Vertical Distribution of Cyanide and Heavy Metals in a Tailings Pond in Jilin, China
Abstract
:1. Introduction
2. Materials and Methods
2.1. Study Area
2.2. Sample Collection and Chemical Analyses
2.3. Sample and Data Analysis
3. Results and Discussion
3.1. Process Mineralogy of Tailings
3.1.1. Particle Size Distribution of Cyanide Tailings
3.1.2. Chemical Composition of Cyanide Tailings
3.1.3. Composition and Content of Minerals in Cyanide Tailings
3.2. Statistical Analysis of Cyanide and Heavy Metals in Tailings Pond
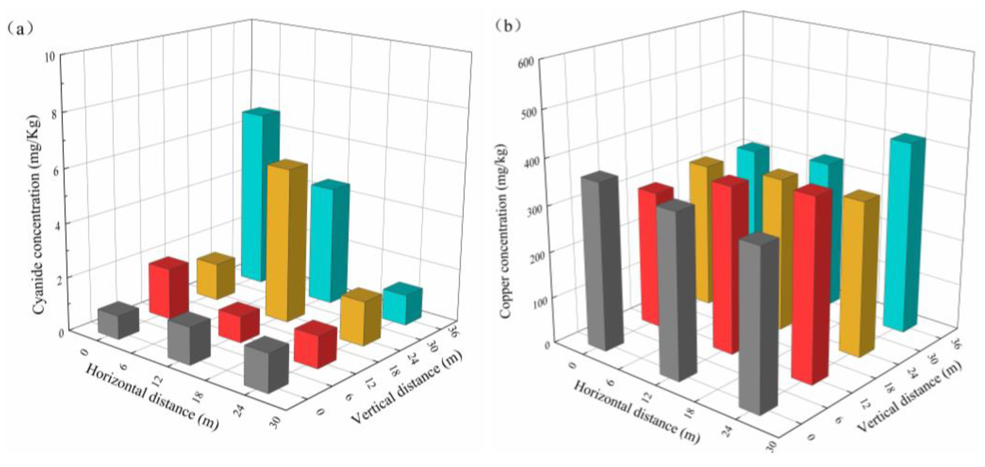
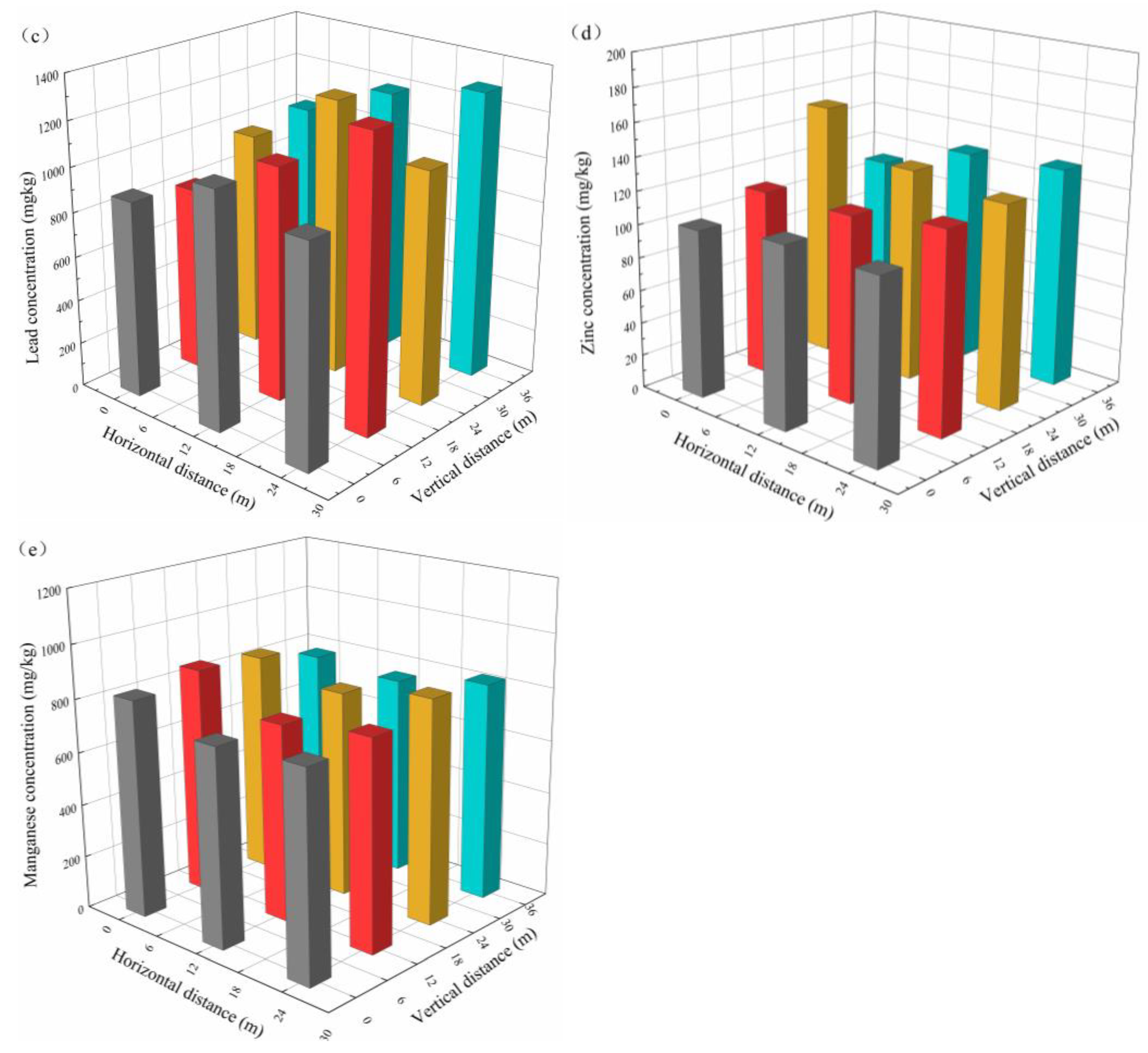
3.3. Horizontal Distribution of Cyanide and Heavy Metals in Tailings Pond
3.4. Vertical Distribution of Cyanide and Heavy Metals in Tailings Pond
4. Conclusions
Author Contributions
Funding
Data Availability Statement
Conflicts of Interest
References
- Mikoda, B.; Kucha, H.; Potysz, A.; Kmiecik, E. Metallurgical Slags from Cu Production and Pb Recovery in Poland–Their Environmental Stability and Resource Potential. Appl. Geochem. 2018, 98, 459–472. [Google Scholar] [CrossRef]
- Potysz, A.; van Hullebusch, E.D.; Kierczak, J. Perspectives Regarding the Use of Metallurgical Slags as Secondary Metal Resources–A Review of Bioleaching Approaches. J. Environ. Manag. 2018, 219, 138–152. [Google Scholar] [CrossRef] [PubMed]
- Song, S.; Chu, J.; Zhang, H. Study on Environmental Risk Assessment and Control Countermeasures of Tailings Pond in a Mountainous Area of North China. IOP Conf. Ser. Earth Environ. Sci. 2020, 585, 012095. [Google Scholar] [CrossRef]
- Wang, T.; Zhou, Y.; Lv, Q.; Zhu, Y.; Jiang, C. A Safety Assessment of the New Xiangyun Phosphogypsum Tailings Pond. Miner. Eng. 2011, 24, 1084–1090. [Google Scholar] [CrossRef]
- Çelik, Ö.; Elbeyli, I.Y.; Pişkin, S. Utilization of Gold Tailings as an Additive in Portland Cement. Waste Manag. Res. 2006, 24, 215–224. [Google Scholar] [CrossRef] [PubMed]
- Zhang, W.; Long, J.; Wei, Z.; Alakangas, L. Vertical Distribution and Historical Loss Estimation of Heavy Metals in an Abandoned Tailings Pond at HTM Copper Mine, Northeastern. Environ. Earth Sci. 2016, 75, 1462. [Google Scholar] [CrossRef]
- Zhang, H.; Zhang, Z.; Ma, X.; Zhang, Q. Spatial Distribution and Risk Assessment of Pollutants in a Tailings Pond for Gold Mining in Pinggu District, Beijing, China. Environ. Earth Sci. 2021, 80, 416. [Google Scholar] [CrossRef]
- Zhang, S.H.; Zheng, Y.J.; Cao, P.; Li, C.H.; Lai, S.Z.; Wang, X.J. Process Mineralogy Characteristics of Acid Leaching Residue Produced in Low-Temperature Roasting-Acid Leaching Pretreatment Process of Refractory Gold Concentrates. Int. J. Miner. Metall. Mater. 2018, 25, 1132–1139. [Google Scholar] [CrossRef]
- Brüger, A.; Fafilek, G.; Restrepo, B.O.J.; Rojas-Mendoza, L. On the Volatilisation and Decomposition of Cyanide Contaminations from Gold Mining. Sci. Total Environ. 2018, 627, 1167–1173. [Google Scholar] [CrossRef]
- Yang, Z.; Yu, H.; Hao, F.; Wang, T. Experimental Study on Comprehensive Recovery of Copper and Lead from a Cyanide Tailings. Gold 2021, 42, 76–80. [Google Scholar] [CrossRef]
- Liu, J.; Jiao, B.; Li, D. Study on the Toxicity of Cyanogen-Containing Industrial Wasteresidues. Adv. Mater. Res. 2011, 160–162, 927–932. [Google Scholar] [CrossRef]
- Griffiths, S.R.; Smith, G.B.; Donato, D.B.; Gillespie, C.G. Factors Influencing the Risk of Wildlife Cyanide Poisoning on a Tailings Storage Facility in the Eastern Goldfields of Western Australia. Ecotoxicol. Environ. Saf. 2009, 72, 1579–1586. [Google Scholar] [CrossRef] [PubMed]
- Zeng, Q.; Wang, Z.; He, H.; Wang, Y.; Zhang, S.; Liu, J. Multiple Isotope Composition (S, Pb, H, O, He, and Ar) and Genetic Implications for Gold Deposits in the Jiapigou Gold Belt, Northeast China. Miner. Deposita 2014, 49, 145–164. [Google Scholar] [CrossRef]
- Lv, C.; Ding, J.; Qian, P.; Li, Q.; Ye, S.; Chen, Y. Comprehensive Recovery of Metals from Cyanidation Tailing. Miner. Eng. 2015, 70, 141–147. [Google Scholar] [CrossRef]
- Mahdi, M.; Askari-nasab, H. Environmental Modelling & Software Integration of Reclamation and Tailings Management in Oil Sands Surface Mine Planning. Environ. Model. Softw. 2014, 51, 45–58. [Google Scholar] [CrossRef]
- Mcgregor, R.G.; Blowes, D.W. The Physical, Chemical and Mineralogical Properties of Three Cemented Layers within Sulfide-Bearing Mine Tailings. J. Geochem. Explor. 2002, 76, 195–207. [Google Scholar] [CrossRef]
- Pan, L.; Ma, J.; Wang, X.; Hou, H. Heavy Metals in Soils from a Typical County in Shanxi Province, China: Levels, Sources and Spatial Distribution. Chemosphere 2016, 148, 248–254. [Google Scholar] [CrossRef] [PubMed]










| Composition | Au * | Ag * | Cu | Pb | Zn | Mn | Fe | SiO2 | Al2O3 |
|---|---|---|---|---|---|---|---|---|---|
| wt/% | 0.90 | 19.29 | 0.34 | 0.36 | 0.35 | 0.19 | 4.33 | 76.79 | 5.61 |
| Minerals | Pyrite | Chalcopyrite | Sphalerite | Galena | Quartz | Silicate Minerals | Carbonate Minerals | Others |
|---|---|---|---|---|---|---|---|---|
| wt/% | 4.44 | 0.97 | 0.01 | 0.30 | 73.56 | 11.98 | 8.37 | 0.47 |
| N 1 | Max | Min | Mean | S.D | CV (%) | |
|---|---|---|---|---|---|---|
| Cyanide | 300 | 19.20 | 0.11 | 2.50 | 2.88 | 115.2 |
| Copper | 300 | 824.00 | 88.00 | 342.83 | 114.99 | 33.54 |
| Lead | 300 | 2360.00 | 76.90 | 571.09 | 581.75 | 101.87 |
| Zinc | 300 | 2620.00 | 68.30 | 610.15 | 568.29 | 93.14 |
| Manganese | 300 | 1430.00 | 663.00 | 796.63 | 66.61 | 8.36 |
Publisher’s Note: MDPI stays neutral with regard to jurisdictional claims in published maps and institutional affiliations. |
© 2022 by the authors. Licensee MDPI, Basel, Switzerland. This article is an open access article distributed under the terms and conditions of the Creative Commons Attribution (CC BY) license (https://creativecommons.org/licenses/by/4.0/).
Share and Cite
Li, Z.; Zhao, Q.; Yang, H.; Liu, Q.; Zhang, Y.; Wang, Y.; Tong, L. Vertical Distribution of Cyanide and Heavy Metals in a Tailings Pond in Jilin, China. Minerals 2022, 12, 1394. https://doi.org/10.3390/min12111394
Li Z, Zhao Q, Yang H, Liu Q, Zhang Y, Wang Y, Tong L. Vertical Distribution of Cyanide and Heavy Metals in a Tailings Pond in Jilin, China. Minerals. 2022; 12(11):1394. https://doi.org/10.3390/min12111394
Chicago/Turabian StyleLi, Zhehao, Qianfei Zhao, Hongying Yang, Qiang Liu, Yu Zhang, Ying Wang, and Linlin Tong. 2022. "Vertical Distribution of Cyanide and Heavy Metals in a Tailings Pond in Jilin, China" Minerals 12, no. 11: 1394. https://doi.org/10.3390/min12111394
APA StyleLi, Z., Zhao, Q., Yang, H., Liu, Q., Zhang, Y., Wang, Y., & Tong, L. (2022). Vertical Distribution of Cyanide and Heavy Metals in a Tailings Pond in Jilin, China. Minerals, 12(11), 1394. https://doi.org/10.3390/min12111394
