Mid-Infrared (MIR) Spectroscopy of Silicate Glasses as Analogs for Mercury’s Surface: The Influence of Grain Size
Abstract
1. Introduction
2. Materials and Methods
2.1. Samples Preparation
2.1.1. Production of Silicate Glass
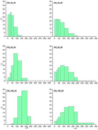
2.1.2. Grain Size of Samples
2.2. Samples Characterization
2.2.1. Chemical Analyses with EMPA
2.2.2. Spectral Analyses with FT-IR
3. Results
3.1. Chemical Characterization of Material
3.2. Spectral Characterization of Samples
3.2.1. MIR Spectra of SC Samples
3.2.2. MIR Spectra of GD Samples
4. Discussion
4.1. The Occurrence of the Transparency Feature (TF)
4.2. Normalization of Reflectance Intensity and Spectral Ratios
4.3. Comparison between SC and GD Samples
5. Conclusions
Author Contributions
Funding
Data Availability Statement
Acknowledgments
Conflicts of Interest
References
- Wilson, L. Volcanism in the Solar System. Nat. Geosci. 2009, 2, 389–397. [Google Scholar] [CrossRef]
- Byrne, P.K. A Comparison of Inner Solar System Volcanism. Nat. Astron. 2019, 4, 321–327. [Google Scholar] [CrossRef]
- Gregg, T.K.P.; Lopes, R.M.C.; Sarah, A. Planetary Volcanism across the Solar System; Elsevier: Amsterdam, The Netherlands, 2022; ISBN 9780128139875. [Google Scholar]
- Denevi, B.W.; Ernst, C.M.; Meyer, H.M.; Robinson, M.S.; Murchie, S.L.; Whitten, J.L.; Head, J.W.; Watters, T.R.; Solomon, S.C.; Ostrach, L.R.; et al. The Distribution and Origin of Smooth Plains on Mercury. J. Geophys. Res. Planets 2013, 118, 891–907. [Google Scholar] [CrossRef]
- Head, J.W.; Chapman, C.R.; Strom, R.G.; Fassett, C.I.; Denevi, B.W.; Blewett, D.T.; Ernst, C.M.; Watters, T.R.; Solomon, S.C.; Murchie, S.L.; et al. Flood Volcanism in the Northern High Latitudes of Mercury Revealed by MESSENGER. Science 2011, 333, 1853–1856. [Google Scholar] [CrossRef]
- Head, J.W.; Murchie, S.L.; Prockter, L.M.; Solomon, S.C.; Chapman, C.R.; Strom, R.G.; Watters, T.R.; Blewett, D.T.; Gillis-Davis, J.J.; Fassett, C.I.; et al. Volcanism on Mercury: Evidence from the First MESSENGER Flyby for Extrusive and Explosive Activity and the Volcanic Origin of Plains. Earth Planet Sci. Lett. 2009, 285, 227–242. [Google Scholar] [CrossRef]
- Gillis-Davis, J.J.; Blewett, D.T.; Gaskell, R.W.; Denevi, B.W.; Robinson, M.S.; Strom, R.G.; Solomon, S.C.; Sprague, A.L. Pit-Floor Craters on Mercury: Evidence of near-Surface Igneous Activity. Earth Planet Sci. Lett. 2009, 285, 243–250. [Google Scholar] [CrossRef]
- Klimczak, C.; Crane, K.T.; Habermann, M.A.; Byrne, P.K. The Spatial Distribution of Mercury’s Pyroclastic Activity and the Relation to Lithospheric Weaknesses. Icarus 2018, 315, 115–123. [Google Scholar] [CrossRef]
- Platz, T.; Byrne, P.K.; Massironi, M.; Hiesinger, H. Volcanism and Tectonism across the Inner Solar System: An Overview. Geol. Soc. 2015, 401, 1–56. [Google Scholar] [CrossRef]
- Sitarz, M. The Structure of Simple Silicate Glasses in the Light of Middle Infrared Spectroscopy Studies. J. Non. Cryst. Solids 2011, 357, 1603–1608. [Google Scholar] [CrossRef]
- King, P.L.; McMillan, P.F.; Moore, G.M.; Ramsey, M.S.; Swayze, G.A. Infrared Spectroscopy of Silicate Glasses with Application to Natural Systems. Infrared Spectrosc. Geochem. Explor. Geochem. Remote Sens. 2004, 33, 93–133. [Google Scholar]
- Hamilton, V.E.; Christensen, P.R. Determining the Modal Mineralogy of Mafic and Ultramafic Igneous Rocks Using Thermal Emission Spectroscopy. J. Geophys. Res. Planets 2000, 105, 9717–9733. [Google Scholar] [CrossRef]
- Cooper, B.L.; Salisbury, J.W.; Killen, R.M.; Potter, A.E. Midinfrared Spectral Features of Rocks and Their Powders. J. Geophys. Res. Planets 2002, 107, 1. [Google Scholar] [CrossRef]
- Hamilton, V.E. Thermal Infrared Emission Spectroscopy of the Pyroxene Mineral Series. J. Geophys. Res. Planets 2000, 105, 9701–9716. [Google Scholar] [CrossRef]
- Lane, M.D.; Glotch, T.D.; Dyar, M.D.; Pieters, C.M.; Klima, R.; Hiroi, T.; Bishop, J.L.; Sunshine, J. Midinfrared Spectroscopy of Synthetic Olivines: Thermal Emission, Specular and Diffuse Reflectance, and Attenuated Total Reflectance Studies of Forsterite to Fayalite. J. Geophys. Res. Planets 2011, 116, 8010. [Google Scholar] [CrossRef]
- Hamilton, V.E.; Haberle, C.W.; Mayerhöfer, T.G. Effects of Small Crystallite Size on the Thermal Infrared (Vibrational) Spectra of Minerals. Am. Mineral. 2020, 105, 1756–1760. [Google Scholar] [CrossRef]
- Serventi, G.; Carli, C.; Sgavetti, M.; Ciarniello, M.; Capaccioni, F.; Pedrazzi, G. Spectral Variability of Plagioclase–Mafic Mixtures (1): Effects of Chemistry and Modal Abundance in Reflectance Spectra of Rocks and Mineral Mixtures. Icarus 2013, 226, 282–298. [Google Scholar] [CrossRef]
- Pisello, A.; Vetere, P.; Bisolfati, M.; Maturilli, A.; Morgavi, D.; Pauselli, C.; Iezzi, G.; Lustrino, M.; Perugini, D. Retrieving Magma Composition from TIR Spectra: Implications for Terrestrial Planets Investigations. Sci. Rep. 2019, 9, 15200. [Google Scholar] [CrossRef]
- Helbert, J.; Maturilli, A. The Emissivity of a Fine-Grained Labradorite Sample at Typical Mercury Dayside Temperatures. Earth Planet Sci. Lett. 2009, 285, 347–354. [Google Scholar] [CrossRef]
- Poggiali, G.; Brucato, J.R.; Dotto, E.; Ieva, S.; Barucci, M.A.; Pajola, M. Temperature Dependent Mid-Infrared (5–25 Μm) Reflectance Spectroscopy of Carbonaceous Meteorites and Minerals: Implication for Remote Sensing in Solar System Exploration. Icarus 2021, 354, 114040. [Google Scholar] [CrossRef]
- Martin, A.C.; Emery, J.P.; Loeffler, M.J. Spectral Effects of Regolith Porosity in the Mid-IR—Forsteritic Olivine. Icarus 2022, 378, 114921. [Google Scholar] [CrossRef]
- Aronson, J.R.; Emslie, A.G. Spectral Reflectance and Emittance of Particulate Materials. 2: Application and Results. Appl. Opt. 1973, 12, 2573–2584. [Google Scholar] [CrossRef] [PubMed]
- Udvardi, B.; Szalai, Z.; Fancsik, T.; Kónya, P.; Stercel, F.; Kovács, I.J.; Falus, G.; Bátori, M. Effects of Particle Size on the Attenuated Total Reflection Spectrum of Minerals. Appl. Spectrosc. 2017, 71, 1157–1168. [Google Scholar] [CrossRef] [PubMed]
- Wald, A.E.; Salisbury, J.W. Thermal Infrared Directional Emissivity of Powdered Quartz. J. Geophys. Res. 1995, 100, 665–689. [Google Scholar] [CrossRef]
- Salisbury, J.W.; Eastes, J.W. The Effect of Particle Size and Porosity on Spectral Contrast in the Mid-Infrared. Icarus 1985, 64, 586–588. [Google Scholar] [CrossRef]
- Mustard, J.F.; Hays, J.E. Effects of Hyperfine Particles on Reflectance Spectra from 0.3 to 25 Μm. Icarus 1997, 125, 145–163. [Google Scholar] [CrossRef]
- Salisbury, J.W.; Wald, A. The Role of Volume Scattering in Reducing Spectral Contrast of Reststrahlen Bands in Spectra of Powdered Minerals. Icarus 1992, 96, 121–128. [Google Scholar] [CrossRef]
- Conel, J.E. Infrared Emissivities of Silicates: Experimental Results and a Cloudy Atmosphere Model of Spectral Emission from Condensed Particulate Mediums. J. Geophys. Res. 1969, 74, 1614–1634. [Google Scholar] [CrossRef]
- Christensen, P.R.; Bandfield, J.L.; Hamilton, V.E.; Howard, D.A.; Lane, M.D.; Piatek, J.L.; Ruff, S.W.; Stefanov, W.L. A Thermal Emission Spectral Library of Rock-Forming Minerals. J. Geophys. Res. Planets 2000, 105, 9735–9739. [Google Scholar] [CrossRef]
- Salisbury, J.W.; Walter, L.S. Thermal Infrared (2.5–13.5 Μm) Spectroscopic Remote Sensing of Igneous Rock Types on Particulate Planetary Surfaces. J. Geophys. Res. Solid Earth 1989, 94, 9192–9202. [Google Scholar] [CrossRef]
- Sprague, A.; Warell, J.; Cremonese, G.; Langevin, Y.; Helbert, J.; Wurz, P.; Veselovsky, I.; Orsini, S.; Milillo, A. Mercury’s Surface Composition and Character as Measured by Ground-Based Observations; Springer: Cham, Switzerland, 2008; pp. 217–249. [Google Scholar] [CrossRef]
- Emery, J.P.; Sprague, A.L.; Witteborn, F.C.; Colwell, J.E.; Kozlowski, R.W.H.; Wooden, D.H. Mercury: Thermal modeling and mid-infrared (5–12 μm) observations. Icarus 1998, 136, 104–123. [Google Scholar] [CrossRef]
- Gundlach, B.; Blum, J. A new method to determine the grain size of planetary regolith. Icarus 2013, 223, 479–492. [Google Scholar] [CrossRef]
- Scudder, N.A.; Horgan, B.H.N.; Rampe, E.B.; Smith, R.J.; Rutledge, A.M. The Effects of Magmatic Evolution, Crystallinity, and Microtexture on the Visible/near-Infrared and Thermal-Infrared Spectra of Volcanic Rocks. Icarus 2021, 359, 114344. [Google Scholar] [CrossRef]
- Shirley, K.A.; Glotch, T.D. Particle Size Effects on Mid-Infrared Spectra of Lunar Analog Minerals in a Simulated Lunar Environment. J. Geophys. Res. Planets 2019, 124, 970–988. [Google Scholar] [CrossRef]
- Serventi, G.; Carli, C. The Role of Very Fine Particle Sizes in the Reflectance Spectroscopy of Plagioclase-Bearing Mixtures: New Understanding for the Interpretation of the Finest Sizes of the Lunar Regolith. Icarus 2017, 293, 157–171. [Google Scholar] [CrossRef]
- Lane, M.D. Midinfrared Optical Constants of Calcite and Their Relationship to Particle Size Effects in Thermal Emission Spectra of Granular Calcite. J. Geophys. Res. Planets 1999, 104, 14099–14108. [Google Scholar] [CrossRef]
- Lane, M.D.; Christensen, P.R. Thermal Infrared Emission Spectroscopy of Salt Minerals Predicted for Mars. Icarus 1998, 135, 528–536. [Google Scholar] [CrossRef]
- Fastelli, M.; Comodi, P.; Schmitt, B.; Beck, P.; Poch, O.; Sassi, P.; Zucchini, A. Reflectance Spectra (1–5 Μm) at Low Temperatures and Different Grain Sizes of Ammonium-Bearing Minerals Relevant for Icy Bodies. Icarus 2022, 382, 115055. [Google Scholar] [CrossRef]
- Morlok, A.; Klemme, S.; Weber, I.; Stojic, A.; Sohn, M.; Hiesinger, H. IR Spectroscopy of Synthetic Glasses with Mercury Surface Composition: Analogs for Remote Sensing. Icarus 2017, 296, 123–138. [Google Scholar] [CrossRef]
- Morlok, A.; Renggli, C.; Charlier, B.; Reitze, M.P.; Klemme, S.; Namur, O.; Sohn, M.; Martin, D.; Weber, I.; Stojic, A.N.; et al. Mid-Infrared Reflectance Spectroscopy of Synthetic Glass Analogs for Mercury Surface Studies. Icarus 2021, 361, 114363. [Google Scholar] [CrossRef]
- Morlok, A.; Stojic, A.; Weber, I.; Hiesinger, H.; Zanetti, M.; Helbert, J. Mid-Infrared Bi-Directional Reflectance Spectroscopy of Impact Melt Glasses and Tektites. Icarus 2016, 278, 162–179. [Google Scholar] [CrossRef]
- Carli, C.; Roush, T.L.; Pedrazzi, G.; Capaccioni, F. Visible and Near-Infrared (VNIR) Reflectance Spectroscopy of Glassy Igneous Material: Spectral Variation, Retrieving Optical Constants and Particle Sizes by Hapke Model. Icarus 2016, 266, 267–278. [Google Scholar] [CrossRef]
- Mysen, B.O.; Richet, P. Silicate Glasses and Melts: Properties and Structure; Elsevier: Amsterdam, The Netherlands, 2005; Volume 10. [Google Scholar]
- Dingwell, D.B.; Lavallée, Y.; Kueppers, U. Volcanic Ash: A Primary Agent in the Earth System. Phys. Chem. Earth Parts A B C 2012, 45, 2–4. [Google Scholar] [CrossRef]
- Namur, O.; Charlier, B. Silicate mineralogy at the surface of Mercury. Nat. Geosci. 2016, 10, 9–13. [Google Scholar] [CrossRef]
- Cannon, K.M.; Mustard, J.F.; Parman, S.W.; Sklute, E.C.; Dyar, M.D.; Cooper, R.F. Spectral Properties of Martian and Other Planetary Glasses and Their Detection in Remotely Sensed Data. J. Geophys. Res. Planets 2017, 122, 249–268. [Google Scholar] [CrossRef]
- Pisello, A.; de Angelis, S.; Ferrari, M.; Porreca, M.; Vetere, F.P.; Behrens, H.; de Sanctis, M.C.; Perugini, D. Visible and Near-InfraRed (VNIR) Reflectance of Silicate Glasses: Characterization of a Featureless Spectrum and Implications for Planetary Geology. Icarus 2022, 374, 114801. [Google Scholar] [CrossRef]
- Zeng, X.; Li, X.; Martin, D.; Tang, H.; Yu, W.; Liu, J.; Wang, S. Micro-FTIR Spectroscopy of Lunar Pyroclastic and Impact Glasses as a New Diagnostic Tool to Discern Them. J. Geophys. Res. Planets 2019, 124, 3267–3282. [Google Scholar] [CrossRef]
- Wright, H.M.N.; Folkes, C.B.; Cas, R.A.F.; Cashman, K. Heterogeneous Pumice Populations in the 2.08-Ma Cerro Galán Ignimbrite: Implications for Magma Recharge and Ascent Preceding a Large-Volume Silicic Eruption. Bull. Volcanol. 2011, 73, 1513–1533. [Google Scholar] [CrossRef]
- Moroz, L.V.; Basilevsky, A.T.; Hiroi, T.; Rout, S.S.; Baither, D.; van der Bogert, C.H.; Yakovlev, O.I.; Fisenko, A.V.; Semjonova, L.F.; Rusakov, V.S.; et al. Spectral Properties of Simulated Impact Glasses Produced from Martian Soil Analogue JSC Mars-1. Icarus 2009, 202, 336–353. [Google Scholar] [CrossRef]
- Seelos, K.D.; Arvidson, R.E.; Jolliff, B.L.; Chemtob, S.M.; Morris, R.V.; Ming, D.W.; Swayze, G.A. Silica in a Mars Analog Environment: Ka’u Desert, Kilauea Volcano, Hawaii. J. Geophys. Res. Planets 2010, 115, E4. [Google Scholar] [CrossRef]
- Kraft, M.D.; Michalski, J.R.; Sharp, T.G. Effects of Pure Silica Coatings on Thermal Emission Spectra of Basaltic Rocks: Considerations for Martian Surface Mineralogy. Geophys. Res. Lett. 2003, 30, 24. [Google Scholar] [CrossRef]
- Chemtob, S.M.; Jolliff, B.L.; Rossman, G.R.; Eiler, J.M.; Arvidson, R.E. Silica Coatings in the Ka’u Desert, Hawaii, a Mars Analog Terrain: A Micromorphological, Spectral, Chemical, and Isotopic Study. J. Geophys. Res. Planets 2010, 115, JE003473. [Google Scholar] [CrossRef]
- Pisello, A.; Ferrari, M.; de Angelis, S.; Vetere, F.P.; Porreca, M.; Stefani, S.; Perugini, D. Reflectance of Silicate Glasses in the Mid-Infrared Region (MIR): Implications for Planetary Research. Icarus 2022, 388, 115222. [Google Scholar] [CrossRef]
- Bell, P.M.; Mao, H.K.; Weeks, R.A. Optical Spectra and Electron Paramagnetic Resonance of Lunar and Synthetic Glasses-A Study of the Effects of Controlled Atmosphere, Composition, and Temperature. Proc. Lunar Planet. Sci. Conf. Proc. 1976, 7, 2543–2559. [Google Scholar]
- Cloutis, E.A.; Gaffey, M.J.; Smith, D.G.W.; Lambert, R.S.J. Reflectance Spectra of Glass-Bearing Mafic Silicate Mixtures and Spectral Deconvolution Procedures. Icarus 1990, 86, 383–401. [Google Scholar] [CrossRef]
- Biren, J.; Slodczyk, A.; Andújar, J.; del Campo, L.; Cosson, L.; Li, H.; Veron, E.; Genevois, C.; Ory, S.; Aufaristama, M. High Temperature Spectral Emissivity of Glass and Crystal-Bearing Basalts. J. Volcanol. Geotherm. Res. 2022, 430, 107623. [Google Scholar] [CrossRef]
- Dufresne, C.D.M.; King, P.L.; Dyar, M.D.; Dalby, K.N. Effect of SiO2, Total FeO, Fe3+/Fe2+, and Alkali Elements in Basaltic Glasses on Mid-Infrared Spectra. Am. Mineral. 2009, 94, 1580–1590. [Google Scholar] [CrossRef]
- King, P.L.; Larsen, J.F. A Micro-Reflectance IR Spectroscopy Method for Analyzing Volatile Species in Basaltic, Andesitic, Phonolitic, and Rhyolitic Glasses. Am. Mineral. 2013, 98, 1162–1171. [Google Scholar] [CrossRef]
- Dalby, K.N.; King, P.L. A New Approach to Determine and Quantify Structural Units in Silicate Glasses Using Micro-Reflectance Fourier-Transform Infrared Spectroscopy. Am. Mineral. 2006, 91, 1783–1793. [Google Scholar] [CrossRef]
- Byrnes, J.M.; Ramsey, M.S.; King, P.L.; Lee, R.J. Thermal Infrared Reflectance and Emission Spectroscopy of Quartzofeldspathic Glasses. Geophys. Res. Lett. 2007, 34, GL027893. [Google Scholar] [CrossRef]
- Scholze, H. Glass: Nature, Structure, and Properties; Springer Science & Business Media: New York, NY, USA, 2012. [Google Scholar]
- Mercier, M.; di Muro, A.; Métrich, N.; Giordano, D.; Belhadj, O.; Mandeville, C.W. Spectroscopic Analysis (FTIR, Raman) of Water in Mafic and Intermediate Glasses and Glass Inclusions. Geochim. Cosmochim. Acta 2010, 74, 5641–5656. [Google Scholar] [CrossRef]
- Mysen, B.O.; Virgo, D.; Scarfe, C.M. Relations between the Anionic Structure and Viscosity of Silicate Melts—A Raman Spectroscopic Study. Am. Mineral. 1980, 65, 690–710. [Google Scholar]
- Morlok, A.; Klemme, S.; Weber, I.; Stojic, A.; Sohn, M.; Hiesinger, H.; Helbert, J. Mid-Infrared Spectroscopy of Planetary Analogs: A Database for Planetary Remote Sensing. Icarus 2019, 324, 86–103. [Google Scholar] [CrossRef]
- Morlok, A.; Hamann, C.; Martin, D.; Weber, I.; Joy, K.H.; Hiesinger, H.; Wogelius, R.; Stojic, A.N.; Helbert, J. Mid-Infrared Spectroscopy of Laser-Produced Basalt Melts for Remote Sensing Application. Icarus 2020, 335, 113410. [Google Scholar] [CrossRef]
- Cord, A.M.; Pinet, P.C.; Daydou, Y.; Chevrel, S.D. Planetary Regolith Surface Analogs: Optimized Determination of Hapke Parameters Using Multi-Angular Spectro-Imaging Laboratory Data. Icarus 2003, 165, 414–427. [Google Scholar] [CrossRef]
- Buhl, E.; Sommer, F.; Poelchau, M.H.; Dresen, G.; Kenkmann, T. Ejecta from Experimental Impact Craters: Particle Size Distribution and Fragmentation Energy. Icarus 2014, 237, 131–142. [Google Scholar] [CrossRef]
- Kerber, L.; Head, J.W.; Solomon, S.C.; Murchie, S.L.; Blewett, D.T.; Wilson, L. Explosive Volcanic Eruptions on Mercury: Eruption Conditions, Magma Volatile Content, and Implications for Interior Volatile Abundances. Earth Planet Sci. Lett. 2009, 285, 263–271. [Google Scholar] [CrossRef]
- Jones, T.J.; Russell, J.K. Ash Production by Attrition in Volcanic Conduits and Plumes. Sci. Rep. 2017, 7, 1–12. [Google Scholar] [CrossRef]
- Springsklee, C.; Scheu, B.; Manga, M.; Cigala, V.; Cimarelli, C.; Dingwell, D.B. The Influence of Grain Size Distribution on Laboratory-Generated Volcanic Lightning. J. Geophys. Res. Solid Earth 2022, 127, e2022JB024390. [Google Scholar] [CrossRef]
- Nittler, L.R.; Starr, R.D.; Weider, S.Z.; McCoy, T.J.; Boynton, W.V.; Ebel, D.S.; Ernst, C.M.; Evans, L.G.; Goldsten, J.O.; Hamara, D.K.; et al. The Major-Element Composition of Mercury’s Surface from MESSENGER X-Ray Spectrometry. Science 2011, 333, 1847–1850. [Google Scholar] [CrossRef]
- Vetere, F.P.; Iezzi, G.; Behrens, H.; Holtz, F.; Ventura, G.; Misiti, V.; Cavallo, A.; Mollo, S.; Dietrich, M. Glass Forming Ability and Crystallisation Behaviour of Sub-Alkaline Silicate Melts. Earth Sci. Rev. 2015, 150, 25–44. [Google Scholar] [CrossRef]
- Salisbury, J.W.; D’Aria, D.M.; Jarosewich, E. Midinfrared (2.5–13.5 Μm) Reflectance Spectra of Powdered Stony Meteorites. Icarus 1991, 92, 280–297. [Google Scholar] [CrossRef]
- Meneses, D.D.S.; Eckes, M.; del Campo, L.; Santos, C.N.; Vaills, Y.; Echegut, P. Investigation of Medium Range Order in Silicate Glasses by Infrared Spectroscopy. Vib. Spectrosc. 2013, 65, 50–57. [Google Scholar] [CrossRef]
- le Bras, A.; Erard, S. Reflectance Spectra of Regolith Analogs in the Mid-Infrared: Effects of Grain Size. Planet Space Sci. 2003, 51, 281–294. [Google Scholar] [CrossRef]
- Ertel, A.B.; Brauer, C.S.; Richardson, R.L.; Tonkyn, R.G.; Myers, T.L.; Blake, T.A.; Johnson, T.J.; Su, Y.-F. Quantitative Reflectance Spectra of Solid Powders as a Function of Particle Size. Appl. Opt. 2015, 54, 4863–4875. [Google Scholar] [CrossRef]
- Fortin, M.-A.; Gazel, E.; Kaltenegger, L.; Holycross, M.E. Volcanic Exoplanet Surfaces. Mon. Not. R. Astron. Soc. 2022, 516, 4569–4575. [Google Scholar] [CrossRef]
- Carli, C.; Ciarniello, M.; Capaccioni, F.; Serventi, G.; Sgavetti, M. Spectral Variability of Plagioclase–Mafic Mixtures (2): Investigation of the Optical Constant and Retrieved Mineral Abundance Dependence on Particle Size Distribution. Icarus 2014, 235, 207–219. [Google Scholar] [CrossRef]
- De Angelis, S.; de Sanctis, M.C.; Ammannito, E.; Carli, C.; di Iorio, T.; Altieri, F. The Ma_Miss Instrument Performance, I: Analysis of Rocks Powders by Martian VNIR Spectrometer. Planet Space Sci. 2014, 101, 89–107. [Google Scholar] [CrossRef]
- Cremonese, G.; Capaccioni, F.; Capria, M.T.; Doressoundiram, A.; Palumbo, P.; Vincendon, M.; Massironi, M.; Debei, S.; Zusi, M.; Altieri, F.; et al. SIMBIO-SYS: Scientific Cameras and Spectrometer for the BepiColombo Mission. Space Sci. Rev. 2020, 216, 1–78. [Google Scholar] [CrossRef]
- Hiesinger, H.; Helbert, J.; Alemanno, G.; Bauch, K.E.; D’Amore, M.; Maturilli, A.; Morlok, A.; Reitze, M.P.; Stangarone, C.; Stojic, A.N.; et al. Studying the Composition and Mineralogy of the Hermean Surface with the Mercury Radiometer and Thermal Infrared Spectrometer (MERTIS) for the BepiColombo Mission: An Update. Space Sci. Rev. 2020, 216, 1–37. [Google Scholar]







| Target Composition | SiO2 | Al2O3 | FeO | MgO | CaO | Na2O |
| (wt.%) | 57.77 | 14.08 | 1.04 | 15.67 | 4.23 | 7.21 |
| Oxide Mixture | SiO2 | Al2O3 | FeO | MgO | CaO | Na2CO3 |
| (g) | 57.77 | 14.08 | 1.16 | 15.67 | 4.23 | 12.33 |
| SiO2 | Al2O3 | FeO | MgO | CaO | Na2O | Total | |
|---|---|---|---|---|---|---|---|
| Av. Measured wt.% | 57.80 | 13.60 | 1.15 | 15.68 | 3.75 | 7.27 | 99.24 |
| St.Dev. | 0.28 | 0.14 | 0.07 | 0.17 | 0.04 | 0.13 | 0.35 |
| Normalized wt.% | 58.24 | 13.71 | 1.16 | 15.80 | 3.78 | 7.32 | 100.00 |
| 0–25 µm | 25–38 µm | 38–63 µm | 63–106 µm | 106–150 µm | 150–212 µm | 212–250 µm | 250–425 µm | |
|---|---|---|---|---|---|---|---|---|
| CF (µm) | 8.04 | 8.04 | 8.04 | 8.03 | 8.03 | 8.03 | 8.03 | 8.03 |
| RBpeak (µm) | 9.78 | 9.67 | 9.64 | 9.66 | 9.64 | 9.67 | 9.62 | 9.67 |
| TF (µm) | 11.95 | 11.97 | - | - | - | - | - | - |
| GD_30_40 | GD_30_80 | |||||
| CF (µm) | 8.03 | 8.03 | 8.04 | 8.03 | 8.04 | 8.03 |
| RBpeak (µm) | 9.6 | 9.69 | 9.76 | 9.66 | 9.69 | 9.64 |
| TF (µm) | 11.89 | 11.92 | 11.92 | 11.89 | 11.92 | 11.89 |
| GD_95_40 | GD_95_80 | |||||
| CF (µm) | 8.04 | 8.03 | 8.03 | 8.04 | 8.04 | 8.03 |
| RBpeak (µm) | 9.67 | 9.64 | 9.62 | 9.71 | 9.73 | 9.67 |
| TF (µm) | 11.73 | - | - | 11.95 | 11.95 | 11.86 |
| GD_160_40 | GD_160_80 | |||||
| CF (µm) | 8.03 | 8.04 | 8.03 | 8.03 | 8.03 | 8.03 |
| RBpeak (µm) | 9.62 | 9.71 | 9.64 | 9.67 | 9.64 | 9.69 |
| TF (µm) | - | - | - | - | 11.7 | 11.86 |
| SC | ||||
| Grain Size Class | Central Value | B/A | C/B | |
| 0–25 µm | 12.5 µm | 1.76 | 1.41 | |
| 25–38 µm | 31.5 µm | 1.86 | 1.12 | |
| 38–63 µm | 50.5 µm | 2.41 | 0.61 | |
| 63–106 µm | 84.5 µm | 2.45 | 0.54 | |
| 106–150 µm | 128 µm | 2.32 | 0.47 | |
| 150–212 µm | 181 µm | 2.64 | 0.46 | |
| 212–250 µm | 231 µm | 2.22 | 0.47 | |
| 250–425 µm | 337.5 µm | 2.54 | 0.47 | |
| GD | ||||
| Sample | Mean Value | St. Dev. | B/A | C/B |
| GD_30_40 | 30 | 40 | 1.57 | 0.95 |
| 1.71 | 1.13 | |||
| 2.19 | 1.04 | |||
| GD_30_80 | 30 | 80 | 1.63 | 0.85 |
| 1.72 | 1.01 | |||
| 1.77 | 0.91 | |||
| GD_95_40 | 95 | 40 | 2.11 | 0.71 |
| 1.93 | 0.63 | |||
| 1.99 | 0.58 | |||
| GD_95_80 | 95 | 80 | 1.89 | 1.07 |
| 1.88 | 1.14 | |||
| 1.92 | 0.87 | |||
| GD_160_40 | 160 | 40 | 2.25 | 0.48 |
| 3.04 | 0.45 | |||
| 2.29 | 0.49 | |||
| GD_160_80 | 160 | 80 | 2.01 | 0.69 |
| 1.90 | 0.71 | |||
| 2.22 | 0.78 | |||
Disclaimer/Publisher’s Note: The statements, opinions and data contained in all publications are solely those of the individual author(s) and contributor(s) and not of MDPI and/or the editor(s). MDPI and/or the editor(s) disclaim responsibility for any injury to people or property resulting from any ideas, methods, instructions or products referred to in the content. |
© 2023 by the authors. Licensee MDPI, Basel, Switzerland. This article is an open access article distributed under the terms and conditions of the Creative Commons Attribution (CC BY) license (https://creativecommons.org/licenses/by/4.0/).
Share and Cite
Pisello, A.; Bisolfati, M.; Poggiali, G.; Tolomei, P.; Braschi, E.; Brucato, J.R.; Perugini, D. Mid-Infrared (MIR) Spectroscopy of Silicate Glasses as Analogs for Mercury’s Surface: The Influence of Grain Size. Minerals 2023, 13, 170. https://doi.org/10.3390/min13020170
Pisello A, Bisolfati M, Poggiali G, Tolomei P, Braschi E, Brucato JR, Perugini D. Mid-Infrared (MIR) Spectroscopy of Silicate Glasses as Analogs for Mercury’s Surface: The Influence of Grain Size. Minerals. 2023; 13(2):170. https://doi.org/10.3390/min13020170
Chicago/Turabian StylePisello, Alessandro, Matteo Bisolfati, Giovanni Poggiali, Pietro Tolomei, Eleonora Braschi, John Robert Brucato, and Diego Perugini. 2023. "Mid-Infrared (MIR) Spectroscopy of Silicate Glasses as Analogs for Mercury’s Surface: The Influence of Grain Size" Minerals 13, no. 2: 170. https://doi.org/10.3390/min13020170
APA StylePisello, A., Bisolfati, M., Poggiali, G., Tolomei, P., Braschi, E., Brucato, J. R., & Perugini, D. (2023). Mid-Infrared (MIR) Spectroscopy of Silicate Glasses as Analogs for Mercury’s Surface: The Influence of Grain Size. Minerals, 13(2), 170. https://doi.org/10.3390/min13020170

