Fractal Dimension Analysis of Pores in Coal Reservoir and Their Impact on Petrophysical Properties: A Case Study in the Province of Guizhou, SW China
Abstract
1. Introduction
2. Experiment and Methodology
2.1. Equipment and Materials
2.2. Methodology
3. Results
3.1. Results of Conventional Coal Test
3.2. Results of Mercury Intrusion
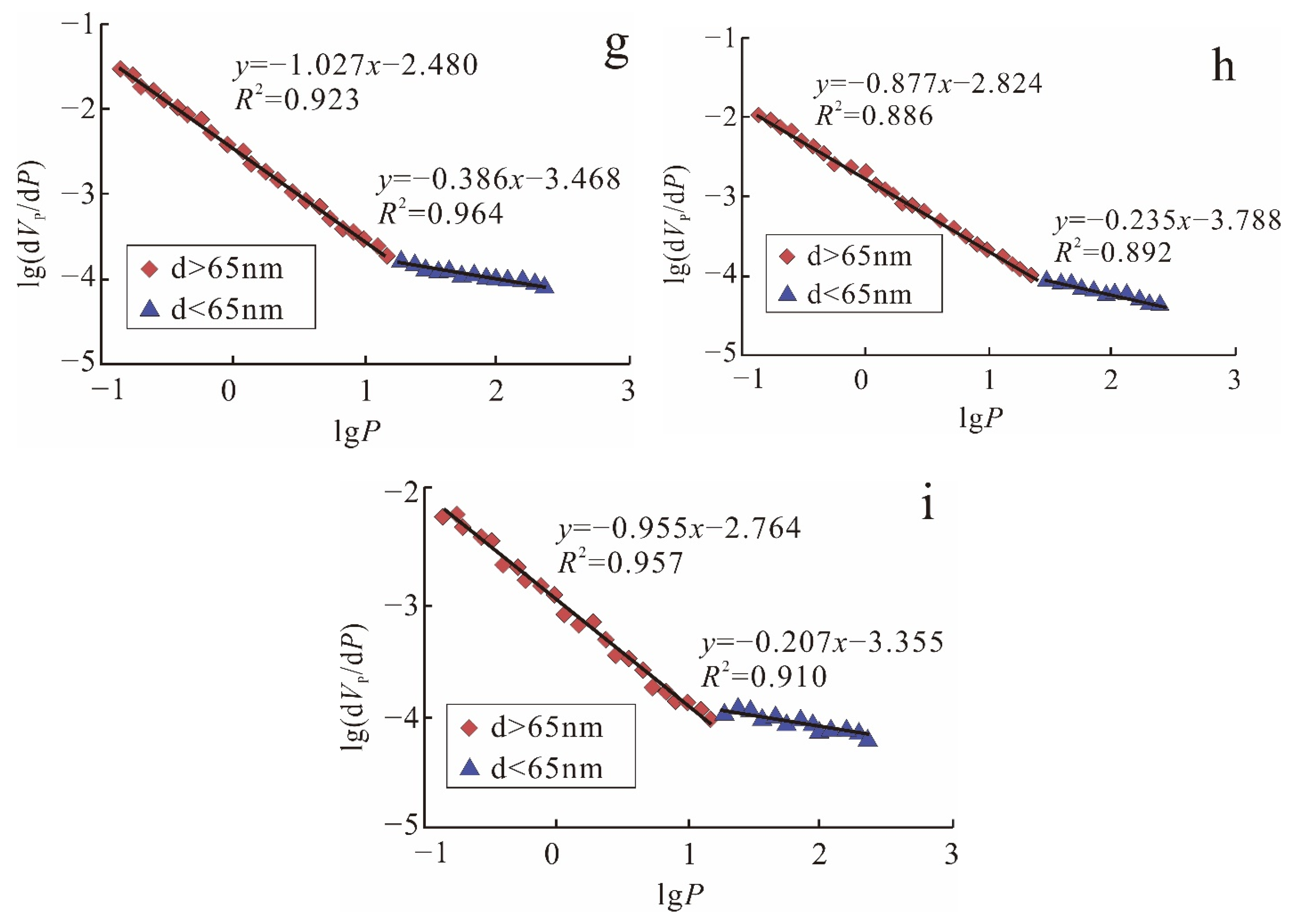
3.3. Results of Fractal Dimension Calculation
4. Discussion
4.1. The Validity of the Calculation Results
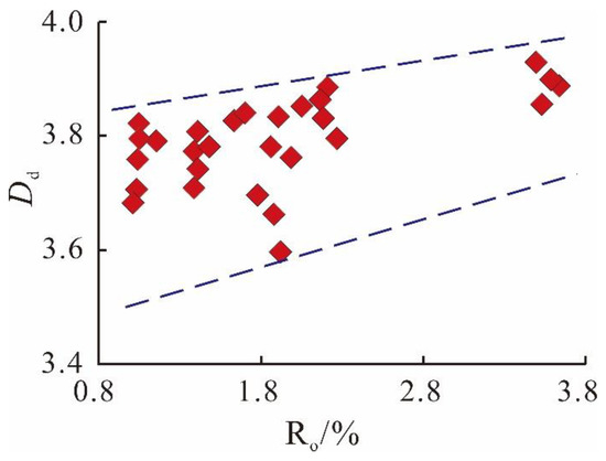
4.2. Relationship between Fractal Dimensions and Vitrinite Reflectance
4.3. Relationship between Volume Fraction of Diffusion Pores and Fractal Dimensions
4.4. Relationship between Fractal Dimensions and Total Pore Volume
4.5. Relationship between Fractal Parameters and Porosity
4.6. Brief Summary
5. Conclusions
Author Contributions
Funding
Data Availability Statement
Conflicts of Interest
References
- Zhao, S.; Chen, X.; Li, X.; Qi, L.; Zhang, G. Experimental Analysis of the Effect of Temperature on Coal Pore Structure Transformation. Fuel 2021, 305, 121613. [Google Scholar] [CrossRef]
- Nie, A.; Mei, S.; Guan, D.; Wu, P.; Zhang, Z. A Study on the Genetic Relations between Permian Longtan Formation Coal Series Strata and Carlin-Type Gold Deposits, Southwestern Guizhou Province, China. Chin. J. Geochem. 2008, 27, 291–298. [Google Scholar] [CrossRef]
- Zhao, Y.; Sun, Y.; Liu, S.; Wang, K.; Jiang, Y. Pore Structure Characterization of Coal by NMR Cryoporometry. Fuel 2017, 190, 359–369. [Google Scholar] [CrossRef]
- Li, Y.; Yang, J.; Pan, Z.; Tong, W. Nanoscale Pore Structure and Mechanical Property Analysis of Coal: An Insight Combining AFM and SEM Images. Fuel 2020, 260, 116352. [Google Scholar] [CrossRef]
- Li, B.; Zhuang, X.; Li, J.; Querol, X.; Font, O.; Moreno, N. Enrichment and Distribution of Elements in the Late Permian Coals from the Zhina Coalfield, Guizhou Province, Southwest China. Int. J. Coal Geol. 2017, 171, 111–129. [Google Scholar] [CrossRef]
- Li, Z.; Gao, W.; Li, X. Correlations of Permeability and Geological Characteristics Based on Mercury Intrusion Data and Hierarchical Statistical Models: A Case Study. J. Energy Resour. Technol. 2020, 142, 123004. [Google Scholar] [CrossRef]
- Bi, C.; Zhang, J.; Shan, Y.; Hu, Z.; Wang, F.; Chi, H.; Tang, Y.; Yuan, Y.; Liu, Y.; Oil and gas survey, China Geological Survey, Ministry of Natural Resources; et al. Geological Characteristics and Co-Exploration and Co-Production Methods of Upper Permian Longtan Coal Measure Gas in Yangmeishu Syncline, Western Guizhou Province, China. China Geol. 2020, 3, 38–51. [Google Scholar] [CrossRef]
- Li, Z.; Ripepi, N.; Chen, C. Using Pressure Pulse Decay Experiments and a Novel Multi-Physics Shale Transport Model to Study the Role of Klinkenberg Effect and Effective Stress on the Apparent Permeability of Shales. J. Pet. Sci. Eng. 2020, 189, 107010. [Google Scholar] [CrossRef]
- Fu, H.; Tang, D.; Xu, H.; Xu, T.; Chen, B.; Hu, P.; Yin, Z.; Wu, P.; He, G. Geological Characteristics and CBM Exploration Potential Evaluation: A Case Study in the Middle of the Southern Junggar Basin, NW China. J. Nat. Gas Sci. Eng. 2016, 30, 557–570. [Google Scholar] [CrossRef]
- Zhang, S.; Tang, S.; Zhang, J.; Pan, Z. Pore Structure Characteristics of China Sapropelic Coal and Their Development Influence Factors. J. Nat. Gas Sci. Eng. 2018, 53, 370–384. [Google Scholar] [CrossRef]
- Fu, H.; Tang, D.; Xu, T.; Xu, H.; Tao, S.; Li, S.; Yin, Z.; Chen, B.; Zhang, C.; Wang, L. Characteristics of Pore Structure and Fractal Dimension of Low-Rank Coal: A Case Study of Lower Jurassic Xishanyao Coal in the Southern Junggar Basin, NW China. Fuel 2017, 193, 254–264. [Google Scholar] [CrossRef]
- Liu, Z.; Yang, H.; Wang, W.; Cheng, W.; Xin, L. Experimental Study on the Pore Structure Fractals and Seepage Characteristics of a Coal Sample around a Borehole in Coal Seam Water Infusion. Transp. Porous Med. 2018, 125, 289–309. [Google Scholar] [CrossRef]
- Li, Z.; Zhao, Q.; Teng, Y.; Fan, M.; Ripepi, N.; Yin, X.; Chen, C. Experimental Investigation of Non-Monotonic Fracture Conductivity Evolution in Energy Georeservoirs. J. Pet. Sci. Eng. 2022, 211, 110103. [Google Scholar] [CrossRef]
- Zhang, L.; Kou, Z.; Wang, H.; Zhao, Y.; Dejam, M.; Guo, J.; Du, J. Performance Analysis for a Model of a Multi-Wing Hydraulically Fractured Vertical Well in a Coalbed Methane Gas Reservoir. J. Pet. Sci. Eng. 2018, 166, 104–120. [Google Scholar] [CrossRef]
- Luo, Q.; Xiao, Z.; Dong, C.; Ye, X.; Li, H.; Zhang, Y.; Ma, Y.; Ma, L.; Xu, Y. The Geochemical Characteristics and Gas Potential of the Longtan Formation in the Eastern Sichuan Basin, China. J. Pet. Sci. Eng. 2019, 179, 1102–1113. [Google Scholar] [CrossRef]
- Wu, Z.; He, S.; Han, Y.; Zhai, G.; He, X.; Zhou, Z. Effect of Organic Matter Type and Maturity on Organic Matter Pore Formation of Transitional Facies Shales: A Case Study on Upper Permian Longtan and Dalong Shales in Middle Yangtze Region, China. J. Earth Sci. 2020, 31, 368–384. [Google Scholar] [CrossRef]
- He, Q.; Dong, T.; He, S.; Zhai, G. Methane Adsorption Capacity of Marine-Continental Transitional Facies Shales: The Case Study of the Upper Permian Longtan Formation, Northern Guizhou Province, Southwest China. J. Pet. Sci. Eng. 2019, 183, 106406. [Google Scholar] [CrossRef]
- Zhao, L.; Guanhua, N.; Lulu, S.; Qian, S.; Shang, L.; Kai, D.; Jingna, X.; Gang, W. Effect of Ionic Liquid Treatment on Pore Structure and Fractal Characteristics of Low Rank Coal. Fuel 2020, 262, 116513. [Google Scholar] [CrossRef]
- Tsakiroglou, C.D.; Payatakes, A.C. Characterization of the Pore Structure of Reservoir Rocks with the Aid of Serial Sectioning Analysis, Mercury Porosimetry and Network Simulation. Adv. Water Resour. 2000, 23, 773–789. [Google Scholar] [CrossRef]
- Zhang, J.; Li, X.; Wei, Q.; Sun, K.; Zhang, G.; Wang, F. Characterization of Full-Sized Pore Structure and Fractal Characteristics of Marine–Continental Transitional Longtan Formation Shale of Sichuan Basin, South China. Energy Fuels 2017, 31, 10490–10504. [Google Scholar] [CrossRef]
- Wang, H.; Kou, Z.; Guo, J.; Chen, Z. A Semi-Analytical Model for the Transient Pressure Behaviors of a Multiple Fractured Well in a Coal Seam Gas Reservoir. J. Pet. Sci. Eng. 2021, 198, 108159. [Google Scholar] [CrossRef]
- Wood, D.A. Deriving Coal Fractal Dimensions from Low-Pressure Nitrogen Adsorption Isotherms Applying an Integrated Method. Appl. Geochem. 2021, 131, 105042. [Google Scholar] [CrossRef]
- Liu, S.; Tang, S.; Yin, S. Coalbed Methane Recovery from Multilateral Horizontal Wells in Southern Qinshui Basin. Adv. Geo-Energy Res. 2018, 2, 34–42. [Google Scholar] [CrossRef]
- Mahamud, M.M.; Novo, M.F. The Use of Fractal Analysis in the Textural Characterization of Coals. Fuel 2008, 87, 222–231. [Google Scholar] [CrossRef]
- Cai, Y.; Liu, D.; Yao, Y.; Li, J.; Liu, J. Fractal Characteristics of Coal Pores Based on Classic Geometry and Thermodynamics Models. Acta Geol. Sin.-Engl. Ed. 2011, 85, 1150–1162. [Google Scholar] [CrossRef]
- Andhumoudine, A.B.; Nie, X.; Zhou, Q.; Yu, J.; Kane, O.I.; Jin, L.; Djaroun, R.R. Investigation of Coal Elastic Properties Based on Digital Core Technology and Finite Element Method. Adv. Geo-Energy Res. 2021, 5, 53–63. [Google Scholar] [CrossRef]
- Zhang, Q.; Grohmann, S.; Xu, X.; Littke, R. Depositional Environment and Thermal Maturity of the Coal-Bearing Longtan Shale in Southwest Guizhou, China: Implications for Shale Gas Resource Potential. Int. J. Coal Geol. 2020, 231, 103607. [Google Scholar] [CrossRef]
- Kou, Z.; Wang, T.; Chen, Z.; Jiang, J. A Fast and Reliable Methodology to Evaluate Maximum CO2 Storage Capacity of Depleted Coal Seams: A Case Study. Energy 2021, 231, 120992. [Google Scholar] [CrossRef]
- Pan, J.; Zhang, Z.; Li, M.; Wu, Y.; Wang, K. Characteristics of Multi-Scale Pore Structure of Coal and Its Influence on Permeability. Nat. Gas Ind. B 2019, 6, 357–365. [Google Scholar] [CrossRef]
- Yang, C.; Xiong, Y.; Zhang, J.; Liu, Y.; Chen, C. Comprehensive Understanding of OM-Hosted Pores in Transitional Shale: A Case Study of Permian Longtan Shale in South China Based on Organic Petrographic Analysis, Gas Adsorption, and X-Ray Diffraction Measurements. Energy Fuels 2019, 33, 8055–8064. [Google Scholar] [CrossRef]
- Yang, X.; Ren, T.; He, X. Experimental Study of Coal Burst Risk Prediction Using Fractal Dimension Analysis of AE Spatial Distribution. J. Appl. Geophys. 2020, 177, 104025. [Google Scholar] [CrossRef]
- Cheng, J.; Zhou, J.; Li, Y.; Liu, J.; Cen, K. Effects of Pore Fractal Structures of Ultrafine Coal Water Slurries on Rheological Behaviors and Combustion Dynamics. Fuel 2008, 87, 2620–2627. [Google Scholar] [CrossRef]
- Zhou, Q.; Qin, B.; Wang, J.; Wang, H.; Wang, F. Experimental Investigation on the Changes of the Wettability and Surface Characteristics of Coal Dust with Different Fractal Dimensions. Colloids Surf. A Physicochem. Eng. Asp. 2018, 551, 148–157. [Google Scholar] [CrossRef]
- Wang, Z.; Cheng, Y.; Qi, Y.; Wang, R.; Wang, L.; Jiang, J. Experimental Study of Pore Structure and Fractal Characteristics of Pulverized Intact Coal and Tectonic Coal by Low Temperature Nitrogen Adsorption. Powder Technol. 2019, 350, 15–25. [Google Scholar] [CrossRef]
- Faulon, J.-L.; Mathews, J.P.; Carlson, G.A.; Hatcher, P.G. Correlation between Microporosity and Fractal Dimension of Bituminous Coal Based on Computer-Generated Models. Energy Fuels 1994, 8, 408–414. [Google Scholar] [CrossRef]
- Mondal, D.; Roy, P.N.S.; Behera, P.K. Use of Correlation Fractal Dimension Signatures for Understanding the Overlying Strata Dynamics in Longwall Coal Mines. Int. J. Rock Mech. Min. Sci. 2017, 91, 210–221. [Google Scholar] [CrossRef]
- Reich, M.H.; Snook, I.K.; Wagenfeld, H.K. A Fractal Interpretation of the Effect of Drying on the Pore Structure of Victorian Brown Coal. Fuel 1992, 71, 669–672. [Google Scholar] [CrossRef]
- Mendhe, V.A.; Bannerjee, M.; Varma, A.K.; Kamble, A.D.; Mishra, S.; Singh, B.D. Fractal and Pore Dispositions of Coal Seams with Significance to Coalbed Methane Plays of East Bokaro, Jharkhand, India. J. Nat. Gas Sci. Eng. 2017, 38, 412–433. [Google Scholar] [CrossRef]
- Cai, Y.; Liu, D.; Pan, Z.; Che, Y.; Liu, Z. Investigating the Effects of Seepage-Pores and Fractures on Coal Permeability by Fractal Analysis. Transp. Porous Med. 2016, 111, 479–497. [Google Scholar] [CrossRef]
- Yin, T.; Liu, D.; Cai, Y.; Zhou, Y.; Yao, Y. Size Distribution and Fractal Characteristics of Coal Pores through Nuclear Magnetic Resonance Cryoporometry. Energy Fuels 2017, 31, 7746–7757. [Google Scholar] [CrossRef]
- Huang, F.; Cao, Z.; Guo, J.; Jiang, S.-H.; Li, S.; Guo, Z. Comparisons of Heuristic, General Statistical and Machine Learning Models for Landslide Susceptibility Prediction and Mapping. CATENA 2020, 191, 104580. [Google Scholar] [CrossRef]
- Huang, F.; Chen, J.; Liu, W.; Huang, J.; Hong, H.; Chen, W. Regional Rainfall-Induced Landslide Hazard Warning Based on Landslide Susceptibility Mapping and a Critical Rainfall Threshold. Geomorphology 2022, 408, 108236. [Google Scholar] [CrossRef]
- Li, H.; Shi, S.; Lu, J.; Ye, Q.; Lu, Y.; Zhu, X. Pore Structure and Multifractal Analysis of Coal Subjected to Microwave Heating. Powder Technol. 2019, 346, 97–108. [Google Scholar] [CrossRef]
- Chang, Z.; Du, Z.; Zhang, F.; Huang, F.; Chen, J.; Li, W.; Guo, Z. Landslide Susceptibility Prediction Based on Remote Sensing Images and GIS: Comparisons of Supervised and Unsupervised Machine Learning Models. Remote Sens. 2020, 12, 502. [Google Scholar] [CrossRef]
- Li, Z.; Teng, Y.; Fan, M.; Ripepi, N.; Chen, C. A Novel Multiphysics Multiscale Multiporosity Shale Gas Transport Model for Geomechanics/Flow Coupling in Steady and Transient States. SPE J. 2022, 27, 452–464. [Google Scholar] [CrossRef]
- Deng, E.; Zhang, Q.; Jin, Z.; Zhu, R.; Yan, Z.; Jiang, B.; Littke, R. Non-Overmature Equivalents Confirmed a High Initial Hydrocarbon Generation Potential of the Permian Longtan Shale in Southern China. Int. J. Coal Geol. 2022, 259, 104043. [Google Scholar] [CrossRef]
- Liu, X.; Nie, B. Fractal Characteristics of Coal Samples Utilizing Image Analysis and Gas Adsorption. Fuel 2016, 182, 314–322. [Google Scholar] [CrossRef]
- Fu, X.; Qin, Y.; Zhang, W.; Wei, C.; Zhou, R. Fractal Classification and Natural Classification of Coal Pore Structure Based on Migration of Coal Bed Methane. Chin. Sci. Bull. 2005, 50, 66–71. [Google Scholar] [CrossRef]
- Huang, F.; Cao, Z.; Jiang, S.-H.; Zhou, C.; Huang, J.; Guo, Z. Landslide Susceptibility Prediction Based on a Semi-Supervised Multiple-Layer Perceptron Model. Landslides 2020, 17, 2919–2930. [Google Scholar] [CrossRef]
- Jiang, S.-H.; Huang, J.; Huang, F.; Yang, J.; Yao, C.; Zhou, C.-B. Modelling of Spatial Variability of Soil Undrained Shear Strength by Conditional Random Fields for Slope Reliability Analysis. Appl. Math. Model. 2018, 63, 374–389. [Google Scholar] [CrossRef]
- Huang, F.; Zhang, J.; Zhou, C.; Wang, Y.; Huang, J.; Zhu, L. A Deep Learning Algorithm Using a Fully Connected Sparse Autoencoder Neural Network for Landslide Susceptibility Prediction. Landslides 2020, 17, 217–229. [Google Scholar] [CrossRef]
- Chang, Z.; Catani, F.; Huang, F.; Liu, G.; Meena, S.R.; Huang, J.; Zhou, C. Landslide Susceptibility Prediction Using Slope Unit-Based Machine Learning Models Considering the Heterogeneity of Conditioning Factors. J. Rock Mech. Geotech. Eng. 2022, S1674775522001615. [Google Scholar] [CrossRef]
- Ju, Y.; Luxbacher, K.; Li, X.; Wang, G.; Yan, Z.; Wei, M.; Yu, L. Micro-Structural Evolution and Their Effects on Physical Properties in Different Types of Tectonically Deformed Coals. Int. J. Coal Sci. Technol. 2014, 1, 364–375. [Google Scholar] [CrossRef]
- Cai, Y.; Li, Q.; Liu, D.; Zhou, Y.; Lv, D. Insights into Matrix Compressibility of Coals by Mercury Intrusion Porosimetry and N2 Adsorption. Int. J. Coal Geol. 2018, 200, 199–212. [Google Scholar] [CrossRef]
- Yang, Q.; Xue, J.; Li, W.; Du, X.; Ma, Q.; Zhan, K.; Chen, Z. Comprehensive Evaluation and Interpretation of Mercury Intrusion Porosimetry Data of Coals Based on Fractal Theory, Tait Equation and Matrix Compressibility. Fuel 2021, 298, 120823. [Google Scholar] [CrossRef]
- Yao, Y.; Liu, D.; Tang, D.; Tang, S.; Huang, W.; Liu, Z.; Che, Y. Fractal Characterization of Seepage-Pores of Coals from China: An Investigation on Permeability of Coals. Comput. Geosci. 2009, 35, 1159–1166. [Google Scholar] [CrossRef]
- Qin, L.; Zhai, C.; Liu, S.; Xu, J.; Wu, S.; Dong, R. Fractal Dimensions of Low Rank Coal Subjected to Liquid Nitrogen Freeze-Thaw Based on Nuclear Magnetic Resonance Applied for Coalbed Methane Recovery. Powder Technol. 2018, 325, 11–20. [Google Scholar] [CrossRef]
- Liu, L.; Cui, Z.; Wang, J.; Xia, Z.; Duan, L.; Yang, Y.; Li, M.; Li, T. Pore Size Distribution Characteristics of High Rank Coal with Various Grain Sizes. ACS Omega 2020, 5, 19785–19795. [Google Scholar] [CrossRef]














| Sample Nos. | Coal Rank | Ro/% | Proximate and Ultimate (wt%) | Porosity (%) | Total Pore Volume (mL/g) | ||
|---|---|---|---|---|---|---|---|
| Mad | Ad | Vdaf | |||||
| M1 | Bituminous coal | 1.05 | 0.75 | 16.28 | 33.48 | 4.01 | 0.0284 |
| M2 | 1.07 | 1.68 | 25.17 | 31.80 | 3.85 | 0.0236 | |
| M3 | 1.13 | 1.52 | 24.83 | 30.85 | 5.68 | 0.0412 | |
| M4 | 1.09 | 0.95 | 20.48 | 32.97 | 3.27 | 0.0244 | |
| M5 | 1.10 | 0.88 | 19.34 | 29.18 | 4.22 | 0.0251 | |
| S1 | 1.45 | 1.06 | 21.87 | 23.98 | 3.74 | 0.0261 | |
| S2 | 1.22 | 1.14 | 19.27 | 24.59 | 4.02 | 0.0248 | |
| S3 | 1.43 | 1.28 | 21.39 | 22.48 | 3.84 | 0.0257 | |
| S4 | 1.24 | 1.85 | 20.14 | 24.26 | 3.97 | 0..0277 | |
| F1 | 1.67 | 0.95 | 18.67 | 21.87 | 3.78 | 0.0191 | |
| F2 | 1.54 | 1.25 | 19.38 | 20.89 | 3.68 | 0.0210 | |
| F3 | 1.68 | 0.85 | 21.08 | 18.92 | 3.47 | 0.0199 | |
| F4 | 1.42 | 1.33 | 19.38 | 19.46 | 4.89 | 0.0223 | |
| W1 | 1.81 | 0.71 | 26.15 | 19.38 | 9.25 | 0.0538 | |
| W2 | 1.85 | 0.98 | 28.62 | 18.89 | 9.14 | 0.0634 | |
| W3 | 1.93 | 0.69 | 12.53 | 15.94 | 5.37 | 0.0402 | |
| W4 | 1.84 | 0.78 | 18.78 | 17.96 | 6.47 | 0.0581 | |
| W5 | 1.79 | 0.93 | 20.96 | 20.39 | 7.25 | 0.0495 | |
| W6 | 1.92 | 0.73 | 14.69 | 18.88 | 5.77 | 0.0513 | |
| G1 | 1.95 | 0.71 | 28.14 | 17.82 | 3.64 | 0.0227 | |
| G2 | 1.85 | 0.92 | 18.98 | 20.68 | 5.87 | 0.0428 | |
| G3 | 1.92 | 1.24 | 24.39 | 17.11 | 4.26 | 0.0328 | |
| G4 | 1.89 | 0.85 | 20.64 | 20.47 | 5.84 | 0.0215 | |
| H1 | Anthracite | 3.31 | 2.30 | 21.38 | 7.88 | 3.41 | 0.0213 |
| H2 | 3.24 | 2..14 | 20.86 | 10.96 | 4.95 | 0.0328 | |
| H3 | 3.14 | 2.02 | 17.39 | 12.85 | 3.99 | 0.0259 | |
| H4 | 3.30 | 1.95 | 20.18 | 8.89 | 4.12 | 0.027 | |
| Sample Nos. | Percolation Pore Segment | Diffusion Pore Segment | Dt | ||||||
|---|---|---|---|---|---|---|---|---|---|
| Linear Fitting Equation | R2 | Dp | Pore Size Ratio /% | Linear Fitting Equation | R2 | Dd | Pore Size Ratio /% | ||
| M1 | Y = −0.948x − 2.675 | 0.96 | 3.05 | 44 | Y = −0.267x − 3.457 | 0.92 | 3.73 | 56 | 3.43 |
| M2 | Y = −0.962x − 2.688 | 0.88 | 3.04 | 35 | Y = −0.157x − 3.627 | 0.90 | 3.84 | 65 | 3.56 |
| M3 | Y = −0.958x − 2.635 | 0.81 | 3.04 | 41 | Y = −0.257x − 3.659 | 0.87 | 3.74 | 59 | 3.46 |
| M4 | Y = −0.922x − 2.578 | 0.84 | 3.08 | 39 | Y = −0.195x − 3.561 | 0.82 | 3.81 | 61 | 3.52 |
| M5 | Y = −0.968x − 2.458 | 0.80 | 3.03 | 42 | Y = −0.281x − 3.486 | 0.84 | 3.72 | 58 | 3.43 |
| S1 | Y = −0.937x − 2.757 | 0.89 | 3.06 | 37 | Y = −0.348x − 3.585 | 0.96 | 3.65 | 63 | 3.43 |
| S2 | Y = −0.952x − 2.582 | 0.81 | 3.05 | 38 | Y = −0.385x − 3.518 | 0.91 | 3.62 | 62 | 3.40 |
| S3 | Y = −0.901x − 2.747 | 0.85 | 3.10 | 35 | Y = −0.315x − 3.685 | 0.82 | 3.69 | 65 | 3.48 |
| S4 | Y = −0.978x − 2.638 | 0.88 | 3.02 | 41 | Y = −0.341x − 3.725 | 0.84 | 3.66 | 59 | 3.40 |
| F1 | Y = −1.124x − 2.735 | 0.91 | 2.88 | 32 | Y = −0.161x − 3.752 | 0.96 | 3.84 | 68 | 3.53 |
| F2 | Y = −1.114x − 2.582 | 0.88 | 2.89 | 39 | Y = −0.158x − 3.857 | 0.84 | 3.84 | 61 | 3.47 |
| F3 | Y = −1.125x − 2.758 | 0.81 | 2.88 | 35 | Y = −0.181x − 3.581 | 0.86 | 3.82 | 65 | 3.49 |
| F4 | Y = −1.117x − 2.856 | 0.84 | 2.88 | 37 | Y = −0.178x − 3.893 | 0.90 | 3.82 | 63 | 3.47 |
| W1 | Y = −1.117x − 2.117 | 0.90 | 2.88 | 76 | Y = −0.435x − 3.172 | 0.99 | 3.57 | 24 | 3.05 |
| W2 | Y = −1.101x − 2.333 | 0.91 | 2.90 | 69 | Y = −0.211x − 3.578 | 0.92 | 3.79 | 31 | 3.17 |
| W3 | Y = −1.027x − 2.480 | 0.92 | 2.97 | 48 | Y = −0.386x − 3.468 | 0.96 | 3.61 | 52 | 3.31 |
| W4 | Y = −1.146x − 2.500 | 0.90 | 2.85 | 65 | Y = −0.582x − 3.573 | 0.87 | 3.42 | 35 | 3.05 |
| W5 | Y = −1.085x − 2.581 | 0.88 | 2.92 | 58 | Y = −0.379x − 3.458 | 0.80 | 3.62 | 42 | 3.21 |
| W6 | Y = −1.055x − 2.494 | 0.82 | 2.95 | 49 | Y = −0.375x − 3.483 | 0.96 | 3.63 | 51 | 3.29 |
| G1 | Y = −0.877x − 2.824 | 0.89 | 3.12 | 34 | Y = −0.235x − 3.788 | 0.89 | 3.77 | 66 | 3.55 |
| G2 | Y = −0.925x − 2.458 | 0.87 | 3.08 | 38 | Y = −0.285x − 3.581 | 0.89 | 3.72 | 62 | 3.47 |
| G3 | Y = −0.895x − 2.594 | 0.81 | 3.11 | 42 | Y = −0.246x − 3.673 | 0.85 | 3.75 | 58 | 3.48 |
| G4 | Y = −0.880x − 2.765 | 0.79 | 3.12 | 36 | Y = −0.249x − 3.657 | 0.90 | 3.75 | 64 | 3.52 |
| H1 | Y = −0.955x − 2.764 | 0.96 | 3.05 | 22 | Y = −0.207x − 3.355 | 0.91 | 3.79 | 78 | 3.63 |
| H2 | Y = −0.924x − 2.724 | 0.90 | 3.08 | 38 | Y = −0.182x − 3.278 | 0.81 | 3.82 | 62 | 3.54 |
| H3 | Y = −0.975x − 2.681 | 0.85 | 3.03 | 32 | Y = −0.214x − 3.281 | 0.86 | 3.79 | 68 | 3.54 |
| H4 | Y = −0.968x − 2.588 | 0.80 | 3.03 | 29 | Y = −0.193x − 3.589 | 0.90 | 3.81 | 71 | 3.58 |
Publisher’s Note: MDPI stays neutral with regard to jurisdictional claims in published maps and institutional affiliations. |
© 2022 by the authors. Licensee MDPI, Basel, Switzerland. This article is an open access article distributed under the terms and conditions of the Creative Commons Attribution (CC BY) license (https://creativecommons.org/licenses/by/4.0/).
Share and Cite
Fu, W.; Hu, W.; Yi, T.; Kane, O.I.; Zhang, M.; Huang, X. Fractal Dimension Analysis of Pores in Coal Reservoir and Their Impact on Petrophysical Properties: A Case Study in the Province of Guizhou, SW China. Minerals 2022, 12, 1425. https://doi.org/10.3390/min12111425
Fu W, Hu W, Yi T, Kane OI, Zhang M, Huang X. Fractal Dimension Analysis of Pores in Coal Reservoir and Their Impact on Petrophysical Properties: A Case Study in the Province of Guizhou, SW China. Minerals. 2022; 12(11):1425. https://doi.org/10.3390/min12111425
Chicago/Turabian StyleFu, Wei, Wangshui Hu, Tongsheng Yi, Oumar Ibrahima Kane, Manting Zhang, and Xin Huang. 2022. "Fractal Dimension Analysis of Pores in Coal Reservoir and Their Impact on Petrophysical Properties: A Case Study in the Province of Guizhou, SW China" Minerals 12, no. 11: 1425. https://doi.org/10.3390/min12111425
APA StyleFu, W., Hu, W., Yi, T., Kane, O. I., Zhang, M., & Huang, X. (2022). Fractal Dimension Analysis of Pores in Coal Reservoir and Their Impact on Petrophysical Properties: A Case Study in the Province of Guizhou, SW China. Minerals, 12(11), 1425. https://doi.org/10.3390/min12111425
