Effect of MgO/Al2O3 on Viscosity and Thermodynamic Properties of High-Titanium Slag Containing Chlorine
Abstract
1. Introduction
2. Experiment
2.1. Preparation of Slag Sample
2.2. Thermodynamic Calculation
| (298–2845 K) | (1) | |
| (298–1996 K) | (2) | |
| (298–3098 K) | (3) | |
| (298–1200 K) | (4) | |
| (1200–2327 K) | (5) | |
| (298–2130 K) | (6) | |
| (298–1045 K) | (7) | |
| (1045–2000 K) | (8) | |
| (1045–2000 K) | (9) | |
| (10) | ||
| (11) | 
2.3. Viscosity Measurement
2.4. Fourier Transform Infrared (FTIR) and Raman Spectroscopy
3. Results and Discussion
3.1. Effect of MgO/Al2O3 on Viscosity of Chlorinated Blast-Furnace Slag
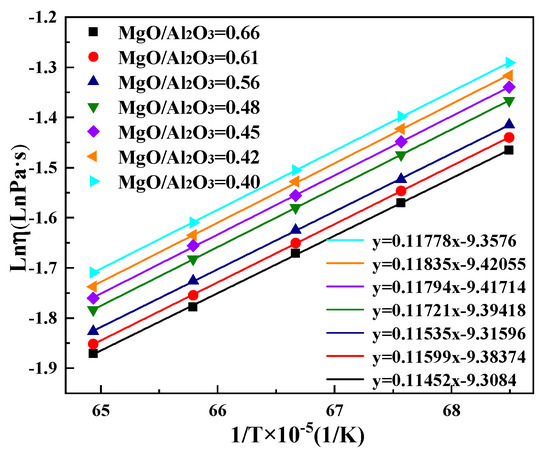
3.2. Effect of MgO/Al2O3 on Viscous Flow Activation Energy of Chlorinated Blast-Furnace Slag
3.3. Effect of MgO/Al2O3 on Heat Capacity, Enthalpy Change and EHRS of Chloro-Containing Blast-Furnace Slag
3.4. Infrared Spectral Analysis
3.5. Raman Spectral Analysis
4. Conclusions
Author Contributions
Funding
Data Availability Statement
Acknowledgments
Conflicts of Interest
References
- Qiu, G.; Chen, L.; Zhu, J.; Xuewei, L.V.; Bai, C. Effect of Cr2O3 Addition on Viscosity and Structure of Ti-bearing Blast Furnace Slag. Trans. Iron Steel Inst. Jpn. 2015, 55, 1367–1376. [Google Scholar] [CrossRef]
- Zhang, J.L.; Wang, C.; Zuo, H.B.; Jiao, K.X.; Wang, Z.Y. Future prospects and research progress of chlorine in blast furnace system. Iron Steel 2015, 50, 1–7. [Google Scholar]
- Zheng, J.L.; Xing, X.D.; Li, J.K.; Wang, S.X.; Li, T.; Lv, M. Effect of Chlorine on the Fluidity and Thermal Stability Properties of High-Titanium Slags. Metall. Mater. Trans. B-Process Metall. Mater. Process. Sci. 2022, 53, 2942–2952. [Google Scholar] [CrossRef]
- Xu, L.; Liu, H.; Cheng, D.; Zhong, Q.; Rao, M.; Li, G. Insight into mechanisms of CaCl2 for improving reduction disintegration of iron ore sinter: An experimental and DFT investigation. J. Mol. Liq. 2022, 366, 120334. [Google Scholar] [CrossRef]
- Wang, C.; Zhang, J.L.; Jiao, K.X.; Liu, Z.J. Influence of basicity and MgO/Al2O3 ratio on the viscosity of blast furnace slags containing chloride. Metall. Res. Technol. 2017, 114, 6. [Google Scholar] [CrossRef]
- Jiao, K.X.; Chang, Z.Y.; Chen, C.; Zhang, J.L. Thermodynamic Properties and Viscosities of CaO-SiO2-MgO-Al2O3 Slags. Metall. Mater. Trans. B 2019, 14, 124. [Google Scholar] [CrossRef]
- Kim, J.; Lee, Y.; Min, D.; Jung, S.; Yi, S. Influence of MgO and Al2O3 Contents on Viscosity of Blast Furnace Type Slags Containing FeO. ISIJ Int. 2004, 44, 1291–1297. [Google Scholar] [CrossRef]
- Feng, C.; Gao, L.H.; Tang, J.; Liu, Z.G.; Chu, M.S. Effects of MgO/Al2O3 ratio on viscous behaviors and structures of MgO–Al2O3–TiO2–CaO–SiO2 slag systems with high TiO2 content and low CaO/SiO2 ratio. Trans. Nonferrous Met. Soc. China 2020, 30, 800–811. [Google Scholar] [CrossRef]
- Mu, H.; Zhang, S.; Lu, Q.; Sun, Y. Experimental Study on Viscosity of Blast Furnace Slag With Medium Titania and High Alumina Content Under Neutral Atmosphere. Iron Steel 2012, 47, 18. [Google Scholar]
- Pang, Z.G.; Xing, X.D.; Zheng, J.L.; Du, Y.L.; Ren, S.; Lv, M. The effect of TiO2 on the thermal stability and structure of high acidity slag for mineral wool production. J. Non-Cryst. Solids 2021, 571, 121071. [Google Scholar] [CrossRef]
- Gao, K.; Jiao, K.X.; Zhang, J.L.; Dianyu, E. Thermodynamic Properties and Viscosities of High-Titanium Slags. ISIJ Int. 2020, 60, 1902–1908. [Google Scholar] [CrossRef]
- Deng, Y.C.; Wu, S.L.; Jiang, Y.J.; Jia, S.Q. Study on Viscosity of the La2O3-SiO2-Al2O3 Slag System. Metall. Mater. Trans. B-Process Metall. Mater. Process. Sci. 2016, 47, 2433–2439. [Google Scholar] [CrossRef]
- Song, M.H.; Shu, Q.F.; Du, S.C. Viscosities of the Quaternary Al2O3-CaO-MgO-SiO2 Slags. Steel Res. Int. 2011, 82, 260–268. [Google Scholar] [CrossRef]
- Wu, T.; Yuan, F.; Zhang, Y.L. Viscosity Measurements of CaO-SiO2-CrO Slag. ISIJ Int. 2018, 58, 367–369. [Google Scholar] [CrossRef]
- Li, X.M.; Chen, X.D.; Jiang, C.B.; Ding, J.P.; Guo, J.J.; Kong, L.X.; Bai, J.; Li, W. Influence of the Slag-Crucible Interaction on Coal Ash Fusion Behavior at High Temperatures. Energy Fuels 2020, 34, 3087–3099. [Google Scholar] [CrossRef]
- Zhihe, D.O.U.; Jianming, Y.A.O.; Tingan, Z.; Liping, N.I.U. Viscosities of Slags in CaO-Al_2O_3-CaF_2-SiO_2 System. J. Northeast. Univ. Nat. Sci. 2008, 29, 1000–1003. [Google Scholar]
- Fan, X.; Zhang, J.; Xu, R.; Jiao, K.; Wang, K. Effect of B_2O_3 on fluidity of low MgO slag containing titanium. J. Cent. S. Univ. Sci. Technol. 2018, 49, 1863–1868. [Google Scholar]
- Zhang, X.Y.; Li, X.M.; Xing, X.D. Effect of B2O3 content on viscosity and structure of SiO2-MgO-FeO-based slag. Trans. Nonferrous Met. Soc. China 2022, 32, 2403–2413. [Google Scholar] [CrossRef]
- Zhang, G.H.; Chou, K.C.; Zhang, J.L. Influence of TiO2 on viscosity of aluminosilicate melts. Ironmak. Steelmak. 2014, 41, 47–50. [Google Scholar] [CrossRef]
- Liu, W.G.; Qin, J.H.; Xing, X.D.; Wang, J.S.; Zuo, H.B. Viscosity and structure evolution of CaO-SiO2-MgO-Al2O3-BaO slag with the CaO/SiO2 mass ratio of 0.9. Ceram. Int. 2021, 47, 33483–33489. [Google Scholar] [CrossRef]
- Mysen, B.O.; Ryerson, F.J.; Virgo, D. The influence of TiO2 on the structure and derivative properties of silicate melts. Am. Mineral. 1980, 65, 1150–1165. [Google Scholar]












| CaO | SiO2 | MgO | Al2O3 | TiO2 | Cl | 
|---|---|---|---|---|---|
| 28.86 | 25.14 | 7.17 | 13.87 | 21.75 | 0.16 | 
| Group Number | Initial Composition/% | C/S | MgO/Al2O3 | |||||
|---|---|---|---|---|---|---|---|---|
| CaO | SiO2 | MgO | Al2O3 | TiO2 | CaCl2 | |||
| 1 | 27.12 | 23.60 | 7.26 | 18.00 | 22.02 | 2.00 | 1.15 | 0.40 | 
| 2 | 27.66 | 24.06 | 7.26 | 17.00 | 22.02 | 2.00 | 1.15 | 0.42 | 
| 3 | 28.19 | 24.53 | 7.26 | 16.00 | 22.02 | 2.00 | 1.15 | 0.45 | 
| 4 | 28.73 | 24.99 | 7.26 | 15.00 | 22.02 | 2.00 | 1.15 | 0.48 | 
| 5 | 29.80 | 25.92 | 7.26 | 13.00 | 22.02 | 2.00 | 1.15 | 0.56 | 
| 6 | 30.33 | 26.39 | 7.26 | 12.00 | 22.02 | 2.00 | 1.15 | 0.61 | 
| 7 | 30.87 | 26.85 | 7.26 | 11.00 | 22.02 | 2.00 | 1.15 | 0.66 | 
| Group Number | Actual Composition/% | |||||
|---|---|---|---|---|---|---|
| CaO | SiO2 | MgO | Al2O3 | TiO2 | CaCl2 | |
| 1 | 27.13 | 23.80 | 7.29 | 17.90 | 22.23 | 1.92 | 
| 2 | 27.35 | 23.78 | 7.18 | 17.07 | 21.96 | 1.97 | 
| 3 | 28.53 | 24.98 | 7.23 | 16.23 | 21.84 | 1.98 | 
| 4 | 29.06 | 25.49 | 7.31 | 14.83 | 21.78 | 1.99 | 
| 5 | 30.53 | 26.32 | 7.33 | 12.95 | 21.97 | 1.95 | 
| 6 | 30.71 | 26.70 | 7.25 | 11.90 | 22.14 | 1.89 | 
| 7 | 31.35 | 27.03 | 7.30 | 11.13 | 22.31 | 1.95 | 
| MgO/Al2O3 | Regression Equation | Ea (kJ·mol−1) | 
|---|---|---|
| 0.40 | y = 0.11878x − 9.3576 | 98.75 | 
| 0.42 | y = 0.11834x − 9.42055 | 98.39 | 
| 0.45 | y = 0.11794x − 9.41714 | 98.06 | 
| 0.48 | y = 0.11721x − 9.39418 | 97.45 | 
| 0.56 | y = 0.11635x − 9.31596 | 96.73 | 
| 0.61 | y = 0.11599x − 9.38374 | 96.43 | 
| 0.66 | y = 0.11452x − 9.3084 | 95.21 | 
| Disclaimer/Publisher’s Note: The statements, opinions and data contained in all publications are solely those of the individual author(s) and contributor(s) and not of MDPI and/or the editor(s). MDPI and/or the editor(s) disclaim responsibility for any injury to people or property resulting from any ideas, methods, instructions or products referred to in the content. | 
© 2023 by the authors. Licensee MDPI, Basel, Switzerland. This article is an open access article distributed under the terms and conditions of the Creative Commons Attribution (CC BY) license (https://creativecommons.org/licenses/by/4.0/).
Share and Cite
Cheng, Q.; Zhang, Z.; Xing, X.; Zheng, J.; She, Y. Effect of MgO/Al2O3 on Viscosity and Thermodynamic Properties of High-Titanium Slag Containing Chlorine. Minerals 2023, 13, 444. https://doi.org/10.3390/min13030444
Cheng Q, Zhang Z, Xing X, Zheng J, She Y. Effect of MgO/Al2O3 on Viscosity and Thermodynamic Properties of High-Titanium Slag Containing Chlorine. Minerals. 2023; 13(3):444. https://doi.org/10.3390/min13030444
Chicago/Turabian StyleCheng, Qinyu, Zhaohui Zhang, Xiangdong Xing, Jianlu Zheng, and Yuan She. 2023. "Effect of MgO/Al2O3 on Viscosity and Thermodynamic Properties of High-Titanium Slag Containing Chlorine" Minerals 13, no. 3: 444. https://doi.org/10.3390/min13030444
APA StyleCheng, Q., Zhang, Z., Xing, X., Zheng, J., & She, Y. (2023). Effect of MgO/Al2O3 on Viscosity and Thermodynamic Properties of High-Titanium Slag Containing Chlorine. Minerals, 13(3), 444. https://doi.org/10.3390/min13030444
 
        


 
       