Abstract
Purple-violet gem spinels from Tanzania and Myanmar have been investigated for their gemological, spectroscopic, chemical, and colorimetric characteristics. Samples TS and MS both had a purple hue with a pinkish or brownish secondary tone and medium–strong saturation. We identified a number of inclusions, including dolomite, phlogopite, and forsterite in Tanzanian spinel and magnesite, apatite, baddeleyite, anhydrite, pyroxene, and graphite in Myanmar spinel. Tanzanian spinels have slightly lower FWHM (full width at half maximum) values of the 406 cm−1 line in the Raman spectrum and the Cr3+ zero phonon line in the PL spectrum compared to samples from Myanmar. Fe, Mn, Cr, V, and Zn are proved as useful discriminators to distinguish these two geographic locations. UV-Vis-NIR spectra and CIE L*a*b* parameters are compared with trace element chemistry. Both samples are colored by Fe2+, with minor Fe3+, Cr3+, and V3+. Cr, V, and Fe are combined to influence the hue angle and lightless of purple spinels from Tanzania. However, due to the relatively stable content in Myanmar samples, Fe shows a minor effect on these two parameters. It is worth noting that all inclusion scene, spectral, and chemical characteristics, as well as the comparison presented in this study are of a limited number of samples from Tanzania and Myanmar.
1. Introduction
Spinel minerals belong to a large group of compounds with cubic symmetry (space group Fdm). “Normal” spinel is usually represented by the formula AB2O4, where A (Mg, Fe2+, Zn, Mn, Ni, Co, Cu, Ge) and B (Al, Fe3+, Cr, V, Ti) cations generally occupy the tetrahedral coordination (T) and octahedral coordination (O) (Figure 1). “Invert” spinel is described as B(AB)O4 with an octahedral–tetrahedral disorder of A and B cations. The intermediate combination of both is considered “disordered”. The inversion parameter describes the degree of disorder and varies from 0 (completely normal) to 1 (completely inverted). Most gem spinels are primarily the “normal” spinel MgAl2O4 [,,,,].
Figure 1.
Schematic diagram of “normal” spinel MgAl2O4.
The composition as well as transition metal cation distribution of spinel minerals have a strong influence on their physical properties and offers a wide range of colors, mainly pink to red and purple, orange, violet to blue, green, and even black [,,,,]. Most gem-quality spinels have compositions close to MgAl2O4 sensu stricto, which can be used as a gemstone when it has good quality and beautiful colorations [].
Geologically, gem-quality spinels from Asia and eastern Africa are recovered from various geological settings, mainly marble-hosted deposits. Famous sources of gem-quality purple spinels locate worldwide, including in East Africa (i.e., Madagascar and Tanzania) and Asia (i.e., Myanmar, Tajikistan, Sri Lanka, and Vietnam) []. Red spinel from Myanmar and cobalt blue spinel from Vietnam are particularly sought after in the gem marketplace and have been studied thoroughly in previous studies [,,,,,,]. However, there is little research on purple-violet spinel specifically. Until relatively recently with the new finding of attractive purple spinels in Afghanistan and new deposits in Vietnam [,,,], purple spinel was often marginalized commercially and has been gradually pursued by consumers.
In this study, gem-quality purple-violet spinels collected from Tanzania and Myanmar (and local gem markets) were analyzed thoroughly and compared using gemological characteristics, internal features, spectroscopic data, and multivariate statistical analysis of chemical data. The origin of their coloration is also discussed.
2. Geological Location
2.1. Tanzania
In eastern Africa, the primary deposits are located in marbles that belong to the Neoproterozoic metamorphic Mozambique Belt []. Gem spinels were discovered in marbles near Matombo and Mahenge in the Morogoro region in the late 1980s [,]. Ipanko mine and the nearby secondary deposits produced fine stones in 2000 and became famed in 2007 []. Spinel is associated with calcite, dolomite, pargasite, blue apatite, phlogopite, graphite, clinohumite, chlorite, and pyrite [].
2.2. Myanmar
The gem-quality spinel deposits of Myanmar are located within the Himalayan orogenic belt, which was formed by the collision between the Indian plate and the Eurasian plate [,]. The Mogok area, a major source of gem-quality spinels, is situated in the central part of the Mogok Metamorphic Belt (Figure 2) and mainly consists of upper amphibolite to granulite facies marbles, calc–silicate rocks, gneisses, and quartzite [,,,,]. Spinels are mined from primary deposits (marbles) and secondary deposits such as alluvial and eluvial–deluvial placers, as well as karstic sinkholes and caverns [].
Figure 2.
Map of spinel locations in Tanzania and Myanmar (modified from Google Earth).
3. Materials and Methods
A total of 23 faceted spinel samples from Tanzania (TS-1 to TS-15) and Myanmar (MS-1 to MS-8), ranging from 0.38 to 0.95 ct, were collected from a trusted dealer and analyzed for this study.
All the samples were tested using standard gemological instruments for their refractive index (RI) and long- and short-wave UV fluorescence (365 nm and 254 nm wavelength, respectively). Specific gravity (SG) was determined using the hydrostatic method with an electronic balance. Microscopic observations and photomicrography of internal features were recorded with a VHX-2000 super depth-of-field microscope (max. magnification 500×).
Raman and photoluminescence (PL) spectra were collected with a Renishaw in Via Raman microspectrometer under the following instrumental conditions: Raman spectra of the host spinels and the inclusions were acquired from 100 to 2000 cm−1 using a 785 nm laser and 532 nm (500 mW laser output power), respectively, with an acquisition time of 10 seconds, a grating of 1200 grooves/mm and 1800 grooves/mm, and about 1 cm−1 resolution. The instrument was calibrated using the 520.00 (±0.2) cm−1 line of silicon. The spectrum of each sample was collected at several locations on the sample. All the spectra were processed, and the peaks were fitted by the software Origin. Photoluminescence (PL) spectra were recorded from 535 to 800 nm using an excitation wavelength of 532 nm (0.005 mW laser output power), with an acquisition time of 20 seconds and a grating of 1800 grooves/mm.
Laser ablation–inductively coupled plasma–mass spectrometry (LA-ICP-MS) analyses of samples were performed using a PerkinElmer 350 D ICP-MS spectrometer (NexION 350, Perkin Elemer, Waltham, MA, USA) with an NWR-213 laser ablation system (213 nm ablation wavelength, 20 Hz frequency with energy 25 ± 1 J/cm2, and a spot size of 44 μm). Reference materials included two NIST glasses (SRM 610 and SRM 612) and three USGS glasses (BHVO-2G, BIR-1G, and BCR-2G). Each analysis incorporated a background acquisition of approximately 20–30 s followed by 50 s of data acquisition from the sample.
Ultraviolet–visible (UV-Vis) absorption spectra were collected from 300 nm to 800 nm using a PerkinElmer Lambda 950 spectrometer (Lambda 950, Perkin Elemer, Waltham, MA, USA) at room temperature, with a slit width of 2.0 nm, a data interval of 1.0 nm, an integration time of 10 s, a scan speed of 266.75 nm/min, a light source conversion wavelength of 319.20 nm, and a detector switching wavelength of 860.80 nm. Then, the integrating sphere reflectivity method was applied to quantitatively calculate the color of the purple spinels in the even color space CIELAB 1976.
Fluorescence spectra were analyzed by a QSpec Gem-3000 spectrophotometer (GEM 3000, BiaoQi Optoelectronics, Guangzhou, China) with the following test conditions: integration time of 150 ms, an average number of 10, smoothing width of 2 nm, wavelength collected from 450 nm to 900 nm, long-wave UV excitation (365 nm), room temperature.
4. Results
4.1. Gemmological Characteristics
All the samples in this study (Figure 3) are transparent with few inclusions. The spinels from Tanzania were purple, pinkish-purple, brownish-purple, and violet in medium tone and medium–strong saturation. They exhibited various reactions when exposed to long-wave (365 nm) ultraviolet light, including inert-to-strong red/orange/green fluorescence. Samples from Myanmar had a medium tone, medium–moderate saturation, a purple hue with a pinkish or brownish secondary tone, and violet, as well as weak-to-strong red/orange fluorescence (Table 1).
Figure 3.
Purple-violet spinel samples in this study (TS: Tanzanian spinel; MS: Myanmar spinel).
Table 1.
Summary of gemological properties of Tanzanian and Myanmar spinels.
4.2. Inclusions
Microscopic observations revealed distinct internal characteristics in Tanzanian purple spinels. The fine dust-like exsolved particles are the most classical features, similar to the pink-red spinel from Tanzania. They scattered throughout the stone (Figure 4a) or were accompanied by negative crystals of octahedral or strongly distorted octahedral shapes of varying sizes (Figure 4b). Occasionally, the oriented long or short needles presented iridescence under fiber optic illumination (Figure 4c,d). As previously mentioned by Chankhantha (2021) and Schmetzer (1992) [,], these needles or particles were possibly caused by the exsolution of högbomite, giving samples a somewhat cloudy appearance. Since Tanzanian spinels formed in marbles, it was not surprising to find abundant carbonates as the most common mineral inclusions. Dolomite is often included in negative crystals aligned in a plane (Figure 4e) or presents a whitish, turbid, or ‘frosted’ aspect with black materials attached (Figure 4f,h). Closely related is the impurity in the marble-host rock, phlogopite [KMg3Si3AlO10(F; OH)2], which is present in spinels from nearly all the sources. Phlogopite is typically present as colorless, subhedral crystals (Figure 4g). Figure 4f reveals a colorless, subhedral olivine (forsterite) [Mg2SiO4] (Figure 4f) in one sample, which is extremely rare in spinel and was reported only once in Tanzanian spinel [].

Figure 4.
Inclusion scenes in purple spinels from Tanzania: (a) scattered tiny particles (40×); (b) negative crystals with fine particles (40×); (c) oriented, long iridescent needles (40×); (d) short needles (40×); (e) dolomite aligned in a plane (600×); (f) a subhedral, whitish dolomite (Dol) in contact with black mineral (80×); (g) an isolated, colorless phlogopite (Phl) (80×); (h) a colorless, irregular dolomite (Dol), and a subhedral forsterite (Fo) (80×).
Myanmar purple spinels in this study are relatively internally clean. Among the inclusions seen in the Myanmar spinel were colorless mineral inclusions identified as apatite, magnesite, anhydrite, and pyroxene, irregularly shaped black graphite, and reddish-brownish baddeleyite. Apatite [Ca5(PO4)3(F, Cl, OH)] inclusions are present in a variety of other habits ranging from substantially prismatic, subhedral to rounded (Figure 5a–c). Sometimes, they were accompanied by attached black irregular graphite. Magnesite appeared with a “frosted halo” around (Figure 5d), and a subhedral mineral belonging to the pyroxene supergroup shows a distinct set of cleavage planes (Figure 5e). A tiny colorless anhydrite [CaSO4] was discovered (Figure 5f), which easily hydrates and then combines into gypsum. A reddish-brownish, prismatic baddeleyite [ZrO2] with a tension crack is a surprise in this study (Figure 5g). To date, baddeleyite and anhydrite have only been discovered in Myanmar spinel []. Therefore, the combination of subhedral baddeleyite and anhydrite may indicate the locality of Myanmar.

Figure 5.
Inclusion scenes in purple spinels from Myanmar: (a) groups of euhedral apatite (Ap) (200×); (b) a single subhedral apatite (Ap) is associated with graphite (C) (80×); (c) isolated rounded apatite (80×); (d) several magnesite minerals included in negative crystals (200×); (e) a subhedral pyroxene (Px) was surrounded by some tiny colorless crystals (80×); (f) tiny colorless anhydrite (Anh) (80×); (g) reddish-brownish baddeleyite (Bdy) crystal associated with a tension crack (80×).
Raman spectroscopy allowed the identification of several mineral inclusions, and the representative Raman spectra are shown for these mineral inclusions analyzed in our samples, together with a spectrum of the host spinel in Figure 6.

Figure 6.
Representative Raman spectra are shown for mineral inclusions analyzed in our samples. Peaks in the inclusion spectra that are marked with an asterisk (*) are from the host spinel. All the spectra are stacked for clarity.
4.3. Raman and PL Spectroscopy
Raman spectra of spinels from Myanmar and Tanzania were collected in the spectral range of 100–2000 cm−1 (Figure 7). All the samples exhibit four intense and well-defined bands at around 312 cm−1, 406 cm−1, 665 cm−1, and 767 cm−1. These peaks are assigned to the T2g(1), Eg, T2g(2), and A1g mode []. The most prominent feature is the narrow line at about 406 cm−1.
Figure 7.
Raman spectra of spinels from Tanzania and Myanmar.
In addition, photoluminescent (PL) emission spectra were also recorded (Figure 8).
Figure 8.
PL spectra of spinels from Tanzania and Myanmar.
The PL spectrum of spinel is comprised of a strong zero phonon line at approximately 686 nm, vibronic sidebands of that line, and other lines associated with Cr3+ pairs. The sharp and defined chromium emission features verified that the stone was natural and unheated. Heat treatment typically broadens and shifts the position of PL peaks [,,].
4.4. Chemical Fingerprinting
Trace element analysis is a powerful tool for the origin determination of spinels. Spinels appear to be sensitive to slight changes in their geological environment, which induce unique trace element signatures for stones from different geographic localities []. Table 2 summarizes the results for selected elements as determined by LA-ICP-MS. By carefully analyzing the chemical profiles, plotting elements and their ratios in a 2D diagram is applied to distinguish these samples from Tanzania and Myanmar.
Table 2.
Chemical composition by LA-ICP-MS of purple spinels from Tanzania and Myanmar *.
Red-pink spinels from Tanzania are enriched in Zn [], while the Zn values in purple-violet samples in this study are variable, ranging from 188 to 16424 ppmw. The most characteristic feature of Tanzanian spinels is their enrichment in Fe and Mn relative to Myanmar spinels (Figure 9). The Fe/V-Mn-Cr ternary diagram separates the two sources with only a small overlap (Figure 10). The Cr-Mn vs. Fe/Cr diagram shows that the majority of Tanzanian spinel sits in the Cr<Mn box with a higher Fe/Cr ratio from 10 to 1110; on the contrary, all the spinels from Myanmar sit in the Cr>Mn box with Fe/Cr ratio lower than 50 (Figure 11).
Figure 9.
The scatter diagram of Fe vs. Mn reveals that Tanzanian purple spinels can be separated from Myanmar samples.
Figure 10.
The Fe/V+Mn+Cr ternary diagram shows that the data clusters for the two spinel occurrences can be distinguished to a great extent.
Figure 11.
The scatter diagram plots Cr-Mn vs. Fe/Cr for purple spinels from Tanzania and Myanmar.
4.5. UV-Vis-NIR Spectroscopy
The UV-Vis-NIR spectra of all the samples show strong similarities (Figure 12), characterized by featured bands attributed to the spin-forbidden transition of 5E (D)→3T2 (H) of TFe2+ at ~556 nm []. The TFe2+ spin-forbidden transitions 5E (D)→3E (D) and 5E (D)→3T2 (G) are responsible for the absorption bands around ~372 nm and ~386 nm, respectively. Moreover, these absorption bands may be amplified by TFe2+–MFe3+ ECP transitions [,]. Two broad bands at ~458 nm and ~476 nm may be assigned principally to spin-forbidden 6A1g→4A1g, 4Eg transitions of isolated MFe3+ ions, possibly intensified by ECP interactions and by spin-forbidden transitions of TFe2+ []. The absorption around ~540 nm may be caused by spin-allowed d–d transitions 3T1 (F)→3T2 (F) in V3+ at the M sites or spin-allowed electronic d–d transitions 4A2g→4T2g (F) in Cr3+ at the M sites [,,,,,,,,].
Figure 12.
The representative UV-Vis-NIR absorption spectra of spinel samples TS and MS show absorption peaks related to Fe2+, Fe3+, Cr3+, and V3+.
In addition, a strong Cr-related signature with a closely spaced group of fluorescent lines at around 700 nm was observed in MS samples. Fe, Cr, and V are the main chromophores of these stones, resulting in the purple color. Further, comparing the samples with different saturation, higher saturation stones showed stronger absorption and a rapid increase in absorption at wavelengths below 400 nm.
4.6. Quantitative Characterization of Color
Modern colorimetry is mainly developed from the CIE 1976 L*a*b* color system. The lightness, L*, indicates a transition from the darkest black at L* = 0 to the brightest white at L* = 100. The coordinates, a* and b*, stand for neutral gray when the values at a* = 0 and b* = 0. a* represents the red/green opponent colors, with red at the positive axis value and green at the negative axis value. b* represents the yellow/blue opponent colors, with yellow at the positive axis value and blue at the negative axis value. The saturation of each color is proportional to the absolute value of the axis value. Parameters a* and b* jointly determine the chroma C* and hue angle h° is derived from a* and b*, which reflects color characteristics more in line with the habit of color description in daily life. The formulas are as follows:
The color parameters of each sample were quantitatively characterized by applying CIE D65 light source and N9 Munsell neutral background as testing conditions. The results are shown in Table 3. The absence of the negative half axis of a* and positive half axis b* indicates that the color of purple spinel from both origins is controlled by red and blue. The combination of these red and blue features is responsible for the purple color. The experimental results show that the color parameters L*, a*, and C* are in the similar range for samples from two origins, while b* and h° show differences.
Table 3.
Colorimetric coordinates L*, a*, and b* of purple spinels.
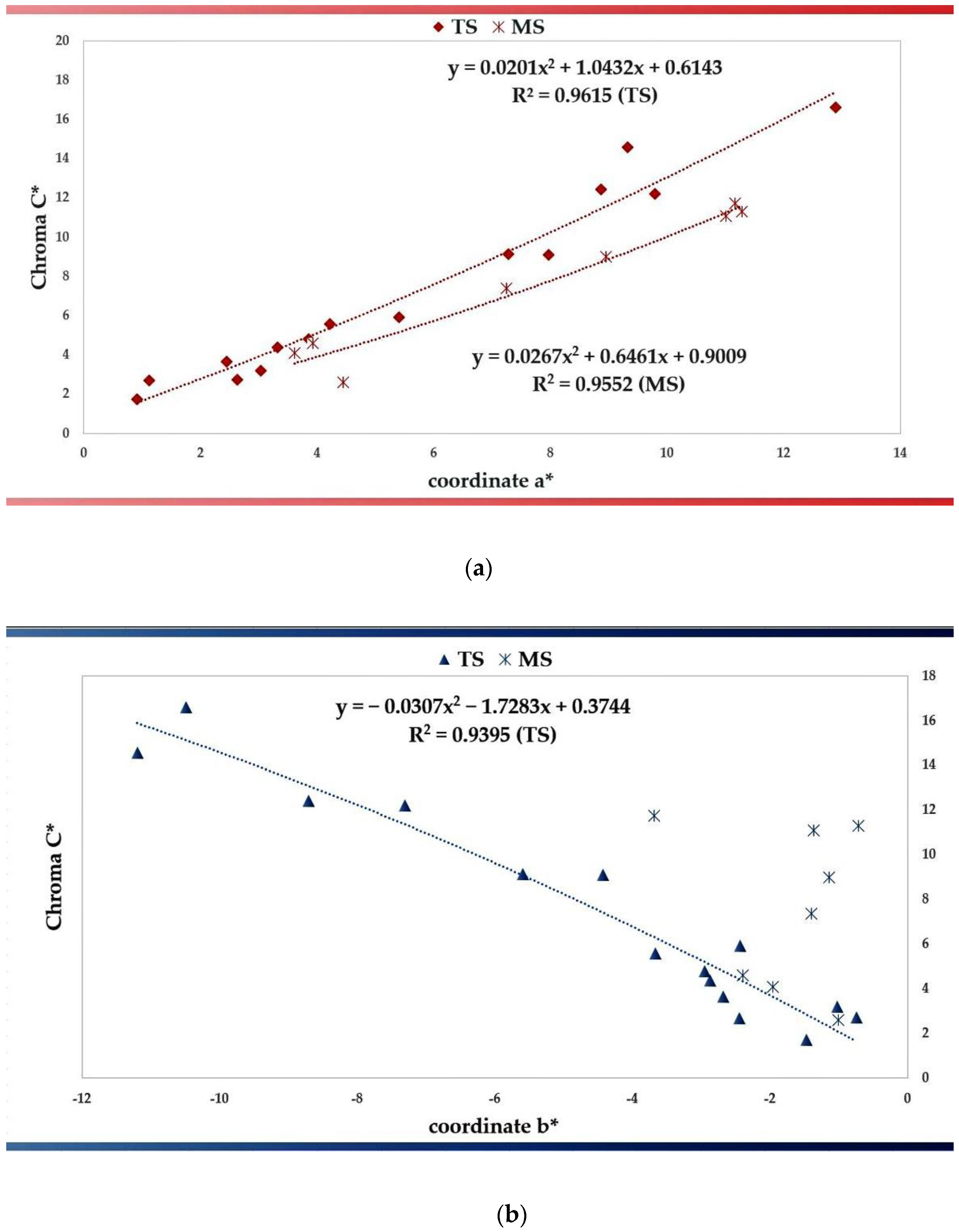
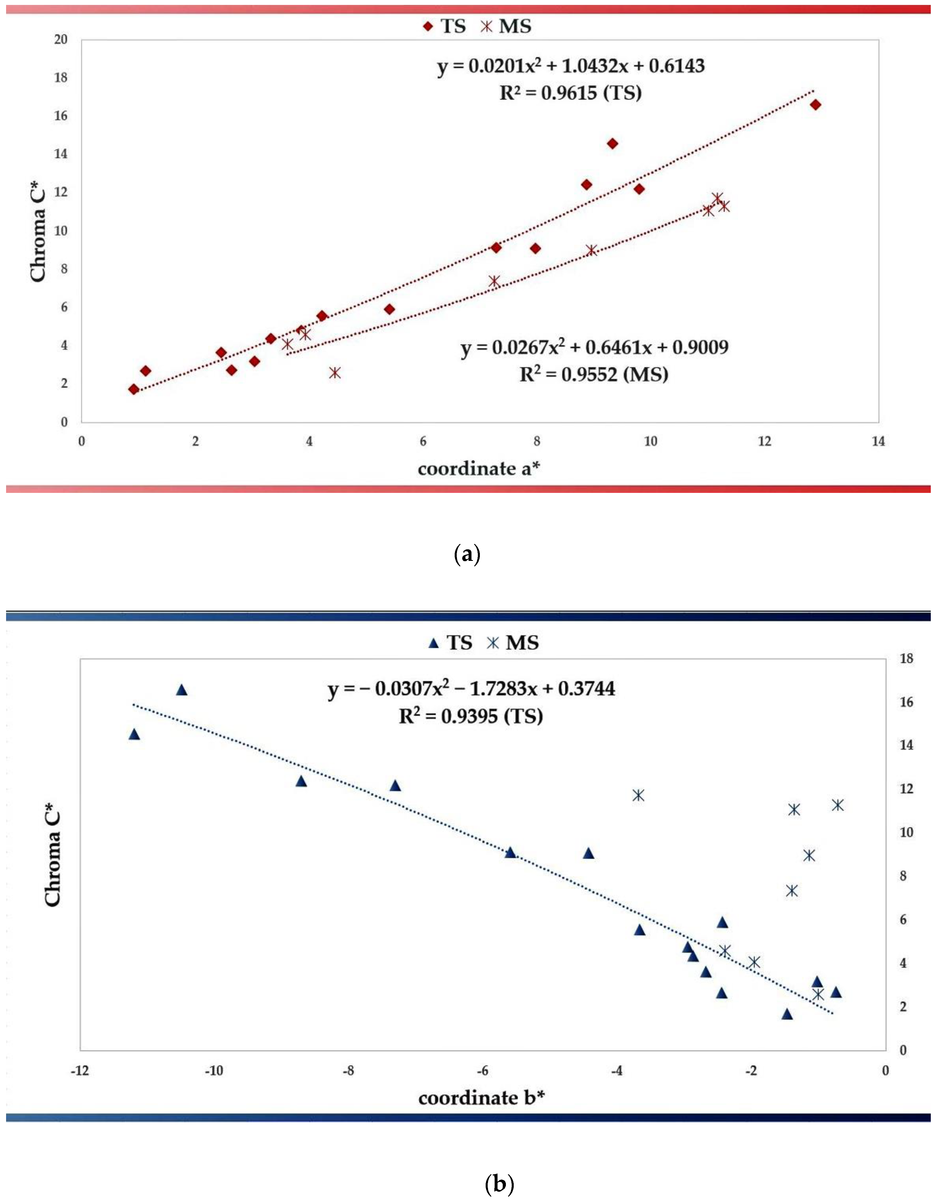
The color coordinates a* and −b* of TS samples show a significant negative linear correlation with R2 = 0.8623. In contrast, no distinct relationship is observed between a* and b* in MS samples (Figure 13). Moreover, a* and −b* of TS spinels are both positively correlated with its C*(Figure 14a,b), indicating that the chroma is controlled by both red and blue tones, and the influence degree of red is much stronger. MS samples show a similar relationship (Figure 14a), except that −b* has less relativity with C* due to the smaller variance of b*(Figure 14b).
Figure 13.
The color coordinate a* is inversely proportional to b* for TS samples, while a* barely depends on b* for MS samples.
Figure 14.
The color analysis of purple-violet spinel. (a) A highly positive correlation between the color coordinates a* and its chroma C*. (b) A positive correlation between the color coordinate −b* and its chroma C* for TS and a weak correlation between these two parameters for MS.
5. Discussion
5.1. Color and Fluorescence
Gem-quality spinel occurs in a variety of colors based on the trace elements present within the stone. Most of the (orangy) red-pink spinels attribute their color to Cr and V concentrations [,]. Equally high contents of Cr and V will cause red, while lower Cr and higher V may induce a more orange hue []. Blue colors in spinels are mainly caused by various electronic processes in Fe and Co cations. Other colors, magenta, purple, and green, are mainly caused by a high concentration of Fe, especially the Fe2+/Fe3+ ratio []. Moreover, Mn is known to act as a yellow chromophore [].
Thus, the relationship between Cr/V/Fe contents and hue angle/lightness is analyzed. We focused on the Tanzanian samples first. There is a significant positive correlation between Cr/V contents and hue angle, while the relationship between Fe content and hue is the reverse (Figure 15). Moreover, the lightness lowers with the increase of these elements.
Figure 15.
The relationship between vanadium/chromium/iron and the lightness/hue angle in Tanzanian spinels.
For the Myanmar spinels, the relationship between Cr and hue angle is similar (Figure 16). Different from TS samples, V and Fe contents have little impact on these two parameters. We speculated that its Fe content (4480–6359 ppmw) is too stable to influence the lightness and hue angle. This Fe concentration can cause a certain and stable blue color, then the variation of the hue is controlled by the various red color caused by the difference in Cr values.
Figure 16.
The relationship between V/Cr/Fe concentrations (ppmw) and the lightness/hue angle in Myanmar spinels.
Most spinel samples in this study showed a red under long-wave UV excitation (365 nm). Of note were striking strong green and medium orange fluorescence in several Tanzanian samples. The green luminescence in spinel is attributed to tetrahedral Mn2+ [,,], while red fluorescence is related to the presence of Cr3+ [,]. Therefore, the spinel presents red fluorescence while Cr dominates and green fluorescence when Mn plays a leading role. When the impact of both elements is very similar, orange color, a mixture of red and green, appears. The representative fluorescence spectra with green, orange, and red luminescence were shown (Figure 17). An emission peak centered at about 512 nm is related to the presence of Mn. The green luminescence sample shows the strongest Mn-related peak, whereas the red fluorescence sample only displays a series of peaks around 700 nm. The orange luminescence sample shows a weak peak at ~512 nm and several strong peaks near 700 nm.
Figure 17.
Fluorescence spectra of spinel samples with green, orange, and red luminescence. The peak at ~512 nm corresponds to the green luminescence.
Furthermore, we compared the Cr/Mn ratio and found that the value of spinels with green fluorescence is apparently lower than that of red fluorescence ones (Figure 18). The orange fluorescence is somewhere in between, which was consistent with our hypothesis. When comparing the two provenances, the Cr/Mn ratio is higher in Myanmar spinels with orange and red fluorescence. The existence of Fe may restrain the intensity of the fluorescence. Due to the difference in the elements affecting the fluorescence color, green and red fluorescence with different intensities were analyzed separately. The Fe/Mn ratio and the intensity of the green reaction were anticorrelated (Figure 19a). Similarly, the intensity of the red reaction increases with the decreasing Fe/Cr ratio (Figure 19b).
Figure 18.
The relationship between Cr/Mn ratio and fluorescence with various colors. The values in the figure are the average value of each group. The values of the Cr/Mn ratio from high to low in order are red, orange, and green fluorescence. In addition, the Cr/Mn ratios of orange and red fluorescence are apparently higher in Myanmar samples.
Figure 19.
(a) The Fe/Mn ratio affects the intensity of green fluorescence. The higher the Fe/Mn ratio, the lower the intensity. (b) The negative relationship of Fe/Cr ratio and the intensity of red fluorescence. The values in the figure are the average value of each group.
5.2. FWHM (Full Width at Half Maximum)
The cation disordering information, e.g., the rearrangement of some of the cations in the unit cell, can be reflected in the shape and width of the 406 cm−1 peak in the Raman spectrum and the 686 nm peak in the PL spectrum, including broadening and shoulder development [,]. The above chemistry part has shown the impurity difference between the spinel from Tanzania and Myanmar. The cation distribution between T and M sites in the spinel structure is highly sensitive to temperature, pressure, oxygen fugacity, and bulk rock and fluid compositions [,,]. Although both belong to “normal” spinel, the different relative degrees of cation disorder can be expected in these spinels due to the different geological environment, especially temperature. Higher temperature will affect the cation substitution between T and M positions to some extent and promote the order-disorder phase transition. The FWHM of 406 cm−1 peak in the Raman spectrum increases obviously with the degree of the order–disorder phase transition [,,,].
According to the previous literature, the FWHM (full width at half maximum) of the 406 cm−1 line in the Raman spectrum is in the range of 6.8–10.6 cm−1 and varies in different origins in natural unheated gem spinels []. Based on this finding, the obtained 406 cm−1 lines underwent Lorentz fitting, and the FWHM values of this line were calculated (Figure 20a).
Figure 20.
(a) The Lorentz fitting of the 406 cm−1 line of TS10. (b) The Lorentz fitting of the 686 nm line of TS10.
The values of Myanmar are distinctly higher (Figure 21a). The FWHM values of Tanzanian spinels are obviously lower than Myanmar samples and are in the range of 6.56–7.76 and 8.67–9.86, respectively. Thus, the FWHM serves as a good indicator to differentiate purple spinels from Tanzania and Myanmar.
Figure 21.
(a) The FWHM of the 406 cm−1 peak in the Raman spectrum in spinels from Tanzania and Myanmar. The values of the former are distinctly lower than those of the latter, with no overlapping. (b) The FWHM of the 686 nm peak in the PL spectrum in spinels from Tanzania and Myanmar.
The FWHM of this sharp Cr3+ zero phonon line of the PL spectrum proves to be origin-dependent []. Similarly, we performed Lorentz fitting of this peak at ~686 nm and calculated the according FWHM values (Figure 20b). It is not surprising that the FWHM values for Myanmar samples are higher (0.839–1.067) than those for Tanzanian spinels (0.720–0.810) (Figure 21b), which is consistent with the Raman analysis.
Due to the limited quantity of samples in this study, more samples with similar color from other sources need to be collected and analyzed to better confirm this conclusion in the further study.
6. Conclusions
Spinels from Tanzania (TS) and Myanmar (MS) both had a purple hue with a pinkish or brownish secondary tone, medium–strong saturation, and red/orange fluorescence in UV (365 nm). Moreover, green fluorescence was observed only in sample TS due to its relatively higher Mn concentration. Fine dust-like exsolved particles, oriented needles, dolomite, and forsterite are typical of Tanzania spinel. Myanmar spinels contain various mineral inclusions, including magnesite, apatite, baddeleyite, anhydrite, pyroxene, and graphite. Although carbonate is frequent in spinel, it occurs as dolomite in Tanzanian spinel and magnesite in Myanmar spinel. The FWHM values of the 406 cm−1 line in the Raman spectrum and the Cr3+ zero phonon line in the PL spectrum are relatively higher in sample MS than TS. Tanzanian spinels are characterized by extremely richer Fe and Mn concentrations, as well as a higher Fe/Cr ratio, compared to Myanmar samples. The purple color of all the samples is caused by Fe2+, with minor Fe3+ and Cr3+. Fe and Cr/V have a prominent, opposite correlation with the hue angle or chroma of purple spinel from Tanzania. In contrast, V and Fe hardly affect these two parameters in Myanmar samples. All inclusion scene, spectral, and chemical characteristics, as well as the comparison in this study are limited to the small number of samples from Tanzania and Myanmar. More samples from these mines, as well as other sources such as Vietnam, Afghanistan, and Pakistan, are needed to extend this study and to perform proper origin determination.
Author Contributions
Conceptualization, J.W., X.S. and P.N.; methodology, J.W. and X.S.; validation, J.W., T.Z., and Y.M.; formal analysis, J.W., X.S. and H.M.; investigation, J.W., Y.M. and N.T; data curation, J.W. and N.T.; writing—original draft preparation, J.W. and X.S.; writing—review and editing, J.W., P.N. and H.M.; supervision, T.D., H.L. and T.Z.; project administration, J.W. and H.L.; funding acquisition, T.D. and P.N. All authors have read and agreed to the published version of the manuscript.
Funding
This research was funded by NGTC Research Foundation, grant number NGTCSZ2022003.
Data Availability Statement
Not applicable.
Acknowledgments
Luoyuan Liu is thanked for his assistance in LA-ICP-MS testing. We also thank four anonymous reviewers and the academic editor for their constructive comments, which helped us to improve the manuscript.
Conflicts of Interest
The authors declare no conflict of interest.
References
- D’Ippolito, V.; Andreozzi, G.B.; Bersani, D.; Lottici, P.P. Raman fingerprint of chromate, aluminate and ferrite spinels. J. Raman Spectrosc. 2015, 46, 1255–1264. [Google Scholar] [CrossRef]
- Giuliani, G.; Fallick, A.E.; Boyce, A.J.; Pardieu, V.; Pham, V.L. Pink and red spinels in marble: Trace elements, oxygen isotopes, and sources. Can. Mineral. 2017, 55, 743–761. [Google Scholar] [CrossRef]
- D’Ippolito, V.; Andreozzi, G.B.; Hålenius, U.; Skogby, H.; Hametner, K.; Günther, D. Color mechanisms in spinel: Cobalt and iron interplay for the blue color. Phys. Chem. Miner. 2015, 42, 431–439. [Google Scholar] [CrossRef]
- Saeseaw, S.; Wang, W.Y.; Scarratt, K.; Emmett, J.L.; Douthit, T.R. Distinguishing Heated Spinels from Unheated Natural Spinels and from Synthetic Spinels: A Short Review of On-Going Research. GIA. 2009. Available online: https://www.gia.edu/doc/Heated-spinel-Identification-at-April-02-2009.pdf (accessed on 15 November 2022).
- Bosi, F.; Biagioni, C.; Pasero, M. Nomenclature and classification of the spinel supergroup. Eur. J. Mineral. 2019, 31, 183–192. [Google Scholar] [CrossRef]
- Andreozzi, G.B.; D’Ippolito, V.; Skogby, H.; Hålenius, U.; Bosi, F. Color mechanisms in spinel: A multi-analytical investigation of natural crystals with a wide range of coloration. Phys. Chem. Miner 2018, 46, 343–360. [Google Scholar] [CrossRef]
- Malsy, A.K.; Karampelas, S.; Schwarz, D.; Klemm, L.; Armbruster, T.; Tuan, D.A. Orangey-red to orangey-pink gem spinels from a new deposit at Lang Chap (Tan Huong-Truc Lau), Vietnam. J. Gemmol. 2012, 33, 19–27. [Google Scholar] [CrossRef]
- Shigley, J.E.; Stockton, C.M. Cobalt-blue gem spinels. Gems Gemol. 1984, 20, 34–41. [Google Scholar] [CrossRef]
- Schmetzer, K.; Haxel, C.; Amthauer, G. Colour of natural spinels, gahnospinels and gahnites. J. Mineral. Geochem. 1989, 2, 159–180. [Google Scholar]
- Peretti, A.; Kanpraphai-Peretti, A.; Güther, D. World of magnificent spinel: Provenance and identification. Contrib. Gemol. 2015, 11, 285–292. [Google Scholar]
- Pardieu, V. Hunting for “Jedi” spinels in Mogok. Gems Gemol. 2014, 50, 46–57. [Google Scholar] [CrossRef]
- Malsy, A.; Klemm, L. Distinction of gem spinels from the Himalayan Mountain Belt. Chimia 2010, 64, 741–746. [Google Scholar] [CrossRef] [PubMed]
- Phyo, M.M.; Bieler, E.; Franz, L.; Balmer, W.; Krzemnicki, M.S. Spinel from Mogok, Myanmar—A Detailed Inclusion Study by Raman Microspectroscopy and Scanning Electron Microscopy. J. Gemmol. 2019, 36, 418–435. [Google Scholar] [CrossRef]
- Giuliani, G.; Fallick, A.E.; Boyce, A.J.; Pardieu, V.; Pham, V.L. Pink and Red Gem Spinels in Marble and Placers. Incolor 2019, 43, 14–28. [Google Scholar]
- Balocher, F. The spinels of Mogok: A brief overview. Incolor 2019, 43, 34–39. [Google Scholar]
- Chauviré, B.; Rondeau, B.; Fritsch, E.; Ressigeac, P.; Devidal, J.-L. Blue spinel from the Luc Yen District of Vietnam. Gems Gemol. 2015, 51, 2–17. [Google Scholar] [CrossRef]
- Boehm, E.W. Gem Notes: Purple spinel from Badakhshan, Afghanistan. J. Gemmol. 2017, 35, 694–697. [Google Scholar]
- Blauwet, D. Gem News: Spinel from northern Vietnam, including a new mine at Lang Chap. Gems Gemol. 2011, 47, 60–61. [Google Scholar]
- Hänsel, S.; Lhuaamporn, T.; Suphan, C. Gem Notes: Update on Purple Spinel from Afghanistan. J. Gemmol. 2021, 37, 678–680. [Google Scholar] [CrossRef]
- Belley, P.M.; Palke, A.C. Purple Gem Spinel from Vietnam and Afghanistan: Comparison of Trace Element Chemistry, Cause of Color, and Inclusions. Gems Gemol. 2021, 57, 228–238. [Google Scholar] [CrossRef]
- Pardieu, V.; Hughes, R. Spinel: Resurrection of a classic. InColor 2008, 2, 10–18. [Google Scholar]
- Giuliani, G.; Martelat, J.-E.; Ohnenstetter, D.; Feneyrol, J.; Fallick, A.E.; Boyce, A. Les gisements de rubis et de spinelle rouge de la ceinture meťamorphique neóoproteŕozoïque mozambicaine. Rev. Gemmol. AFG 2015, 192, 11–18. [Google Scholar]
- Garnier, V.; Giuliani, G.; Ohnenstetter, D.; Fallick, A.E.; Dubessy, J.; Banks, D.; Vinh, H.Q.; Lhomme, T.; Maluski, H.; Pecher, A. Ar-Ar and U-Pb ages of marble-hosted ruby deposits from central and southeast Asia. Can. J. Earth Sci. 2006, 34, 169–191. [Google Scholar] [CrossRef]
- Iyer, L.A.N. The geology and gemstones of the Mogok Stone Tract, Burma. Mem. Geol. Surv. India 1953, 82, 100. [Google Scholar]
- Searle, M.P.; Noble, S.R.; Cottle, J.M.; Waters, D.J.; Mitchell, A.H.G.; Hlaing, T.; Horstwood, M.S.A. Tectonic evolution of the Mogok metamorphic belt, Burma (Myanmar) constrained by U-Th-Pb dating of metamorphic and magmatic rocks. Tectonics 2007, 26, 1–24. [Google Scholar] [CrossRef]
- Thu, K. The Igneous Rocks of the Mogok Stone Tract: Their Distributions, Petrography, Petrochemistry, Sequence, Geochronology and Economic Geology. Ph.D. Thesis, University of Yangon, Yangon, Myanmar, 2007; p. 139. [Google Scholar]
- Thu, Y.K.; Win, M.M.; Enami, M.; Tsuboi, M. Ti–rich biotite in spinel and quartz–bearing paragneiss and related rocks from the Mogok metamorphic belt, central Myanmar. J. Mineral. Petrol. Sci. 2016, 111, 270–282. [Google Scholar]
- Zaw, K.; Sutherland, L.; Yui, T.-F.; Meffre, S.; Thu, K. Vanadium-rich ruby and sapphire within Mogok gemfield, Myanmar: Implications for gem colour and genesis. Miner. Depos. 2015, 50, 25–39. [Google Scholar] [CrossRef]
- Themelis, T. Gems and Mines of Mogok; A&T Pub.: Los Angeles, CA, USA, 2008; p. 352. [Google Scholar]
- Chankhantha, C.; Amphon, R.; Rehman, H.U.; Shen, A.H. Characterisation of Pink-to-Red Spinel from Four Important Lo-calities. J. Gemmol. 2020, 37, 393–403. [Google Scholar] [CrossRef]
- Schmetzer, K.; Berger, A. Lamellar inclusions in spinel from Morogoro area, Tanzania. J. Gemmol. 1992, 23, 93–94. [Google Scholar] [CrossRef]
- Gübelin, E.J.; Koivula, J.I. Photoatlas of Inclusions in Gemstones; Opinio Verlag: Basel, Switzerland, 2005; Volume 2, pp. 662–714. [Google Scholar]
- Chopelas, A.; Hofmeister, A.M. Vibrational spectroscopy of aluminate spinels at 1 atm and of MgAl2O4 to over 200 kbar. Phys. Chem. Miner. 1991, 18, 279–293. [Google Scholar] [CrossRef]
- Wang, C.S.; Shen, A.H.; Liu, Y.G. Characterization of order-disorder transition in MgAl2O4: Cr3+ spinel using photoluminescence. J. Lumin. 2020, 227, 117552. [Google Scholar] [CrossRef]
- Hainschwang, T.; Karampelas, S.; Fritsch, E.; Notari, F. Luminescence spectroscopy and microscopy applied to study gem materials: A case study of C centre containing diamonds. Miner. Petrol. 2013, 107, 393–413. [Google Scholar] [CrossRef]
- Nassau, K. The origins of color in minerals. Am. Mineral. 1978, 63, 219–229. [Google Scholar]
- Hålenius, U.; Skogby, H.; Andreozzi, G.B. Influence of cation distribution on the optical absorption spectra of Fe3+-bearing spinel s.s.–hercynite crystals: Evidence for electron transitions in VIFe2+– VIFe3+ clusters. Phys. Chem. Miner. 2002, 29, 319–330. [Google Scholar]
- Taran, M.N.; Koch-Müller, M.; Langer, K. Electronic absorption spectroscopy of natural (Fe2+, Fe3+)-bearing spinels of spinel s.s.hercynite and gahnite-hercynite solid solutions at different temperatures and high-pressures. Phys. Chem. Miner. 2005, 32, 175–188. [Google Scholar] [CrossRef]
- D’Ippolito, V.; Andreozzi, G.B.; Bosi, F.; Hålenius, U.; Mantovani, L.; Bersani, D.; Fregola, R.A. Crystallographic and spectroscopic characterization of a natural Zn-rich spinel approaching the endmember gahnite (ZnAl2O4) composition. Mineral. Mag. 2013, 77, 2941–2953. [Google Scholar] [CrossRef]
- Fregola, R.A.; Skogby, H.; Bosi, F.; D’Ippolito, V.; Andreozzi, G.B.; Hålenius, U. Optical absorption spectroscopy study of the causes for color variations in natural Fe-bearing gahnite: Insights from iron valency and site distribution data. Am. Miner. 2014, 99, 2187–2195. [Google Scholar] [CrossRef]
- Pluthametwisute, T.; Wanthanachaisaeng, B.; Saiyasombat, C.; Sutthirat, C. Minor Elements and Color Causing Role in Spinel: Multi-Analytical Approaches. Minerals 2022, 12, 928. [Google Scholar] [CrossRef]
- Bosi, F.; Hålenius, U.; Andreozzi, G.B.; Skogby, H.; Lucchesi, S. Structural refinement and crystal chemistry of Mn-doped spinel: A case for tetrahedrally coordinated Mn3+ in an oxygen-based structure. Am. Mineral. 2007, 92, 27–33. [Google Scholar] [CrossRef]
- Kammerling, R.C.; Fritsch, E. Gem Trade Lab Notes: Spinel, with unusual green fluorescence. Gems Gemol. 1991, 27, 112–113. [Google Scholar]
- Sehgal, A.; Girma, D. Lab Notes: Unusual yellowish green spinel. Gems Gemol. 2016, 52, 194–195. [Google Scholar]
- Williams, C.; Williams, B.; City, J. Violet Spinel with Strong Green Fluorescence. J. Gemmol. 2022, 38, 219–221. [Google Scholar] [CrossRef]
- Mikenda, W.; Preisinger, A. N-lines in the luminescence spectra of Cr spinels (I) identification of N-lines. J. Lumin. 1981, 26, 53–66. [Google Scholar] [CrossRef]
- Manutchehrdanai, M. Dictionary of Gems and Gemology; Springer: Berlin/Heidelberg, Germany, 2005. [Google Scholar]
- Cynn, H.; Sharma, S.K.; Cooney, T.F. High-temperature Raman investigation of order-disorder behavior in the MgAl2O4 spinel. Phys. Rev. B 1992, 45, 500–502. [Google Scholar] [CrossRef]
- Slotznick, S.P.; Shim, S.H. In situ Raman spectroscopy measurements of MgAl2O4 spinel up to 1400 °C. Minerals. Am. Miner. 2008, 93, 470–476. [Google Scholar] [CrossRef]
- Nell, J.; Wood, B.J. High-Temperature Cation Distribution Fe3O4–MgAl2O4–MgFe2O4–FeAl2O4 Spinels from Thermopower and Conductivity Measurements. Am. Miner. 1989, 74, 339–351. [Google Scholar]
- Perinelli, C.; Bosi, F.; Andreozzi, G.B.; Conte, A.M.; Armienti, P. Geothermometric study of Cr-spinels of peridotite mantle xenoliths from northern Victoria Land (Antarctica). Am. Mineral. 2014, 99, 839–846. [Google Scholar] [CrossRef]
- Wang, C.S.; Shen, X.T.; Liu, Y.G.; Zhang, Q. Raman Spectra Study of Heating Treatment and Order-Disorder Transition of Cr3+-Doped MgAl2O4 Spinel. Spectrosc. Spectr. Anal. 2019, 39, 109–113. [Google Scholar]
Disclaimer/Publisher’s Note: The statements, opinions and data contained in all publications are solely those of the individual author(s) and contributor(s) and not of MDPI and/or the editor(s). MDPI and/or the editor(s) disclaim responsibility for any injury to people or property resulting from any ideas, methods, instructions or products referred to in the content. |
© 2023 by the authors. Licensee MDPI, Basel, Switzerland. This article is an open access article distributed under the terms and conditions of the Creative Commons Attribution (CC BY) license (https://creativecommons.org/licenses/by/4.0/).