Acceleration of Iron-Rich Olivine CO2 Mineral Carbonation and Utilization for Simultaneous Critical Nickel and Cobalt Recovery
Abstract
1. Introduction
2. Materials and Methods
2.1. Materials
2.2. Methods
3. Results and Discussion
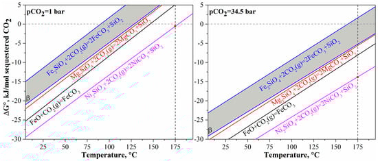
3.1. Thermodynamics
3.2. Mineral Carbonation in Presence of EDTA
3.3. Mineral Carbonation Accelerated by Reducing Atmosphere
3.4. Mineral Carbonation Accelerated by Complexation
4. Conclusions
Author Contributions
Funding
Data Availability Statement
Acknowledgments
Conflicts of Interest
References
- Matter, J.M.; Stute, M.; Snæbjörnsdottir, S.; Oelkers, E.; Gislason, S.R.; Aradottir, E.S.; Sigfusson, B.; Gunnarsson, I.; Alfredsson, H.A.; Wolff-boenisch, D.; et al. Rapid Carbon Mineralization for Permanent Disposal of Anthropogenic Carbon Dioxide Emissions. Science 2016, 352, 1312–1314. [Google Scholar] [CrossRef]
- Pogge von Strandmann, P.A.E.; Burton, K.W.; Snæbjörnsdóttir, S.O.; Sigfússon, B.; Aradóttir, E.S.; Gunnarsson, I.; Alfredsson, H.A.; Mesfin, K.G.; Oelkers, E.H.; Gislason, S.R. Rapid CO2 Mineralisation into Calcite at the CarbFix Storage Site Quantified Using Calcium Isotopes. Nat. Commun. 2019, 10, 1983. [Google Scholar] [CrossRef]
- Power, I.M.; Wilson, S.A.; Dipple, G.M. Serpentinite Carbonation for CO2 Sequestration. Elements 2013, 9, 115–121. [Google Scholar] [CrossRef]
- Sandalow, D.; Aines, R.; Friedmann, J.; Mccormick, C.; Power, I.; Schmidt, B.; Siobhan, W. Carbon Mineralization Roadmap Draft (ICEF Innovation Roadmap Project, October, 2021). 2021. Available online: https://www.osti.gov/biblio/1829577 (accessed on 25 July 2024).
- Sanna, A.; Uibu, M.; Caramanna, G.; Kuusik, R.; Maroto-Valer, M.M. A Review of Mineral Carbonation Technologies to Sequester CO2. Chem. Soc. Rev. 2014, 43, 8049–8080. [Google Scholar] [CrossRef]
- The National Academies of Sciences, Engineering, and Medicine. Negative Emissions Technologies and Reliable Sequestration: A Research Agenda; The National Academies Press: Washington, DC, USA, 2019; ISBN 9780309484527. [Google Scholar]
- Xi, F.; Davis, S.J.; Ciais, P.; Crawford-Brown, D.; Guan, D.; Pade, C.; Shi, T.; Syddall, M.; Lv, J.; Ji, L.; et al. Substantial Global Carbon Uptake by Cement Carbonation. Nat. Geosci. 2016, 9, 880–883. [Google Scholar] [CrossRef]
- Hitch, M.; Dipple, G.M. Economic Feasibility and Sensitivity Analysis of Integrating Industrial-Scale Mineral Carbonation into Mining Operations. Miner. Eng. 2012, 39, 268–275. [Google Scholar] [CrossRef]
- Wang, F.; Dreisinger, D. Status of CO2 Mineralization and Its Utilization Prospects. Miner. Miner. Mater. 2022, 1, 4. [Google Scholar] [CrossRef]
- Wang, F.; Dreisinger, D.; Jarvis, M.; Hitchins, T. Kinetic Evaluation of Mineral Carbonation of Natural Silicate Samples. Chem. Eng. J. 2021, 404, 126522. [Google Scholar] [CrossRef]
- Wang, F.; Dreisinger, D.; Jarvis, M.; Trytten, L.; Hitchins, T. Application and Optimization of a Quantified Kinetic Formula to Mineral Carbonation of Natural Silicate Samples. Miner. Eng. 2021, 161, 106712. [Google Scholar] [CrossRef]
- Wang, F.; Dreisinger, D. Carbon Mineralization with Concurrent Critical Metal Recovery from Olivine. Proc. Natl. Acad. Sci. USA 2022, 119, e2203937119. [Google Scholar] [CrossRef]
- Zappala, L.C.; Balucan, R.D.; Vaughan, J.; Steel, K.M. Development of a Nickel Extraction-Mineral Carbonation Process: Analysis of Leaching Mechanisms Using Regenerated Acid. Hydrometallurgy 2020, 197, 105482. [Google Scholar] [CrossRef]
- Gomes, H.I.; Mayes, W.M.; Rogerson, M.; Stewart, D.I.; Burke, I.T. Alkaline Residues and the Environment: A Review of Impacts, Management Practices and Opportunities. J. Clean. Prod. 2016, 112, 3571–3582. [Google Scholar] [CrossRef]
- Renforth, P. The Negative Emission Potential of Alkaline Materials. Nat. Commun. 2019, 10, 1401. [Google Scholar] [CrossRef] [PubMed]
- Watari, T.; McLellan, B.C.; Giurco, D.; Dominish, E.; Yamasue, E.; Nansai, K. Total Material Requirement for the Global Energy Transition to 2050: A Focus on Transport and Electricity. Resour. Conserv. Recycl. 2019, 148, 91–103. [Google Scholar] [CrossRef]
- Power, I.M.; Harrison, A.L.; Dipple, G.M.; Wilson, S.A.; Kelemen, P.B.; Hitch, M.; Southam, G. Carbon Mineralization: From Natural Analogues to Engineered Systems. Rev. Mineral Geochem. 2013, 77, 305–360. [Google Scholar] [CrossRef]
- Wang, F.; Dreisinger, D.; Jarvis, M.; Hitchins, T. Kinetics and Mechanism of Mineral Carbonation of Olivine for CO2 Sequestration. Miner. Eng. 2019, 131, 185–197. [Google Scholar] [CrossRef]
- Wang, F.; Dreisinger, D.B.; Jarvis, M.; Hitchins, T. The Technology of CO2 Sequestration by Mineral Carbonation: Current Status and Future Prospects. Can. Metall. Q. 2018, 57, 46–58. [Google Scholar] [CrossRef]
- Wang, F.; Dreisinger, D.; Jarvis, M.; Hitchins, T.; Dyson, D. Quantifying Kinetics of Mineralization of Carbon Dioxide by Olivine under Moderate Conditions. Chem. Eng. J. 2019, 360, 452–463. [Google Scholar] [CrossRef]
- Wang, F.; Dreisinger, D.; Jarvis, M.; Hitchins, T.; Trytten, L. CO2 Mineralization and Concurrent Utilization for Nickel Conversion from Nickel Silicates to Nickel Sulfides. Chem. Eng. J. 2021, 406, 126761. [Google Scholar] [CrossRef]
- Wang, F.; Dreisinger, D. An Integrated Process of CO2 Mineralization and Selective Nickel and Cobalt Recovery from Olivine and Laterites. Chem. Eng. J. 2023, 451, 139002. [Google Scholar] [CrossRef]
- Dreisinger, D.; Wang, F. Concerted Mineral Carbonation and Selective Leaching from Laterites. PCT/CA2021/051445, 21 April 2022. [Google Scholar]
- Wang, F.; Dreisinger, D.; Barr, G.; Wang, F.; Dreisinger, D.; Barr, G. Accelerated CO2 Mineralization and Simultaneous Critical Metal Recovery from Ultramafic Tailings. In Proceedings of the 62nd Conference of Metallurgists, COM 2023, Toronto, ON, Canada, 21–24 August 2023; Springer: Cham, Switzerland, 2023; pp. 45–53. [Google Scholar] [CrossRef]
- Wang, F.; Dreisinger, D.; Barr, G.; Martin, C. Utilization of Copper Nickel Sulfide Mine Tailings for CO2 Sequestration and Enhanced Nickel Sulfidization. In Proceedings of the Minerals, Metals and Materials Series; Springer: Cham, Switzerland, 2022; pp. 227–239. [Google Scholar]
- Wang, F.; Dreisinger, D.; Xiao, Y. Accelerated CO2 Mineralization and Utilization for Selective Battery Metals Recovery from Olivine and Laterites. J. Clean. Prod. 2023, 393, 136345. [Google Scholar] [CrossRef]
- Wang, F.; Dreisinger, D. Enhanced CO2 Mineralization and Selective Critical Metal Extraction from Olivine and Laterites. Sep. Purif. Technol. 2023, 321, 124268. [Google Scholar] [CrossRef]
- Olajire, A.A. A Review of Mineral Carbonation Technology in Sequestration of CO2. J. Pet. Sci. Eng. 2013, 109, 364–392. [Google Scholar] [CrossRef]
- Seifritz, W. CO2 Disposal by Means of Silicates. Nature 1990, 345, 486. [Google Scholar] [CrossRef]
- Gerdemann, S.J.; O’Connor, W.K.; Dahlin, D.C.; Penner, L.R.; Rush, H. Ex Situ Aqueous Mineral Carbonation. Environ. Sci. Technol. 2007, 41, 2587–2593. [Google Scholar] [CrossRef] [PubMed]
- O’Connor, W.K.; Dahlin, D.C.; Nilsen, D.N.; Walters, R.P. Carbon Dioxide Sequestration by Direct Aqueous Mineral Carbonation. In Proceedings of the 25th International Technical Conference on Coal Utilization & Fuel Systems, Clearwater, FL, USA, 5–8 March 2001; DOE/ARC-2001-029. Available online: http://www.osti.gov/energycitations/product.biblio.jsp?osti_id=897123 (accessed on 25 July 2024).
- Gadikota, G.; Matter, J.; Kelemen, P.; Park, A.-H.A. Chemical and Morphological Changes during Olivine Carbonation for CO2 Storage in the Presence of NaCl and NaHCO3. Phys. Chem. Chem. Phys. 2014, 16, 4679–4693. [Google Scholar] [CrossRef]
- Wang, F. Mineral Carbonation to Sequester CO2 with Concurrent Metal Sulfidization. Ph.D. Thesis, University of British Columbia, Vancouver, BC, Canada, 2019. [Google Scholar]
- Wood, C.E.; Qafoku, O.; Loring, J.S.; Chaka, A.M. Role of Fe(II) Content in Olivine Carbonation in Wet Supercritical CO2. Environ. Sci. Technol. Lett. 2019, 6, 592–599. [Google Scholar] [CrossRef]
- Reynes, J.F.; Mercier, G.; Blais, J.F.; Pasquier, L.C. Feasibility of a Mineral Carbonation Technique Using Iron-Silicate Mining Waste by Direct Flue Gas CO2 Capture and Cation Complexation Using 2,2′-Bipyridine. Minerals 2021, 11, 343. [Google Scholar] [CrossRef]
- Reynes, J.F.; Mercier, G.; Blais, J.F.; Pasquier, L.C. Carbon Dioxide Sequestration by Mineral Carbonation via Iron Complexation Using Bipyridine Chelating Ligands. Dalton Trans. 2023, 52, 6536–6542. [Google Scholar] [CrossRef] [PubMed]
- Wang, F.; Dreisinger, D. Laterites. In Energy Technology 2023, The Minerals, Metals & Materials Series; Springer: Cham, Switzerland, 2023; pp. 63–74. [Google Scholar]
- Wang, F.; Dreisinger, D. The Extraction of Nickel and Cobalt from Laterite Ores with Concurrent Carbon Sequestration. In Proceedings of the 61st Conference of Metallurgists, COM 2022, Montreal, QC, Canada, 21–24 August 2022; Springer: Cham, Swizerland, 2023; pp. 797–809. [Google Scholar] [CrossRef]
- Wang, F.; Dreisinger, D.; Xiao, Y. Pre-Treatment through Reductive Calcination for CO2 Mineralization and Selective Battery Metal Extraction from Laterites. Sep. Purif. Technol. 2024, 340, 126818. [Google Scholar] [CrossRef]










| SiO2 | MgO | FeO | Al2O3 | Cr2O3 | Ni | Co | MnO | CaO | Ti | Cu |
| 38.3 | 24.2 | 15.6 | 1.8 | 1.9 | 2.28 | 0.063 | 0.35 | 0.28 | <0.01 | <0.1 |
| Batch | Reducing Agent | Conditions | Reaction Time, h |
|---|---|---|---|
| Mineral carbonation in presence of EDTA | |||
| #1 | - | EDTA/Ni = 1.2, 175 °C, pCO2 = 34.5 bar, 1.5 molal NaHCO3 | 2h |
| #2 | EDTA/Ni = 1.2, 155 °C, pCO2 = 34.5 bar, 1.5 molal NaHCO3 | 0, 0.5, 1, 1.5, 2, 3, 4 | |
| Mineral carbonation accelerated by reducing atmosphere | |||
| #3 | Na2SO3, 0.1 molal | EDTA/Ni = 1.2, 175 °C, pCO2 = 34.5 bar, 1.5 molal NaHCO3 | 2 |
| #4 | Na2SO3, 0.3 molal | 2 | |
| #5 | Na2SO3, 0.59 molal | 2 | |
| #6 | Na2SO3, 1.19 molal | 2 | |
| #7 | 1% CO in CO-CO2 gas mixture | EDTA/Ni = 1.2, 155 °C, pCO2 = 34.5 bar, 1.5 molal NaHCO3 | 2 |
| #8 | 3% CO in CO-CO2 gas mixture | 2 | |
| #9 | 5% CO in CO-CO2 gas mixture | 0, 0.5, 1, 1.5, 2, 3, 5 | |
| #10 | 8% CO in CO-CO2 gas mixture | 2 | |
| #11 | 15% CO in CO-CO2 gas mixture | 2 | |
| #11 | 16.7% CO in CO-CO2 gas mixture | 2 | |
| #12 | 5% CO in CO-CO2 gas mixture | EDTA/Ni = 1.2, 175 °C, pCO2 = 34.5 bar, 1.5 molal NaHCO3 | 2 |
| #13 | 23% CO in CO-CO2 gas mixture | 2 | |
| Mineral carbonation accelerated by complexation | |||
| #14 | - | NTA/Ni = 8, 175 °C, pCO2 = 34.5 bar, 1.5 molal NaHCO3 | 2 |
| #15 | 40% CO in CO-CO2 gas mixture (pCO = 13.8 bar + pCO = 20.7 bar) | NTA/Ni = 1.2, 175 °C, 1.5 molal NaHCO3 | 2 |
| #16 | NTA/Ni = 2, 175 °C, 1.5 molal NaHCO3 | 2 | |
| #17 | NTA/Ni = 4, 175 °C, 1.5 molal NaHCO3 | 2 | |
| #18 | NTA/Ni = 6, 175 °C, 1.5 molal NaHCO3 | 2 | |
| #19 | NTA/Ni = 8, 175 °C, 1.5 molal NaHCO3 | 2 | |
| #20 | NTA/Ni = 10, 175 °C, 1.5 molal NaHCO3 | 2 | |
Disclaimer/Publisher’s Note: The statements, opinions and data contained in all publications are solely those of the individual author(s) and contributor(s) and not of MDPI and/or the editor(s). MDPI and/or the editor(s) disclaim responsibility for any injury to people or property resulting from any ideas, methods, instructions or products referred to in the content. |
© 2024 by the authors. Licensee MDPI, Basel, Switzerland. This article is an open access article distributed under the terms and conditions of the Creative Commons Attribution (CC BY) license (https://creativecommons.org/licenses/by/4.0/).
Share and Cite
Wang, F.; Dreisinger, D. Acceleration of Iron-Rich Olivine CO2 Mineral Carbonation and Utilization for Simultaneous Critical Nickel and Cobalt Recovery. Minerals 2024, 14, 766. https://doi.org/10.3390/min14080766
Wang F, Dreisinger D. Acceleration of Iron-Rich Olivine CO2 Mineral Carbonation and Utilization for Simultaneous Critical Nickel and Cobalt Recovery. Minerals. 2024; 14(8):766. https://doi.org/10.3390/min14080766
Chicago/Turabian StyleWang, Fei, and David Dreisinger. 2024. "Acceleration of Iron-Rich Olivine CO2 Mineral Carbonation and Utilization for Simultaneous Critical Nickel and Cobalt Recovery" Minerals 14, no. 8: 766. https://doi.org/10.3390/min14080766
APA StyleWang, F., & Dreisinger, D. (2024). Acceleration of Iron-Rich Olivine CO2 Mineral Carbonation and Utilization for Simultaneous Critical Nickel and Cobalt Recovery. Minerals, 14(8), 766. https://doi.org/10.3390/min14080766

