Late Campanian Climatic-Continental Weathering Assessment and Its Influence on Source Rocks Deposition in Southern Tethys, Egypt
Abstract
1. Introduction
2. Geological Background
3. Material and Methods
4. Results
4.1. Mineralogy
4.2. Whole-Rock Geochemistry
5. Discussion
5.1. Climatic Conditions
5.2. Chemical Weathering Trend
5.3. Salinity and Nutrient Fluxes
5.4. Controlling Factors on Deposition of Late Campanian Black Shales
6. Conclusion
- 1-
- The Late Campanian black shale in the Abu Tartur area was deposited under a humid/warm climate based on geochemical proxies such as Sr/Cu, Ga/Rb, Rb/Sr, K2O/Al2O3, Fe/Mn, Mg/Ca, C-value, CIA, and CIW, as well as clay mineralogy.
- 2-
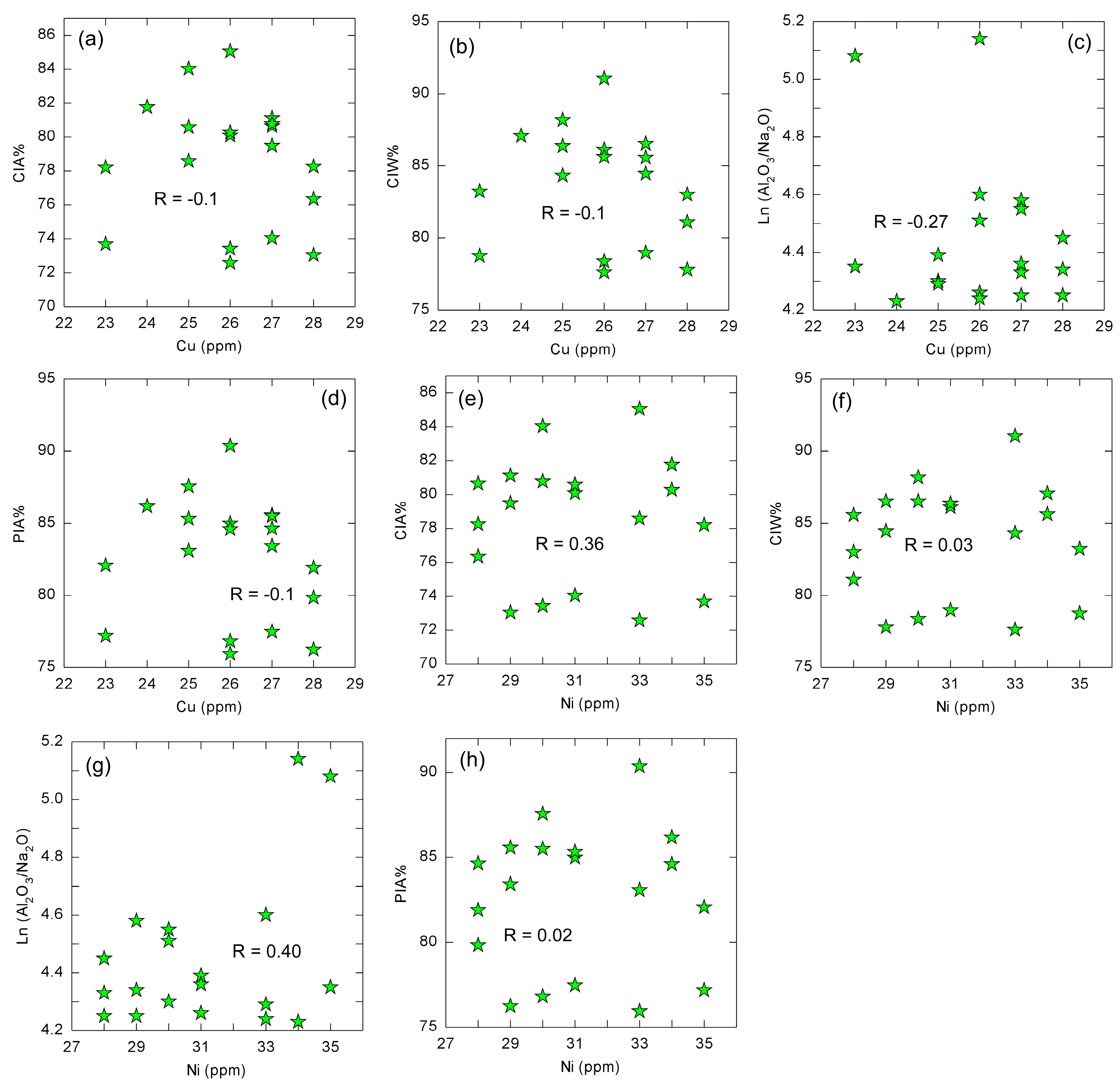
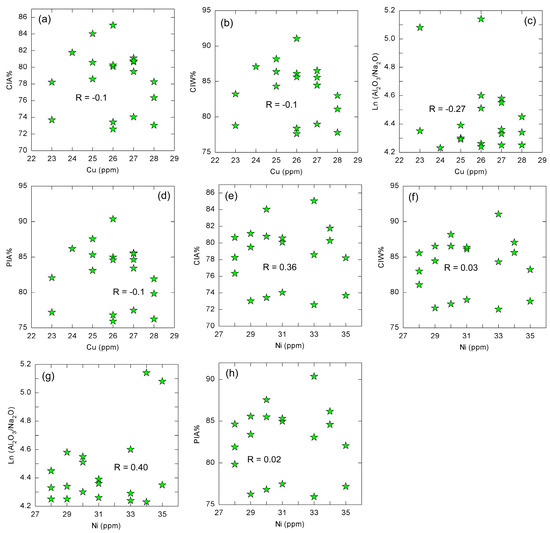
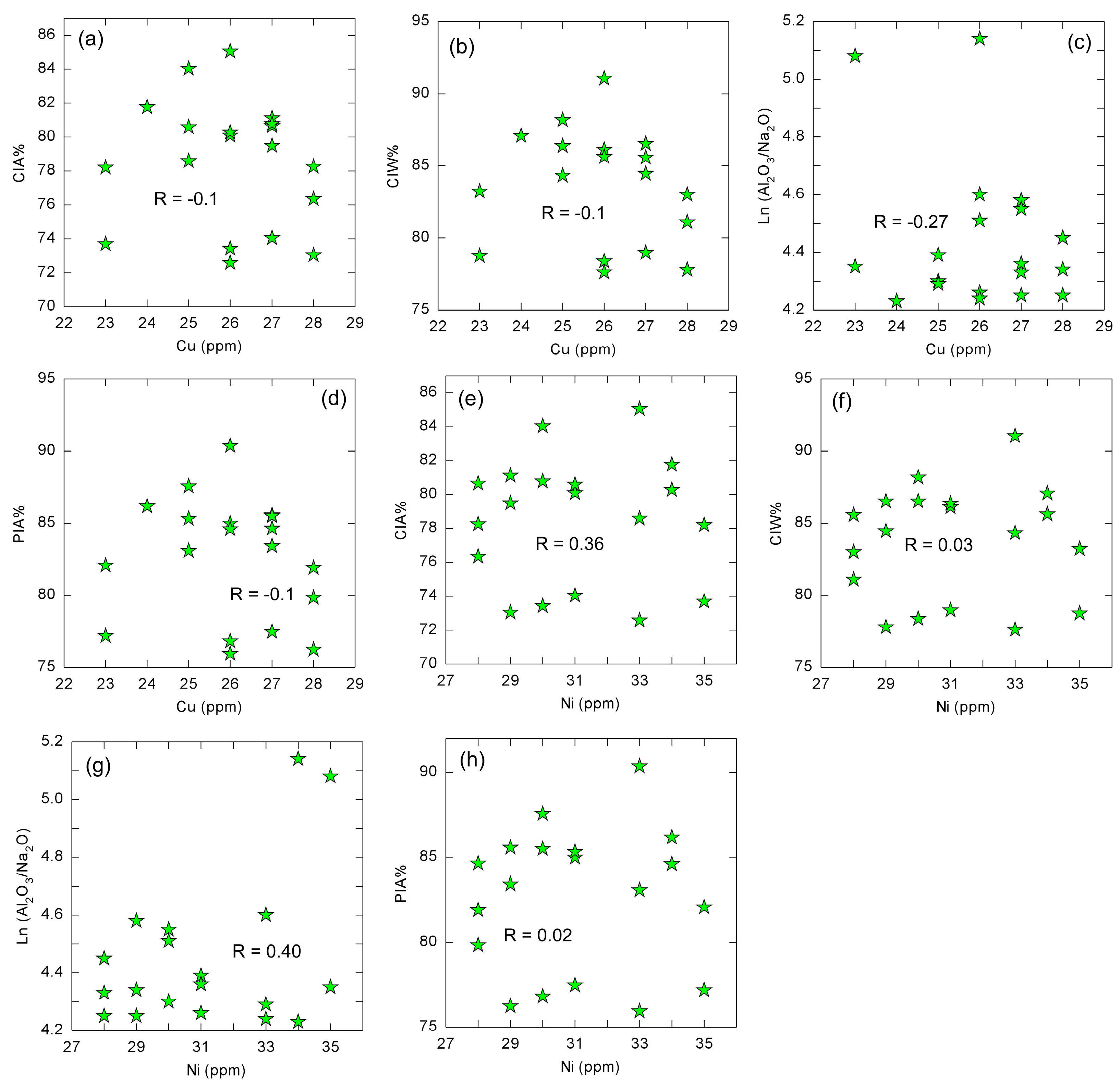
- The paleoweathering indices, such as CIA, PIA, CIW, and Ln Al2O3/Na2O, indicate that the studied samples experienced moderate chemical weathering.
- 3-
- The Campanian black shales were deposited under highly saline conditions with sufficient nutrient input.
- 4-
- The hydrographic settings played a fundamental role during late Campanian black shale sedimentation and improve the chemical weathering. Meanwhile, the climate has little influence on seawater salinity. Additionally, paleoweathering has a negligible impact on the nutrient inputs during the deposition of Late Campanian black shales.
Author Contributions
Funding
Data Availability Statement
Acknowledgments
Conflicts of Interest
References
- Keller, G. Cretaceous climate, volcanism, impacts, and biotic effects. Cretac. Res. 2008, 29, 754–771. [Google Scholar] [CrossRef]
- Miller, K.G.; Wright, J.D.; Browning, J.V. Visions of ice sheets in a greenhouse world. Mar. Geol. 2005, 217, 215–231. [Google Scholar] [CrossRef]
- Peizhen, Z.; Molnar, P.; Downs, W.R. Increased sedimentation rates and grain sizes 2–4 Myr ago due to the influence of climate change on erosion rates. Nature 2001, 410, 891–897. [Google Scholar] [CrossRef] [PubMed]
- Zhang, B.; Cheng, W.; Zhang, Q.; Li, Y.; Sun, P.; Fathy, D. Occurrence Patterns and Enrichment Influencing Factors of Trace Elements in Paleogene Coal in the Fushun Basin, China. ACS Earth Space Chem. 2022, 6, 3031–3042. [Google Scholar] [CrossRef]
- Raymo, M.E.; Ruddiman, W.F.; Froelich, P.N. Influence of late Cenozoic mountain building on ocean geochemical cycles. Geology 1988, 16, 649–653. [Google Scholar] [CrossRef]
- Armstrong, H.A.; Abbott, G.D.; Turner, B.R.; Makhlouf, I.M.; Muhammad, A.B.; Pedentchouk, N.; Peters, H. Black shale deposition in an Upper Ordovician–Silurian permanently stratified, peri-glacial basin, southern Jordan. Palaeogeogr. Palaeoclimatol. Palaeoecol. 2009, 273, 368–377. [Google Scholar] [CrossRef]
- Fathy, D.; Wagreich, M.; Sami, M. Geochemical Evidence for Photic Zone Euxinia During Greenhouse Climate in the Tethys Sea, Egypt. In Geophysics, Tectonics and Petroleum Geosciences. CAJG 2019. Advances in Science, Technology and Innovation; Springer: Cham, Switzerland, 2022; pp. 373–374. [Google Scholar] [CrossRef]
- Glenn, C.R.; Arthur, M.A. Anatomy and origin of a Cretaceous phosphorite-greensand giant, Egypt. Sedimentology 1990, 37, 123–154. [Google Scholar] [CrossRef]
- Lasheen, E.S.R.; Zakaly, H.M.H.; Alotaibi, B.M.; Saadawi, D.A.; Ene, A.; Fathy, D.; Awad, H.A.; El Attar, R.M. Radiological Risk Parameters of the Phosphorite Deposits, Gebel Qulu El Sabaya: Natural Radioactivity and Geochemical Characteristics. Minerals 2022, 12, 1385. [Google Scholar] [CrossRef]
- Banerjee, S.; Farouk, S.; Nagm, E.; Choudhury, T.R.; Meena, S.S. High Mg-glauconite in the Campanian Duwi Formation of Abu Tartur Plateau, Egypt and its implications. J. Afr. Earth Sci. 2019, 156, 12–25. [Google Scholar] [CrossRef]
- El-Azabi, M.H.; Farouk, S. High-resolution sequence stratigraphy of the Maastrichtian-Ypresian succession along the eastern scarp face of Kharga Oasis, southern Western Desert, Egypt. Sedimentology 2011, 58, 579–617. [Google Scholar] [CrossRef]
- Fathy, D.; Wagreich, M.; Ntaflos, T.; Sami, M. Provenance Characterization of Campanian Lacustrine Organic-Rich Mudstones on the Southern Tethyan Margin, Egypt. ACS Earth Space Chem. 2021, 5, 197–209. [Google Scholar] [CrossRef]
- Van Houten, F.B.; Bhattacharyya, D.P.; Mansour, S.E.I. Cretaceous Nubia Formation and correlative deposits, eastern Egypt: Major regressive-transgressive complex. Geol. Soc. Am. Bull. 1984, 95, 397. [Google Scholar] [CrossRef]
- El Ayyat, A.M. Lithostratigraphy, sedimentology, and cyclicity of the Duwi Formation (late Cretaceous) at Abu Tartur plateau, Western Desert of Egypt: Evidences for reworking and redeposition. Arab. J. Geosci. 2015, 8, 99–124. [Google Scholar] [CrossRef]
- Brown, G.; Brindley, G.W. X-ray Diffraction Procedures for Clay Mineral Identification. In Crystal Structures of Clay Minerals and their X-ray Identification; Brindley, G.W., Brown, G., Eds.; Mineralogical Society of Great Britain and Ireland: London, UK, 1980; Volume 5. [Google Scholar]
- Moore, D.M.; Reynolds, R.C., Jr. X-ray Diffraction and the Identification and Analysis of Clay Minerals; Oxford University Press (OUP): Oxford, UK, 1989. [Google Scholar]
- Schultz, L.G. Quantitative Interpretation of Mineralogical Composition from X-ray and Chemical Data for the Pierre Shale; US Geological Survey Professional Paper 391-C; U.S. Government Printing Office: Washington, DC, USA, 1964.
- Sami, M.; El Monsef, M.A.; Abart, R.; Toksoy-Köksal, F.; Abdelfadil, K.M. Unraveling the Genesis of Highly Fractionated Rare-Metal Granites in the Nubian Shield via the Rare-Earth Elements Tetrad Effect, Sr–Nd Isotope Systematics, and Mineral Chemistry. ACS Earth Space Chem. 2022, 6, 2368–2384. [Google Scholar] [CrossRef]
- Lerman, A.; Imboden, D.M.; Gat, J.R.; Chou, L. Physics and Chemistry of Lakes; Springer: Berlin, Germany, 1995. [Google Scholar]
- Fathy, D.; Wagreich, M.; Gier, S.; Mohamed, R.S.A.; Zaki, R.; El Nady, M.M. Maastrichtian oil shale deposition on the southern Tethys margin, Egypt: Insights into greenhouse climate and paleoceanography. Palaeogeogr. Palaeoclimatol. Palaeoecol. 2018, 505, 18–32. [Google Scholar] [CrossRef]
- Xu, J.; Liu, Z.; Bechtel, A.; Meng, Q.; Sun, P.; Jia, J.; Cheng, L.; Song, Y. Basin evolution and oil shale deposition during Upper Cretaceous in the Songliao Basin (NE China): Implications from sequence stratigraphy and geochemistry. Int. J. Coal Geol. 2015, 149, 9–23. [Google Scholar] [CrossRef]
- Cao, J.; Wu, M.; Chen, Y.; Hu, K.; Bian, L.; Wang, L.; Zhang, Y. Trace and rare earth element geochemistry of Jurassic mudstones in the northern Qaidam Basin, northwest China. Geochemistry 2012, 72, 245–252. [Google Scholar] [CrossRef]
- Fathy, D.; Wagreich, M.; Ntaflos, T.; Sami, M. Paleoclimatic variability in the southern Tethys, Egypt: Insights from the mineralogy and geochemistry of Upper Cretaceous lacustrine organic-rich deposits. Cretac. Res. 2021, 126, 104880. [Google Scholar] [CrossRef]
- Qiu, X.; Liu, C.; Mao, G.; Deng, Y.; Wang, F.; Wang, J. Major, trace and platinum-group element geochemistry of the Upper Triassic nonmarine hot shales in the Ordos basin, Central China. Appl. Geochem. 2015, 53, 42–52. [Google Scholar] [CrossRef]
- Nesbitt, H.W.; Young, G.M. Early Proterozoic climates and plate motions inferred from major element chemistry of lutites. Nature 1982, 299, 715–717. [Google Scholar] [CrossRef]
- McLennan, S.M.; Hemming, S.; McDaniel, D.K.; Hanson, G.N.; Johnsson, M.J.; Basu, A. Geochemical approaches to sedimentation, provenance, and tectonics. In Processes Controlling the Composition of Clastic Sediments; Geological Society of America: Boulder, CO, USA, 1993; Volume 284. [Google Scholar]
- Harnois, L. The CIW index: A new chemical index of weathering. Sediment. Geol. 1988, 55, 319–322. [Google Scholar] [CrossRef]
- Fedo, C.M.; Wayne Nesbitt, H.; Young, G.M. Unraveling the effects of potassium metasomatism in sedimentary rocks and paleosols, with implications for paleoweathering conditions and provenance. Geology 1995, 23, 921–924. [Google Scholar] [CrossRef]
- Deng, H.; Qian, K. Sedimentary geochemistry and environmental analysis. Gansu Sci. Technol. Press Lanzhou 1993, 18–31. [Google Scholar]
- Taylor, S.R.; McLennan, S.M. The Continental Crust: Its Composition and Evolution; Blackwell Scientific Pub.: Palo Alto, CA, USA, 1985; p. 328. [Google Scholar]
- Gaillardet, J.; Dupré, B.; Louvat, P.; Allègre, C.J. Global silicate weathering and CO2 consumption rates deduced from the chemistry of large rivers. Chem. Geol. 1999, 159, 3–30. [Google Scholar] [CrossRef]
- Suttner, L.J.; Dutta, P.K. Alluvial sandstone composition and paleoclimate, I. Framework mineralogy. J. Sediment. Res. 1986, 56. [Google Scholar]
- Martinez-Ruiz, F.; Kastner, M.; Gallego-Torres, D.; Rodrigo-Gámiz, M.; Nieto-Moreno, V.; Ortega-Huertas, M. Paleoclimate and paleoceanography over the past 20,000 yr in the Mediterranean Sea Basins as indicated by sediment elemental proxies. Quat. Sci. Rev. 2015, 107, 25–46. [Google Scholar] [CrossRef]
- Hieronymus, B.; Kotschoubey, B.; Boulègue, J. Gallium behaviour in some contrasting lateritic profiles from Cameroon and Brazil. J. Geochem. Explor. 2001, 72, 147–163. [Google Scholar] [CrossRef]
- Roy, D.K.; Roser, B.P. Climatic control on the composition of Carboniferous–Permian Gondwana sediments, Khalaspir basin, Bangladesh. Gondwana Res 2013, 23, 1163–1171. [Google Scholar] [CrossRef]
- He, J.; Ding, W.; Jiang, Z.; Jiu, K.; Li, A.; Sun, Y. Mineralogical and chemical distribution of the Es3L oil shale in the Jiyang Depression, Bohai Bay Basin (E China): Implications for paleoenvironmental reconstruction and organic matter accumulation. Mar. Pet. Geol. 2017, 81, 196–219. [Google Scholar] [CrossRef]
- Li, Q.; Wu, S.; Xia, D.; You, X.; Zhang, H.; Lu, H. Major and trace element geochemistry of the lacustrine organic-rich shales from the Upper Triassic Chang 7 Member in the southwestern Ordos Basin, China: Implications for paleoenvironment and organic matter accumulation. Mar. Pet. Geol. 2020, 111, 852–867. [Google Scholar] [CrossRef]
- Deng, T.; Li, Y.; Wang, Z.; Yu, Q.; Dong, S.; Yan, L.; Hu, W.; Chen, B. Geochemical characteristics and organic matter enrichment mechanism of black shale in the Upper Triassic Xujiahe Formation in the Sichuan basin: Implications for paleoweathering, provenance and tectonic setting. Mar. Pet. Geol. 2019, 109, 698–716. [Google Scholar] [CrossRef]
- Zaid, S.M.; El-Badry, O.A.; Akarish, A.M.; Mohamed, M.A. Provenance, weathering, and paleoenvironment of the Upper Cretaceous Duwi black shales, Aswan Governorate, Egypt. Arab. J. Geosci. 2018, 11, 1–17. [Google Scholar] [CrossRef]
- Singer, A. The paleoclimatic interpretation of clay minerals in sediments—A review. Earth-Sci. Rev. 1984, 21, 251–293. [Google Scholar] [CrossRef]
- Liu, Z.; Colin, C.; Huang, W.; Le, K.P.; Tong, S.; Chen, Z.; Trentesaux, A. Climatic and tectonic controls on weathering in south China and Indochina Peninsula: Clay mineralogical and geochemical investigations from the Pearl, Red, and Mekong drainage basins. Geochem. Geophys. Geosystems 2007, 8, 1–18. [Google Scholar] [CrossRef]
- Fathy, D.; Wagreich, M.; Zaki, R.; Mohamed, R.S.A.; Gier, S. Geochemical fingerprinting of Maastrichtian oil shales from the Central Eastern Desert, Egypt: Implications for provenance, tectonic setting, and source area weathering. Geol. J. 2018, 53, 2597–2612. [Google Scholar] [CrossRef]
- Nesbitt, H.W.; Young, G.M. Prediction of some weathering trends of plutonic and volcanic rocks based on thermodynamic and kinetic considerations. Geochim. Et Cosmochim. Acta 1984, 48, 1523–1534. [Google Scholar] [CrossRef]
- Armstrong-Altrin, J.S.; Lee, Y.I.; Verma, S.P.; Ramasamy, S. Geochemistry of Sandstones from the Upper Miocene Kudankulam Formation, Southern India: Implications for Provenance, Weathering, and Tectonic Setting. J. Sediment. Res. 2004, 74, 285–297. [Google Scholar] [CrossRef]
- Ma, Y.; Fan, M.; Lu, Y.; Liu, H.; Hao, Y.; Xie, Z.; Liu, Z.; Peng, L.; Du, X.; Hu, H. Climate-driven paleolimnological change controls lacustrine mudstone depositional process and organic matter accumulation: Constraints from lithofacies and geochemical studies in the Zhanhua Depression, eastern China. Int. J. Coal Geol. 2016, 167, 103–118. [Google Scholar] [CrossRef]
- Condie, K.C. Chemical composition and evolution of the upper continental crust: Contrasting results from surface samples and shales. Chem. Geol. 1993, 104, 1–37. [Google Scholar] [CrossRef]
- Wang, A.; Wang, Z.; Liu, J.; Xu, N.; Li, H. The Sr/Ba ratio response to salinity in clastic sediments of the Yangtze River Delta. Chem. Geol. 2021, 559, 119923. [Google Scholar] [CrossRef]
- Wei, W.; Algeo, T.J. Elemental proxies for paleosalinity analysis of ancient shales and mudrocks. Geochim. Et Cosmochim. Acta 2020, 287, 341–366. [Google Scholar] [CrossRef]
- Zerkle, A.L.; House, C.H.; Brantley, S.L. Biogeochemical signatures through time as inferred from whole microbial genomes. Am. J. Sci. 2005, 305, 467–502. [Google Scholar] [CrossRef]
- Algeo, T.J.; Ingall, E. Sedimentary Corg:P ratios, paleocean ventilation, and Phanerozoic atmospheric pO2. Palaeogeogr. Palaeoclimatol. Palaeoecol. 2007, 256, 130–155. [Google Scholar] [CrossRef]
- Zhao, J.; Jin, Z.; Jin, Z.; Geng, Y.; Wen, X.; Yan, C. Applying sedimentary geochemical proxies for paleoenvironment interpretation of organic-rich shale deposition in the Sichuan Basin, China. Int. J. Coal Geol. 2016, 163, 52–71. [Google Scholar] [CrossRef]
- Wagner, T.; Hofmann, P.; Flögel, S. Marine black shale deposition and Hadley Cell dynamics: A conceptual framework for the Cretaceous Atlantic Ocean. Mar. Pet. Geol. 2013, 43, 222–238. [Google Scholar] [CrossRef]
- Yan, D.; Wang, H.; Fu, Q.; Chen, Z.; He, J.; Gao, Z. Organic matter accumulation of Late Ordovician sediments in North Guizhou Province, China: Sulfur isotope and trace element evidences. Mar. Pet. Geol. 2015, 59, 348–358. [Google Scholar] [CrossRef]
- Guidry, M.W.; Mackenzie, F.T. Apatite weathering and the Phanerozoic phosphorus cycle. Geology 2000, 28, 631–634. [Google Scholar] [CrossRef]










| Sample | AT 01 | AT 02 | AT 03 | AT 04 | AT 05 | AT 06 | AT 07 | AT 08 | AT 09 | AT 10 | AT 11 | AT 12 | AT 13 | AT 14 | AT 15 | AT 16 | AT 17 | AT 18 | AT 19 |
|---|---|---|---|---|---|---|---|---|---|---|---|---|---|---|---|---|---|---|---|
| SiO2 | 55.05 | 58.18 | 56.80 | 56.63 | 58.61 | 56.46 | 58.23 | 53.11 | 55.79 | 58.35 | 54.67 | 55.44 | 58.18 | 58.61 | 54.32 | 56.26 | 56.77 | 54.32 | 55.09 |
| TiO2 | 0.91 | 0.91 | 0.96 | 0.95 | 1.18 | 1.11 | 1.07 | 0.02 | 0.02 | 0.02 | 0.02 | 0.02 | 0.02 | 1.14 | 1.15 | 1.11 | 1.12 | 1.11 | 1.08 |
| Al2O3 | 18.21 | 19.16 | 18.92 | 18.28 | 20.68 | 17.31 | 17.58 | 21.50 | 20.20 | 22.90 | 18.88 | 20.80 | 19.30 | 21.47 | 19.98 | 19.39 | 19.55 | 19.94 | 18.64 |
| Fe2O3 | 9.71 | 6.29 | 6.66 | 6.91 | 5.90 | 7.25 | 8.66 | 10.20 | 10.92 | 10.60 | 11.40 | 10.20 | 10.20 | 6.46 | 6.41 | 7.07 | 6.51 | 8.23 | 7.24 |
| MnO | 0.04 | 0.04 | 0.01 | 0.02 | 0.01 | 0.02 | 0.04 | 0.01 | 0.01 | 0.01 | 0.02 | 0.01 | 0.01 | 0.02 | 0.04 | 0.05 | 0.03 | 0.06 | 0.05 |
| MgO | 2.72 | 2.68 | 2.43 | 2.42 | 2.04 | 2.27 | 2.54 | 2.21 | 3.14 | 4.63 | 5.41 | 4.08 | 3.10 | 2.36 | 3.38 | 4.72 | 5.90 | 4.24 | 3.01 |
| CaO | 1.86 | 1.50 | 1.57 | 1.66 | 1.32 | 1.52 | 1.87 | 1.68 | 1.57 | 1.07 | 1.74 | 1.62 | 1.37 | 2.57 | 2.87 | 2.87 | 2.68 | 2.94 | 2.59 |
| Na2O | 0.26 | 0.27 | 0.25 | 0.26 | 0.28 | 0.10 | 0.11 | 0.22 | 0.25 | 0.23 | 0.26 | 0.22 | 0.28 | 0.25 | 0.22 | 0.28 | 0.25 | 0.26 | 0.24 |
| K2O | 1.23 | 1.55 | 1.25 | 1.25 | 1.07 | 1.24 | 1.25 | 1.53 | 1.55 | 1.64 | 1.51 | 1.58 | 1.33 | 1.52 | 1.59 | 1.60 | 1.52 | 1.54 | 1.50 |
| P2O5 | 0.23 | 0.10 | 0.15 | 0.19 | 0.15 | 0.15 | 0.21 | 0.10 | 0.10 | 0.10 | 0.10 | 0.10 | 0.10 | 0.08 | 0.09 | 0.12 | 0.10 | 0.14 | 0.09 |
| LOI | 10.22 | 11.31 | 11.68 | 12.05 | 9.47 | 13.39 | 9.14 | 9.93 | 7.57 | 2.81 | 6.98 | 6.59 | 6.81 | 6.35 | 10.07 | 6.92 | 5.96 | 7.39 | 11.16 |
| K2O/Al2O3 | 0.07 | 0.08 | 0.07 | 0.07 | 0.05 | 0.07 | 0.07 | 0.07 | 0.08 | 0.07 | 0.08 | 0.08 | 0.07 | 0.07 | 0.08 | 0.08 | 0.08 | 0.08 | 0.08 |
| CIA% | 78.3 | 80.1 | 80.6 | 79.5 | 84 | 80.3 | 78.2 | 81.1 | 80.6 | 85 | 78.6 | 80.8 | 81.8 | 76.3 | 73.4 | 72.6 | 74.0 | 73.0 | 73.7 |
| CIW% | 83.0 | 86.1 | 85.6 | 84.5 | 88.2 | 85.6 | 83.2 | 86.5 | 86.4 | 91.04 | 84.3 | 86.5 | 87.1 | 81.1 | 78.4 | 77.6 | 78.96 | 77.8 | 78.8 |
| Ln (Al2O3/Na2O) | 4.25 | 4.26 | 4.33 | 4.25 | 4.30 | 5.14 | 5.08 | 4.58 | 4.39 | 4.60 | 4.29 | 4.55 | 4.23 | 4.45 | 4.51 | 4.24 | 4.36 | 4.34 | 4.35 |
| PIA% | 81.90 | 84.98 | 84.63 | 83.41 | 87.55 | 84.59 | 82.07 | 85.56 | 85.31 | 90.36 | 83.08 | 85.49 | 86.17 | 79.83 | 76.81 | 75.94 | 77.47 | 76.24 | 77.18 |
| Mg/Ca | 1.23 | 1.51 | 1.31 | 1.23 | 1.30 | 1.26 | 1.15 | 1.11 | 1.69 | 3.65 | 2.62 | 2.13 | 1.91 | 0.77 | 0.99 | 1.39 | 1.86 | 1.22 | 0.98 |
| Fe/Mn | 219 | 142 | 602 | 312. | 533 | 422 | 201 | 703 | 753 | 669 | 664 | 703 | 693 | 376 | 164 | 140 | 209 | 96 | 156 |
| Sample | AT 01 | AT 02 | AT 03 | AT 04 | AT 05 | AT 06 | AT 07 | AT 08 | AT 09 | AT 10 | AT 11 | AT 12 | AT 13 | AT 14 | AT 15 | AT 16 | AT 17 | AT 18 | AT 19 |
|---|---|---|---|---|---|---|---|---|---|---|---|---|---|---|---|---|---|---|---|
| Rb | 33 | 37 | 34 | 33 | 32 | 17 | 15 | 15 | 29 | 15 | 35 | 28 | 25 | 32 | 35 | 37 | 31 | 35 | 33 |
| Sr | 287 | 332 | 291 | 286 | 281 | 281 | 300 | 239 | 287 | 214 | 199 | 250 | 244 | 281 | 298 | 298 | 271 | 279 | 272 |
| Cu | 28 | 26 | 27 | 27 | 25 | 26 | 23 | 27 | 25 | 26 | 25 | 27 | 24 | 28 | 26 | 26 | 27 | 28 | 23 |
| Ga | 21 | 22 | 22 | 21 | 21 | 25 | 24 | 23 | 24 | 21 | 21 | 25 | 22 | 22 | 23 | 25 | 23 | 23 | 24 |
| Ba | 94 | 85 | 102 | 106 | 111 | 110 | 152 | 69 | 72 | 71 | 67 | 66 | 66 | 61 | 88 | 42 | 100 | 49 | 62 |
| Co | 16 | 19 | 17 | 17 | 18 | 17 | 18 | 17 | 19 | 17 | 17 | 18 | 16 | 19 | 17 | 16 | 19 | 19 | 16 |
| Cr | 107 | 100 | 104 | 96 | 99 | 112 | 108 | 96 | 102 | 106 | 106 | 100 | 103 | 110 | 99 | 102 | 107 | 98 | 104 |
| Ni | 28 | 31 | 28 | 29 | 30 | 34 | 35 | 29 | 31 | 33 | 33 | 30 | 34 | 28 | 30 | 33 | 31 | 29 | 35 |
| V | 154 | 149 | 156 | 151 | 150 | 175 | 166 | 154 | 151 | 149 | 150 | 152 | 164 | 155 | 150 | 153 | 157 | 154 | 163 |
| C-value | 1.62 | 1.06 | 1.22 | 1.25 | 1.26 | 1.42 | 1.52 | 1.79 | 1.70 | 1.46 | 1.34 | 1.40 | 1.71 | 0.96 | 0.81 | 0.77 | 0.72 | 0.75 | 1.14 |
| Sr/Cu | 10.25 | 12.77 | 10.78 | 10.59 | 11.24 | 10.96 | 13.04 | 8.85 | 11.34 | 8.23 | 7.93 | 9.35 | 10.05 | 10.04 | 11.44 | 11.68 | 9.89 | 10.11 | 11.59 |
| Rb/Sr | 0.11 | 0.11 | 0.12 | 0.12 | 0.11 | 0.06 | 0.05 | 0.06 | 0.10 | 0.07 | 0.18 | 0.11 | 0.10 | 0.11 | 0.12 | 0.12 | 0.11 | 0.13 | 0.12 |
| Ga/Rb | 0.64 | 0.59 | 0.65 | 0.64 | 0.66 | 1.46 | 1.64 | 1.53 | 0.83 | 1.42 | 0.61 | 0.88 | 0.89 | 0.68 | 0.65 | 0.66 | 0.74 | 0.66 | 0.74 |
| Sr/Ba | 3.05 | 3.91 | 2.85 | 2.70 | 2.53 | 2.56 | 1.98 | 3.48 | 4.01 | 3.01 | 2.98 | 3.77 | 3.71 | 4.63 | 3.39 | 7.06 | 2.71 | 5.73 | 4.41 |
| Ni/Al | 2.91 | 3.06 | 2.80 | 3.00 | 2.74 | 3.74 | 3.79 | 2.55 | 2.90 | 2.72 | 3.30 | 2.73 | 3.33 | 2.46 | 2.84 | 3.22 | 3.00 | 2.75 | 3.55 |
| Cu/Al | 2.91 | 2.56 | 2.70 | 2.79 | 2.28 | 2.80 | 2.48 | 2.37 | 2.37 | 2.15 | 2.51 | 2.43 | 2.38 | 2.46 | 2.46 | 2.49 | 2.65 | 2.62 | 2.38 |
Disclaimer/Publisher’s Note: The statements, opinions and data contained in all publications are solely those of the individual author(s) and contributor(s) and not of MDPI and/or the editor(s). MDPI and/or the editor(s) disclaim responsibility for any injury to people or property resulting from any ideas, methods, instructions or products referred to in the content. |
© 2023 by the authors. Licensee MDPI, Basel, Switzerland. This article is an open access article distributed under the terms and conditions of the Creative Commons Attribution (CC BY) license (https://creativecommons.org/licenses/by/4.0/).
Share and Cite
Fathy, D.; Abart, R.; Wagreich, M.; Gier, S.; Ahmed, M.S.; Sami, M. Late Campanian Climatic-Continental Weathering Assessment and Its Influence on Source Rocks Deposition in Southern Tethys, Egypt. Minerals 2023, 13, 160. https://doi.org/10.3390/min13020160
Fathy D, Abart R, Wagreich M, Gier S, Ahmed MS, Sami M. Late Campanian Climatic-Continental Weathering Assessment and Its Influence on Source Rocks Deposition in Southern Tethys, Egypt. Minerals. 2023; 13(2):160. https://doi.org/10.3390/min13020160
Chicago/Turabian StyleFathy, Douaa, Rainer Abart, Michael Wagreich, Susanne Gier, Mohamed S. Ahmed, and Mabrouk Sami. 2023. "Late Campanian Climatic-Continental Weathering Assessment and Its Influence on Source Rocks Deposition in Southern Tethys, Egypt" Minerals 13, no. 2: 160. https://doi.org/10.3390/min13020160
APA StyleFathy, D., Abart, R., Wagreich, M., Gier, S., Ahmed, M. S., & Sami, M. (2023). Late Campanian Climatic-Continental Weathering Assessment and Its Influence on Source Rocks Deposition in Southern Tethys, Egypt. Minerals, 13(2), 160. https://doi.org/10.3390/min13020160

