Abstract
This research assesses the effect of carbonated pyrolysis oil (CPO) derived from scrap car tires on the metallurgical efficiency of coal flotation as a flotation additive. Using a statistical experimental design, the influence of various operational variables, including solid percent of feed pulp and dosages of reagents, i.e., CPO as an additive, diesel oil as a collector, and pine oil as a frother, on the ash content and yield of the final concentrate were investigated. Experimental data vary significantly based on operational conditions, ranging from 6.6% ash content with a 15% yield to 19.1% ash content with a 76.8% yield. The composition of the pyrolysis oil was identified by using Fourier transform infrared spectroscopy (FTIR). The analysis of variance (ANOVA) of experimental results demonstrated that almost all variables had a substantial effect on the flotation responses, positive or negative, depending on the variable or variable interaction. It was discovered that the usage of CPO intensified the total yield and ash content of concentrate in a nonlinear fashion in a range of 15% and 4%, respectively. The results revealed a non-selective interaction effect between CPO and pine oil, as well as competitive adsorption between diesel oil and CPO, which contributed to the curved behavior of flotation measurements. The detrimental effect of CPO on the flotation response of the studied coal sample was also related to the interaction of the hydrophilic groups in the CPO structure and the oxide groups of ash material in coal particles. This work shows the potential of carbonated pyrolysis oil to enhance coal flotation performance and sheds light on the underlying mechanisms.
1. Introduction
Coal serves as a critical component in the manufacturing of vital products, such as alumina, iron, steel, and cement, and as an essential energy source for the generation of electricity. In this regard, the chief goal of coal processing is to reduce the ash and sulfur contents of the final concentrate to meet requirements dictated by power plants and carbon emission reduction protocols. Coal is processed using several methods, such as heavy media separation, shaking tables, and jigging. Unfortunately, these technologies are typically unsuitable for processing fine particles [1,2]. Currently, froth flotation has emerged as a successful approach for treating fine coal. This complex physicochemical process involves several phases, including particles or solid phases, oil droplets (emulsion), and air bubbles (dispersion) that interact simultaneously with one another. Components can also interact to promote reagents and dissolved ions in water. Several physicochemical processes, such as the chemistry of feed slurry, feed particle size distribution, hydrodynamics, interaction between reagents, etc., govern the flotation response, making it a complex process [3,4,5].
Regardless of the complex nature of the flotation process due to various subprocesses formed by interaction among different phases, the performance of a flotation system can be significantly managed by serving suitable chemicals called flotation reagents. Among various types of reagents, collectors are reagents widely used in coal flotation to improve its performance by providing selective hydrophobic surface properties to coal particles. In flotation beneficiation of coal material, the most applied collectors include non-polar hydrocarbon-based reagents, namely hydrocarbon oils, for instance, diesel oil, crude petroleum, certain coal-tar distillates, and kerosene. In an aqueous environment of a flotation system, such collectors are decomposed into small oil droplets in the order of microns in size by impeller or stirring devices so that these small droplets can adsorb on the surface of coal particles and enhance their hydrophobic character [6,7,8]. High-rank coals significantly reduce the consumption of flotation reagents due to their high level of natural hydrophobic character, whereas low-rank coals (with higher oxygen content) present poor flotation efficiency with such oily collectors, and a higher dosage of collectors may be needed to attain satisfactory coal yield [4,9]. On the other hand, increasing the use of petroleum-origin collectors leads to some problems, such as the evacuation of fossil fuel resources, the difficulty of eco-friendly disposal, and an increase in demand [10,11,12,13]. An important topic for researchers is the production of coal flotation collectors using products derived or recycled from non-petroleum sources, e.g., waste industrial oils, biomass, etc., in order to decrease fossil fuel consumption and lower costs [14,15,16,17]. Guangyuan et al. [18], for example, studied the collecting performance of wash oil to coal flotation. They showed that compared to kerosene, wash oil caused a 5.3% improvement in concentrate yield and a 0.17% reduction in ash content. Fazaelipoor et al. [19] examined the effect of diesel oil mixed with rhamnolipid biosurfactant on the flotation response of coal. Their results revealed that the presence of rhamnolipid improves coal separation while reducing diesel oil consumption. Similar results were later reported by Khoshdast and Shojaei [20]. However, problems such as scarcity of microorganisms and excessive consumption of these biocollectors are common limitations [21]. Dube [22], through the examination of oxidized coal, revealed that weak carboxylic acids can effectively float coal particles with oxidized surfaces. Furthermore, results showed that using a combination of fuel oil and oleic acid with a ratio of 1:4 led to a maximum performance of flotation for oxidized coals. Moreover, similar metallurgical results were obtained by using a mixture of fuel oil and fatty and oleic acids as a coal collector. Hacifazlioglu and Senol-Arslan [23] assessed the collecting performance of sunflower oil in the flotation of a bituminous coal sample. They announced that sunflower oil effectively decreased the ash content of the final concentrate. However, in comparison with kerosene, it showed poorer results in terms of recovery and selectivity of combustible material, and as a whole, the final yield process in the presence of sunflower oil was lower than kerosene (about 20%–30% depending on other operational conditions). Shen et al. [24] studied coal flotation using a gaseous pyrolysis product derived from waste cooking oil and indicated that the pyrolysis treatment significantly enhanced the collection ability and selectivity of the waste cooking oil for coal, suggesting it could replace diesel oil [25,26,27,28,29,30]. Zhu et al. [31] studied the effect of renewable collectors prepared by waste oil transesterification on the flotation of fine coal. The transesterification of gutter oil and methanol was carried out to prepare a renewable collector, and the results showed that the content of the hydrophobic group was enhanced after the adsorption process, which indicates that the renewable collector can effectively enhance the hydrophobicity of the particle [32]. An interesting point was that the renewable collector has a low sensitivity to temperature. Zhen et al. [33] studied the flotation response of low-rank coals by plasma oxidation in the presence of oxidized fuel oil as a collector. Results indicated that after the oxidation of fuel oil, some bonds may be created between oxide-bearing functional groups and polar heads on the surface of coal particles. As a result, the wettability of low-rank coal was significantly improved via fuel oil oxidation. Yang et al. [34] assessed the collecting influence of waste motor oil in the flotation of coal of low maturity and announced the superiority of waste motor oil to diesel oil by providing a higher recovery of 48% and lower ash content of about 10% in coal flotation. Recently, Hasanizadeh et al. [35] evaluated the response of bituminous coal flotation using a pyrolytic oil that was recycled from waste tires and announced that pyrolysis oil had a negative effect on the ash percentage of flotation concentrate and increased its performance, which can be attributed to the physiochemical interaction oxide groups of ash material in coal particles with hydrophilic functions of pyrolysis oil molecules. The key flaw of their pyrolytic oil was low purity, as only one step of pyrolysis had been served for oil production. Therefore, the oily product contained a huge amount of suspended untreated polymeric solid residuals and an oily phase with low viscosity and stability that made it unstable in the aqueous phase [36,37,38].
In this paper, the influence of modified pyrolysis oil, produced from spare vehicle tires, on the metallurgical efficiency of coal flotation was investigated. In this study, we used carbonated pyrolysis oil (CPO) derived from spare vehicle tires as the flotation reagent. Unlike polycyclic aromatic hydrocarbons (PAHs), which can be present in pyrolysis oils, CPO has undergone a carbonation process that alters its properties and interactions in water-based systems [39,40]. This distinction is critical as the carbonation process impacts the oil’s behavior and effectiveness in coal flotation. The quality and stability of this oily product were improved by serving a two-step pyrolysis process and potassium carbonate, respectively. Additionally, the individual effect and interaction of some operational variables, including dosage of CPO, diesel oil, pine oil, and solid percentage of feed pulp, were examined. A historical data-type DOE was used to investigate the response of bituminous coal floatability in terms of ash rejection and yield of final concentrate. Likewise, instrumental analysis was applied to explore the potential mechanism of interaction among CPO, other flotation reagents, and coal particles.
2. Materials and Methods
2.1. Preparation and Characterization of Coal Sample
A three-day sampling program was developed to systematically collect subsamples from the feed pulp to the rougher circuit of flotation at the Coal Washing Plant of Zarand (Zarand, Iran). Samples were collected every two hours in each working shift. At the end of the sampling process, each subsample was mixed to prepare a representative sample for each flotation test and the characterization studies. In order to isolate the impact of flotation reagents on the feed, sampling was carried out from a feed pulp pipeline located at the entrance of the preparation tank. In order to prepare each bulk sample, 1000 mL of samples were first filtered using a lab-scale filter press (BFP-2K, KFK Co., Tehran, Iran) and then dried in an electric drier at 60 °C for 8 h. ASTM D 3174-73 Standard was adapted as the ash analysis method to measure the combustible content of coal samples [41]. Measurement of the coal sample size was conducted by passing 1000 g of bulk sample through a sieve series (150, 300, and 500 µm). Finally, X-ray fluorescence (XRF, Magix-601, Philips, Amsterdam, The Netherlands) and X-ray powder diffraction (XRD) were served to indicate the chemical and mineralogical composition of the coal sample, respectively. XRD analysis was carried out using a Philips PW 1730 instrument (The Netherlands) with CuK α radiation, scanning in the 2θ range from 10 to 80 degrees with a wavelength of γ = 0.154056.
2.2. Synthesis and Characterization of Pyrolysis Oil
The pyrolysis oil employed for flotation investigation was synthesized based on a technique introduced by Arjomand [42,43,44] with some modifications. The steps in oil production are schematically shown in Figure 1. As seen, a scrap car tire was used as raw material. From preparing feed to the pyrolysis step, the tire was first washed with a water jet to take away any dirt and other pollutants; then, the structural copper wires were removed from the washed tire using a dewiring device. Next, the tire was cropped using a teeth roller and washed again with gentle spraying to eliminate any non-polymeric residuals. The cropped tire feed was then transferred to a batch pressure autoclave for the first pyrolysis step for 3 h at 3 bar 200 °C. The pyrolyzed material was then filtered to separate liquid products from unreacted solid residuals. The liquid product was then transferred to the batch autoclave following the addition of 10% wt. EP750 type epoxy granule and 10% wt. dioctyl phthalate oil (DOP) as oil thickeners for the complementary pyrolysis step. After 7 h of heating treatment at 200 °C and 3 bar, the pyrolysis product was mixed with 0.1% wt. gas oil and 0.1% wt. K2CO3 as oil stabilizers and concentrate in a rolling press to produce the final thick honey oil product. Fourier-transform infrared analysis (FTIR, Tensor 27, Bruker, Deutschland) equipped with a sensitive detector (RT-DLATGS type) was applied to indicate and analyze the functional groups of the carbonated pyrolysis oil [45,46].
Figure 1.
Stepwise illustration of the synthesis process of carbonated pyrolysis oil from scrap vehicle tires.
2.3. Operational Parameters and Statistical Experimental Design
The operational parameters investigated in this research study were selected on the advice of the R&D division from the Zarand Coal Washing Plant (Zarand, Iran) based on their ease of manipulation for operation optimization. The levels of parameters were also determined by six months of monitoring the plant performance. The parameters and their levels considered in the design of experiments (DOE) [47,48] are listed in Table 1. The main and interaction effects of operational variables were evaluated using a historical data (HD) experimental design. To evaluate the nonlinear impact of each parameter, three operating levels were considered for developing the HD design. The responses for analyzing the DOE results were the total yield (%) and ash content (%) of the final flotation concentrate. Table 2 presents the experimental results of flotation tests performed based on HD design.
Table 1.
Operational parameters and levels used in developing the HD DOE.
Table 2.
The structure and experimental results of HD DOE.
2.4. Flotation Experimental Procedure
A standard mechanical flotation machine (D-12, Denver, CO, USA) was employed for conducting flotation tests. Test works were conducted at natural pH (7 ± 0.2), and diesel oil and pine oil were used as the collector and frother, respectively. Each pulp mixture was prepared by adding the required amount of coal to 1 L of tap water in order to adjust the intended solid percentage (Table 1). In order to appropriately disperse the coal particles, pulp was first agitated for 5 min at an impeller rate of 1100 rpm. The flotation reagents and CPO were then added and conditioned based on the required dosage (Table 1) for 5 min. Afterwards, during a 3 min period, the air was injected through the cell and the formed froth was gently directed to the concentrate vessel. Finally, the collected products of each experiment were scaled and dried in an electric drier at 40 °C overnight. Final samples were then exposed to the standard ash analysis. The variations of ash rejection and total yield to the final flotation concentrate were used for evaluating the influence of CPO on the metallurgical responses of coal flotation. The experimental yield (Y, %) was calculated using Equation (1):
where af, ac, and at correspond to the ash percentage of flotation feed, concentrate, and tailings, respectively.
2.5. Supplementary FTIR Analysis
Two additional FTIR analyses were carried out to examine the interaction of CPO with the surface functional groups of coal particles [49,50]. Initially, the coal sample was washed with deionized water to remove any slime and external dirt. Then, the washed sample was dried and placed in vacuum bags. On the other hand, 100 g of the washed sample was mixed with 20 L/t of CPO in the flotation cell containing 1 L of deionized water by gently stirring for 20 min. Afterward, the CPO-exposed coal was dewatered using the procedure served in the sample preparation steps. Finally, the surface properties of CPO-exposed and raw samples were analyzed with the FTIR method.
3. Results and Discussion
3.1. Characterization of Coal Sample and CPO
Based on the results of ash content measurement, the studied coal includes 31.95% ash material. According to the particle size distribution measurement shown in Figure 2, by decreasing the size of coal particles, the content of ash material increases, i.e., the main ash fraction is presented in the finest fraction (−150 Micron). According to the XRF analysis of the ash portion of coal particles, Si and Al oxides are the dominant constituents of ash material (Table 3). Additionally, referring to the XRD analysis result (Figure 3), the main minerals of ash materials were found to be quartz and Illite (Al2H2KO12Si3) with a minor presence of hematite and calcite.
Figure 2.
Distribution of ash content in various size fraction of coal sample.
Table 3.
Chemical composition of ash portion of coal particles.
Figure 3.
XRD analysis result of coal sample of ash portion of coal particles.
Figure 4 represents the FTIR spectra of coal and CPO samples before and after treatment with pyrolysis oil. In Figure 4c, the spectra of exposed coal exhibit distinct peaks indicating various functional groups, including a prominent peak at about 3600 cm−1 for hydroxyl (alcohol) groups, several peaks between 3000 and 2800 cm−1, which are intensified in comparison with the raw coal ones for C–H–bonded hydrocarbon groups (alkanes and/or alkenes), a prominent peak at 1740 cm−1 for C=O bonds in carbonyl groups (ketones and/or aldehydes), multiple peaks between 1600 and 1400 cm−1 for C=C bonds in unsaturated hydrocarbon groups (aromatic and/or alkenyl), a broad peak near 1200 cm−1 for ether groups (C–O bonds), and several peaks between 1000 and 800 cm−1 for C–H bending vibrations in hydrocarbon groups [51]. Figure 4b shows the FTIR spectra of raw coal, with fewer and less intense peaks compared to exposed coal and CPO, notable peaks around 1600 cm−1 for aromatic C=C bonds, and a broad peak near 1200 cm−1 indicating C–O bonds, suggesting some oxygen-containing functional groups. In Figure 4a, the spectra of pyrolysis oil reveal a significant presence of hydroxyl groups at about 3450 cm−1, numerous C–H–bonded hydrocarbon groups between 3000 and 2800 cm−1, a high quantity of ketones and/or aldehydes at 1740 cm−1, aromatic and/or alkenyl groups between 1600 and 1400 cm−1, substantial ether groups near 1200 cm−1, and alkanes and/or alkenes between 1000 and 800 cm−1 [51].
Figure 4.
The FTIR spectra of the (a) CPO and coal before (b) and after (c) exposure to pyrolysis oil.
3.2. Statistical Analysis of Results
The establishment of a model that can reasonably forecast the favorite process response in the operational interval, i.e., inside the considered variation domain proposed for the operational parameters, is the initial stage in the analysis of the effect of operational parameters on response factors [52,53]. For this purpose, Design-Expert software (v.7.0) was applied for modeling data obtained during HD DOE-based experimentations [54]. After deriving the primary prediction model, the user may optimize the model by identifying abnormal data and examining the model parameters in order to achieve the best-fitting results. The establishment of nonlinear prediction models for selected metallurgical responses was conducted using data obtained in flotation experiments, as seen in Equations (2) and (3). Factor A corresponds to solid content, factor B corresponds to pine oil dosage, factor C corresponds to diesel oil dosage, and factor D corresponds to CPO dosage (see Table 1):
Table 4 lists the validation of parameters models, indicating that the models derived from experimental results are all reliable because of significantly low probability value (p model) and high Fisher’s value (F value). The significance of the process models can be efficiently evaluated using residual normal probability plots. As shown in Figure 5, the uniformity of normal probability plots for both responses obviously confirms the assumptions of data normality and residual independence during their statistical evaluation. Likewise, the high value of the adjusted correlation coefficients indicates the significance of response models. The high value of the prediction correlation coefficient (Pred R2) and judicious agreement with the adjusted correlation coefficient (Adj R2) is a good confirmation of the acceptable accuracy of the response model in predicting process responses under new operational conditions, which can also be observed by comparing the predicted versus experimental results shown in Figure 6. Adequate precision is correspondingly a reliable statistical measure indicating the signal-to-noise ratio (SNR); values over 4 are desirable. In this research, the SNR values are 15.61 and 15.96 for ash content and total yield, respectively. According to the adequate signals of these values, models can be employed for navigating and predicting new responses within the DOE space.
Table 4.
Validation coefficients confirming the significance of flotation response models.
Figure 5.
Probability plots showing the normality of response values obtained during flotation experiments.
Figure 6.
Prediction desirability plots for response values obtained during flotation experiments.
Analysis of variance (ANOVA) of the model Equations (2) and (3) was performed for a 95% confidence interval, and results are given in Table 5 and Table 6. Due to the marginal probability values (p-value) lower than 0.05, the influence of all operational variables on process responses, with the exception of diesel oil dosage for ash content (Equation (1)), is statistically significant. Moreover, the significant dual interaction effects are interestingly those in which the CPO factor is involved, i.e., BD and CD for ash percentage, and AD and CD for the total yield. Although some interactive effects observed in ANOVA tables are not significant (p-value > 0.05), they had a positive influence on the precision of response models. A more in-depth metallurgical analysis of results is presented in the next section.
Table 5.
Statistical ANOVA results for ash content of the flotation concentrate.
Table 6.
Statistical ANOVA results for total yield of the flotation concentrate.
3.3. Interpretation of Main and Interaction Effects
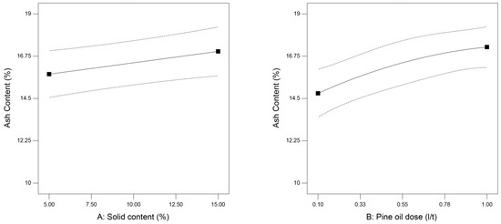
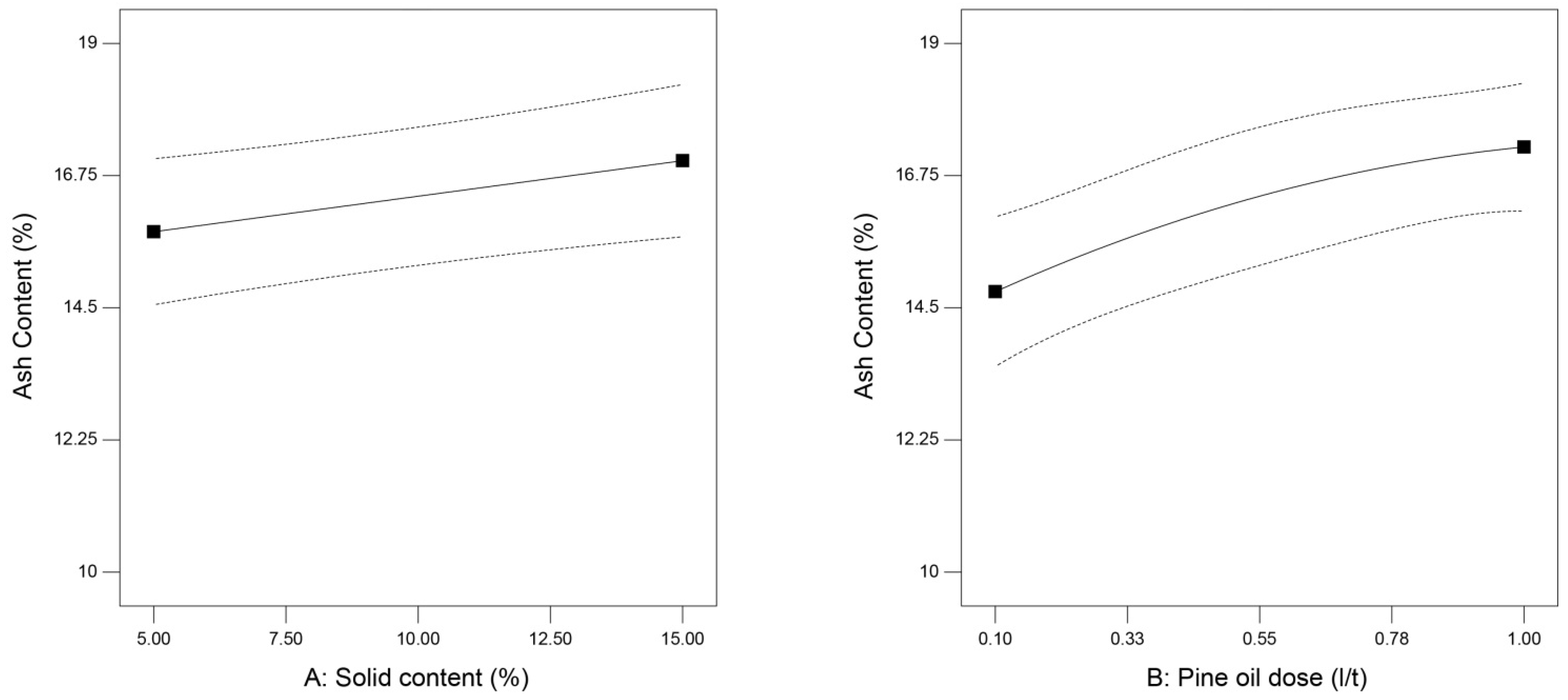
Main effect plots are practical means for evaluating the individual effects of operational parameters on responses. Such plots are drawn as the variation of process responses against the levels of each parameter based on prediction models developed for responses while other parameters are kept constant at their middle level. In this study, therefore, main effect plots were developed using model Equations (2) and (3) for ash percentage and total yield, as shown in Figure 7 and Figure 8, respectively.

Figure 7.
Individual effect of operational parameters on ash percentage of flotation concentrate (dashed lines indicate the standard deviation area).

Figure 8.
Individual effect of operational parameters on the total yield of flotation concentrate (dashed lines indicate the standard deviation area).
Figure 7 shows that there is a direct increasing correlation between ash percentage and solid content. Increasing the pulp solid content results in a high level of particle suspension, especially fine fractions, in a flotation cell environment, and thus, the rate at which particles settle will significantly increase. As observed in Figure 2, ash material dominantly distributes in the finest fraction of coal feed sample (<150 μm). Therefore, as the solid content increases, finer fractions of feed with higher ash content will be transferred to the froth phase and the concentrate [55]. Additionally, Paryad et al. [56] showed that thicker flotation feeds can increase the rate of entrainment with swarm mechanism due to increased turbulent conditions in the the pulp environment. Pine oil as a process frother also has an increasing influence on the ash content of flotation content. Higher concentrations of frother, before critical micelle concentration, increase the rate at which particles transfer to the froth zone by forming smaller bubbles and increasing the number of bubbles per unit volume of pulp [57,58].
As the dosage of CPO grows, the ash percentage initially rises, followed by a slight decrease. FTIR measurements (Figure 4) showed that the structure of CPO contains numerous hydroxyl groups, which can react with the surface of ash material composed of oxide groups [59] and, hence, enhance the floatability of ash materials. This phenomenon designates that the activity of hydrophilic functional groups in the molecular structure of CPO and their propensity to react with the surface of ash material overcomes the bond energy (presumably hydrogen bond) between CPO hydrocarbon groups and the surface of coal particles. Thus, the proportion of ash material-bearing particles in the froth phase and final concentrate rises. Although the middle level of CPO dosage exhibits an increasing tendency in ash content, the trend is essentially steady. This could be a result of an interaction between the molecules of pine oil frother and CPO.
The 3D plots of the variation of responses versus every two individual parameters offer useful information concerning both individual and interactive effects between operational parameters. Such 3D interaction graphs are constructed based on response data obtained during flotation experiments. Figure 9 and Figure 10 exhibit the 3D response graphs for significant interactive effects presented in Table 5 and Table 6, respectively, and clearly reveal the nonlinear correlation between flotation responses and all interaction effects. As shown in Figure 9, the influence of CPO on ash content steadily increases as the pine oil dosage increases. Although the main effect of diesel oil dosage on ash percentage was meaningless, Figure 9 obviously displays that the dosages of diesel oil and CPO significantly interact with one another. In the absence of CPO, the ash percentage increases by increasing the diesel oil dosage. However, the trend reverses as the concentration of CPO increases through a nonlinear trend. This behavior may be ascribed to the following possible reasons: first, diesel oil and CPO molecules may compete to adsorb on the surface of coal particles until the adsorption of CPO molecules dominates. From another perspective, molecules of CPO and diesel oil may interact in the pulp environment until, at high dosages of CPO, the amount of diesel oil molecules is reduced to such an extent that they are not able to interact with the surface of coal particles.
Figure 9.
The 3D response graphs illustrating the interaction between operational parameters on ash percentage.
Figure 10.
The 3D response graphs illustrating the interaction between operational parameters on total yield.
As shown in Figure 8, yield is following a relatively similar trend with ash content in all plots. Yield is defined as the mass ratio of the final concentrate to the flotation. Therefore, as the amount of ash material, with a higher specific gravity than coal, increases in final concentrate, the total yield will increase accordingly. The interaction plots of Figure 10 revealed a nonlinear interaction between diesel oil and CPO on the yield. Hence, the nonlinear impact of CPO on yield can be ascribed to the competitive adsorption between CPO and diesel oil at particle surfaces with low liberation degrees, i.e., ashy sites. In addition, some complex nonlinear interactive relationships between other operational parameters can be seen in Figure 10, which needs to be considered in process optimization.
3.4. Proposed Phenomena behind the Results
As seen in Figure 4, the FTIR spectrum of raw coal shows the presence of various functional groups, including hydroxyl (alcohol) groups, hydrocarbon groups such as alkanes and/or alkenes, carbonyl groups like ketones or aldehydes, unsaturated hydrocarbon groups, including aromatic and/or alkenyl groups, and methyl groups. In the case of exposed coal, the broad and prominent peak at around 3440 cm−1 corresponds to the stretching vibration of O–H bonds, which can be attributed to hydroxyl (alcohol) groups or the presence of water. Peaks between 2950 and 2850 cm−1 indicate the presence of alkanes and/or alkenes, perhaps from the carbonated pyrolysis oil used to treat the coal sample while having the bending vibration of C–H bonds in methyl groups [60,61]. Additionally, peaks between 1720 and 1650 cm−1 are related to the stretching vibrations of C=O bonds in carbonyl groups, most likely due to the pyrolysis oil treatment. Peaks between 1600 and 1450 cm−1 correspond to the stretching vibrations of C=C bonds in unsaturated hydrocarbon groups, indicating aromatic and/or alkenyl groups, presumably due to the CPO on the coal surface. Peaks between 1200 and 1000 cm−1 are related to the stretching and bending vibrations of C–O and C–C bonds, possibly from organic compounds in the coal sample or the pyrolysis oil. In the FTIR spectrum of pyrolysis oil, the significant presence of hydroxyl groups, numerous C–H–bonded hydrocarbon groups, a high quantity of ketones and/or aldehydes, aromatic and/or alkenyl groups, substantial ether groups, and alkanes and/or alkenes are evident. These peaks may be a result of the presence of organic compounds in the coal sample or the carbonated pyrolysis oil used to treat the coal sample.
Therefore, the undesirable impact of CPO on the efficiency of coal flotation may be attributed to a complex interplay between the hydrophilic groups present in the structure of CPO molecules and the oxide group of ash material in coal particles. According to the FT-IR spectra provided, several potential mechanisms may explain this effect, including hydrophilic interaction between CPO and coal particles, formation of CPO–coal agglomerates, and adsorption of CPO molecules onto flotation reagents (molecular interaction). The hydroxyl and carbonyl functional groups in the CPO structure are polar and can form hydrogen bonds with the surface functional groups on coal particles, such as carboxylic acids and hydroxyl groups. These interactions cause an increase in the hydrophilicity of the surface of coal particles, resulting in a lower contact angle with water and reduced hydrophobicity. The hydrophobicity of coal particles is crucial for their attachment to air bubbles during flotation, and a decrease in hydrophobicity leads to lower flotation efficiency. Furthermore, the formation of hydrogen bonds between CPO and coal particle surface may also inhibit the adsorption of CPO molecules onto the surface, further reducing flotation efficiency. On the other hand, the unsaturated hydrocarbon groups and aromatic rings in the pyrolysis oil can adsorb onto the surface of coal particles and form a hydrophobic layer that inhibits the attachment of air bubbles. This is because the hydrophobic layer formed by the adsorbed CPO hinders the penetration of water and air bubbles into the interfacial region between the CPO molecules and the coal particle surface. This leads to a decrease in the available surface area for the attachment of air bubbles and a corresponding decrease in flotation efficiency. Moreover, the hydrophilic and hydrophobic functional groups in the CPO can interfere with the adsorption of the flotation collector, i.e., diesel oil molecules, onto the coal particle surface. For instance, the hydrophilic functional groups in the CPO can compete with the diesel oil molecules for adsorption sites on the surface of coal particles, reducing the selectivity and efficiency of the flotation process. Similarly, the hydrophobic functional groups in the CPO can bond with collector molecules, altering their adsorption behavior and reducing their effectiveness. Thus, the undesirable influence of CPO on the efficacy of coal flotation can be attributed to a complex interplay of chemical and physical interactions that occur at the surface of coal particles. These interactions can alter the hydrophobicity of the coal particle surface, inhibit the attachment of air bubbles, and interfere with the adsorption of flotation reagents, leading to a decrease in the efficiency and selectivity of the flotation process.
4. Conclusions
This research aims to determine the viability of using a carbonate-modified pyrolysis oil (CPO) recycled from spare vehicle tires as a novel flotation reagent for processing fine coal. The impacts of operating parameters, including the solid percentage of pulp and the concentrations of collector, frother, and CPO, on ash percentage and total yield of the final flotation concentrate were evaluated using historical data DOE. An analysis of variance was undertaken to assess the correlation between flotation efficiency and selected operating factors. The concluding remarks of this work are as follows:
- All evaluated parameters had a substantial influence on the metallurgical responses of coal flotation.
- The findings indicate a positive correlation between the percentage of ash and the solid content.
- Despite the expected effects of pulp solid percentage, pine oil concentration, and diesel oil concentration, CPO resulted in increased ash percentage in the final concentrate. This is likely due to its polar nature and ability to form hydrogen bonds and electrostatic interactions with the hydrophilic oxide groups in the structure of ash material on the coal particle surface, which reduce the surface area available for the adsorption of flotation reagents onto the coal particle surface and, thus, air bubble attachment.
- An increase in the concentration of CPO increased the yield in concentrate through a nonlinear tendency, presumably due to the interaction between molecules of CPO and diesel oil for competitive adsorption on the coal particle surface.
Modifications to the structure of CPO may be a viable strategy for mitigating the detrimental effects of pyrolysis oil on coal flotation performance, particularly in oxidized low-rank coal flotation. More investigations are required to determine the precise mechanism underlying the results of the present research study.
Author Contributions
Conceptualization, I.H. and H.K.; methodology, I.H. and H.K.; formal analysis, H.K., M.S., K.A. and A.R.; investigation, H.K. and M.S.; resources, H.K. and M.S.; data curation, H.K., M.S. and K.A.; writing—original draft preparation, H.K., K.A. and A.R.; writing—review and editing, H.K., M.S. and K.A.; visualization, H.K. and A.R.; supervision, H.K. All authors have read and agreed to the published version of the manuscript.
Funding
This research received no external funding.
Data Availability Statement
Data are available upon request.
Acknowledgments
The authors would like to thank Arjomand for his key cooperation during the production of pyrolysis oil.
Conflicts of Interest
The authors declare no conflicts of interest.
References
- Shojaei, V.; Khoshdast, H. Combined application of computational fluid dynamics (CFD) and design of experiments (DOE) to hydrodynamic simulation of a coal classifier. Int. J. Min. Geo-Eng. 2017, 51, 9–24. [Google Scholar]
- Safari, M.; Hoseinian, F.; Deglon, D.; Leal Filho, L.; Pinto, T.S. Impact of flotation operational parameters on the optimization of fine and coarse Itabirite iron ore beneficiation. Powder Technol. 2022, 408, 117772. [Google Scholar] [CrossRef]
- Kim, S.; Morsi, B.; Araujo, G.; Chiang, S.; Blachere, J.; Sharkey, A. Effect of grinding conditions on the performance of a selective agglomeration process for physical coal cleaning. Coal Prep. 1991, 9, 141–153. [Google Scholar] [CrossRef]
- Polat, M.; Polat, H.; Chander, S. Physical and chemical interaction in coal flotation. Int. J. Miner. Process. 2003, 72, 199–213. [Google Scholar] [CrossRef]
- Hassanzadeh, A.; Safari, M.; Khoshdast, H.; Güner, M.K.; Hoang, D.H.; Sambrook, T.; Kowalczuk, P.B. Introducing key advantages of intensified flotation cells over conventionally used mechanical and column cells. Physicochem. Probl. Miner. Process. 2022, 58, 155101. [Google Scholar] [CrossRef]
- Safari, M.; Deglon, D. Evaluation of an Attachment–Detachment Kinetic Model for Flotation. Minerals 2020, 10, 978. [Google Scholar] [CrossRef]
- Rezaei, B. Coal Cleaning Technology; Amir Kabir University Press: Tehran, Iran, 2002. [Google Scholar]
- Wojcik, W.; Janczuk, B.; Bialopiotrowicz, T. The influence of an apolar collector on the contact angle, detachment force and work of adhesion to the coal surface in agglomeration flotation of low rank coal. Fuel 1990, 69, 207–210. [Google Scholar] [CrossRef]
- Wen, B.; Xia, W.; Sokolovic, J.M. Recent advances in effective collectors for enhancing the flotation of low rank/oxidized coals. Powder Technol. 2017, 319, 1–11. [Google Scholar] [CrossRef]
- Li, B.; Liu, S.; Fan, M.; Zhang, L. The effect of ethylene oxide groups in dodecyl ethoxyl ethers on low rank coal flotation: An experimental study and simulation. Powder Technol. 2019, 344, 684–692. [Google Scholar] [CrossRef]
- Wang, D.; Xu, M.; He, J.; Wang, L. Flotation of low rank coal using dodecane after pretreatment by dielectric barrier discharge (DBD) air plasma. Fuel 2019, 251, 543–555. [Google Scholar] [CrossRef]
- Xia, W.; Wu, F.; Jaiswal, S.; Li, Y.; Peng, Y.; Xie, G. Chemical and physical modification of low rank coal floatability by a compound collector. Colloids Surf. A Physicochem. Eng. Asp. 2021, 610, 125943. [Google Scholar] [CrossRef]
- Xia, W.; Li, Y.; Nguyen, A.V. Improving coal flotation using the mixture of candle soot and hydrocarbon oil as a novel flotation collector. J. Clean. Prod. 2018, 195, 1183–1189. [Google Scholar] [CrossRef]
- Yi, Q.; Li, W.; Zhang, X.; Feng, J.; Zhang, J.; Wu, J. Tech-economic evaluation of waste cooking oil to bio-flotation agent technology in the coal flotation industry. J. Clean. Prod. 2015, 95, 131–141. [Google Scholar] [CrossRef]
- Zhu, X.; He, M.; Zhang, W.; Wei, H.; Lyu, X.; Wang, Q.; You, X.; Li, L. Formulation design of microemulsion collector based on gemini surfactant in coal flotation. J. Clean. Prod. 2020, 257, 120496. [Google Scholar] [CrossRef]
- Xia, Y.; Yang, Z.; Zhang, R.; Xing, Y.; Gui, X. Performance of used lubricating oil as flotation collector for the recovery of clean low-rank coal. Fuel 2019, 239, 717–725. [Google Scholar] [CrossRef]
- Yang, Z.; Chang, G.; Xia, Y.; He, Q.; Zeng, H.; Xing, Y.; Gui, X. Utilization of waste cooking oil for highly efficient recovery of unburned carbon from coal fly ash. J. Clean. Prod. 2021, 282, 124547. [Google Scholar] [CrossRef]
- Xie, G.; Wu, L.; Li, G.; Yu, H. Coal flotation using wash oil as a new type of collector. Min. Sci. Technol. 2010, 20, 546–550. [Google Scholar] [CrossRef]
- Fazaelipoor, M.H.; Khoshdast, H.; Ranjbar, M. Coal flotation using a biosurfactant from Pseudomonas aeruginosa as a frother. Korean J. Chem. Eng. 2010, 27, 1527–1531. [Google Scholar] [CrossRef]
- Khoshdast, H.; Shojaei, V. Ash removal from a sample coal by flotation using rhamnolipid biosurfactants. J. Min. World Express 2012, 1, 39–45. [Google Scholar]
- Asgari, K.; Huang, Q.; Khoshdast, H.; Hassanzadeh, A. A review on bioflotation of coal and minerals: Classification, mechanisms, challenges, and future perspectives. Miner. Process. Extr. Metall. Rev. 2022, 45, 46–76. [Google Scholar] [CrossRef]
- Dube, R.M. Collectors for Enabling Flotation of Oxidized Coal. Ph.D. Thesis, University of Kentucky, Lexington, KY, USA, 2012. [Google Scholar]
- Hacifazlioğlu, H.; Dilek, S. Sunflower oil as green collector in bituminous coal flotation. Energy Sources A Recovery Util. Environ. Eff. 2017, 39, 1602–1609. [Google Scholar] [CrossRef]
- Shen, L.; Min, F.; Liu, L.; Zhu, J.; Xue, C.; Cai, C.; Zhou, W.; Wang, C. Application of gaseous pyrolysis products of the waste cooking oil as coal flotation collector. Fuel 2019, 239, 446–451. [Google Scholar] [CrossRef]
- İbrahim, S.; Yakup, C. Performance of classic oils and lubricating oils in froth flotation of Ukraine coal. Fuel 2006, 85, 1866–1870. [Google Scholar]
- Zheng, K.; Xia, W.; Wang, R.; Li, Y.; Zhang, W. Synergistic effects of Triton X-100 and kerosene on the flotation removal of unburned carbon from fly ash. Colloids Surf. A Physicochem. Eng. Asp. 2021, 622, 126668. [Google Scholar] [CrossRef]
- Kanghao, Z.; Wencheng, X.; Wenjun, Z. Reverse flotation of non-coking coal fines using non-ionic surfactant triton X-100 as depressant. Colloids Surf. A Physicochem. Eng. Asp. 2021, 611, 125794. [Google Scholar]
- Liang, L.; Tian, F.; Wang, L.; Xie, G. Effect of polyaluminum chloride on coal flotation performance with different reagent addition regimes. Powder Technol. 2019, 349, 84–91. [Google Scholar] [CrossRef]
- Yang, L.; Li, D.; Zhang, L.; Yan, X.; Ran, J.; Wang, Y.; Zhang, H. On the utilization of waste fried oil as flotation collector to remove carbon from coal fly ash. Waste Manag. 2020, 113, 62–69. [Google Scholar] [CrossRef]
- Xu, M.; Xing, Y.; Cao, Y.; Gui, X. Waste colza oil used as renewable collector for low rank coal flotation. Powder Technol. 2019, 344, 611–616. [Google Scholar] [CrossRef]
- Zhu, X.; Wang, D.; Ni, Y.; Wang, J.; Nie, C.; Yang, C.; Lyu, X.; Qiu, J.; Li, L. Cleaner approach to fine coal flotation by renewable collectors prepared by waste oil transesterification. J. Clean. Prod. 2019, 252, 119822. [Google Scholar] [CrossRef]
- Xia, W.; Li, Y.; Wu, F.; Niu, C. Enhanced flotation selectivity of fine coal from kaolinite by anionic polyacrylamide pre-conditioning. J. Mol. Liq. 2021, 334, 116083. [Google Scholar] [CrossRef]
- Zhen, K.; Zhang, H.; Li, C.; Li, X. Effect of oxidized diesel oil on the flotation response of the low-rank coal by plasma oxidation method. Fuel 2019, 245, 13–20. [Google Scholar] [CrossRef]
- Yang, Z.; Liao, Y.; Ren, H.; Hao, X.; Song, X.; Liu, Z. A novel co-treatment scheme for waste motor oil and low rank coal slime: Waste dispose waste. Fuel 2021, 292, 120275. [Google Scholar] [CrossRef]
- Hasanizadeh, I.; Khoshdast, H.; Shojaei, V.; Yang, X.; Asgari, K. Flotation response of a bituminous coal sample in presence of a pyrolitic oil recycled from used car tires. Energy Sources A Recovery Util. Environ. Eff. 2023, 45, 1918–1936. [Google Scholar] [CrossRef]
- Li, Y.; Xia, W.; Peng, Y.; Xie, G. A novel coal tar-based collector for effective flotation cleaning of low rank coal. J. Clean. Prod. 2020, 273, 123172. [Google Scholar] [CrossRef]
- Liao, Y.; An, M.; Hao, X.; Song, X.; Yang, Z.; Ren, H.; Liu, Z. Enhanced floatability of low rank coal using surface functionalized polystyrene nanoparticles as collectors. J. Clean. Prod. 2021, 284, 124763. [Google Scholar] [CrossRef]
- Wang, Y.; Zhou, W.; Li, Y.; Liang, L.; Xie, G.; Peng, Y. The role of polyvinylpyrrolidone in the selective separation of coal from quartz and kaolinite minerals. Colloids Surf. A Physicochem. Eng. Asp. 2021, 626, 126948. [Google Scholar] [CrossRef]
- Wang, H.; Lin, H.; Zheng, Y.; Zhang, Y. Environmental impact of polycyclic aromatic hydrocarbons (PAHs) from pyrolysis oil and potential mitigation methods. J. Hazard. Mater. 2019, 377, 86–92. [Google Scholar]
- Zhao, B.; Li, M.; Zhang, X.; Meng, A. Characteristics and catalytic behaviors of different pyrolysis oils in the catalytic fast pyrolysis of biomass. Energy Convers. Manag. 2017, 149, 698–707. [Google Scholar]
- ASTM D 3174-73; Standard Test Method for Ash in the Analysis Sample of Coal and Coke from Coal. ASTM International: West Conshohocken, PE, USA, 2013.
- Arjomand, M. A Novel Process for Producing Different Types of Pyrolitic Oils from Used Automobile Tires; Technical Report; Shekoufeh Sana’t Borna Company: Kerman, Iran, 2020. [Google Scholar]
- Ren, X.; Cai, H.; Du, H.; Chang, J. The Preparation and Characterization of Pyrolysis Bio-Oil-Resorcinol-Aldehyde Resin Cold-Set Adhesives for Wood Construction. Polymers 2017, 9, 232. [Google Scholar] [CrossRef]
- Cui, Y.; Hou, X.; Wang, W.; Chang, J. Synthesis and Characterization of Bio-Oil Phenol Formaldehyde Resin Used to Fabricate Phenolic Based Materials. Materials 2017, 10, 668. [Google Scholar] [CrossRef] [PubMed]
- Yi, Q.; Zhang, J.; Zhang, X.; Feng, J.; Li, W. Synthesis of SO42−/Zr-SBA-15 catalyst for the transesterification of waste cooking oil as a bio-flotation agent in coal flotation. Fuel 2015, 143, 390–398. [Google Scholar] [CrossRef]
- Chen, S.; Tang, L.; Tao, X.; He, H.; Chen, L.; Yang, Z. Enhancing flotation performance of low rank coal by improving its hydrophobicity and the property of oily bubbles using 2-ethylhexanol. Int. J. Miner. Process. 2017, 167, 61–67. [Google Scholar] [CrossRef]
- Montgomery, D.C. Design and Analysis of Experiments, 10th ed.; Wiley: Hoboken, NJ, USA, 2020. [Google Scholar]
- Zhang, L.; Sun, X.; Li, B.; Xie, Z.; Guo, J.; Liu, S. Experimental and molecular dynamics simulation study on the enhancement of low rank coal flotation by mixed collector. Fuel 2020, 266, 117046. [Google Scholar] [CrossRef]
- Mishra, S.; Prasad, A.K.; Shukla, A.; Vinod, A.; Preety, K.; Varma, A.K. Estimation of Carbon Content in High-Ash Coal Using Mid-Infrared Fourier-Transform Infrared Spectroscopy. Minerals 2023, 13, 938. [Google Scholar] [CrossRef]
- Du Plessis, P.I.; Gazley, M.F.; Tay, S.L.; Trunfull, E.F.; Knorsch, M.; Branch, T.; Fourie, L.F. Quantification of Kaolinite and Halloysite Using Machine Learning from FTIR, XRF, and Brightness Data. Minerals 2021, 11, 1350. [Google Scholar] [CrossRef]
- Nandiyanto, A.B.D.; Oktiani, R.; Ragadhita, R. How to read and interpret FTIR spectroscope of organic material. Indones. J. Sci. Technol. 2019, 4, 97–118. [Google Scholar] [CrossRef]
- Safari, M.; Deglon, D. An attachment-detachment kinetic model for the effect of energy input on flotation. Miner. Eng. 2018, 117, 8–13. [Google Scholar] [CrossRef]
- Hoseinian, F.S.; Safari, M.; Deglon, D. Ion flotation kinetic predictions using empirical and phenomenological models. Miner. Eng. 2024, 210, 108645. [Google Scholar] [CrossRef]
- Stat-Ease, Sesign Expert v. 7. Available online: https://www.statease.com/software/design-expert (accessed on 15 August 2023).
- Testa, F.G.; Safari, M.; Deglon, D.; Leal, L.d.S. Influence of agitation intensity on flotation rate of apatite particles. REM-Int. Eng. J. 2017, 70, 491–495. [Google Scholar] [CrossRef]
- Paryad, H.; Khoshdast, H.; Shojaei, V. Effects of operating parameters on time-dependent ash entrainment behaviour of a sample coal flotation. J. Min. Environ. 2017, 8, 337–357. [Google Scholar]
- Safari, M.; Hoseinian, F.; Deglon, D.; Leal Filho, L.; Pinto, T.S. Investigation of the reverse flotation of iron ore in three different flotation cells: Mechanical, oscillating grid and pneumatic. Miner. Eng. 2020, 150, 106283. [Google Scholar] [CrossRef]
- Hoseinian, F.S.; Rezai, B.; Kowsari, E.; Safari, M. The effect of water recovery on the ion flotation process efficiency. Physicochem. Probl. Miner. Process. 2020, 56, 919–927. [Google Scholar] [CrossRef]
- Fozooni, S.; Khoshdast, H.; Hassani, H.; Hamidian, H. Synthesis of oxazolone and imidazolone derivatives in presence of H2O2 promoted fly ash as a novel and efficient catalyst. J. Sci. 2017, 28, 221–230. [Google Scholar]
- Hoseinian, F.; Rezai, B.; Safari, M. A new kinetic model for zinc ion removal from synthetic wastewater. In Proceedings of the 10th European Metallurgical Conference (EMC 2019), Düsseldorf, Germany, 23–26 June 2019; pp. 23–26. [Google Scholar]
- Qin, H.; Lu, Z.; Yao, S.; Li, Z.; Lu, J. Combining Laser-Induced Breakdown Spectroscopy and Fourier-Transform Infrared Spectroscopy for the Analysis of Coal Properties. J. Anal. At. Spectrom. 2019, 34, 347–355. [Google Scholar] [CrossRef]
Disclaimer/Publisher’s Note: The statements, opinions and data contained in all publications are solely those of the individual author(s) and contributor(s) and not of MDPI and/or the editor(s). MDPI and/or the editor(s) disclaim responsibility for any injury to people or property resulting from any ideas, methods, instructions or products referred to in the content. |
© 2024 by the authors. Licensee MDPI, Basel, Switzerland. This article is an open access article distributed under the terms and conditions of the Creative Commons Attribution (CC BY) license (https://creativecommons.org/licenses/by/4.0/).











