Investigation of the 176Yb Interference Correction during Determination of the 176Hf/177Hf Ratio by Laser Ablation and Solution Analysis on the Neoma MC-ICP-MS
Abstract
:1. Introduction
2. Methods
2.1. Instrument Setup and Different Analytical Modes
2.2. Standards
3. Results
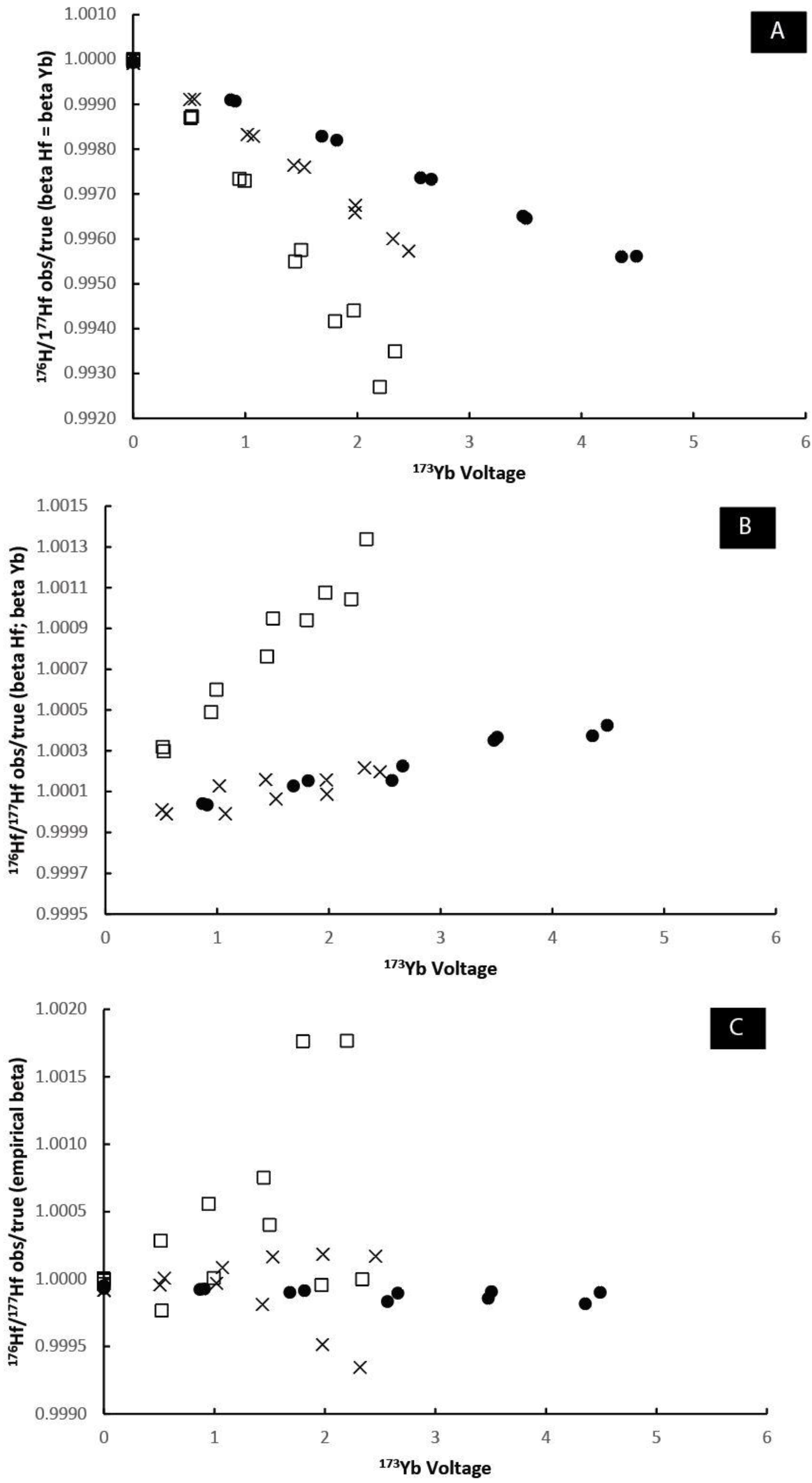
Data Processing
4. Discussion
4.1. Data Quality
4.2. Effect of Different Yb Mass Bias Correction Regimes





4.3. Avenues for Future Study
5. Conclusions
- At Hf signals above a few volts during laser ablation, it is possible to obtain single analysis εHf values that are within 1 εHf unit of the accepted values for the standards with internal precision <1 εHf unit.
- While a Yb mass bias factor is difficult to accurately constrain at Yb intensities <0.1 V, analysis of standards with varying Yb content allows for an empirical approach to constraining the Yb mass bias behavior that can then be utilized to ensure that the Yb interference correction is being applied correctly for zircons with higher Yb content.
- Both the Yb and Hf mass bias behavior appear to vary from session to session, and more work is necessary to understand the cause and implications of this behavior. Specifically, oxide formation regimes need to be studied on this new platform as they relate to this particular application.
- Additional studies will be needed to understand how the built-in data processing software for handling laser ablation data associated with the Neoma™ can be utilized to correctly perform the Yb interference correction for the wide range of Yb/Hf ratios seen in natural zircons.
Supplementary Materials
Author Contributions
Funding
Data Availability Statement
Conflicts of Interest
References
- ThermoFisher Scientific. Illuminating the Edge of Discover: Neoma Multicollector ICP-MS. Produce Brochure. 2021. Available online: https://www.thermofisher.com/document-connect/document-connect.html?url=https%3A%2F%2Fassets.thermofisher.com%2FTFS-Assets%2FCMD%2Fbrochures%2Fbr-30600-neoma-mc-icp-ms-br30600-en.pdf (accessed on 21 December 2021).
- Balaram, V.; Rahaman, W.; Roy, P. Recent advances in MC-ICP-MS applications in Earth and Environmental Sciences. Geosystems Geoenvironment 2022, 1, 100019. [Google Scholar] [CrossRef]
- Spencer, C.J.; Kirkland, C.L.; Roberts, N.M.W.; Evans, N.J.; Liebmann, J. Strategies towards robust interpretations of in situ zircon Lu-Hf isotope analyses. Geosci. Front. 2020, 11, 843–853. [Google Scholar] [CrossRef]
- Vervoort, J. Lu-Hf Dating: The Lu-Hf Isotope System. In Encyclopedia of Scientific Dating Methods; Rink, W., Thompson, J., Eds.; Springer: Dordrecht, The Netherlands, 2014. [Google Scholar] [CrossRef]
- Bouvier, A.; Vervoort, J.D.; Patchett, P.J. The Lu-Hf and Sm-Nd isotopic composition of CHUR: Constraints from unequilibrated chondrites and implications for the bulk composition of terrestrial planets. Earth Planet. Sci. Lett. 2008, 273, 48–57. [Google Scholar] [CrossRef]
- Faure, G.; Mensing, T. The Lu-Hf Method. In Isotopes: Principles and Applications, 3rd ed.; John Wiley and Sons, INC.: Hoboken, NJ, USA, 2005; Chapter 12; pp. 284–296. [Google Scholar]
- Payne, J.L.; Mclnerney, D.J.; Barovich, K.M.; Kirkland, C.L.; Pearson, N.J.; Hand, M. Strengths and limitations of zircon Lu-Hf and O isotopes in modelling crustal growth. Lithos 2016, 248–251, 175–192. [Google Scholar] [CrossRef]
- Blichert-Toft, J. The Hf isotopic composition of zircon reference material 91500. Chem. Geol. 2008, 253, 252–257. [Google Scholar] [CrossRef]
- Zirakparvar, N.A.; Mathez, E.A.; Scoates, J.S.; Wall, C.J. Zircon Hf isotope evidence for an enriched mantle source for the Bushveld Igneous Complex. Contrib. Mineral. Petrol. 2014, 168, 1050. [Google Scholar] [CrossRef]
- Gu, H.O.; Sun, H.; Wang, F.; Ge, C.; Zhou, T. A new practical isobaric interference correction model for the in situ Hf isotopic analysis using laser ablation multi-collector-ICP-mass spectrometry of zircons with high Yb/Hf ratios. J. Anal. At. Spectrom. 2019, 34, 1223–1232. [Google Scholar] [CrossRef]
- Hu, Z.; Liu, Y.; Gao, S.; Liu, W.; Zhang, W.; Tong, X.; Lin, L.; Zong, K.; Li, M.; Chen, H.; et al. Improved in situ Hf isotope ratio analysis of zircons using newly designed X skimmer cone and jet sample cone in combination with the addition of nitrogen by laser ablation multi collector ICP-MS. J. Anal. At. Spectrom. 2012, 27, 1391–1399. [Google Scholar] [CrossRef]
- Fisher, C.M.; Vervoort, J.D.; Hanchar, J.M. Guidelines for reporting zircon Hf isotopic data by LA-MC-ICPMS and potential pitfalls in the interpretation of these data. Chem. Geol. 2014, 363, 125–133. [Google Scholar] [CrossRef]
- Craig, G.; Roberts, J.; Bouman, C.; Lloyd, N.; Schwieters, J.B. High Precision 176Hf/177Hf Measurements in Zircons by LA-MC-ICP-MS; Application Note 000091; ThermoScientific: Waltham, MA, USA, 2022; Available online: https://assets.thermofisher.com/TFS-Assets/CMD/Application-Notes/an-000091-neoma-hf-an000091-en.pdf (accessed on 21 December 2021).
- Slama, J.; Kosler, J.; Condon, D.J.; Crowley, J.L.; Gerdes, A.; Hanchar, J.M.; Hortwood, M.S.A.; Morris, G.A.; Nasdala, L.; Norberg, N.; et al. Plesovice zircon—A new natural reference material for U-Pb and Hf isotopic microanalysis. Chem. Geol. 2008, 249, 1–35. [Google Scholar] [CrossRef]
- Li, H.; Long, W.G.; Li, Q.L.; Liu, Y.; Zheng, Y.F.; Yang, Y.H.; Chamberlain, K.R.; Wan, D.F.; Guo, C.H.; Wang, X.C.; et al. Penglai zircon megacrysts: A potential new reference matiral for microbeam determination of Hf–O Isotopes and U–Pb Age. Geostand. Geoanalytical Res. 2010, 34, 117–134. [Google Scholar] [CrossRef]
- Goolaerts, A.; Mattielli, N.; de Jong, J.; Weis, D.; Scoates, J.S. Hf and Lu isotopic reference values for the zircon standard 91500 by MC-ICP-MS. Chem. Geol. 2004, 206, 1–9. [Google Scholar] [CrossRef]
- Blichert-Toft, J.; Chauvel, C.; Albarède, F. Separation of Hf and Lu for high precision isotope analysis of rock samples by magnetic sector—Multiple collector ICP-MS. Contrib. Mineral. Petrol. 1997, 127, 248–260. [Google Scholar] [CrossRef]
- Vervoort, J.; Blichert-Toft, J. Evolution of the depleted mantle: Hafnium isotope evidence from juvenile rocks through time. Geochim. Et Cosmochim. Acta 1999, 63, 533–556. [Google Scholar] [CrossRef]
- Patchett, P.J.; Tatsumoto, M. Lu/Hf in chondrites and definition of a chondritic hafnium growth curve. Lunar Planet. Sci. 1981, 12, 822–824. [Google Scholar]
- Baum, E.M.; Knox, H.D.; Miller, T.R. (Eds.) Nuclides and Isotopes, 16th ed.; Knolls Atomic Power Laboratory, Lockheed Martin: New York, NY, USA, 2002; p. 88. [Google Scholar]
- Payne, J.L.; Pearson, N.J.; Grant, K.J.; Halverson, G.P. Reassessement of relative oxide formation rates and molecular interferences on in situ lutetium-hafnium analysis with laser ablation MC-ICP-MS. J. Anal. At. Spectrom. 2013, 28, 1068–1079. [Google Scholar] [CrossRef]
- Bauer, A.M.; Horstwood, M.S.A. Small-volume Lu-Hf and U-Pb isotope determination of complex zircons by solution and laser ablation MC-ICP-MS. Chem. Geol. 2018, 476, 85–99. [Google Scholar] [CrossRef] [Green Version]





| Config | L3 | L2 | L1 | C | H1 | H2 | H3 | H4 | H5 |
|---|---|---|---|---|---|---|---|---|---|
| A | 171Yb | 173Yb | 174Yb | 175Lu | 176Lu + Hf + Yb | 177Hf | 178Hf | 179Hf | |
| B | 171Yb | 173Yb | 174Yb | 175Lu | 176Lu + Hf + Yb | 177Hf | 178Hf | 179Hf | 180Hf |
| Laser: | Laser Power | Cones | Config: | Int (s) | Cycle/Analysis | Symbol |
|---|---|---|---|---|---|---|
| Session 1 | 4.14 J/cm2 | H + I | A | 0.1 | ~250 | ● |
| session 2 | 4.14 J/cm2 | Jet + X | A | 0.1 | ~250 | x |
| session 3 | 8.14 J/cm2 | Jet + X | B | 0.1 | ~250 | □ |
| Solution: | Nebulizer | Cones | Config: | Int. (s) | Cycle/analysis | |
| session 1 | 50 µL/min | H + I | A | 8s | 20 | ● |
| session 2 | 50 µL/min | Jet + X | A | 8s | 20 | x |
| session 3 | 50 µL/min | Jet + X | B | 8s | 20 | □ |
Publisher’s Note: MDPI stays neutral with regard to jurisdictional claims in published maps and institutional affiliations. |
© 2022 by the authors. Licensee MDPI, Basel, Switzerland. This article is an open access article distributed under the terms and conditions of the Creative Commons Attribution (CC BY) license (https://creativecommons.org/licenses/by/4.0/).
Share and Cite
Zirakparvar, N.A.; Manard, B.T.; Hexel, C.R.; Dunlap, D.R. Investigation of the 176Yb Interference Correction during Determination of the 176Hf/177Hf Ratio by Laser Ablation and Solution Analysis on the Neoma MC-ICP-MS. Minerals 2022, 12, 882. https://doi.org/10.3390/min12070882
Zirakparvar NA, Manard BT, Hexel CR, Dunlap DR. Investigation of the 176Yb Interference Correction during Determination of the 176Hf/177Hf Ratio by Laser Ablation and Solution Analysis on the Neoma MC-ICP-MS. Minerals. 2022; 12(7):882. https://doi.org/10.3390/min12070882
Chicago/Turabian StyleZirakparvar, Nasser A., Benjamin T. Manard, Cole R. Hexel, and Daniel R. Dunlap. 2022. "Investigation of the 176Yb Interference Correction during Determination of the 176Hf/177Hf Ratio by Laser Ablation and Solution Analysis on the Neoma MC-ICP-MS" Minerals 12, no. 7: 882. https://doi.org/10.3390/min12070882
APA StyleZirakparvar, N. A., Manard, B. T., Hexel, C. R., & Dunlap, D. R. (2022). Investigation of the 176Yb Interference Correction during Determination of the 176Hf/177Hf Ratio by Laser Ablation and Solution Analysis on the Neoma MC-ICP-MS. Minerals, 12(7), 882. https://doi.org/10.3390/min12070882

