Removal of Aluminum from Synthetic Rare Earth Leach Solution by Selective Complexation and Turbidity Point Extraction
Abstract
:1. Introduction
2. Experimental Materials and Methods
2.1. Experimental Materials
2.2. Analytical Test Instruments
2.3. Experimental Methods
2.4. Experimental Factors
2.5. Detection of Rare Earth Elements and Aluminum Content in the Solution
3. Results and Discussion
3.1. Effect of pH and Reaction Temperature and Balance Time on the Efficiency of Aluminum Extraction
3.2. Effect of the Amount of Glutamic Acid and Triton X-114 and Reaction Time on the Efficiency of Aluminum Extraction
3.3. Al Extraction Efficiency of Glutamic Acid in Mixed Solutions with High Rare Earth Concentration
3.4. Effect of Hydrochloric Acid Concentration on the Reverse Extraction Efficiency
3.5. Effect of Organic to Aqueous Phase Ratio on the Reverse Extraction Efficiency
3.6. Effect of Reaction Temperature on Reverse Extraction Efficiency
3.7. The Effect of Balance Time on the Reverse Extraction Efficiency
3.8. UV Spectrophotometric Study on the Complexation Reaction of Glutamic Acid with Aluminum
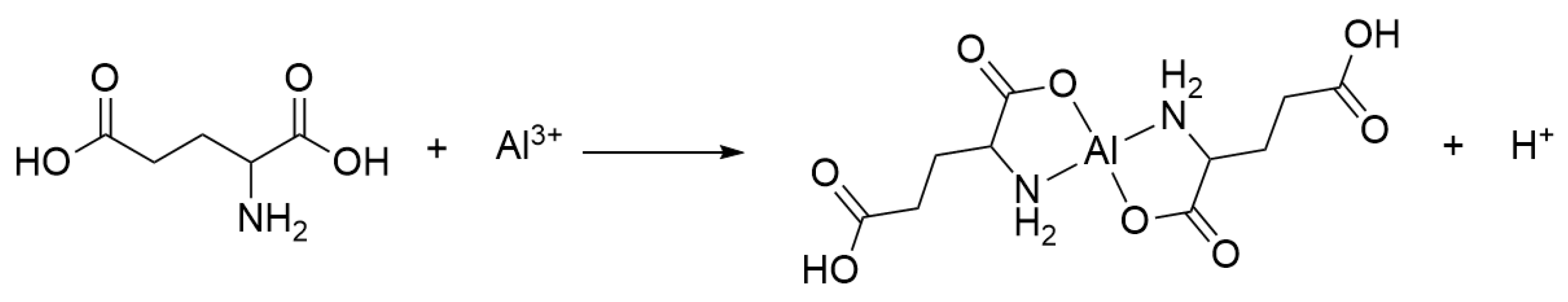
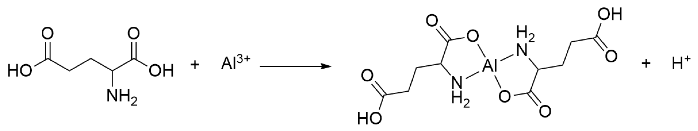
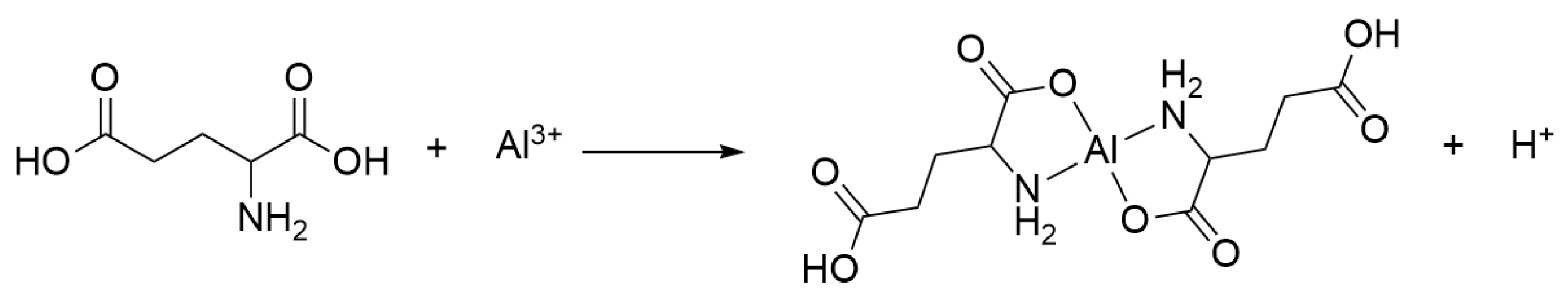
3.9. Study on the Mechanism of Aluminum Extraction by Turbidity Point Extraction of Glutamic Acid
3.10. Extraction Capacity and Extraction Separation Factor
4. Conclusions
Author Contributions
Funding
Data Availability Statement
Conflicts of Interest
References
- Lin, F.; Ma, X.; Chen, Z.; Gong, H.; Xu, M. Rare earth-doped Ni/MgAl2O4 catalysts prepared via a one-step sol–gel method for steam reforming of volatile organic solvents at low temperatures. Appl. Catal. B Environ. 2023, 340, 123212. [Google Scholar] [CrossRef]
- Bian, Q.; Wan, H.; Wang, L.; Ma, S.; Li, S.; He, M.; Zhu, G. Rare-earth free far-red emitting perovskite phosphor NaYBa4W2O12:Mn4+ for indoor plant cultivation lighting. J. Lumin. 2023, 265, 120225. [Google Scholar] [CrossRef]
- Shao, Y.; Xu, J.; Wei, M.; Wang, H.; Lin, L.; Fan, F.; Feng, X.; Zhang, P.; Gao, F. Rare-earth zirconate high-entropy nanofibrous porous ceramics for high-temperature thermal insulation applications. J. Eur. Ceram. Soc. 2023, 43, 7635–7643. [Google Scholar] [CrossRef]
- Wang, D.; Qin, S.; Sun, J.; Huang, H. Toward deformability enhancement of rare earth magnesium alloy by pulsed current. Mater. Sci. Eng. A 2023, 878, 145238. [Google Scholar] [CrossRef]
- Delette, G. Nd2Fe14B permanent magnets substituted with non-critical light rare earth elements (Ce, La): A review. J. Magn. Magn. Mater. 2023, 577, 170768. [Google Scholar] [CrossRef]
- He, Q.; Chen, J.; Gan, L.; Gao, M.; Zan, M.; Xiao, Y. Insight into leaching of rare earth and aluminum from ion adsorption type rare earth ore: Adsorption and desorption. J. Rare Earths 2023, 41, 1398–1407. [Google Scholar] [CrossRef]
- Yang, L.; Li, C.; Wang, D.; Li, F.; Liu, Y.; Zhou, X.; Liu, M.; Wang, X.; Li, Y. Leaching ion adsorption rare earth by aluminum sulfate for increasing efficiency and lowering the environmental impact. J. Rare Earths 2019, 37, 429–436. [Google Scholar] [CrossRef]
- Ismail, S.A.; Mustaffar, M.I.; Ibrahim, M.H.; Othman, N. Preparation of high purity silica from silica rock by leaching process: Optical application. Mater. Today Proc. 2023; in press. [Google Scholar] [CrossRef]
- He, Q.; Qiu, J.; Chen, J.; Zan, M.; Xiao, Y. Progress in green and efficient enrichment of rare earth from leaching liquor of ion adsorption type rare earth ores. J. Rare Earths 2022, 40, 353–364. [Google Scholar] [CrossRef]
- Zeng, Z.; Gao, Y.; Liu, C.; Sun, X. A novel functionalized ionic liquid [DOC4mim][DEHG] for impurity removal of aluminum in rare earth leaching solution. Sep. Purif. Technol. 2022, 296, 121388. [Google Scholar] [CrossRef]
- Wu, G.; Liao, W. Removal of aluminum from chloride leach solutions of rare earths using 3-((bis(2-ethylhexyloxy))phosphoryl)-3-phenylpropanoic acid (PPPA). Hydrometallurgy 2022, 208, 105825. [Google Scholar] [CrossRef]
- Hu, K.; Xing, L.; Nie, Y.; Li, X.; Dong, H.; Gao, H. Removal of aluminum to obtain high purity gadolinium with pyridinium-based ionic liquids. Hydrometallurgy 2022, 213, 105930. [Google Scholar] [CrossRef]
- Ni, S.; Yu, G.; Gao, Y.; Zhang, S.; Su, H.; Sun, X. Tailored hydrophobic deep eutectic solvent for removing trace aluminum impurity to produce high-purity GdCl. Sep. Purif. Technol. 2023, 314, 123620. [Google Scholar] [CrossRef]
- Li, W.; Guo, J.; Du, H.; Wang, D.; Cao, J.; Wang, Z. Selective removal of aluminum ions from rare earth solutions by using ion-imprinted polymers. Sep. Purif. Technol. 2022, 286, 120486. [Google Scholar] [CrossRef]
- Yu, G.; Zeng, Z.; Gao, Y.; Ni, S.; Zhang, H.; Sun, X. Separation of aluminum from rare earth by solvent extraction with4-octyloxybenzoic acid. J. Rare Earths 2023, 41, 290–299. [Google Scholar] [CrossRef]
- Zhou, H.; Xie, F.; He, K.; Zhang, Y.; Luo, X. Significantly enhance the removal of aluminum from yttrium rich rare earth lixivium by using decyl glucoside as precipitant. Miner. Eng. 2023, 195, 108044. [Google Scholar] [CrossRef]
- Li, J.; Gao, Y.; Gao, Y.; Chen, Z.; Wang, R.; Xu, Z. Study on aluminum removal through 5-sulfosalicylic acid targeting complexing and D290 resin adsorption. Miner. Eng. 2020, 147, 106175. [Google Scholar] [CrossRef]
- Wang, Y.; Li, J.; Gao, Y.; Yang, Y.; Gao, Y.; Xu, Z. Removal of aluminum from rare-earth leaching solutions via a complexation-precipitation process. Hydrometallurgy 2020, 191, 105220. [Google Scholar] [CrossRef]
- Wang, Y.; Wang, Y.; Su, X.; Zhou, H.; Sun, X. Complete separation of aluminum from rare earths using two-stage solvent extraction. Hydrometallurgy 2018, 179, 181–187. [Google Scholar] [CrossRef]
- Frankewich, R.P.; Hinze, W.L. Evaluation and Optimization of the Factors Affecting Nonionic Surfactant-Mediated Phase Separations. Anal. Chem. 1994, 66, 944–954. [Google Scholar] [CrossRef]
- Hinze, W.L.; Pramauro, E. A critical review of surfactant-mediated phase separations (cloud-point extractions): Theory and applications. Crit. Rev. Anal. Chem. 1993, 24, 133–177. [Google Scholar] [CrossRef]
- Quina, F.H.; Hinze, W.L. Surfactant-mediated cloud point extractions: An environmentally benign alternative separation approach. Ind. Eng. Chem. Res. 1999, 38, 4150–4168. [Google Scholar] [CrossRef]
- Liu, K. Research on the Process and Hydrodynamics of Impurity Leaching of Weathered Crust Drenched Rare Earth Ore. Master’s Thesis, Wuhan University of Engineering, Wuhan, China, 2013. [Google Scholar]
- Wang, R.; Gao, F. Structural chemistry of rare earth-amino acid complexes. Chem. Bull. 1996, 59, 14–20. [Google Scholar]
- Xing, Y. Study on the Synthesis Conditions and Determination Method of Amino Acid Metal Ion Chelate. Master’s Thesis, Huazhong Agricultural University, Hangzhou, China, 2011. [Google Scholar]



















| Element | Al2O3 | Fe2O3 | Y2O3 | La2O3 | CeO2 | Pr6O11 | Nd2O3 | Gd2O3 | Else |
| Content/% | 0.14 | 0.089 | 25.63 | 13.85 | 1.95 | 16.78 | 15.23 | 4.43 | 21.901 |
Disclaimer/Publisher’s Note: The statements, opinions and data contained in all publications are solely those of the individual author(s) and contributor(s) and not of MDPI and/or the editor(s). MDPI and/or the editor(s) disclaim responsibility for any injury to people or property resulting from any ideas, methods, instructions or products referred to in the content. |
© 2023 by the authors. Licensee MDPI, Basel, Switzerland. This article is an open access article distributed under the terms and conditions of the Creative Commons Attribution (CC BY) license (https://creativecommons.org/licenses/by/4.0/).
Share and Cite
Gao, L.; Wang, Y.; Oyang, J.; Gao, Y.; Liu, J.; Wang, R.; Xu, Z.; Li, J. Removal of Aluminum from Synthetic Rare Earth Leach Solution by Selective Complexation and Turbidity Point Extraction. Minerals 2023, 13, 1462. https://doi.org/10.3390/min13121462
Gao L, Wang Y, Oyang J, Gao Y, Liu J, Wang R, Xu Z, Li J. Removal of Aluminum from Synthetic Rare Earth Leach Solution by Selective Complexation and Turbidity Point Extraction. Minerals. 2023; 13(12):1462. https://doi.org/10.3390/min13121462
Chicago/Turabian StyleGao, Liang, Yan Wang, Jian Oyang, Yang Gao, Jinbiao Liu, Ruixiang Wang, Zhifeng Xu, and Jinhui Li. 2023. "Removal of Aluminum from Synthetic Rare Earth Leach Solution by Selective Complexation and Turbidity Point Extraction" Minerals 13, no. 12: 1462. https://doi.org/10.3390/min13121462
APA StyleGao, L., Wang, Y., Oyang, J., Gao, Y., Liu, J., Wang, R., Xu, Z., & Li, J. (2023). Removal of Aluminum from Synthetic Rare Earth Leach Solution by Selective Complexation and Turbidity Point Extraction. Minerals, 13(12), 1462. https://doi.org/10.3390/min13121462

