Size Distribution, Elemental Composition and Morphology of Nanoparticles Separated from Respirable Coal Mine Dust
Abstract
1. Introduction
2. Materials and Methods
2.1. RCMD Sampling and Sample Preparation
2.2. Transmission Electron Microscopy (TEM)
2.3. Inductively Coupled Plasma Mass Spectrometry (ICP-MS)
2.4. Field-Flow Fractionation (FFF)
3. Results
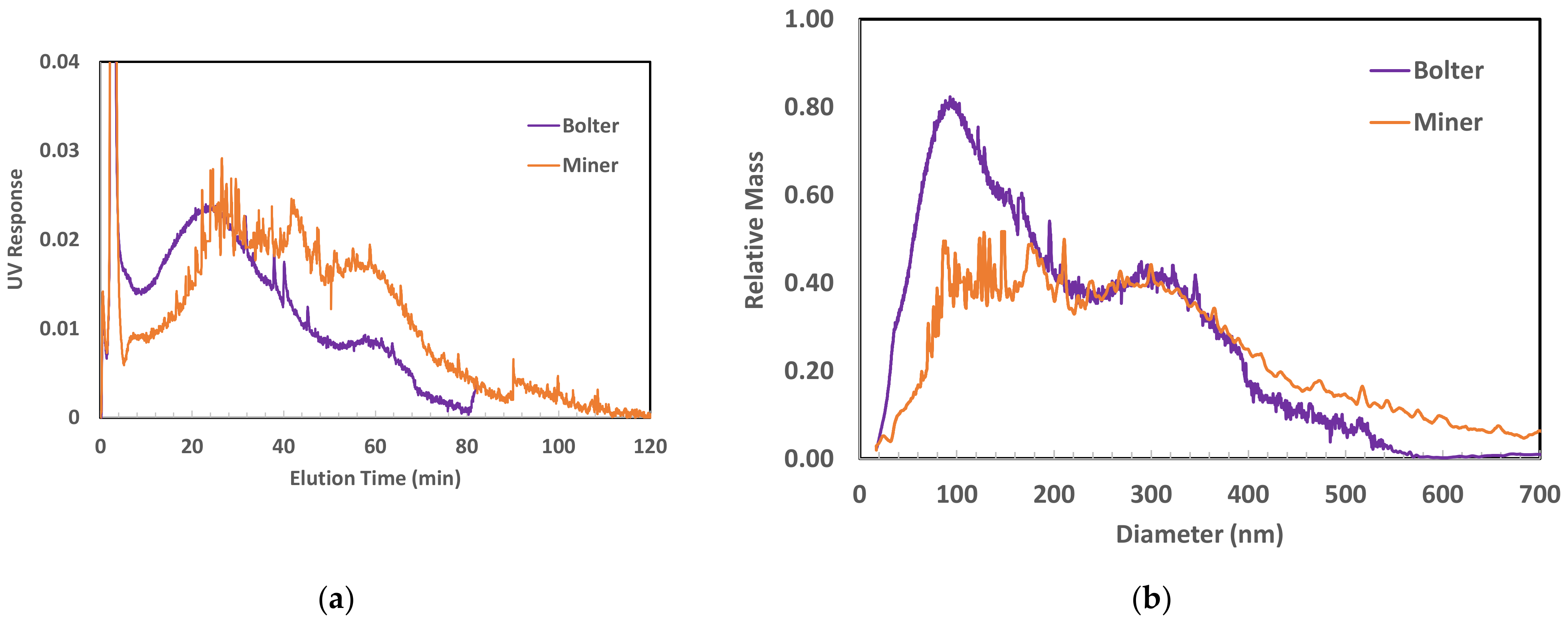
3.1. Size Distribution of RCMD Nanoparticles
3.2. Electron Microscopy Images of Bulk and Isolated RCMD Nanoparticles
3.3. Size-Based Elemental Composition of RCMD Nanoparticles
4. Conclusions
Supplementary Materials
Author Contributions
Funding
Acknowledgments
Conflicts of Interest
References
- Blackley, D.J.; Halldin, C.N.; Scott Laney, A. Continued increase in prevalence of coal workers’ pneumoconiosis in the United States, 1970–2017. Am. J. Public Health 2018, 108, 1220–1222. [Google Scholar] [CrossRef]
- Coal Mine Dust Exposures and Associated Health Outcomes, A Review of Information Published Since 1995. Department of Health and Human Services, Centers for Disease Control and Prevention, National Institute for Occupational Safety and Health. DHHS (NIOSH) Publication No. 2011-172. 2011. Available online: https://www.cdc.gov/niosh/docs/2011-172/pdfs/2011-172.pdf (accessed on 19 December 2022).
- Blackley, D.J.; Halldin, C.N.; Wang, L.M.; Scott Laney, A. Small mine size is associated with lung function abnormality and pneumoconiosis among underground coal miners. Occup. Environ. Med. 2014, 71, 690–694. [Google Scholar] [CrossRef]
- Johann-Essex, V.; Keles Rezaee, C.M.; Scaggs-Witte, M.; Sarver, E. Respirable coal mine dust characteristics in samples collected in central and northern Appalachia. Int. J. Coal. Geol. 2017, 182, 85–93. [Google Scholar] [CrossRef]
- Sarver, E.; Keles, C.; Rezaee, M. Beyond conventional metrics: Comprehensive characterization of respirable coal mine dust. Int. J. Coal. Geol. 2019, 207, 84–95. [Google Scholar] [CrossRef]
- Liu, T.; Liu, S. The impacts of coal dust on miners’ health: A review. Environ. Res. 2020, 190, 109849. [Google Scholar] [CrossRef]
- Oberdörster, G. Lung dosimetry: Pulmonary clearance of inhaled particles. Aerosol Sci. Technol. 1993, 18, 279–289. [Google Scholar] [CrossRef]
- MacNee, W.; Donaldson, K. Mechanism of lung injury caused by PM10 and ultrafine particles with special reference to COPD. EurRespir J. 2003, 21 (Suppl. S40), 41–51. [Google Scholar] [CrossRef]
- Liu, Q.; Guan, J.; Qin, L.; Zhang, X.; Mao, S. Physicochemical properties affecting the fate of nanoparticles in pulmonary drug delivery. Drug Discov. Today 2020, 25, 150–159. [Google Scholar] [CrossRef]
- Choi, H.S.; Ashitate, Y.; Lee, J.H.; Kim, S.H.; Matsui, A.; Insin, N.; Bawendi, M.G.; Semmler-Behnke, M.; Frangioni, J.V.; Tsuda, A. Rapid translocation of nanoparticles from the lung airspaces to the body. Nat. Biotechnol. 2010, 28, 1300–1303. [Google Scholar] [CrossRef]
- Saleh, Y.; Antherieu, S.; Dusautoir, R.; Yalleman, L.; Sotty, J.; De Sousa, C.; Platel, A.; Perdrix, E.; Riffault, V.; Fronval, I.; et al. Exposure to atmospheric ultrafine particles induces severe lung inflammatory response and tissue remodeling in mice. Int. J. Environ. Res. Public Health 2019, 16, 1210. [Google Scholar] [CrossRef]
- Donaldson, K.; Stone, V.; Gilmour, P.S.; Brown, D.M.; Macnee, W. Ultrafine particles: Mechanisms of lung injury. Phil. Trans. R Soc. Lond A 2000, 358, 2741–2749. [Google Scholar] [CrossRef]
- Bräuner, E.V.; Forchhammer, L.; Møller, P.; Simonsen, J.; Glasius, M.; Wåhlin, P.; Raaschou-Nielsen, O.; Loft, S. Exposure to ultrafine particles from ambient air and oxidative stress-induced DNA damage. Environ. Health Perspect. 2007, 115, 1177–1182. [Google Scholar] [CrossRef]
- Geiser, M.; Rothen-Rutishauser, B.; Kapp, N.; Schurch, S.; Kreyling, W.; Schulz, H.; Semmler, M.; Im Hof, V.; Heyder, J.; Gehr, P. Ultrafine particles cross cellular membranes by nanphagocytic mechanisms in lungs and in cultured cells. Environ. Health Pesrpect. 2005, 113, 1556–1560. [Google Scholar]
- Li, Y.; Shi, Z.; Radauer-Preiml, I.; Andosch, A.; Casals, E.; Luetz-Meindl, U.; Cobaleda, M.; Lin, Z.; Jaberi-Douraki, M.; Italiani, P.; et al. Bacterial endotoxin(lipopolysaccharide) binds to the surface of nanoparticle, interferes with biocorona formation and induces human monocyte inflammatory activation. Nanotoxicology 2017, 11, 1157–1175. [Google Scholar] [CrossRef]
- Moller, W.; Felten, K.; Sommerer, K.; Scheuch, G.; Meyer, G.; Meyer, P.; Haussinger, K.; Kreyling, W.G. Deposition, retention, and translocation of ultrafine particles from the central airways and lung periphery. Am. J. Respir. Crit Care Med. 2008, 177, 426–432. [Google Scholar] [CrossRef]
- Johann-Essex, V.; Keles, C.; Sarver, E. A computer-controlled SEM-EDX routine for characterizing respirable coal mine dust. Minerals 2017, 7, 15. [Google Scholar] [CrossRef]
- Pan, L.; Golden, S.; Assemi, S.; Sime, A.F.; Wang, X.; Gao, Y.; Miller, J.D. Characterization of particle size and composition of respirable coal mine dust. Minerals 2021, 11, 276. [Google Scholar] [CrossRef]
- Giddings, J.C. Field-flow fractionation: Analysis of Macromolecular, colloidal, and particulate materials. Science 1993, 260, 1456–1465. [Google Scholar] [CrossRef]
- Levin, S.; Stern, L.; Ze’evl, A.; Levy, M.Y. Characterization of submicrometer emulsions uing sedimentation field-flow fractionation with power field programming. Anal. Chem. 1994, 66, 368–377. [Google Scholar] [CrossRef]
- Assidjoa, E.; Chianéa, T.; Dreyfussa, M.-F.; Cardot, P.J.P. Validation procedures of sedimentation field-flow fractionation techniques for biological applications. J. Chrom. B 1998, 709, 197–207. [Google Scholar] [CrossRef]
- Giddings, J.C.; Yang, F.J.; Myers, M.N. Flow field-flow fractionation: New method for separating, purifying, and characterizing the diffusivity of viruses. J. Virol. 1977, 21, 131–138. [Google Scholar] [CrossRef]
- Assemi, S.; Tadjiki, S.; Donose, B.C.; Nguyen, A.V.; Miller, J.D. Aggregation of fullerol C60(OH)24 nanoparticles as revealed using flow field-flow fractionation and atomic force microscopy. Langmuir 2010, 26, 16063–16070. [Google Scholar] [CrossRef]
- Giddings, J.C. A new separation concept based on a coupling of concentration and flow nonformalities. Sep. Sci. 1966, 1, 123–125. [Google Scholar]
- Tadjiki, S.; Assemi, S.; Deering, C.E.; Veranth, J.M.; Miller, J.D. Detection, separation, and quantification of unlabeled silica nanoparticles in biological media using sedimentation field-flow fractionation. J. Nanopart. Res. 2009, 11, 981–988. [Google Scholar] [CrossRef]
- Assemi, S.; Newcombe, G.; Hepplewhite, C.; Beckett, R. Characterization of natural organic matter fractions separated by ultrafiltration using flow field-flow fractionation. Water Res. 2004, 38, 1467–1476. [Google Scholar] [CrossRef]
- Wang, W. Characteristics of individual particles emitted from an experimental burning chamber with coal from the lung cancer area of Xuanwei, China. Aerosol. Air Qual. Res. 2019, 19, 355–363. [Google Scholar] [CrossRef]
- Barnes, H.; Goh, N.S.L.; Leong, T.L.; Hoy, R. Silica-associated lung disease: An old-world exposure in modern industries. Respirology 2019, 24, 1165–1175. [Google Scholar] [CrossRef]
- Assemi, S.; Sharma, S.; Tadjiki, S.; Prisbrey, K.; Ranville, J.; Miller, J.D. Effect of surface charge and elemental composition on the swelling and delamination of montmorillonite nanoclays using sedimentation field-flow fractionation and mass spectroscopy. Clays Clay Miner. 2015, 63, 457–468. [Google Scholar] [CrossRef]
- Moreno, T.; Trechera, P.; Querol, X.; Lah, R.; Johnson, D.; Wrana, A.; Williamson, B. Trace element fractionation between PM10 and PM2.5 in coal mine dust: Implications for occupational and respiratory health. Int. J. Coal Geol. 2019, 203, 52–59. [Google Scholar] [CrossRef]
- Ketris, M.P.; Yudovich, Y.E. Estimation of Clarkes for carbonaceous biolithes: World averages for trace element contents in black shales and coals. Int. J. Coal Geol. 2009, 78, 135–148. [Google Scholar] [CrossRef]
- Lu, S.; Hao, X.; Liu, D.; Wang, Q.; Zhang, W.; Liu, P.; Zhang, R.; Yu, S.; Pan, R.; Wu, M.; et al. Mineralogical characterization of ambient fine/ultrafine particles emitted from Xuanwei C1 coal combustion. Atmos. Res. 2016, 169, 17–23. [Google Scholar] [CrossRef]
- Lin, C.-C.; Chen, S.-J.; Huang, K.-L. Characteristics of metals in nano/ultrafine/fine/coarse particles collected beside a heavily trafficked road. Environ. Sci. Technol. 2005, 39, 8113–8122. [Google Scholar] [CrossRef]
- Harrington, A.D.; Hylton, S.; Schoonen, M.A.A. Pyrite-driven reactive oxygen species formation in simulated lung fluid: Implications for coal workers’ pneumoconiosis. Environ. Geochem. Health 2012, 34, 527–538. [Google Scholar] [CrossRef]
- Eom, H.-J.; Choi, J. Oxidative stress of silica nanoparticles in human bronchial epithelial cell, Beas-2B. Toxicol Vitr. 2009, 23, 1326–1332. [Google Scholar] [CrossRef]









Disclaimer/Publisher’s Note: The statements, opinions and data contained in all publications are solely those of the individual author(s) and contributor(s) and not of MDPI and/or the editor(s). MDPI and/or the editor(s) disclaim responsibility for any injury to people or property resulting from any ideas, methods, instructions or products referred to in the content. |
© 2023 by the authors. Licensee MDPI, Basel, Switzerland. This article is an open access article distributed under the terms and conditions of the Creative Commons Attribution (CC BY) license (https://creativecommons.org/licenses/by/4.0/).
Share and Cite
Assemi, S.; Pan, L.; Wang, X.; Akinseye, T.; Miller, J.D. Size Distribution, Elemental Composition and Morphology of Nanoparticles Separated from Respirable Coal Mine Dust. Minerals 2023, 13, 97. https://doi.org/10.3390/min13010097
Assemi S, Pan L, Wang X, Akinseye T, Miller JD. Size Distribution, Elemental Composition and Morphology of Nanoparticles Separated from Respirable Coal Mine Dust. Minerals. 2023; 13(1):97. https://doi.org/10.3390/min13010097
Chicago/Turabian StyleAssemi, Shoeleh, Lei Pan, Xuming Wang, Titilayo Akinseye, and Jan D. Miller. 2023. "Size Distribution, Elemental Composition and Morphology of Nanoparticles Separated from Respirable Coal Mine Dust" Minerals 13, no. 1: 97. https://doi.org/10.3390/min13010097
APA StyleAssemi, S., Pan, L., Wang, X., Akinseye, T., & Miller, J. D. (2023). Size Distribution, Elemental Composition and Morphology of Nanoparticles Separated from Respirable Coal Mine Dust. Minerals, 13(1), 97. https://doi.org/10.3390/min13010097

