Major, Trace and Rare Earth Elements Geochemistry of Bottom Sediments in the Retiro Baixo Reservoir after the B1 Tailings Dam Rupture, Paraopeba River (Brazil)
Abstract
1. Introduction
2. Study Area
3. Materials and Methods
4. Results and Discussion
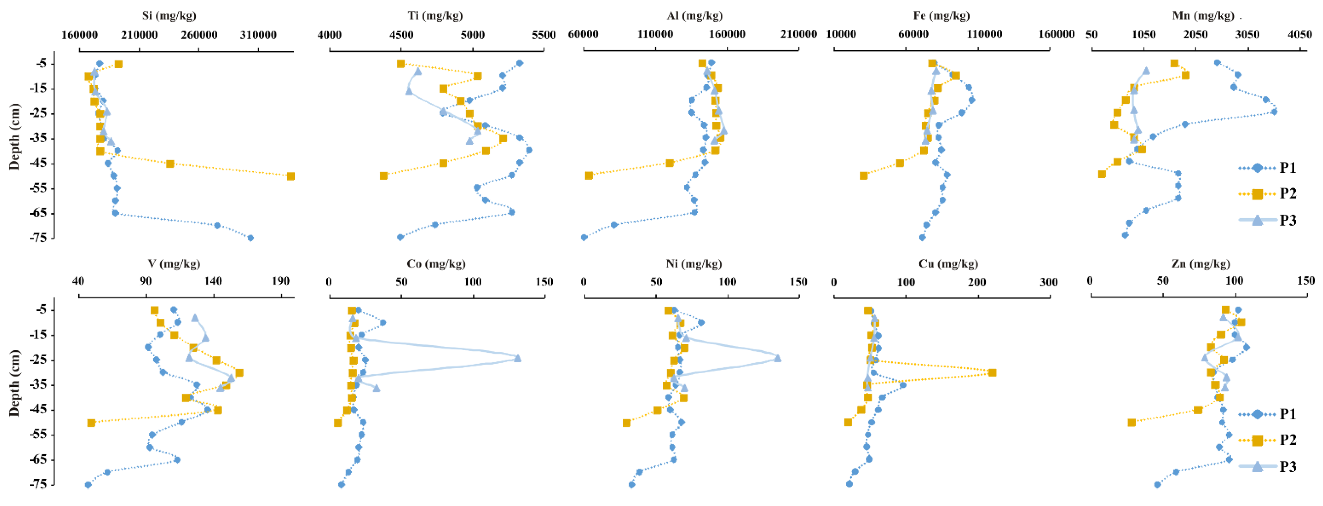
4.1. Major Elements
4.2. Trace and Rare-earth Elements (REEs)
4.3. Environmental Impacts or Historical Accumulation
5. Conclusions
Author Contributions
Funding
Data Availability Statement
Acknowledgments
Conflicts of Interest
References
- Wu, W.; Xu, S.; Lu, H.; Yang, J.; Yin, H.; Liu, W. Mineralogy, major and trace element geochemistry of riverbed sediments in the headwaters of the Yangtze, Tongtian River and Jinsha River. J. Asian Earth Sci. 2011, 40, 611–621. [Google Scholar] [CrossRef]
- Wu, W.; Zheng, H.; Xu, S.; Yang, J.; Liu, W. Trace element geochemistry of riverbed and suspended sediments in the upper Yangtze River. J. Geochem. Explor. 2013, 124, 67–78. [Google Scholar] [CrossRef]
- Zhang, K.; Peng, B.; Yang, X. Contamination and Risk of Heavy Metals in Sediments from Zhuzhou, Xiangtan and Changsha Sections of the Xiangjiang River, Hunan Province of China. Sustainability 2023, 15, 14239. [Google Scholar] [CrossRef]
- Wang, S.; Wang, Y.; Zhang, R.; Wang, W.; Xu, D.; Guo, J.; Li, P.; Yu, K. Historical levels of heavy metals reconstructed from sedimentary record in the Hejiang River, located in a typical mining region of southern China. Sci. Total Environ. 2015, 532, 645–654. [Google Scholar] [CrossRef] [PubMed]
- Martín-Crespo, T.; Gómez-Ortiz, D.; Martín-Velázquez, S.; Martínez-Pagán, P.; De Ignacio, C.; Lillo, J.; Faz, Á. Geoenvironmental characterization of unstable abandoned mine tailings combining geophysical and geochemical methods (Cartagena-La Union district, Spain). Eng. Geol. 2018, 232, 135–146. [Google Scholar] [CrossRef]
- Martín-Crespo, T.; Gómez-Ortiz, D.; Martín-Velázquez, S.; Martínez-Pagán, P.; De Ignacio, C.; Lillo, J.; Faz, Á. Abandoned mine tailings affecting riverbed sediments in the Cartagena–La Union district, mediterranean coastal area (Spain). Remote Sens. 2020, 12, 2042. [Google Scholar] [CrossRef]
- Sánchez-Donoso, R.; García Lorenzo, M.L.; Esbrí, J.M.; García-Noguero, E.M.; Higueras, P.; Crespo, E. Geochemical characterization and trace-element mobility assessment for metallic mine reclamation in soils affected by mine activities in the iberian pyrite belt. Geosciences 2021, 11, 233. [Google Scholar] [CrossRef]
- Azizi, M.; Faz, A.; Zornoza, R.; Martínez-Martínez, S.; Shahrokh, V.; Acosta, J.A. Environmental pollution and depth distribution of metal(loid)s and rare earth elements in mine tailing. J. Environ. Chem. Eng. 2022, 10, 107526. [Google Scholar] [CrossRef]
- Rodríguez-Pacheco, R.; Caparrós, A.V.; Alcolea, A.; Martínez-Pagán, P.; Martínez-Segura, M.A.; García-García, C.; Faz, Á.; Corral, I.; Roque, C.; Zarroca, M. Static Liquefaction Causes the Flow Failure of a Tailings Dam: A Case Study of El Descargador, Cartagena–La Unión Mining Region, SE Spain (October 1963). Minerals 2022, 12, 1488. [Google Scholar] [CrossRef]
- Salhi, R.; Durães, N.; Dhaoui, M.; Patinha, C.; da Silva, E.F.; Mlayah, A. Contamination assessment and availability of potential toxic elements from the Sidi Driss tailing pile (NW Tunisia) based on geochemical and geophysical methods. J. Afr. Earth Sci. 2023, 202, 104921. [Google Scholar] [CrossRef]
- Sayom, R.Y.A.; Mfenjou, M.L.; Ngounouno, M.A.; Etoundi, M.M.C.; Boroh, W.A.; Ngueyep, L.L.M.; Meying, A. A coupled geostatistical and machine learning approach to address spatial prediction of trace metals and pollution indices in sediments of the abandoned gold mining site of Bekao, Adamawa, Cameroon. Heliyon 2023, 9, e18511. [Google Scholar] [CrossRef] [PubMed]
- Vicq, R.; Leite, M.G.P.; Leão, L.P.; Nallini Júnior, H.A.; Valente, T. Geochemical Mapping and Reference Values of Potentially Toxic Elements in a Contaminated Mining Region: Upper Velhas River Basin Stream Sediments, Iron Quadrangle, Brazil. Minerals 2023, 13, 1545. [Google Scholar] [CrossRef]
- Zhang, H.; Wang, X.; Wang, H.; Yin, J.; Wang, R.; Shi, Z.; Ni, S. Distribution of Uranium and Molybdenum in River Sediment near Molybdenite Mining Region: A Case Study in SW China. Minerals 2023, 13, 1435. [Google Scholar] [CrossRef]
- Onnis, P.; Byrne, P.; Hudson-Edwards, K.A.; Stott, T.; Hunt, C.O. Fluvial Morphology as a Driver of Lead and Zinc Geochemical Dispersion at a Catchment Scale. Minerals 2023, 13, 790. [Google Scholar] [CrossRef]
- Kríbek, B.; Nyambe, I.; Sracek, O.; Mihaljevič, M.; Knésl, I. Impact of Mining and Ore Processing on Soil, Drainage and Vegetation in the Zambian Copperbelt Mining Districts: A Review. Minerals 2023, 13, 384. [Google Scholar] [CrossRef]
- Beres, I.; Maftei, A.E.; Dill, H.G.; Buzatu, A.; Damian, G. Contamination Assessment of Toxic Elements in River Sediments from Baia Mare, Romania—Extreme Pollution from Mining Activities. Minerals 2024, 14, 135. [Google Scholar] [CrossRef]
- Sánchez, L.E.; Alger, K.; Alonso, L.; Barbosa, F.A.R.; Brito, M.C.W.; Laureano, F.V.; May, P.; Roeser, H.; Kakabase, Y. Impacts of the Fundão Dam Failure. A Pathway to Sustainable and Resilient Mitigation; Rio Doce Panel Thematic Report; IUCN: Gland, Switzerland, 2018. [Google Scholar] [CrossRef]
- Keim, C.N.; Serna, J.D.P.; Acosta-Avalos, D.; Neumann, R.; Silva, A.S.; Jurelevicius, D.A.; Pereira, R.S.; de Souza, P.M.; Seldin, L.; Farina, M. Dissimilatory Iron-Reducing Microorganisms Are Present and Active in the Sediments of the Doce River and Tributaries Impacted by Iron Mine Tailings from the Collapsed Fundão Dam (Mariana, MG, Brazil). Minerals 2021, 11, 244. [Google Scholar] [CrossRef]
- Conceição, F.T.; Fernandes, A.M.; Hissler, C.; Lupinacci, C.M.; Menegário, A.M.; Moruzzi, R.B. Multi-tracer analysis to estimate the historical evolution of pollution in riverbed sediment of subtropical watershed, the lower course of the Piracicaba River, São Paulo, Brazil. Sci. Total Environ. 2020, 743, 140730. [Google Scholar] [CrossRef] [PubMed]
- Vauclin, S.; Mourier, B.; Dendievel, A.M.; Noclin, N.; Piégay, H.; Marchand, P.; Vénisseau, A.; de Vismes, A.; Lefèvre, I.; Winiarski, T. Depositional environments and historical contamination as a framework to reconstruct fluvial sedimentary evolution. Sci. Total Environ. 2021, 764, 142900. [Google Scholar] [CrossRef]
- Meybeck, M.; Lestel, L.; Bonte, P.; Moilleron, R.; Colin, J.L.; Rousselot, O.; Herve, D.; de Ponteves, C.; Thevenot, D.R. Historical perspective of heavy metals contamination (Cd, Cr, Cu, Hg, Pb, Zn) in the Seine River basin (France) following a DPSIR approach (1950–2005). Sci. Total Environ. 2007, 375, 204–231. [Google Scholar] [CrossRef]
- Mortatti, J.; Moraes, G.M.; Probst, J.L. Heavy metals distribution in recent sediments along the Tietê River basin (São Paulo, Brazil). Geochem. J. 2012, 46, 13–19. [Google Scholar] [CrossRef]
- Zahra, A.; Hashmi, M.Z.; Malik, R.N.; Ahmed, Z. Enrichment and geo-accumulation of heavy metals and risk assessment of sediments of the Kurang Nallah-feeding tributary of the Rawal Lake reservoir. Pakistan. Sci. Total Environ. 2014, 470–471, 925–933. [Google Scholar]
- Fernandes, A.M.; Hissler, C.; Conceição, F.T.; Spatti Junior, E.P.; Mortatti, J. Combined analysis of trace elements and isotopic composition of particulate organic matter in suspended sediment to assess their origin and flux in a tropical disturbed watershed. Environ. Pollut. 2016, 218, 844–854. [Google Scholar] [CrossRef] [PubMed]
- Ledru, M.; Jeske-Pieruschka, V.; Bremond, L.; Develle, A.; Sabatier, P.; Martins, E.S.P.R.; Freitas Filho, M.R.; Fontenele, D.P.; Arnaud, F.; Favier, C.; et al. When archiver are missing, deciphering the effects of public policies and climate variability on the Brazilian semi-arid region using sediment core studies. Sci. Total Environ. 2020, 723, 137989. [Google Scholar] [CrossRef] [PubMed]
- Nawrot, N.; Wojciechowska, E.; Mohsin, M.; Kuittinen, S.; Pappinen, A.; Rezania, S. Trace Metal Contamination of Bottom Sediments: A Review of Assessment Measures and Geochemical Background Determination Methods. Minerals 2021, 11, 872. [Google Scholar] [CrossRef]
- Moldovan, A.; Török, A.I.; Kovacs, E.; Cadar, O.; Mirea, I.C.; Micle, V. Metal Contents and Pollution Indices Assessment of Surface Water, Soil, and Sediment from the Aries, River Basin Mining Area, Romania. Sustainability 2022, 14, 8024. [Google Scholar] [CrossRef]
- Ferreira, S.L.C.; da Silva Junior, J.B.; dos Santos, I.F.; de Oliveira, O.M.C.; Cerda, V.; Queiroz, A.F.S. Use of pollution indices and ecological risk in the assessment of contamination from chemical elements in soils and sediments—Practical aspects. Trends Environ. Anal. Chem. 2022, 35, e00169. [Google Scholar] [CrossRef]
- Shevchenko, V.P.; Starodymova, D.P.; Vorobyev, S.N.; Aliev, R.A.; Borilo, L.P.; Kolesnichenko, L.G.; Lim, A.G.; Osipov, A.I.; Trufanov, V.V.; Pokrovsky, O.S. Trace Elements in Sediments of Two Lakes in the Valley of the Middle Courses of the Ob River (Western Siberia). Minerals 2022, 12, 1497. [Google Scholar] [CrossRef]
- Ahirvar, B.P.; Das, P.; Srivastava, V.; Kumar, M. Perspectives of heavy metal pollution indices for soil, sediment, and water pollution evaluation: An insight. Total Environ. Res. Themes 2023, 6, 100039. [Google Scholar] [CrossRef]
- Popoola, S.O.; Nubi, A.O.; Unyimadu, J.P.; Ladigbolu, I.A.; Fabunmi, I.; Udochu, U.; Nwamba, E.; Oba, I.A.; Mordi, S.; Adamu, S. Pollution indices and ecological risk assessment of major elements and trace metals in the marine sediment of the western Nigeria continental shelf, Gulf of Guinea. Sci. Afr. 2023, 22, e01923. [Google Scholar] [CrossRef]
- Vaezi, A.; Lak, R. Sediment Texture, Geochemical Variation, and Ecological Risk Assessment of Major Elements and Trace Metals in the Sediments of the Northeast Persian Gulf. Minerals 2023, 13, 850. [Google Scholar] [CrossRef]
- Rong, S.; Wu, J.; Liu, J.; Li, Q.; Ren, C.; Cao, X. Environmental Magnetic Characteristics and Heavy Metal Pollution Assessment of Sediments in the Le’an River, China. Minerals 2023, 13, 145. [Google Scholar] [CrossRef]
- Laureano, F.V.; Kwitko-Ribeiro, R.; Guimarães, L.; Leão, L.P. Mineralogical Fingerprint of Iron Ore Tailings in Paraopeba River Bedload Sediments after the B1 Dam Failure in Brumadinho, MG (Brazil). Minerals 2022, 12, 716. [Google Scholar] [CrossRef]
- Kobayashi, H.; Garnier, J.; Mulholland, D.S.; Quantin, C.; Haurine, F.; Tonha, M.; Joko, C.; Olivetti, D.; Freydier, R.; Seyler, P.; et al. Exploring a new approach for assessing the fate and behavior of the tailings released by the Brumadinho dam collapse (Minas Gerais, Brazil). J. Hazard. Mater. 2023, 448, 130828. [Google Scholar] [CrossRef] [PubMed]
- CBHSF. Comitê da Bacia Hidrográfica do Rio São Francisco. CBH do Rio Paraopeba (SF3)—Minas Gerais. 2019. Available online: http://cbhsaofrancisco.org.br/2017/comites-de-afluentes/cbh-do-rio-paraopeba-minas-gerais (accessed on 7 February 2019).
- Alkmim, F.F.; Marshak, S. Transamazonian orogeny in the Southern Sao Francisco craton region, Minas Gerais, Brazil: Evidence for Paleoproterozoic collision and collapse in the Quadrilátero Ferrıfero. Precambrian Res. 1998, 90, 29–58. [Google Scholar] [CrossRef]
- Vicq, R.; Matschullat, J.; Leite, M.G.P.; Nallini Júnior, H.A.; Mendonça, F.P.C. Iron Quadrangle stream sediments, Brazil: Geochemical maps and reference values. Environ. Earth Sci. 2015, 74, 4407–4417. [Google Scholar] [CrossRef]
- CPRM. Companhia de Pesquisa de Recursos Minerais—Superintendência Regional de Belo Horizonte. Regionalização de Vazões Sub-Bacias 40 e 41, Convênio 015/2000 ANEEL—013/CPRM/2000, Relatório Final; CPRM: Belo Horizonte, Brazil, 2001; 135p. [Google Scholar]
- CPRM. Companhia de Pesquisa de Recursos Minerais, Mapa Geológico. Escala 1:1.000.000; CPRM: Belo Horizonte, Brazil, 2020. [Google Scholar]
- UFV. Universidade Federal de Viçosa, Fundação Centro Tecnológico de Minas Gerais; Universidade Federal de Lavras; Fundação Estadual do Meio Ambiente; Fundação Estadual do Meio Ambiente: Belo Horizonte, Brazil, 2010; 49p. [Google Scholar]
- Gomes, M.A. Caracterização Tecnológica no Aproveitamento do Rejeito de Minério de Ferro. Master’s Thesis, Mineral Engineering Department, Federal University of Ouro Preto, Ouro Preto, Brazil, 2009. [Google Scholar]
- Pacheco, F.A.L.; Valle Junior, R.F.; Melo Silva, M.M.A.P.; Pissarra, T.C.T.; Melo, M.C.; Valera, C.A.; Fernandes, L.S.F. Prognosis of metal concentrations in sediments and water of Paraopeba River following the collapse of B1 tailings dam in Brumadinho (Minas Gerais, Brazil). Sci. Total Environ. 2022, 809, 151157. [Google Scholar] [CrossRef]
- Harnois, L. The CIW index: A new chemical index of weathering. Sediment. Geol. 1988, 55, 322. [Google Scholar] [CrossRef]
- Cox, R.; Lowe, D.R.; Cullers, R.L. The influence of sediment recycling and basement composition on evolution of mudrock chemistry in the southwestern United States. Geochim. Cosmochim. Acta 1995, 59, 2919–2940. [Google Scholar] [CrossRef]
- Gromet, L.P.; Dymek, R.F.; Haskin, L.A.; Korotev, R.L. The “North American shale composite”: Its compilation, major and trace element characteristics. Geochim. Cosmochim. Acta 1984, 48, 2469–2482. [Google Scholar] [CrossRef]
- Evensen, N.M.; Hamilton, P.J.; O’nions, R.K. Rare-earth abundances in chondritic meteorites. Geochim. Cosmochim. Acta 1978, 42, 1199–1212. [Google Scholar] [CrossRef]
- Sun, S.S.; McDonough, W.F. Chemical and isotopic systematics of oceanic basalts: Implications for mantle composition and processes. Geol. Soc. Spec. Publ. 1989, 42, 313–345. [Google Scholar]
- Håkanson, L. An ecological risk index for aquatic pollution control. a sedimentological approach. Water Res. 1980, 14, 975–1001. [Google Scholar] [CrossRef]
- Müller, G. Index of geoaccumulation in sediments of the Rhine River. Geo J. 1969, 2, 108–118. [Google Scholar]
- Shotyk, W.; Blaser, P.; Grüning, A.; Cheburkin, A.K. A new approach for quantifying cumulative, anthropogenic, atmospheric lead deposition using peat cores from bogs: Pb in eight Swiss peat bog profiles. Sci. Total Environ. 2000, 249, 281–295. [Google Scholar] [CrossRef] [PubMed]
- Silva, L.S.C.; Picanço, J.L.; Pereira, C.C.; Silva, D.; Almeida, T.N. Dispersion of tailings in the Paraopeba River system after Brumadinho dam failure: Brazil. Environ. Earth Sci. 2024, 83, 128. [Google Scholar] [CrossRef]
- Taylor, S.R.; McLennan, S.M. The Continental Crust: Its Composition and Evolution; Blackwell Scientific Publications: Oxford, UK, 1985; 312p, ISBN 0 632 01148 3. [Google Scholar]
- Taylor, S.R.; McLennan, S.M. The geochemical evolution of the continental crust. Rev. Geophys. 1995, 33, 241–265. [Google Scholar] [CrossRef]
- Morgan, J.W.; Higuchi, H.; Takahashi, H.; Hertogen, J. Chondritic Eucrite Parent Body-Inference from Trace-Elements. Geochim. Cosmochim. Acta 1978, 42, 27–38. [Google Scholar] [CrossRef]
- Nesbitt, H.W.; Young, G.M. Early Proterozoic climates and plate motions inferred from major element chemistry of lutites. Nature 1982, 299, 715–717. [Google Scholar] [CrossRef]
- Nesbitt, H.W.; Young, G.M. Prediction of some weathering trends of plutonic and volcanic rocks based on thermodynamic and kinetic considerations. Geochim. Cosmochim. Acta 1984, 48, 1523–1534. [Google Scholar] [CrossRef]
- Nesbitt, H.W.; Young, G.M. Formation and diagenesis of weathering profiles. J. Geol. 1989, 97, 129–147. [Google Scholar] [CrossRef]
- Herron, M.M. Geochemical classification of terrigenous sands and shales from core or log data. J. Sediment. Res. 1988, 58, 820–829. [Google Scholar] [CrossRef]
- Godoy, L.H.; Sardinha, D.S.; Moreno, M.M.T. Major and trace elements redistribution in weathered claystones from the Corumbataí Formation, Paraná Sedimentary Basin, São Paulo, Brazil. Braz. J. Geol. 2017, 47, 615–632. [Google Scholar] [CrossRef][Green Version]
- Benabdelkader, A.; Talebb, A.; Probst, J.L.; Belaidib, N.; Probst, A. Origin, distribution, and behaviour of rare earth elements in river bed sediments from a carbonate semi-arid basin (Tafna River, Algeria). Appl. Geochem. 2019, 106, 96–111. [Google Scholar] [CrossRef]
- Brazil. Conselho Nacional do Meio Ambiente, CONAMA. Resolução 454, de 01 de Novembro de 2012. Estabelece as Diretrizes Gerais e os Procedimentos Referenciais Para o Gerenciamento do Material a ser Dragado em Águas Sob Jurisdição Nacional; CONAMA: Brasília/DF, Brazil, 2012. [Google Scholar]
- Duarte, E.B.; Neves, M.A.; Oliveira, F.B.; Martins, M.E.; Oliveira, C.H.R.; Burak, D.L.; Orlando, M.T.D.; Rangel, C.V.G.T. Trace metals in Rio Doce sediments before and after the collapse of the Fundao iron ore tailing dam, Southeastern Brazil. Chemosphere 2021, 262, 127879. [Google Scholar] [CrossRef] [PubMed]
- Quaresma, V.S.; Aguiar, V.M.C.; Bastos, A.C.; Oliveira, K.S.; Vieira, F.V.; Sá, F.; Baptista Neto, J.A. The impact of trace metals in marine sediments after a tailing dam failure: The Fundão dam case (Brazil). Environ. Earth Sci. 2021, 80, 571. [Google Scholar] [CrossRef]
- Kusin, F.M.; Rahman, M.S.A.; Madzin, Z.; Jusop, S.; Mohamat-Yusuff1, F.; Ariffin, M.; Syakirin, M. The occurrence and potential ecological risk assessment of bauxite mine-impacted water and sediments in Kuantan, Pahang, Malaysia. Environ. Sci. Pollut. Res. Int. 2017, 24, 1306–1321. [Google Scholar] [CrossRef] [PubMed]
- Lima, G.F.C.; Bento, C.C.; Horn, A.H.; Marques, E.D.; Baggio Filho, H. Seasonal geochemical trends and pollution assessment of bottom sediments in the São Francisco hydrographic basin, Brazil: The Três Marias Reservoir. Environ. Sci. Pollut. Res. 2022, 29, 42929–42946. [Google Scholar] [CrossRef] [PubMed]
- Mortatti, J.; Oliveira, H.; Moraes, G.M.; Vendramini, D.; Fernandes, A.M. Distribution of heavy metals in the geochemical phases of sediments from the Tietê River, Brazil. Chem. Speciat. Bioavailab. 2013, 25, 3. [Google Scholar] [CrossRef]
- Shang, G.; Wang, X.; Zhu, L.; Liu, S.; Li, H.; Wang, Z.; Wang, B.; Zhang, Z. Heavy Metal Pollution in Xinfengjiang River Sediment and the Response of Fish Species Abundance to Heavy Metal Concentrations. Int. J. Environ. Res. Public Health 2022, 19, 11087. [Google Scholar] [CrossRef]






| SiO2 | Al2O3 | Fe2O3 | MgO | CaO | K2O | Na2O | MnO | TiO2 | P2O5 | LOI | Sum | CIW | ICV | ||
|---|---|---|---|---|---|---|---|---|---|---|---|---|---|---|---|
| NASC | 64.80 | 16.90 | 5.65 | 2.86 | 3.63 | 3.97 | 1.14 | 0.06 | 0.70 | 0.13 | -- | -- | 65.96 | 1.06 | |
| PASS | 62.80 | 18.90 | 7.22 | 2.20 | 1.30 | 3.70 | 1.20 | 0.11 | 1.00 | 0.16 | 6.00 | -- | 80.89 | 0.88 | |
| UCC | 66.00 | 15.20 | 5.00 | 2.20 | 4.20 | 3.40 | 3.90 | 0.08 | 0.50 | -- | -- | -- | 51.24 | 1.26 | |
| P1 | −5 cm | 37.88 | 28.26 | 11.39 | 0.55 | 0.23 | 1.46 | 0.10 | 0.32 | 0.89 | 0.18 | 14.77 | 96.03 | 97.92 | 0.52 |
| −10 cm | 37.05 | 27.72 | 13.29 | 0.52 | 0.19 | 1.39 | 0.09 | 0.37 | 0.87 | 0.23 | 14.64 | 96.36 | 98.20 | 0.59 | |
| −15 cm | 37.04 | 27.56 | 14.81 | 0.53 | 0.17 | 1.38 | 0.08 | 0.36 | 0.87 | 0.20 | 14.31 | 97.31 | 98.38 | 0.65 | |
| −20 cm | 38.51 | 25.55 | 15.17 | 0.54 | 0.26 | 1.40 | 0.11 | 0.44 | 0.83 | 0.21 | 13.93 | 96.95 | 97.43 | 0.72 | |
| −25 cm | 37.55 | 25.61 | 14.22 | 0.52 | 0.21 | 1.48 | 0.09 | 0.46 | 0.80 | 0.23 | 14.17 | 95.34 | 97.91 | 0.68 | |
| −30 cm | 38.25 | 27.26 | 11.91 | 0.54 | 0.17 | 1.61 | 0.09 | 0.24 | 0.85 | 0.22 | 14.45 | 95.59 | 98.30 | 0.56 | |
| −35 cm | 38.61 | 27.50 | 11.79 | 0.56 | 0.17 | 1.63 | 0.10 | 0.16 | 0.89 | 0.21 | 14.52 | 96.14 | 98.26 | 0.55 | |
| −40 cm | 40.98 | 27.14 | 12.14 | 0.57 | 0.19 | 1.65 | 0.10 | 0.12 | 0.90 | 0.21 | 14.28 | 98.28 | 98.10 | 0.57 | |
| −45 cm | 39.39 | 27.40 | 11.59 | 0.54 | 0.31 | 1.56 | 0.10 | 0.10 | 0.89 | 0.18 | 13.98 | 96.04 | 97.34 | 0.55 | |
| −50 cm | 40.44 | 25.98 | 12.71 | 0.54 | 0.20 | 1.36 | 0.13 | 0.22 | 0.88 | 0.17 | 13.59 | 96.22 | 97.76 | 0.61 | |
| −55 cm | 41.03 | 24.89 | 12.19 | 0.54 | 0.20 | 1.39 | 0.13 | 0.22 | 0.84 | 0.15 | 13.42 | 95.00 | 97.67 | 0.61 | |
| −60 cm | 40.76 | 25.92 | 12.18 | 0.54 | 0.20 | 1.48 | 0.12 | 0.22 | 0.85 | 0.16 | 13.55 | 95.98 | 97.82 | 0.59 | |
| −65 cm | 40.72 | 25.89 | 11.55 | 0.52 | 0.17 | 1.47 | 0.12 | 0.14 | 0.88 | 0.17 | 13.71 | 95.34 | 98.03 | 0.57 | |
| −70 cm | 58.92 | 15.36 | 10.69 | 0.40 | 0.17 | 1.47 | 0.26 | 0.10 | 0.79 | 0.09 | 8.55 | 96.80 | 95.30 | 0.90 | |
| −75 cm | 64.90 | 11.40 | 10.25 | 0.35 | 0.17 | 1.47 | 0.32 | 0.09 | 0.75 | 0.06 | 6.59 | 96.35 | 92.99 | 1.17 | |
| P2 | −5 cm | 41.21 | 26.89 | 11.12 | 0.42 | 0.13 | 1.13 | 0.09 | 0.21 | 0.75 | 0.20 | 14.91 | 97.06 | 98.55 | 0.51 |
| −10 cm | 35.82 | 28.17 | 13.50 | 0.45 | 0.11 | 1.23 | 0.09 | 0.24 | 0.84 | 0.22 | 15.45 | 96.12 | 98.74 | 0.58 | |
| −15 cm | 36.77 | 29.05 | 11.73 | 0.43 | 0.10 | 1.21 | 0.07 | 0.11 | 0.80 | 0.22 | 16.03 | 96.52 | 98.96 | 0.49 | |
| −20 cm | 36.80 | 28.72 | 11.36 | 0.45 | 0.10 | 1.26 | 0.08 | 0.09 | 0.82 | 0.23 | 16.04 | 95.95 | 98.89 | 0.49 | |
| −25 cm | 37.83 | 28.80 | 10.77 | 0.46 | 0.10 | 1.33 | 0.08 | 0.07 | 0.83 | 0.23 | 16.27 | 96.77 | 98.89 | 0.47 | |
| −30 cm | 37.95 | 28.80 | 10.49 | 0.46 | 0.11 | 1.32 | 0.06 | 0.06 | 0.84 | 0.23 | 16.12 | 96.44 | 98.94 | 0.46 | |
| −35 cm | 37.92 | 29.32 | 10.78 | 0.47 | 0.10 | 1.29 | 0.08 | 0.11 | 0.87 | 0.18 | 15.86 | 96.98 | 98.91 | 0.46 | |
| −40 cm | 37.83 | 28.68 | 10.32 | 0.48 | 0.11 | 1.35 | 0.08 | 0.13 | 0.85 | 0.18 | 15.43 | 95.44 | 98.82 | 0.46 | |
| −45 cm | 50.50 | 22.66 | 7.99 | 0.41 | 0.09 | 1.17 | 0.07 | 0.07 | 0.80 | 0.15 | 12.74 | 96.65 | 98.75 | 0.46 | |
| −50 cm | 72.10 | 11.95 | 4.34 | 0.28 | 0.06 | 0.83 | 0.04 | 0.03 | 0.73 | 0.08 | 7.02 | 97.46 | 98.52 | 0.53 | |
| P3 | −8 cm | 36.88 | 27.53 | 11.58 | 0.42 | 0.16 | 1.11 | 0.06 | 0.14 | 0.77 | 0.22 | 16.52 | 95.39 | 98.56 | 0.51 |
| −16 cm | 36.97 | 28.58 | 11.11 | 0.42 | 0.13 | 1.20 | 0.06 | 0.11 | 0.76 | 0.22 | 16.39 | 95.95 | 98.81 | 0.48 | |
| −24 cm | 39.11 | 29.07 | 11.20 | 0.45 | 0.12 | 1.30 | 0.06 | 0.11 | 0.80 | 0.21 | 16.16 | 98.59 | 98.89 | 0.48 | |
| −32 cm | 38.47 | 29.81 | 10.63 | 0.45 | 0.09 | 1.25 | 0.07 | 0.12 | 0.84 | 0.19 | 15.41 | 97.33 | 99.05 | 0.45 | |
| −36 cm | 39.87 | 28.57 | 10.52 | 0.46 | 0.10 | 1.32 | 0.06 | 0.11 | 0.83 | 0.18 | 15.61 | 97.63 | 99.00 | 0.47 | |
| Sc | Ni | Co | V | Zn | Cu | Rb | Sr | Zr | Cs | Ba | La | Ce | Pr | Nd | Sm | Eu | Gd | Tb | Dy | Ho | Er | Tm | Yb | Lu | Hf | W | Th | U | ||
|---|---|---|---|---|---|---|---|---|---|---|---|---|---|---|---|---|---|---|---|---|---|---|---|---|---|---|---|---|---|---|
| NASC | 14.90 | 58.00 | 25.70 | 130.00 | 2.70 | -- | 125.00 | 142.00 | 200.00 | 5.16 | 636.00 | 31.10 | 67.03 | 7.90 | 30.40 | 5.98 | 1.25 | 5.50 | 0.85 | 5.54 | 1.04 | 3.28 | 0.50 | 3.11 | 0.46 | 6.30 | 2.10 | 12.3 | 2.66 | |
| PASS | 16.00 | 55.00 | 23.00 | 150.00 | 85.00 | 50.00 | 160.00 | 200.00 | 210.00 | 15.00 | 650.00 | 38.20 | 79.60 | 8.83 | 33.90 | 5.55 | 1.08 | 4.66 | 0.77 | 4.68 | 0.99 | 2.85 | 0.41 | 2.82 | 0.43 | -- | -- | 3.10 | -- | |
| UCC | 11.00 | 20.00 | 10.00 | 60.00 | 71.00 | 25.00 | 110.00 | 350.00 | 240.00 | 3.70 | 700.00 | 30.00 | 64.00 | 7.10 | 26.00 | 4.50 | 0.88 | 3.80 | 0.64 | 3.50 | 0.80 | 2.30 | 0.33 | 2.20 | 0.32 | 5.80 | -- | 10.50 | 2.50 | |
| CC1 | -- | 9.90 | -- | -- | -- | -- | 2.32 | -- | -- | 0.18 | 2.41 | 0.24 | 0.64 | 0.09 | 0.47 | 0.15 | 0.06 | 0.20 | 0.04 | 0.25 | 0.06 | 0.17 | 0.03 | 0.16 | 0.02 | -- | -- | 0.03 | 0.01 | |
| P1 | −5 cm | 19.20 | 63.00 | 19.60 | 111.00 | 102.00 | 50.00 | 96.10 | 36.00 | 112.00 | 4.82 | 479.00 | 48.10 | 97.10 | 9.72 | 34.90 | 7.20 | 1.52 | 6.05 | 0.84 | 4.83 | 0.91 | 2.58 | 0.38 | 2.40 | 0.36 | 3.38 | 5.00 | 27.00 | 10.52 |
| −10 cm | 21.40 | 82.00 | 36.90 | 114.00 | 100.00 | 55.00 | 87.80 | 26.00 | 114.00 | 4.87 | 479.00 | 49.00 | 103.40 | 10.23 | 35.90 | 7.00 | 1.64 | 6.49 | 0.91 | 5.17 | 1.01 | 2.82 | 0.40 | 2.70 | 0.41 | 3.37 | 2.60 | 26.70 | 11.13 | |
| −15 cm | 21.10 | 67.00 | 21.90 | 100.00 | 100.00 | 60.00 | 79.90 | 37.00 | 119.00 | 4.51 | 481.00 | 46.10 | 99.60 | 9.80 | 34.90 | 7.10 | 1.66 | 6.02 | 0.88 | 5.14 | 0.99 | 2.85 | 0.41 | 2.70 | 0.39 | 3.29 | 2.30 | 24.10 | 11.15 | |
| −20 cm | 19.30 | 65.00 | 20.30 | 92.00 | 108.00 | 61.00 | 82.70 | 39.00 | 159.00 | 4.53 | 483.00 | 47.90 | 106.60 | 10.40 | 37.20 | 7.30 | 1.64 | 6.61 | 0.93 | 5.34 | 1.05 | 3.08 | 0.45 | 2.90 | 0.42 | 4.32 | 2.50 | 23.30 | 10.54 | |
| −25 cm | 19.90 | 67.00 | 25.20 | 98.00 | 98.00 | 57.00 | 89.60 | 38.00 | 123.00 | 5.12 | 460.00 | 48.10 | 102.00 | 10.59 | 37.50 | 7.50 | 1.69 | 6.85 | 0.98 | 5.67 | 1.11 | 3.23 | 0.47 | 3.10 | 0.44 | 3.69 | 2.60 | 24.50 | 11.11 | |
| −30 cm | 21.40 | 67.00 | 23.00 | 103.00 | 85.00 | 54.00 | 100.00 | 34.00 | 118.00 | 5.85 | 467.00 | 49.80 | 99.50 | 10.76 | 38.00 | 7.90 | 1.71 | 6.33 | 0.93 | 5.33 | 1.06 | 2.91 | 0.40 | 2.80 | 0.42 | 3.75 | 3.20 | 25.60 | 10.34 | |
| −35 cm | 23.40 | 64.00 | 18.50 | 128.00 | 86.00 | 95.00 | 93.80 | 31.00 | 130.00 | 5.21 | 465.00 | 48.70 | 98.90 | 10.19 | 36.50 | 7.10 | 1.52 | 6.10 | 0.84 | 5.10 | 0.99 | 2.69 | 0.38 | 2.60 | 0.38 | 3.80 | 11.30 | 25.50 | 9.06 | |
| −40 cm | 23.40 | 59.00 | 16.60 | 123.00 | 88.00 | 66.00 | 92.70 | 32.00 | 150.00 | 5.11 | 470.00 | 50.70 | 106.20 | 10.54 | 37.80 | 7.40 | 1.55 | 6.35 | 0.88 | 4.92 | 0.99 | 2.90 | 0.41 | 2.80 | 0.39 | 4.33 | 3.20 | 26.20 | 9.41 | |
| −45 cm | 23.10 | 60.00 | 16.90 | 136.00 | 92.00 | 60.00 | 88.30 | 31.00 | 130.00 | 4.74 | 457.00 | 50.40 | 101.90 | 10.43 | 36.90 | 7.10 | 1.56 | 6.26 | 0.88 | 5.11 | 0.98 | 2.77 | 0.41 | 2.60 | 0.39 | 4.04 | 2.40 | 26.60 | 9.91 | |
| −50 cm | 22.80 | 68.00 | 23.00 | 116.00 | 91.00 | 51.00 | 80.40 | 31.00 | 180.00 | 4.02 | 445.00 | 49.70 | 107.10 | 10.41 | 36.60 | 7.10 | 1.54 | 6.14 | 0.88 | 5.06 | 0.96 | 2.80 | 0.39 | 2.60 | 0.39 | 5.08 | 2.70 | 25.80 | 9.58 | |
| −55 cm | 22.00 | 61.00 | 21.90 | 95.00 | 96.00 | 46.00 | 81.90 | 30.00 | 195.00 | 4.15 | 442.00 | 45.50 | 96.70 | 9.57 | 34.20 | 6.40 | 1.46 | 5.83 | 0.79 | 4.72 | 0.88 | 2.51 | 0.36 | 2.50 | 0.36 | 5.24 | 2.10 | 23.00 | 9.05 | |
| −60 cm | 22.10 | 61.00 | 20.40 | 93.00 | 89.00 | 44.00 | 84.80 | 30.00 | 176.00 | 4.20 | 454.00 | 45.20 | 95.00 | 9.36 | 33.80 | 6.20 | 1.37 | 5.35 | 0.75 | 4.50 | 0.90 | 2.57 | 0.37 | 2.40 | 0.34 | 4.70 | 2.30 | 24.30 | 9.00 | |
| −65 cm | 24.80 | 62.00 | 19.10 | 113.00 | 96.00 | 48.00 | 82.00 | 31.00 | 180.00 | 4.02 | 467.00 | 43.40 | 90.90 | 9.04 | 31.90 | 6.20 | 1.40 | 5.44 | 0.77 | 4.35 | 0.87 | 2.60 | 0.35 | 2.50 | 0.33 | 4.85 | 4.60 | 23.10 | 9.09 | |
| −70 cm | 14.60 | 38.00 | 12.70 | 61.00 | 59.00 | 28.00 | 65.10 | 39.00 | 366.00 | 2.65 | 419.00 | 27.90 | 59.00 | 6.06 | 21.70 | 4.30 | 0.93 | 3.97 | 0.56 | 3.44 | 0.68 | 2.10 | 0.30 | 2.10 | 0.32 | 8.98 | 1.50 | 15.60 | 6.07 | |
| −75 cm | 11.50 | 33.00 | 8.30 | 47.00 | 46.00 | 20.00 | 60.10 | 42.00 | 415.00 | 2.12 | 392.00 | 24.90 | 51.00 | 5.23 | 18.60 | 3.70 | 0.76 | 3.26 | 0.48 | 2.95 | 0.60 | 1.79 | 0.27 | 1.90 | 0.28 | 10.06 | 1.60 | 13.60 | 5.35 | |
| P2 | −5 cm | 18.60 | 58.00 | 15.00 | 96.00 | 93.00 | 47.00 | 73.70 | 25.00 | 86.00 | 4.97 | 368.00 | 48.00 | 99.40 | 10.13 | 35.90 | 7.00 | 1.49 | 6.03 | 0.83 | 4.75 | 0.91 | 2.57 | 0.36 | 2.50 | 0.36 | 2.88 | 1.90 | 23.90 | 9.25 |
| −10 cm | 21.20 | 67.00 | 17.00 | 100.00 | 104.00 | 57.00 | 80.60 | 31.00 | 102.00 | 5.10 | 414.00 | 50.80 | 105.10 | 10.87 | 37.90 | 7.60 | 1.70 | 6.53 | 0.95 | 5.41 | 1.02 | 2.87 | 0.40 | 2.70 | 0.39 | 3.14 | 2.00 | 25.10 | 10.75 | |
| −15 cm | 21.20 | 61.00 | 13.90 | 111.00 | 90.00 | 51.00 | 77.30 | 24.00 | 112.00 | 5.66 | 350.00 | 51.30 | 109.00 | 11.15 | 39.90 | 7.90 | 1.73 | 6.62 | 0.93 | 5.43 | 1.04 | 2.85 | 0.40 | 2.70 | 0.39 | 3.33 | 2.00 | 25.30 | 8.78 | |
| −20 cm | 22.50 | 70.00 | 14.50 | 125.00 | 83.00 | 52.00 | 80.90 | 23.00 | 115.00 | 5.66 | 357.00 | 50.50 | 110.00 | 10.95 | 39.60 | 7.60 | 1.58 | 6.48 | 0.89 | 5.21 | 0.99 | 2.87 | 0.43 | 2.70 | 0.41 | 3.50 | 12.60 | 26.40 | 8.92 | |
| −25 cm | 21.70 | 62.00 | 16.10 | 142.00 | 92.00 | 50.00 | 90.60 | 23.00 | 122.00 | 6.11 | 366.00 | 52.90 | 115.70 | 11.62 | 41.40 | 8.30 | 1.76 | 6.66 | 0.94 | 5.56 | 1.04 | 2.98 | 0.41 | 2.80 | 0.39 | 3.77 | 2.10 | 26.90 | 8.46 | |
| −30 cm | 21.60 | 60.00 | 15.60 | 159.00 | 83.00 | 220.00 | 85.40 | 23.00 | 118.00 | 5.65 | 357.00 | 55.10 | 114.80 | 11.97 | 42.30 | 8.00 | 1.72 | 7.09 | 0.94 | 5.39 | 1.02 | 2.99 | 0.41 | 2.70 | 0.40 | 3.58 | 2.90 | 27.90 | 8.73 | |
| −35 cm | 22.20 | 57.00 | 14.40 | 149.00 | 86.00 | 45.00 | 79.70 | 23.00 | 109.00 | 4.75 | 374.00 | 55.20 | 114.20 | 11.46 | 40.10 | 7.70 | 1.65 | 6.80 | 0.93 | 5.19 | 0.97 | 2.78 | 0.37 | 2.60 | 0.36 | 3.28 | 2.30 | 29.90 | 9.99 | |
| −40 cm | 22.40 | 69.00 | 15.40 | 119.00 | 89.00 | 47.00 | 89.00 | 25.00 | 112.00 | 4.88 | 388.00 | 50.20 | 105.10 | 10.58 | 37.10 | 7.40 | 1.56 | 6.01 | 0.84 | 4.81 | 0.92 | 2.71 | 0.37 | 2.40 | 0.38 | 3.40 | 1.90 | 28.40 | 9.39 | |
| −45 cm | 18.00 | 51.00 | 12.00 | 143.00 | 74.00 | 37.00 | 75.20 | 24.00 | 248.00 | 4.15 | 336.00 | 43.40 | 88.20 | 9.04 | 31.50 | 6.20 | 1.27 | 5.28 | 0.76 | 4.15 | 0.82 | 2.38 | 0.34 | 2.30 | 0.33 | 6.11 | 2.30 | 23.40 | 7.81 | |
| −50 cm | 10.90 | 29.00 | 5.20 | 49.00 | 28.00 | 19.00 | 49.50 | 22.00 | 464.00 | 3.18 | 228.00 | 27.70 | 61.50 | 6.21 | 22.00 | 4.40 | 0.86 | 3.70 | 0.54 | 3.23 | 0.66 | 2.02 | 0.30 | 2.30 | 0.38 | 11.02 | 2.20 | 14.90 | 4.79 | |
| P3 | −8 cm | 20.30 | 65.00 | 15.90 | 126.00 | 92.00 | 56.00 | 79.30 | 27.00 | 110.00 | 5.25 | 360.00 | 51.00 | 105.70 | 10.79 | 39.20 | 7.70 | 1.69 | 6.67 | 0.96 | 5.42 | 1.04 | 2.92 | 0.41 | 2.70 | 0.40 | 3.26 | 2.80 | 27.00 | 10.08 |
| −16 cm | 21.00 | 71.00 | 17.90 | 134.00 | 102.00 | 55.00 | 84.50 | 23.00 | 111.00 | 5.87 | 356.00 | 51.00 | 108.40 | 10.95 | 39.80 | 7.80 | 1.57 | 6.73 | 0.95 | 5.57 | 1.07 | 3.14 | 0.41 | 2.80 | 0.42 | 3.42 | 2.20 | 26.60 | 9.36 | |
| −24 cm | 20.10 | 135.00 | 130.90 | 122.00 | 79.00 | 50.00 | 82.30 | 22.00 | 116.00 | 5.83 | 367.00 | 51.70 | 110.10 | 11.4 | 40.20 | 7.90 | 1.58 | 6.62 | 0.91 | 5.09 | 1.02 | 2.97 | 0.39 | 2.80 | 0.38 | 3.47 | 2.30 | 27.60 | 8.42 | |
| −32 cm | 20.80 | 62.00 | 19.90 | 153.00 | 94.00 | 46.00 | 85.00 | 21.00 | 103.00 | 5.16 | 375.00 | 54.80 | 111.50 | 11.34 | 40.60 | 7.50 | 1.57 | 6.38 | 0.87 | 5.02 | 0.98 | 2.72 | 0.39 | 2.50 | 0.37 | 3.10 | 2.10 | 29.90 | 9.87 | |
| −36 cm | 19.70 | 70.00 | 32.20 | 145.00 | 93.00 | 46.00 | 88.80 | 23.00 | 5.55 | 5.55 | 54.20 | 54.20 | 41.00 | 11.25 | 7.50 | 1.63 | 0.90 | 6.66 | 0.90 | 5.21 | 1.00 | 2.82 | 0.39 | 0.39 | 0.39 | 1.44 | 2.50 | 8.70 | 8.70 | |
| (ΣREE)cn | (ΣREEL)cn | (ΣREEH)cn | (La/Sm)cn | Eu/Eu* | (Gd/Yb)cn | Co/Th | La/Sc | ||
|---|---|---|---|---|---|---|---|---|---|
| NASC | 163.94 | 143.67 | 20.27 | 5.20 | 0.22 | 1.77 | 2.09 | 2.09 | |
| PASS | 184.77 | 167.16 | 17.61 | 6.88 | 0.21 | 1.65 | 7.42 | 2.39 | |
| UCC | 146.37 | 132.13 | 13.89 | 6.67 | 0.21 | 1.73 | 0.95 | 3.00 | |
| P1 | −5 cm | 742.53 | 596.59 | 146.20 | 4.21 | 0.70 | 1.24 | 0.73 | 2.51 |
| −10 cm | 777.40 | 618.61 | 159.33 | 4.41 | 0.74 | 2.04 | 1.38 | 2.29 | |
| −15 cm | 750.22 | 594.59 | 155.55 | 4.09 | 0.78 | 1.94 | 0.91 | 2.18 | |
| −20 cm | 791.99 | 625.62 | 166.95 | 4.13 | 0.72 | 1.80 | 0.87 | 2.48 | |
| −25 cm | 798.92 | 623.62 | 175.50 | 4.04 | 0.72 | 1.84 | 1.03 | 2.42 | |
| −30 cm | 794.34 | 632.63 | 162.14 | 3.97 | 0.74 | 1.79 | 0.90 | 2.33 | |
| −35 cm | 760.79 | 609.60 | 151.58 | 4.32 | 0.71 | 1.83 | 0.73 | 2.08 | |
| −40 cm | 794.88 | 637.63 | 157.20 | 4.31 | 0.69 | 1.90 | 0.63 | 2.17 | |
| −45 cm | 780.23 | 624.62 | 155.34 | 4.47 | 0.72 | 1.83 | 0.64 | 2.18 | |
| −50 cm | 782.60 | 629.62 | 153.60 | 4.41 | 0.71 | 1.95 | 0.89 | 2.18 | |
| −55 cm | 718.04 | 575.57 | 142.23 | 4.48 | 0.73 | 1.91 | 0.95 | 2.07 | |
| −60 cm | 703.71 | 566.56 | 137.65 | 4.59 | 0.73 | 1.88 | 0.84 | 2.05 | |
| −65 cm | 682.57 | 545.54 | 137.12 | 4.41 | 0.74 | 1.80 | 0.83 | 1.75 | |
| −70 cm | 468.79 | 359.35 | 109.60 | 4.09 | 0.69 | 1.76 | 0.81 | 1.91 | |
| −75 cm | 407.23 | 312.31 | 94.83 | 4.24 | 0.67 | 1.53 | 0.61 | 2.17 | |
| P2 | −5 cm | 749.37 | 604.60 | 145.28 | 4.32 | 0.70 | 1.39 | 0.63 | 2.58 |
| −10 cm | 805.11 | 643.64 | 161.23 | 4.21 | 0.74 | 1.95 | 0.68 | 2.40 | |
| −15 cm | 823.08 | 661.66 | 161.45 | 4.09 | 0.73 | 1.95 | 0.55 | 2.42 | |
| −20 cm | 812.72 | 652.65 | 160.03 | 4.18 | 0.69 | 1.98 | 0.55 | 2.24 | |
| −25 cm | 854.04 | 689.68 | 164.20 | 4.01 | 0.72 | 1.94 | 0.60 | 2.44 | |
| −30 cm | 865.45 | 700.70 | 165.13 | 4.34 | 0.70 | 1.92 | 0.56 | 2.55 | |
| −35 cm | 843.46 | 686.68 | 156.77 | 4.51 | 0.70 | 2.12 | 0.48 | 2.49 | |
| −40 cm | 780.30 | 633.63 | 147.28 | 4.27 | 0.72 | 2.11 | 0.54 | 2.24 | |
| −45 cm | 669.61 | 538.53 | 131.47 | 4.41 | 0.68 | 2.02 | 0.51 | 2.41 | |
| −50 cm | 473.58 | 363.36 | 109.66 | 3.96 | 0.65 | 1.86 | 0.35 | 2.54 | |
| P3 | −8 cm | 811.69 | 648.64 | 163.66 | 4.17 | 0.72 | 1.30 | 0.59 | 2.51 |
| −16 cm | 821.30 | 653.65 | 167.53 | 4.12 | 0.66 | 2.00 | 0.67 | 2.43 | |
| −24 cm | 825.40 | 665.66 | 159.77 | 4.12 | 0.67 | 1.94 | 4.74 | 2.57 | |
| −32 cm | 830.78 | 677.67 | 152.83 | 4.60 | 0.69 | 1.91 | 0.67 | 2.63 | |
| −36 cm | 827.33 | 669.66 | 158.10 | 4.55 | 0.71 | 2.06 | 3.70 | 2.75 | |
| Si | Ti | Al | Fe | Mn | V | Co | Ni | Cu | Zn | |
|---|---|---|---|---|---|---|---|---|---|---|
| [52] | 335,200 | 4800 | 25,932 | 127,300 | 775 | 30 | 7 | 15 | 12 | 36 |
| [52] | 420,000 | 1800 | 11,700 | 40,600 | 775 | 13 | 11 | 11 | 8 | 27 |
| [12] | -- | -- | 13,230 | 90,230 | 1320 | -- | -- | 36 | 28 | 54 |
| [38] | -- | 360 | 12,200 | 97,200 | 1600 | -- | 15 | 38 | 23 | 51 |
| [62] | -- | -- | -- | -- | -- | -- | -- | 35.90 | 197 | 315 |
| CF | EF | Igeo | ||||||||||||||||
|---|---|---|---|---|---|---|---|---|---|---|---|---|---|---|---|---|---|---|
| Min | Max | Mean | Min | Max | Mean | Min | Max | Mean | ||||||||||
| Si | 0.5 | 0.4 | 1.0 | 0.8 | 0.6 | 0.5 | 0.3 | 0.2 | 1.0 | 0.8 | 0.3 | 0.3 | −1.6 | −1.9 | −0.6 | −0.9 | −1.4 | −1.7 |
| Ti | 0.9 | 2.4 | 1.1 | 3.0 | 1.0 | 2.8 | 0.5 | 1.3 | 0.9 | 2.5 | 0.6 | 1.5 | −0.7 | 0.7 | −0.4 | 1.0 | −0.5 | 0.9 |
| Al | 2.3 | 5.2 | 6.1 | 13.6 | 5.3 | 11.8 | 2.2 | 5.0 | 3.3 | 7.4 | 2.9 | 6.3 | 0.6 | 1.8 | 2.0 | 3.2 | 1.8 | 2.9 |
| Fe | 0.2 | 0.7 | 0.8 | 2.6 | 0.6 | 2.0 | 0.2 | 0.8 | 0.5 | 1.7 | 0.3 | 1.1 | −2.7 | −1.0 | −0.8 | 0.8 | −1.3 | 0.4 |
| Mn | 0.3 | 0.3 | 4.6 | 4.6 | 1.8 | 1.8 | 0.3 | 0.3 | 2.5 | 2.5 | 0.9 | 0.9 | −2.3 | −2.3 | 1.6 | 1.6 | 0.0 | 0.0 |
| V | 1.6 | 3.5 | 5.4 | 12.0 | 3.8 | 8.5 | 1.5 | 3.4 | 2.9 | 6.6 | 2.0 | 4.6 | 0.1 | 1.2 | 1.8 | 3.0 | 1.3 | 2.5 |
| Co | 0.7 | 0.5 | 18.7 | 12.3 | 3.1 | 2.1 | 0.7 | 0.5 | 10.2 | 6.8 | 1.7 | 1.1 | −1.0 | −1.6 | 3.6 | 3.0 | 0.8 | 0.2 |
| Ni | 1.9 | 2.6 | 8.8 | 11.9 | 4.1 | 5.6 | 1.8 | 2.4 | 4.8 | 6.5 | 2.2 | 3.0 | 0.3 | 0.8 | 2.5 | 3.0 | 1.4 | 1.9 |
| Cu | 1.5 | 2.5 | 17.9 | 28.6 | 4.5 | 7.2 | 1.6 | 2.5 | 9.1 | 14.6 | 2.4 | 3.8 | 0.0 | 0.7 | 3.6 | 4.3 | 1.5 | 2.1 |
| Zn | 0.8 | 1.1 | 3.0 | 4.1 | 2.4 | 3.3 | 0.8 | 1.1 | 1.7 | 2.3 | 1.3 | 1.8 | −0.9 | −0.5 | 1.0 | 1.4 | 0.65 | 1.1 |
Disclaimer/Publisher’s Note: The statements, opinions and data contained in all publications are solely those of the individual author(s) and contributor(s) and not of MDPI and/or the editor(s). MDPI and/or the editor(s) disclaim responsibility for any injury to people or property resulting from any ideas, methods, instructions or products referred to in the content. |
© 2024 by the authors. Licensee MDPI, Basel, Switzerland. This article is an open access article distributed under the terms and conditions of the Creative Commons Attribution (CC BY) license (https://creativecommons.org/licenses/by/4.0/).
Share and Cite
Sardinha, D.S.; Pinto, M.S.; Menezes, P.H.B.J.; Brucha, G.; Silveira, J.T.; Godoy, L.H.; de Melo, D.A.S.; Laureano, F.V. Major, Trace and Rare Earth Elements Geochemistry of Bottom Sediments in the Retiro Baixo Reservoir after the B1 Tailings Dam Rupture, Paraopeba River (Brazil). Minerals 2024, 14, 621. https://doi.org/10.3390/min14060621
Sardinha DS, Pinto MS, Menezes PHBJ, Brucha G, Silveira JT, Godoy LH, de Melo DAS, Laureano FV. Major, Trace and Rare Earth Elements Geochemistry of Bottom Sediments in the Retiro Baixo Reservoir after the B1 Tailings Dam Rupture, Paraopeba River (Brazil). Minerals. 2024; 14(6):621. https://doi.org/10.3390/min14060621
Chicago/Turabian StyleSardinha, Diego S, Mateus Sala Pinto, Paulo Henrique Bretanha Junker Menezes, Gunther Brucha, Jéssica Teixeira Silveira, Letícia Hirata Godoy, Deivid Arimatea Saldanha de Melo, and Fernando Verassani Laureano. 2024. "Major, Trace and Rare Earth Elements Geochemistry of Bottom Sediments in the Retiro Baixo Reservoir after the B1 Tailings Dam Rupture, Paraopeba River (Brazil)" Minerals 14, no. 6: 621. https://doi.org/10.3390/min14060621
APA StyleSardinha, D. S., Pinto, M. S., Menezes, P. H. B. J., Brucha, G., Silveira, J. T., Godoy, L. H., de Melo, D. A. S., & Laureano, F. V. (2024). Major, Trace and Rare Earth Elements Geochemistry of Bottom Sediments in the Retiro Baixo Reservoir after the B1 Tailings Dam Rupture, Paraopeba River (Brazil). Minerals, 14(6), 621. https://doi.org/10.3390/min14060621

