Next Article in Journal
Crude Oil Source and Accumulation Models for the Wenchang Formation, Southern Lufeng Sag, Pearl River Mouth Basin, (Offshore) China
Next Article in Special Issue
Coal Gangue Recognition during Coal Preparation Using an Adaptive Boosting Algorithm
Previous Article in Journal
Late Campanian Climatic-Continental Weathering Assessment and Its Influence on Source Rocks Deposition in Southern Tethys, Egypt
Previous Article in Special Issue
Study on Characteristics of Coal Spontaneous Combustion in Kerjian Mining Area, Xinjiang, China
 
 
Font Type:
Arial Georgia Verdana
Font Size:
Aa Aa Aa
Line Spacing:
Column Width:
Background:
Article

Influence of Igneous Intrusions on Coal Flotation Feasibility: The Case of Moatize Mine, Mozambique

by
Pedro Maraschin Zancan
1,
Irineu Antônio Schadach De Brum
1,
Weslei Monteiro Ambrós
1,*,
Carlos Hoffmann Sampaio
2 and
Josep Oliva Moncunill
2
1
Mineral Processing Laboratory, Federal University of Rio Grande do Sul, 9500 Bento Gonçalves Avenue, Porto Alegre 91501-970, Brazil
2
Department of Mining, Industrial and ICT Engineering, Polytechnic University of Catalonia, 08240 Barcelona, Spain
*
Author to whom correspondence should be addressed.
Minerals 2023, 13(2), 161; https://doi.org/10.3390/min13020161
Submission received: 14 December 2022 / Revised: 15 January 2023 / Accepted: 19 January 2023 / Published: 21 January 2023
(This article belongs to the Special Issue Characterization, Processing and Utilization of Coal)

Abstract

In this study, the influence on the properties of coal caused by proximity with an igneous intrusion in the Moatize mine was evaluated, together with the possibility of beneficiating such coal in the flotation circuit of the plant. For this purpose, extensive characterizations of samples collected at different distances from the intrusion were carried out, followed by a lab-scale replication and analysis of the flotation conditions used in the Moatize plant. The results showed that coal was negatively affected by the closeness to the dyke, with it being unfeasible to beneficiate coal at a distance of 2 m from the geological contact. However, for a 20 m distance, it proved possible to achieve yields higher than 77% with ash contents below 10%, depending on the reagent system used.

1. Introduction

The Moatize coal mine, Mozambique, holds one of the largest coal reserves worldwide, with estimated recoverable reserves of 2.4 billion tons of coking and thermal coal [1]. The Moatize basin is concentrated within the Karoo Supergroup, in the Zambezi graben located in the Tete Province of Mozambique, which is characterized by the occurrence of numerous patterns of igneous activity [2,3]. Igneous intrusions occur mainly as doleritic dykes and sills, the local heating effects of which may significantly influence coal metamorphism. Due to this, it is not uncommon to discard coal extracted near igneous intrusions together with waste to avoid high variations in the characteristics of concentration plant feed streams.
When located near coal seams, igneous intrusions may significantly alter their physical and chemical properties due to the intense heating associated with the magmatic intrusion. Among the main factors influencing coal alteration, one can cite the temperature of the magmatic intrusive rock, the dominating heat transfer mechanism (convection and/or diffusion), the shape and volume/thickness of the intrusion, and the distance of the geological contact from the coal seam [4,5]. In general, altered coal suffers a decrease in the volatile matter and an increase in ash content and vitrinite reflectance in zones adjacent to an intrusion [6,7]. However, previous works also reported localized increasing in coal rank [8] and even the generation of natural coke due to the heating effect [9].
The Moatize mine produces both thermal and metallurgical coal. Although initially designed to produce up to 22 Mt per annum (Mtpa), the mine experienced a production decrease to 5.87 Mtpa in 2020 due to the impacts of the COVID-19 pandemic [10]. Despite this drawback, new operational improvements are planned to be implemented, including the incorporation of a new mining plan and the refurbishment of the Nacala Corridor railway, which transports beneficiated coal from Moatize to the Port of Nacala. In particular, delimiting and prioritizing ore bodies of higher quality to yield better products are among the primary goals of this improvement strategy.
In the mine, the Chipanga seam is the most important productive series, with 30–36 m thickness. There, run-of-mine (ROM) coal extracted from the open-pit mine is delivered to the processing plant, in which the feed is initially crushed in three stages and classified into three size fractions: −50 + 1 mm (coarse coal, yield 80%), −1 + 0.25 mm (fine coal, yield 10%), and −0.25 mm (ultrafine coal, yield 10%). The coarse fraction is subsequently beneficiated in two dense media cyclones using a rougher–cleaner configuration, whereas the fine fraction is processed in spirals or hindered-bed separators. More information about the gravity concentration circuit of the plant, with emphasis on the coarse coal treatment, can be found in a recent work by the authors [11].
The ultrafine size fraction is processed in two flotation columns operating in rougher–scavenger mode (Figure 1). Coal flotation is an established and widely documented technology, consisting of the separation of carbonaceous-rich particles (hydrophobic) from gangue minerals (hydrophilic) using air bubbles, which forms bubble/particle aggregates that are subsequently removed from the separating system [12]. During the process, flotation selectivity arises as a critical parameter due to the importance of obtaining coal with low ash content for the coking process. Thus, collector and frother reagents are commonly added to the pulp to facilitate bubble attachments and to help the maintenance of a stable froth, respectively [13]. The froth reagents currently used in the Moatize mine are Betacol 3 (BC3, a kerosene-based collector) and Betafroth 3 (BF3, an alcohol-based frother), but a second flotation plant using diesel oil as a collector agent and Methyl Isobutyl Carbinol (MIBC) as a frother agent has been planned to be built.
Within the aforementioned context and as part of a wider project aiming to analyze the influence of igneous intrusions on Moatize coal, this work aimed to investigate the suitability of beneficiation via the flotation of coal samples located at different distances from the contacts with an igneous intrusive structure in the mine. For this purpose, extensive characterizations of samples collected at different distances from the intrusion were carried out, followed by a lab-scale replication and analysis of the flotation conditions used in the Moatize plant. On the whole, the obtained results suggest it is not feasible to beneficiate coal too near the geological contact, but, depending on the reagent system, it is possible to obtain a concentrate with ash content lower than 10% when beneficiating coal extracted from a 20 m distance.

2. Materials and Methods

The experimental work was divided into two main steps: (1) sample preparation and characterization and (2) flotation essays. The following section details the procedures carried out in each step.

2.1. Samples Preparation and Characterization

The samples used in the study were collected from three different distances (2 m, 10 m, and 20 m) from the geological contact with a dolerite dyke, the most common magmatic intrusion occurring in the mine. The sampling scheme is depicted in Figure 2. About 100 kg of material was collected from each set distance and on both sides of the dyke. As samples were obtained in ROM grain size and without depth specification, we decided to homogenize the samples extracted from equal distances before shipping them to the laboratory for testing, thus totaling 200 kg of raw sample for each set distance from the dyke.
The samples were separately crushed to a top size of 32 mm and sized into three fractions (+ 1 mm, −1 + 0.25 mm, and −0.25 mm) via two-stage dry screening. The focus was to reclaim the ultrafine fraction (−0.25 mm), which is the feed size of the flotation circuit in the Moatize plant (see Figure 1). Thus, whereas the +1 mm size fraction was stored, the −1 + 0.25 mm was wet screened to ensure the total recovery of particles below 0.25 mm (Figure 3). After drying, this size fraction was riffled, and a representative portion was separated for the analysis of the volatile matter, fixed carbon, and ash content. On the other hand, the bulk of the −0.25 mm sample was assigned for the flotation essays.

2.2. Flotation Tests

Bench flotation experiments were carried out using a CDC flotation cell with an impeller speed of 1000 RPM. The run time was set at 5 min and divided into two stages: (a) the first 2 min of operation corresponded to the “rougher” step; (b) the last 3 min corresponded to the “scavenger” step (running with the non-froth fraction from the rougher) (Figure 4). This scheme was used with the purpose to reproduce the rougher–scavenger operation mode of the flotation circuit in the Moatize mine (Figure 1) and to avoid losses due to excessive material handling. Additionally, to replicate the plant operation, the rougher stage was set to receive 80% of the total reagents (collectors and frothers) at the aeration rate of 1 L/min, whereas the scavenger stage received the other 20% of reagents at an increasing aeration rate from 2 L/min to 4 L/min (+ 1 L/min increment). Figure 4 details this procedure.
The tests aimed to analyze the flotation performance considering the two reagent combinations to be used in the plant: (a) a Betacol 3 (BC3) collector plus Betafroth 3 (BF3) frother, and (b) a diesel oil collector plus Methyl Isobutyl Carbinol (MIBC) frother. In this sense, the variation in reagent dosage (g/ton) in each reagent combination was examined for each distance set from the dyke. Reagent dosage setting was carried out in two phases, so-called “preliminary” and “final” phases. In the first, the objective was to map the reagent concentration limits (maximum and minimum) in which the separation was feasible, so reagent dosages of 300, 150, and 75 g/ton were used, and tests were carried out in a 1.5 L flotation cell. In all cases, the collector–frother proportion was kept in 1:1 (for example, 150 g/ton collector + 150 g/ton frother). Preliminary tests were conducted with the sample “20 m” only for the reason described hereinafter (Section 3.2). After defining such limits, the final flotation tests were conducted in a 4L flotation cell with reagent dosages of 250, 200, 150, and 100 g/ton. In all cases, a constant solid content of 4% in mass was fixed, as it is the same value currently in use in the Moatize mine and also falls within the low pulp densities with which coal flotation is typically carried out [12]. The results obtained were evaluated in terms of mass recovery (yield), composition, and ash removal related to each concentrate produced (rougher plus scavenger):
A s h   r e m o v a l = 1 %   a s h   ( c o n c e n t r a t e ) %   a s h   ( f e e d )  

3. Results

3.1. Raw Samples Characterization

Figure 5 shows the size distribution of the raw coal samples. As can be seen, those closer to the dyke (2 and 10 m) displayed smoother distribution curves compared to the farther sample (20 m), which was expected to have properties more similar to the coal presently processed in the plant. Indeed, this sample presented 10.3% in mass of material below 0.25 mm, practically the same ROM coal fraction currently feeding the flotation circuit (Section 1). On the other hand, samples collected at 10 m and 2 m had only 7.6% and 3.7% in mass of coal in that fraction, indicating that a lower yield should be obtained when processing these portions under the current conditions or that additional comminution steps could be needed.
The properties of the raw coal samples for the different distances from the dyke are shown in Table 1. In general, the proximity with the dyke caused an overall reduction in coal quality, as can be noted by the progressive increase in ash and decrease in fixed carbon contents when approaching the dyke, thus reproducing the prevailing heating effect reported in the literature [6,7]. The higher ash contents, together with the already-mentioned lower amounts of material below 0.25 mm for samples nearby the dyke (especially 2 m), demonstrate that lower yields should be obtained as the result of feeding the plant with coal extracted closer to the geological contact. Notwithstanding, the inferior coal properties adjacent to the dyke do not necessarily impair its possibility of beneficiation, since its characteristics (for instance, 48% ash content for 2 m distance) are not much different from those observed in coal from other seams in the Moatize basin [11].

3.2. Preliminary Flotation Tests

Preliminary tests aimed to delineate the reagent dosage limits for the flotation of samples in each reagent system. Figure 6 shows the results obtained for 20 m sample considering the two reagent systems analyzed. On the whole, the BC3 + BF3 reagent system exhibited greater stability, here interpreted as the capacity to maintain near-steady separation efficiency even under varied operational conditions. For instance, considering all tested conditions, the average yield and ash content for the BC3 + BF3 system was 87.8% (±2.3%) and 14.5% (±1.4%), respectively, whereas for the OD + MIBC system, these values were 60.5% (±4.5%) and 12.4% (±6.4%). These results also indicate that, in general, a considerably higher yield could be obtained with the BC3 + BF3 system, although at the cost of slightly higher ash content in the froth.
Regarding the reagent dosage, the concentration of 300 g/ton exhibited the lowest selectivity (i.e., the preferential concentration of the desired fraction in the froth) in both systems, especially for the OD + MIBC combination in which the froth presented relatively high amounts of ash. On the other hand, the use of dosages of 75 and 150 g/ton showed fairly similar results in terms of selectivity, but using the last concentration resulted in somewhat higher yields.
The ash removal indexes resulting from each test are shown in Figure 7. As can be seen, a higher reagent concentration deteriorated the separation performance, which was reduced to a great extent for 300 g/ton. Ash removal for the OD + MIBC system was a negative value (−6.0%) for this dosage, indicating that the concentrate was even richer in ash than the feed. This tendency is in agreement with the recent work of Huang et al. [14], who found that higher frother concentrations (in this case, BF3 and MIBC) harm performance in terms of both froth recovery and separation efficiency. On the other hand, for the lower concentrations, the OD + MIBC system led to significantly higher ash removals, resulting in cleaner products with ash contents below 10%.
Thus, despite not being conclusive, the preliminary results for the 20 m sample indicated the overall performance was noticeably better for the BC3 + BF3 system in terms of yield, but better ash removal was achieved when using the OD + MIBC system. Additionally, the results point out that the optimum reagent dosage should probably be situated closer to the intermediary concentration (150 g/ton) and below 300 g/ton, with special attention to the froth concentrations. Considering these outcomes, and knowing that the 20 m sample was composed of coal of better quality than the others nearer the dyke (Table 1), the preliminary tests were limited to samples from that distance. In other words, it was assumed a priori that the general behavior displayed during the flotation of the higher-quality feed would be reproduced (with equal or lower efficiencies) when testing the other two cases. On this basis, the conditions for the final flotation experiments in the large cell (4L) were established as described in the following section.

3.3. Final Flotation Tests

Based on the results obtained in the preliminary experiments, the following conditions were adopted in the flotation essays: (a) the collector concentration was delimited in the range of 100–250 g/ton (nominal values: 100, 150, 200, and 250 g/ton) to minimize the undesired reduction in performance detected in the preliminary experiments and to test dosages closer to the intermediary concentration value (150 g/ton); (b) the frother concentrations (BF3 and MIBC) were fixed in 100 g/ton in an attempt to diminish their deleterious influence on separation when in excess.
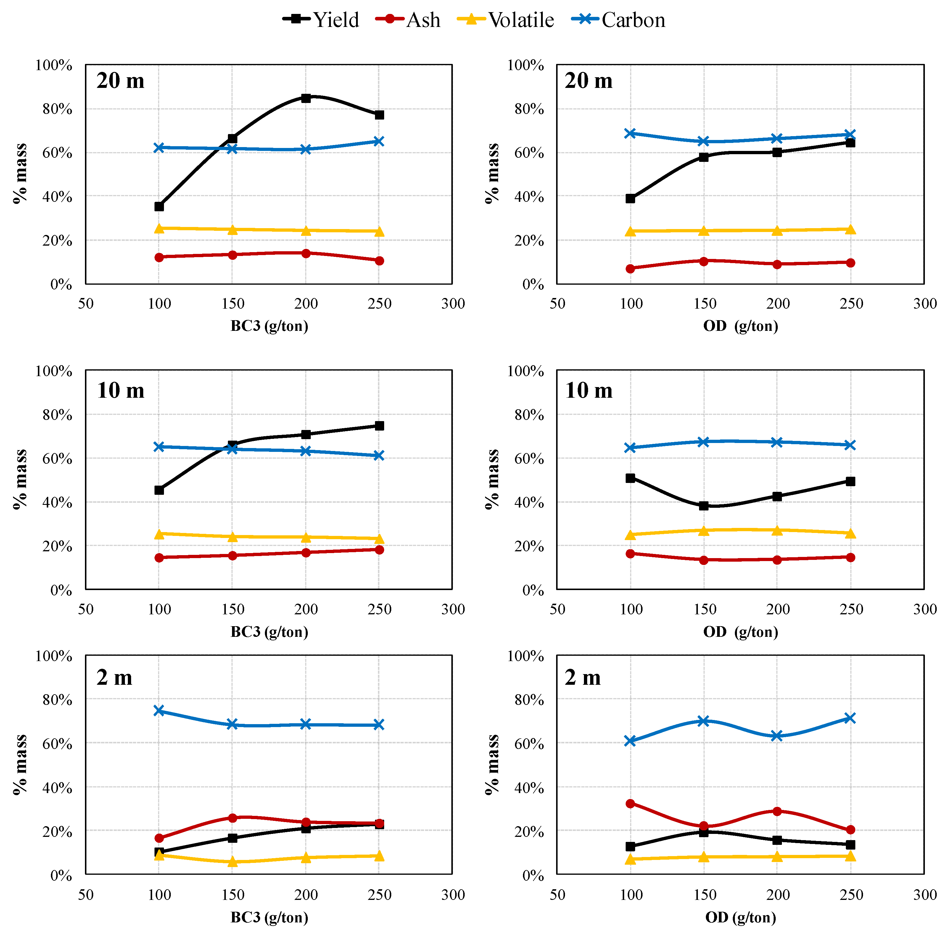
Figure 8 summarizes the results showing the yield, ash, volatile matter, and fixed carbon (% mass) of the obtained concentrates as a function of the dyke’s distance, reagent system, and collector dosage. In general, the yield was the most sensitive parameter, noticeably varying over different conditions. The average yields for the 20, 10, and 2 m samples were 60.8% (±16.9%), 54.8% (±13.8%), and 16.4% (±4.2%), respectively, demonstrating that, as a rule, the closer to the dyke the sample was, the lower the obtained yield was. The BC3 + BF3 system also displayed higher yields than the OD + MIBC one, with the average values (considering all distances) of 49.3% (±27.0%) and 38.7% (±19.0%), respectively. The relations between yield and collector dosages were less manifest, but some general trends could also be observed. With the exception of 10 m, OD + MIBC, relatively higher yields were obtained when using collector dosages above 100 g/ton, with peaks occurring in the range 150–250 g/ton depending on the distance and reagent system.
In contrast to the yield, the concentrate composition was relatively unaffected by the different tested conditions. For instance, the average carbon content in each distance and considering both reagent systems was 64.8% (±2.8%) for 20 m, 64.7% (±2.0%) for 10 m, and 68.0% (±4.3%) for 2 m. On the whole, the 20 and 10 m samples exhibited very similar concentrate compositions, whereas the 2 m sample presented some concentration peaks (e.g., 74% carbon content using BC3 + BF3) with overall higher ash content in the product.
Even less influential than the distance from the dyke was the reagent system used. In order to illustrate it, Figure 9a shows the correlation between product contents obtained when using the BC3 + BF3 system and the corresponding values for the OD + MIBC system. As can be noted, the high R2 value (equal to 0.96) suggests that the concentrate compositions in both systems were virtually the same, differing from the lower correlation existing between yields (Figure 9b). In summary, the results point out that the composition of the concentrate was not significantly influenced by the reagent system, but the yield was, thus making it advantageous to use the BC3 + BF3 system in this regard.
However, merely comparing the product’s yield and composition is not sufficient to evaluate the separation as a whole, as it also depends on the composition of the coal feed to the flotation system. In this regard, the proposed ash removal index (Equation (1)) can be useful, since reducing the ash content of coking and thermal coal underlies coal beneficiation processes. Figure 10 shows the evolution of ash removal indexes for the different conditions tested. The OD + MIBC system exhibited slightly higher selectivity, with an overall average ash removal of 48.0% (±8.0%) compared to 41.8% (±11.6%) in the BC3 + BF3 system. For low and intermediary reagent dosages (100 to 200 g/ton), opposite trends could be observed concerning the distance from the dyke: while the BC3 + BF3 system showed higher removals when approaching the dyke, the OD + MIBC system displayed better cleaning at larger distances.

4. Discussion

As previously referenced, the data obtained indicate that the distance from the dyke seems to play a greater role in influencing the flotation performance than the reagent system and collector dosage (considering the concentration ranges adopted). Thus, Table 2 summarizes the average characteristics of the products (frothers) obtained in all the tests for each dyke’s distance. Considering the yield and ash content as the major parameters to quantify separation efficiency, it can be seen that separation quality decreases with the dyke’s proximity. The beneficiation of ROM coal only 2 m away from the dyke would result in recovery 3.7 times lower and a product 2.4 times higher in ash than beneficiating coal 20 m away, indicating that the heat of formation of the dyke has negatively affected coal formation in that zone.
Additionally, taking into account the very low fraction of material below 0.25 mm for the 2 m sample (3.7% in mass; see Section 3.1), it is reasonable to presume that the beneficiation of coal too close (2 m) to the dyke is currently unfeasible since significantly extra costs for milling and beneficiation could be needed to guarantee production and/or concentration quality, with it perhaps even being unpractical to obtain the low ash contents (below 10%) currently practiced in the plant.
On the other hand, the flotation of coal 10 m from the dyke would not affect the yield much (considering the high standard deviation of the yield values) but would result in a product with higher ash content than processing coal extracted from 20 m. Notwithstanding, it may be assumed that feeding the plant with blends of coal layers situated at 20 and 10 m from the dyke could be considered as an option if the processing can be adapted to deal with the increment in the ash amount to be removed.
Figure 11 and Figure 12 illustrate the mass balances referring to the better separation scenarios experimentally obtained for each reagent system. Within the framework of this study, the best dosages were considered as those with generated concentrates that showed the lowest ash contents with yields of about 50% or more. As can be seen, the BC3 + BF3 system generated yields considerably higher than the OD + MIBC system (+17% in mass), although the last produced concentrates had slightly lower ash contents. In this sense, using the OD + MIBC system to process coal 20 m away from the dyke allowed us to obtain the lowest ash content of all concentrates (=9.1%), which was relatively close to the average content currently obtained in the Moatize plant (=7.5%).
It is reasonable to suppose that the comparably higher yield related to the use of the BC3 + BF3 system could make it a preferential choice, but the discreet gain in selectivity provided by the OD + MIBC system could be decisive when trying to produce a high-quality concentrate. Notwithstanding, deciding upon the most suitable reagent system for each set distance requires economic considerations that are beyond the scope of the current work. Finally, despite being considered unfeasible to process due to the reasons previously mentioned, it was demonstrated to be possible to achieve ash contents lower than 17% when beneficiating coal only 2 m away from the dyke, although the maximum yield achieved for this case was below 23% in mass for all tested cases.

5. Conclusions

In this study, the influence on the properties of coal caused by the proximity with an igneous intrusion (dyke) in the Moatize mine was evaluated, together with the possibility of beneficiating such coal in the flotation circuit of the plant. Based on the obtained results, the main conclusions of the work can be summarized as follows:
(a)
Coal was negatively affected by the closeness to the dyke: the closer to the dyke it was, the higher the ash content, the lower the carbon content, and the lower the fraction of fine material within the suitable size range for feeding the flotation circuit in the plant.
(b)
The feasibility of flotation was greater for coal samples collected further away from the intrusion. At a distance of 20 m, it proved possible to achieve yields higher than 77% with ash contents below 10%, depending on the reagent system, whereas for a 10 m distance, the better yield and ash content values were 66% and 14.7%, respectively. On the other hand, the results provide compelling evidence that is unfeasible to beneficiate coal at a distance of 2 m from a geological contact.
(c)
The flotation results point to the possibility of using either BC3 + BF3 or OD + MIBC reagent systems. However, the choice of which one is more suitable will depend on operational targets and cost-effectiveness analysis, since the first (BC3 + BF3) provided a higher yield, whereas the second (OD + MIBC) showed slightly better selectivity.

Author Contributions

Conceptualization, C.H.S. and I.A.S.D.B.; methodology, P.M.Z. and I.A.S.D.B.; validation, I.A.S.D.B.; formal analysis, P.M.Z. and W.M.A.; investigation, P.M.Z.; resources, C.H.S. and J.O.M.; data curation, P.M.Z.; writing—original draft preparation, W.M.A.; writing—review and editing, W.M.A. and C.H.S.; visualization, W.M.A.; supervision, I.A.S.D.B.; project administration, C.H.S. and I.A.S.D.B.; funding acquisition, C.H.S. and J.O.M. All authors have read and agreed to the published version of the manuscript.

Funding

This research was funded by Vales S.A. through the INSTITUTO TECNOLÓGICO VALE (ITV) as part of the project “Technological characterization of coals located near igneous intrusions in Moatize-Mozambique”.

Data Availability Statement

Not applicable.

Acknowledgments

The authors would like to thank the Instituto Tecnológico Vale (ITV), Brazil, for the funding and for providing the coal samples for testing.

Conflicts of Interest

The authors declare no conflict of interest.

References

  1. Hatton, W.; Fardell, A. New discoveries of coal in Mozambique—Development of the coal resource estimation methodology for International Resource Reporting Standards. Int. J. Coal Geol. 2012, 89, 2–12. [Google Scholar] [CrossRef]
  2. Cairncross, B. An overview of the Permian (Karoo) coal deposits of southern Africa. J. Afr. Earth Sci. 2001, 33, 529–562. [Google Scholar] [CrossRef]
  3. Lakshminarayana, G. Geology of Barcode type coking coal seams, Mecondezi sub-basin, Moatize Coalfield, Mozambique. Int. J. Coal Geol. 2015, 146, 1–13. [Google Scholar] [CrossRef]
  4. Chen, J.; Liu, G.; Li, H.; Wu, B. Mineralogical and geochemical responses of coal to igneous intrusion in the Pansan Coal Mine of the Huainan coalfield, Anhui, China. Int. J. Coal Geol. 2014, 124, 11–35. [Google Scholar] [CrossRef]
  5. Jaeger, J. Thermal effects of intrusions. Rev. Geophys. 1964, 2, 443–466. [Google Scholar] [CrossRef]
  6. Stewart, A.K.; Massey, M.; Padgett, P.L.; Rimmer, S.M.; Hower, J.C. Influence of a basic intrusion on the vitrinite reflectance and chemistry of the Springfield (No. 5) coal, Harrisburg, Illinois. Int. J. Coal Geol. 2005, 63, 58–67. [Google Scholar] [CrossRef]
  7. Yao, Y.; Liu, D.; Huang, W. Influences of igneous intrusions on coal rank, coal quality and adsorption capacity in Hongyang, Handan and Huaibei coalfields, North China. Int. J. Coal Geol. 2011, 88, 135–146. [Google Scholar] [CrossRef]
  8. Cooper, J.R.; Crelling, J.C.; Rimmer, S.M.; Whittington, A.G. Coal metamorphism by igneous intrusion in the Raton Basin, CO and NM: Implications for generation of volatiles. Int. J. Coal Geol. 2007, 71, 15–27. [Google Scholar] [CrossRef]
  9. Singh, A.K.; Sharma, M.; Singh, M.P. Genesis of natural cokes: Some Indian examples. Int. J. Coal Geol. 2008, 75, 40–48. [Google Scholar] [CrossRef]
  10. NS Energy Moatize Coal Mine. Available online: https://www.nsenergybusiness.com/projects/moatize-coal-mine/ (accessed on 4 May 2021).
  11. Sampaio, C.H.; Ambrós, W.M.; Cazacliu, B.; Moncunill, J.O.; José, D.S.; Miltzarek, G.L.; Brum, I.A.S.; Petter, C.O.; Fernandes, E.Z.; Oliveira, L.F.S. Destoning the Moatize Coal Seam, Mozambique, by Dry Jigging. Minerals 2020, 10, 771. [Google Scholar] [CrossRef]
  12. Laskowski, J. Coal Flotation and Fine Coal Utilization; Elsevier: Amsterdam, The Netherlands, 2001. [Google Scholar]
  13. Wills, B.A.; Finch, J. Wills’ Mineral Processing Technology: An Introduction to the Practical Aspects of Ore Treatment and Mineral Recovery; Butterworth-Heinemann: Oxford, UK, 2015. [Google Scholar]
  14. Huang, Q.; Yang, X.; Honaker, R.Q. Evaluation of frother types for improved flotation recovery and selectivity. Minerals 2019, 9, 590. [Google Scholar] [CrossRef]
Figure 1. Scheme of the flotation concentration process in the Moatize mine. The average ash content of feed and concentrate is about 21% and 7.5%, respectively.
Figure 1. Scheme of the flotation concentration process in the Moatize mine. The average ash content of feed and concentrate is about 21% and 7.5%, respectively.
Minerals 13 00161 g001
Figure 2. Sampling scheme according to the distance from the dyke.
Figure 2. Sampling scheme according to the distance from the dyke.
Minerals 13 00161 g002
Figure 3. Preparation of samples for testing.
Figure 3. Preparation of samples for testing.
Minerals 13 00161 g003
Figure 4. Flotation equipment and scheme of flotation testing procedures.
Figure 4. Flotation equipment and scheme of flotation testing procedures.
Minerals 13 00161 g004
Figure 5. Size distribution of the raw coal samples.
Figure 5. Size distribution of the raw coal samples.
Minerals 13 00161 g005
Figure 6. Flotation results (yield and froth composition) for the 20 m sample in the preliminary tests carried out.
Figure 6. Flotation results (yield and froth composition) for the 20 m sample in the preliminary tests carried out.
Minerals 13 00161 g006
Figure 7. Ash removal in the preliminary flotation tests with the 20 m sample.
Figure 7. Ash removal in the preliminary flotation tests with the 20 m sample.
Minerals 13 00161 g007
Figure 8. Flotation results (yield and concentrate composition) for the different tested conditions.
Figure 8. Flotation results (yield and concentrate composition) for the different tested conditions.
Minerals 13 00161 g008
Figure 9. Correlation curves for product content (a) and yield (b) values considering the two reagent systems tested.
Figure 9. Correlation curves for product content (a) and yield (b) values considering the two reagent systems tested.
Minerals 13 00161 g009
Figure 10. Ash removal indexes in function of distance from dyke for each reagent system tested.
Figure 10. Ash removal indexes in function of distance from dyke for each reagent system tested.
Minerals 13 00161 g010
Figure 11. Mass balances of the best beneficiation scenarios for each reagent system (20 m distance).
Figure 11. Mass balances of the best beneficiation scenarios for each reagent system (20 m distance).
Minerals 13 00161 g011
Figure 12. Mass balances of the best beneficiation scenarios for each reagent system (10 m distance).
Figure 12. Mass balances of the best beneficiation scenarios for each reagent system (10 m distance).
Minerals 13 00161 g012
Table 1. Variation in raw coal properties in function of the distance from the dyke.
Table 1. Variation in raw coal properties in function of the distance from the dyke.
Sample
(Meters from Dyke)
Density
(g/cm3)
% Weight
AshVolatile MatterFixed Carbon
22.0148.6810.5440.78
101.526.7821.252.02
201.4718.6323.4357.94
Table 2. Characteristics of beneficiated coal according to the distance from the dyke.
Table 2. Characteristics of beneficiated coal according to the distance from the dyke.
Index
(% Mass)
Mean Value (±SD)
20 m10 m2 m
Yield60.8% (±17.0%)54.8% (±13.8%)16.4% (±4.3%)
Ash10.9% (±2.3%)15.4% (±1.7%)24.1% (±4.9%)
Volatile24.7% (±0.5%)25.1% (±1.4%)7.9% (±1.0%)
Fixed carbon64.8% (±2.9%)64.7% (±2.1%)68.0% (±4.4%)
Disclaimer/Publisher’s Note: The statements, opinions and data contained in all publications are solely those of the individual author(s) and contributor(s) and not of MDPI and/or the editor(s). MDPI and/or the editor(s) disclaim responsibility for any injury to people or property resulting from any ideas, methods, instructions or products referred to in the content.

Share and Cite

MDPI and ACS Style

Zancan, P.M.; De Brum, I.A.S.; Ambrós, W.M.; Sampaio, C.H.; Moncunill, J.O. Influence of Igneous Intrusions on Coal Flotation Feasibility: The Case of Moatize Mine, Mozambique. Minerals 2023, 13, 161. https://doi.org/10.3390/min13020161

AMA Style

Zancan PM, De Brum IAS, Ambrós WM, Sampaio CH, Moncunill JO. Influence of Igneous Intrusions on Coal Flotation Feasibility: The Case of Moatize Mine, Mozambique. Minerals. 2023; 13(2):161. https://doi.org/10.3390/min13020161

Chicago/Turabian Style

Zancan, Pedro Maraschin, Irineu Antônio Schadach De Brum, Weslei Monteiro Ambrós, Carlos Hoffmann Sampaio, and Josep Oliva Moncunill. 2023. "Influence of Igneous Intrusions on Coal Flotation Feasibility: The Case of Moatize Mine, Mozambique" Minerals 13, no. 2: 161. https://doi.org/10.3390/min13020161

APA Style

Zancan, P. M., De Brum, I. A. S., Ambrós, W. M., Sampaio, C. H., & Moncunill, J. O. (2023). Influence of Igneous Intrusions on Coal Flotation Feasibility: The Case of Moatize Mine, Mozambique. Minerals, 13(2), 161. https://doi.org/10.3390/min13020161

Note that from the first issue of 2016, this journal uses article numbers instead of page numbers. See further details here.

Article Metrics

Back to TopTop