.01 | 7.91 | 46.67 | 8.10 |
Disclaimer/Publisher’s Note: The statements, opinions and data contained in all publications are solely those of the individual author(s) and contributor(s) and not of MDPI and/or the editor(s). MDPI and/or the editor(s) disclaim responsibility for any injury to people or property resulting from any ideas, methods, instructions or products referred to in the content. |
© 2025 by the authors. Licensee MDPI, Basel, Switzerland. This article is an open access article distributed under the terms and conditions of the Creative Commons Attribution (CC BY) license (https://creativecommons.org/licenses/by/4.0/).
Share and Cite
Vornicu, V.M.; Seghedi, I. Petrography and Geochemistry of the Upper Cretaceous Volcaniclastic Deposits of the Haţeg Basin (Southern Carpathians): Inferences on Petrogenesis and Magma Origin. Minerals 2025, 15, 111. https://doi.org/10.3390/min15020111
Vornicu VM, Seghedi I. Petrography and Geochemistry of the Upper Cretaceous Volcaniclastic Deposits of the Haţeg Basin (Southern Carpathians): Inferences on Petrogenesis and Magma Origin. Minerals. 2025; 15(2):111. https://doi.org/10.3390/min15020111
Chicago/Turabian StyleVornicu, Violeta M., and Ioan Seghedi. 2025. "Petrography and Geochemistry of the Upper Cretaceous Volcaniclastic Deposits of the Haţeg Basin (Southern Carpathians): Inferences on Petrogenesis and Magma Origin" Minerals 15, no. 2: 111. https://doi.org/10.3390/min15020111
APA StyleVornicu, V. M., & Seghedi, I. (2025). Petrography and Geochemistry of the Upper Cretaceous Volcaniclastic Deposits of the Haţeg Basin (Southern Carpathians): Inferences on Petrogenesis and Magma Origin. Minerals, 15(2), 111. https://doi.org/10.3390/min15020111

