Determination of Geographic Origin of Turquoise by Combining Laser Ablation Inductively Coupled Plasma Mass Spectrometry Analysis and Chemometrics
Abstract
:1. Introduction
2. Materials and Methods
2.1. Reagents and Materials
2.2. Instrument
2.3. Samples and Sampling
2.4. Statistical Analysis
3. Results and Discussion
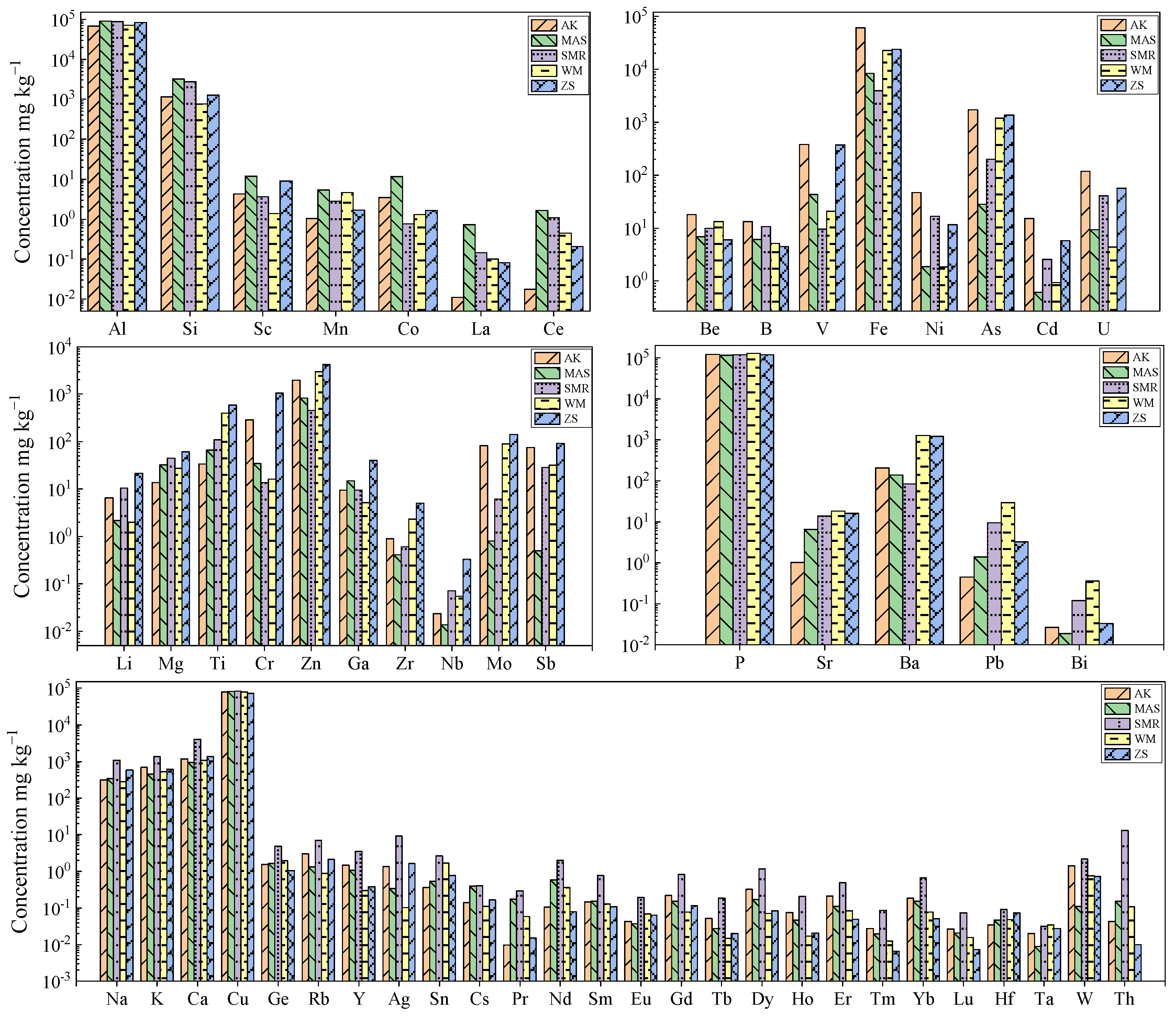
3.1. Multi-Elemental Concentration
3.2. Principal Component Analysis
3.3. Combined Variable Selection Based on Random Forest Importance Analysis and Principal Component Analysis
3.4. Linear Discriminant Analysis
4. Conclusions
Supplementary Materials
Author Contributions
Funding
Data Availability Statement
Acknowledgments
Conflicts of Interest
References
- Nikbakht, T. Investigation of Turquoise Gemstone Using Micro-PIXE Imaging Technique. Nucl. Instrum. Methods Phys. Res. Sect. B Beam Interact. Mater. At. 2020, 484, 5–11. [Google Scholar] [CrossRef]
- Taghipour, B.; Mackizadeh, M.A. The Origin of the Tourmaline-Turquoise Association Hosted in Hydrothermally Altered Rocks of the Kuh-Zar Cu-Au-Turquoise Deposit, Damghan, Iran. Neues Jahrb. Für Geol. Und Paläontologie Abh. 2014, 272, 61–77. [Google Scholar] [CrossRef]
- Weigand, P.C.; Harbottle, G.; Sayre, E.V. Turquoise sources and source analysis: Mesoamerica and the southwestern U.S.A. Exch. Syst. Prehistory 1977, 1, 15–34. [Google Scholar] [CrossRef]
- Fritsch, E.; McClure, S.F.; Ostrooumov, M.; Andres, Y.; Moses, T.; Koivula, J.I.; Kammerling, R.C. The Identification of Zachery-Treated Turquoise. Gems Gemol. 1999, 35, 4–16. [Google Scholar] [CrossRef]
- Thibodeau, A.M.; Killick, D.; Hedquist, S.L.; Chesley, J.T.; Ruiz, J. Isotopic Evidence for the Provenance of Turquoise in the Southwestern United States. Geol. Soc. Am. Bull. 2015, 127, 1617–1631. [Google Scholar] [CrossRef]
- Shirdam, B.; Shen, A.H.; Yang, M.; Mokhtari, Z.; Fazliani, H. Persian Turquoise: The Ancient Treasure of Neyshabur. Gems Gemol. 2021, 57, 240–257. [Google Scholar] [CrossRef]
- Chen, Q.; Yin, Z.; Qi, L.; Xiong, Y. Turquoise from Zhushan County, Hubei Province, China. Gems Gemol. 2012, 48, 198–204. [Google Scholar] [CrossRef]
- Zhang, Z.; Shen, A.-H. Fluorescence and Phosphorescence Spectroscopies and Their Applications in Gem Characterization. Minerals 2023, 13, 626. [Google Scholar] [CrossRef]
- Othmane, G.; Hull, S.; Fayek, M.; Rouxel, O.; Lahd Geagea, M.; Kyser, T.K. Hydrogen and Copper Isotope Analysis of Turquoise by SIMS: Calibration and Matrix Effects. Chem. Geol. 2015, 395, 41–49. [Google Scholar] [CrossRef]
- Hull, S.; Fayek, M.; Mathien, F.J.; Shelley, P.; Durand, K.R. A New Approach to Determining the Geological Provenance of Turquoise Artifacts Using Hydrogen and Copper Stable Isotopes. J. Archaeol. Sci. 2008, 35, 1355–1369. [Google Scholar] [CrossRef]
- Consonni, R. Laura Ruth Cagliani Nuclear Magnetic Resonance and Chemometrics to Assess Geographical Origin and Quality of Traditional Food Products. Adv. Food Nutr. Res. 2010, 59, 87–165. [Google Scholar] [CrossRef] [PubMed]
- Vitale, R.; Bevilacqua, M.; Bucci, R.; Magrì, A.D.; Magrì, A.L.; Marini, F. A Rapid and Non-Invasive Method for Authenticating the Origin of Pistachio Samples by NIR Spectroscopy and Chemometrics. Chemom. Intell. Lab. Syst. 2013, 121, 90–99. [Google Scholar] [CrossRef]
- Tahir, H.E.; Arslan, M.; Mahunu, G.K.; Mariod, A.A.; Hashim, S.B.; Xiaobo, Z.; Jiyong, S.; El-Seedi, H.R.; Musa, T.H. The Use of Analytical Techniques Coupled with Chemometrics for Tracing the Geographical Origin of Oils: A Systematic Review (2013–2020). Food Chem. 2022, 366, 130633. [Google Scholar] [CrossRef]
- Silva, C.S.; Borba, F.d.S.L.; Pimentel, M.F.; Pontes, M.J.C.; Honorato, R.S.; Pasquini, C. Classification of Blue Pen Ink Using Infrared Spectroscopy and Linear Discriminant Analysis. Microchem. J. 2013, 109, 122–127. [Google Scholar] [CrossRef]
- Chen, X.; Xun, Y.; Li, W.; Zhang, J. Combining Discriminant Analysis and Neural Networks for Corn Variety Identification. Comput. Electron. Agric. 2010, 71, S48–S53. [Google Scholar] [CrossRef]
- Gajek, M.; Pawlaczyk, A.; Szynkowska-Jozwik, M.I. Multi-Elemental Analysis of Wine Samples in Relation to Their Type, Origin, and Grape Variety. Molecules 2021, 26, 214. [Google Scholar] [CrossRef]
- Coetzee, P.P.; Steffens, F.E.; Eiselen, R.J.; Augustyn, O.P.; Balcaen, L.; Vanhaecke, F. Multi-Element Analysis of South African Wines by ICP−MS and Their Classification according to Geographical Origin. J. Agric. Food Chem. 2005, 53, 5060–5066. [Google Scholar] [CrossRef]
- Soares, F.; Anzanello, M.J.; Fogliatto, F.S.; Caetano, M.; Ferrão, M.F.; Manfroi, V.; Pozebon, D. Element Selection and Concentration Analysis for Classifying South America Wine Samples according to the Country of Origin. Comput. Electron. Agric. 2018, 150, 33–40. [Google Scholar] [CrossRef]
- Liu, X.; Zhao, Y.; Mu, J.; Zhang, J.; Zhang, A. Determination of Geographical Origin of Concentrated Apple Juice through Analysis of Stable Isotopic and Mineral Elemental Fingerprints: Preliminary Results. J. Sci. Food Agric. 2021, 101, 3795–3803. [Google Scholar] [CrossRef]
- Liu, X.; Mu, J.; Tan, D.; Mao, K.; Zhang, J.; Sadiq, F.A.; Sang, Y.; Zhang, A. Application of Stable Isotopic and Mineral Elemental Fingerprints in Identifying the Geographical Origin of Concentrated Apple Juice in China. Food Chem. 2022, 391, 133269. [Google Scholar] [CrossRef]
- von Wuthenau, K.; Segelke, T.; Kuschnereit, A.; Fischer, M. Glass Authentication: Laser Ablation-Inductively Coupled Plasma Mass Spectrometry (LA-ICP-MS) for Origin Discrimination of Glass Bottles. Talanta 2021, 235, 122686. [Google Scholar] [CrossRef]
- Katsurada, Y.; Sun, Z.; Breeding, C.M.; Dutrow, B.L. Geographic Origin Determination of Paraiba Tourmaline. Gems Gemol. 2019, 55, 648–659. [Google Scholar] [CrossRef]
- Luo, Z.; Yang, M.; Shen, A.H. Origin Determination of Dolomite-Related White Nephrite through Iterative-Binary Linear Discriminant Analysis. Gems Gemol. 2015, 1, 300–311. [Google Scholar] [CrossRef]
- Su, Y.; Yang, M. Combining Rare Earth Element Analysis and Chemometric Method to Determine the Geographical Origin of Nephrite. Minerals 2022, 12, 1399. [Google Scholar] [CrossRef]
- Zhang, Z.; Ye, M.; Shen, A.H. Characterisation of Peridot from China’s Jilin Province and from North Korea. J. Gemmol. 2019, 36, 436–446. [Google Scholar] [CrossRef]
- Liu, Y.; Hu, Z.; Gao, S.; Günther, D.; Xu, J.; Gao, C.; Chen, H. In Situ Analysis of Major and Trace Elements of Anhydrous Minerals by LA-ICP-MS without Applying an Internal Standard. Chem. Geol. 2008, 257, 34–43. [Google Scholar] [CrossRef]
- Lin, J.; Liu, Y.; Yang, Y.-H.; Hu, Z. Calibration and Correction of LA-ICP-MS and LA-MC-ICP-MS Analyses for Element Contents and Isotopic Ratios. Solid Earth Sci. 2016, 1, 5–27. [Google Scholar] [CrossRef]
- Luo, T. LA-ICP-MS Imaging Analysis of Gem-Quality Tourmaline: A Novel Method for Direct Identification of Chromophore in Gemstone Samples. At. Spectrosc. 2022, 44, 1–7. [Google Scholar] [CrossRef]
- Guillong, M.; Günther, D. Quasi “Non-Destructive” Laser Ablation-Inductively Coupled Plasma-Mass Spectrometry Fingerprinting of Sapphires. Spectrochim. Acta Part B At. Spectrosc. 2001, 56, 1219–1231. [Google Scholar] [CrossRef]
- Su, Y.; Yang, M. A Multi-Strategy Linear Discriminant Analysis (LDA) Method Coupled with Laser Ablation Inductively Coupled Plasma Mass Spectrometry (LA-ICP-MS) for Discriminating the Geographical Origin of Nephrite. J. Anal. At. Spectrom. 2023, 38, 667–680. [Google Scholar] [CrossRef]
- Bindereif, S.; Rüll, F.; Schwarzinger, S.; Schwarzinger, C. Chemometric Modeling of Trace Element Data for Origin Determination of Demantoid Garnets. Minerals 2020, 10, 1046. [Google Scholar] [CrossRef]
- Wang, H.A.O.; Krzemnicki, M.S. Multi-Element Analysis of Minerals Using Laser Ablation Inductively Coupled Plasma Time of Flight Mass Spectrometry and Geochemical Data Visualization Using T-Distributed Stochastic Neighbor Embedding: Case Study on Emeralds. J. Anal. At. Spectrom. 2021, 36, 518–527. [Google Scholar] [CrossRef]
- Carter, A.K.; Dussubieux, L. Geologic Provenience Analysis of Agate and Carnelian Beads Using Laser Ablation-Inductively Coupled Plasma-Mass Spectrometry (LA-ICP-MS): A Case Study from Iron Age Cambodia and Thailand. J. Archaeol. Sci. Rep. 2016, 6, 321–331. [Google Scholar] [CrossRef]
- Pornwilard, M.-M.; Hansawek, R.; Shiowatana, J.; Siripinyanond, A. Geographical Origin Classification of Gem Corundum Using Elemental Fingerprint Analysis by Laser Ablation Inductively Coupled Plasma Mass Spectrometry. Int. J. Mass Spectrom. 2011, 306, 57–62. [Google Scholar] [CrossRef]
- Resano, M.; Vanhaecke, F.; Hutsebaut, D.; De Corte, K.; Moens, L. Possibilities of Laser Ablation-Inductively Coupled Plasma-Mass Spectrometry for Diamond Fingerprinting. J. Anal. At. Spectrom. 2003, 18, 1238. [Google Scholar] [CrossRef]
- Foord, E.E.; Taggart, J.E. A Reexamination of the Turquoise Group: The Mineral Aheylite, Planerite (Redefined), Turquoise and Coeruleolactite. Mineral. Mag. 1998, 62, 93–111. [Google Scholar] [CrossRef]
- Liu, L.; Yang, M.; Liu, R.; He, C. Study on EDXRF Method of Turquoise Composition. Spectrosc. Spectr. Anal. 2018, 38, 1910–1916. [Google Scholar] [CrossRef]
- Zhou, Q.; Wang, C.; Shen, A.H. Application of High-Temperature Copper Diffusion in Surface Recoloring of Faceted Labradorites. Minerals 2022, 12, 920. [Google Scholar] [CrossRef]
- Wang, X.; Guo, Y. The Impact of Trace Metal Cations and Absorbed Water on Colour Transition of Turquoise. R. Soc. Open Sci. 2021, 8, 201110. [Google Scholar] [CrossRef]
- Fei, H.; Fan, Z.; Wang, C.; Zhang, N.; Wang, T.; Chen, R.; Bai, T. Cotton Classification Method at the County Scale Based on Multi-Features and Random Forest Feature Selection Algorithm and Classifier. Remote Sens. 2022, 14, 829. [Google Scholar] [CrossRef]
- Chavent, M.; Genuer, R.; Saracco, J. Combining Clustering of Variables and Feature Selection Using Random Forests. Commun. Stat. Simul. Comput. 2019, 50, 426–445. [Google Scholar] [CrossRef]
- Menze, B.H.; Kelm, B.M.; Masuch, R.; Himmelreich, U.; Bachert, P.; Petrich, W.; Hamprecht, F.A. A Comparison of Random Forest and Its Gini Importance with Standard Chemometric Methods for the Feature Selection and Classification of Spectral Data. BMC Bioinform. 2009, 10, 213. [Google Scholar] [CrossRef] [PubMed]
- Rodionova, O.Y.; Titova, A.V.; Pomerantsev, A.L. Discriminant Analysis Is an Inappropriate Method of Authentication. TrAC Trends Anal. Chem. 2016, 78, 17–22. [Google Scholar] [CrossRef]








| Group | Sample | Site Name | Country | Quantity |
|---|---|---|---|---|
| 1 | AK | Ankang | China | 33 |
| 2 | MAS | Maanshang | China | 58 |
| 3 | SMR | Sleeping beauty | United States | 26 |
| 4 | WM | Mongolia | Mongolia | 33 |
| 5 | ZS | Zhushan | China | 33 |
| RF | PC | Eigenvalue | Percentage of Variance (%) | Cumulative (%) |
|---|---|---|---|---|
| Before | 1 | 12.39 | 22.13 | 22.13 |
| 2 | 7.42 | 13.26 | 35.38 | |
| 3 | 6.28 | 11.22 | 46.60 | |
| After | 1 | 5.09 | 50.92 | 50.92 |
| 2 | 1.84 | 18.44 | 69.37 | |
| 3 | 1.32 | 13.17 | 82.54 |
| Predicted Group Membership a | ||||||||
|---|---|---|---|---|---|---|---|---|
| AK | MAS | SMR | WM | ZS | Total | |||
| Original | Count | AK | 33 | 0 | 0 | 0 | 0 | |
| MAS | 0 | 58 | 0 | 0 | 0 | |||
| SMR | 0 | 0 | 26 | 0 | 0 | |||
| WM | 0 | 0 | 0 | 33 | 0 | |||
| ZS | 0 | 0 | 0 | 0 | 33 | |||
| % | 100 | 100 | 100 | 100 | 100 | 100 b | ||
| Cross-validated | Count | AK | 33 | 0 | 0 | 0 | 0 | |
| MAS | 0 | 58 | 0 | 0 | 0 | |||
| SMR | 0 | 0 | 26 | 0 | 0 | |||
| WM | 0 | 0 | 0 | 33 | 0 | |||
| ZS | 0 | 0 | 1 | 0 | 32 | |||
| % | 99.5%c | |||||||
Disclaimer/Publisher’s Note: The statements, opinions and data contained in all publications are solely those of the individual author(s) and contributor(s) and not of MDPI and/or the editor(s). MDPI and/or the editor(s) disclaim responsibility for any injury to people or property resulting from any ideas, methods, instructions or products referred to in the content. |
© 2023 by the authors. Licensee MDPI, Basel, Switzerland. This article is an open access article distributed under the terms and conditions of the Creative Commons Attribution (CC BY) license (https://creativecommons.org/licenses/by/4.0/).
Share and Cite
Tong, S.; Chen, G.; Hu, W.; Pan, S.; Zhu, D.; Liu, S.; Lu, L.; Zhou, S.; Zhou, W. Determination of Geographic Origin of Turquoise by Combining Laser Ablation Inductively Coupled Plasma Mass Spectrometry Analysis and Chemometrics. Minerals 2023, 13, 1338. https://doi.org/10.3390/min13101338
Tong S, Chen G, Hu W, Pan S, Zhu D, Liu S, Lu L, Zhou S, Zhou W. Determination of Geographic Origin of Turquoise by Combining Laser Ablation Inductively Coupled Plasma Mass Spectrometry Analysis and Chemometrics. Minerals. 2023; 13(10):1338. https://doi.org/10.3390/min13101338
Chicago/Turabian StyleTong, Shuoyun, Guodong Chen, Weikang Hu, Shiyang Pan, Dan Zhu, Shuang Liu, Li Lu, Shunchao Zhou, and Wanfeng Zhou. 2023. "Determination of Geographic Origin of Turquoise by Combining Laser Ablation Inductively Coupled Plasma Mass Spectrometry Analysis and Chemometrics" Minerals 13, no. 10: 1338. https://doi.org/10.3390/min13101338
APA StyleTong, S., Chen, G., Hu, W., Pan, S., Zhu, D., Liu, S., Lu, L., Zhou, S., & Zhou, W. (2023). Determination of Geographic Origin of Turquoise by Combining Laser Ablation Inductively Coupled Plasma Mass Spectrometry Analysis and Chemometrics. Minerals, 13(10), 1338. https://doi.org/10.3390/min13101338

