The Extraction Effect of Supercritical CO2 on Coal Organic Matter Based on CO2 Sequestration in Unmineable Coal Seam
Abstract
1. Introduction
2. Materials and Methods
2.1. Materials
2.2. Methods
2.2.1. Experimental Apparatus
2.2.2. Experimental Methods
2.2.3. GC/MS Conditions
2.2.4. Identification and Quantification of the Components
3. Results
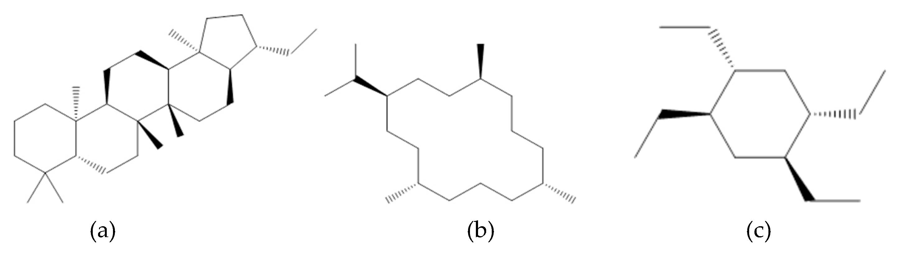
3.1. Hydrocarbons
3.1.1. Acyclic Alkanes
3.1.2. Alkenes
3.1.3. Cycloalkanes
3.1.4. Aromatic Hydrocarbons
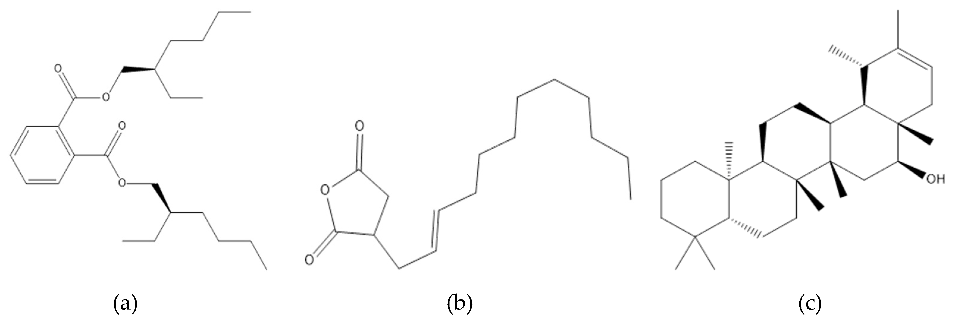
3.2. Oxygen-Containing Compounds
3.2.1. Alcohols
3.2.2. Esters
3.2.3. Carboxylic Acids
3.2.4. Ketones
3.2.5. Other Oxygen-Containing Compounds
3.3. Nitrogen-Containing Compounds
3.4. Sulfur-Containing Compounds
4. Discussion
4.1. Effect of Supercritical CO2 Extracts on CO2 Flow in Coal Seam
4.2. Environmental Ramifications for CO2 Sequestration
5. Conclusions
Author Contributions
Funding
Data Availability Statement
Conflicts of Interest
References
- Chen, Y.; Zhong, X.S.; Zhang, Q. Synthesis of CO2-Philic Polysiloxane with N-Halamine Side Groups for Biocidal Coating on Cotton. Ind. Eng. Chem. Res. 2012, 51, 9260–9265. [Google Scholar] [CrossRef]
- Chen, Y.; Han, Q.X.; Wang, Y.L.; Zhang, Q.; Qiao, X.X. Synthesis of pyridinium polysiloxane for antibacterial coating in supercritical carbon dioxide. J. Appl. Polym. Sci. 2015, 132, 41723. [Google Scholar] [CrossRef]
- Sun, S.C.; Liu, C.L.; Ye, Y.G. Phase equilibrium condition of marine carbon dioxide hydrate. J. Chem. Thermodyn. 2013, 57, 256–260. [Google Scholar] [CrossRef]
- White, C.M.; Smith, D.H.; Jones, K.L.; Goodman, A.L.; Jikich, S.A.; LaCount, R.B.; DuBose, S.B.; Ozdemir, E.; Morsi, B.I.; Schroeder, K.T. Sequestration of Carbon Dioxide in Coal with Enhanced Coalbed Methane Recovery—A Review. Energy Fuels 2005, 19, 659–724. [Google Scholar] [CrossRef]
- Sun, S.C.; Liu, C.L.; Meng, Q.G. Hydrate phase equilibrium of binary guest-mixtures containing CO2 and N2 in various systems. J. Chem. Thermodyn. 2015, 84, 1–6. [Google Scholar] [CrossRef]
- Jiang, R.; Yu, H.; Wang, L. Limitations of measurements of supercritical CO2 sorption isotherms on coals with manometric equipment—A theoretical description. Bulg. Chem. Commun. 2017, 49, 509–519. [Google Scholar]
- Yu, H.; Jiang, R.; Chen, L. Limitations of measurements of supercritical CO2 sorption isotherms on coals with manometric equipment—An experimental case study. Bulg. Chem. Commun. 2017, 49, 77–82. [Google Scholar]
- Kolak, J.J.; Burruss, R.C. Geochemical Investigation of the Potential for Mobilizing Non-Methane Hydrocarbons during Carbon Dioxide Storage in Deep Coal Beds. Energy Fuels 2006, 20, 566–574. [Google Scholar] [CrossRef]
- Bizhani, M.; Ardakani, O.H.; Hawthorne, S.B.; Cesar, J.; Kurz, B.; Percival, J.B. CO2-Enhanced Oil Recovery Mechanism in Canadian Bakken Shale. Minerals 2022, 12, 779. [Google Scholar] [CrossRef]
- Zhang, D.; Gu, L.; Li, S.; Lian, P.; Tao, J. Interactions of Supercritical CO2 with Coal. Energy Fuels 2013, 27, 387–393. [Google Scholar] [CrossRef]
- Tian, B.; Qiao, Y.Y.; Tian, Y.Y.; Xie, K.C.; Liu, Q.; Zhou, H.F. FTIR study on structural changes of different-rank coals caused by single/multiple extraction with cyclohexanone and NMP/CS2 mixed solvent. Fuel Process. Technol. 2016, 154, 210–218. [Google Scholar] [CrossRef]
- Zhou, G.; Xu, C.C.; Cheng, W.M.; Zhang, Q.; Nie, W. Effects of Oxygen Element and Oxygen-Containing Functional Groups on Surface Wettability of Coal Dust with Various Metamorphic Degrees Based on XPS Experiment. J. Anal. Methods Chem. 2015, 2015, 467242. [Google Scholar] [CrossRef] [PubMed]
- Hedges, S.W.; Soong, Y.; McCarthy Jones, J.R.; Harrison, D.K.; Irdi, G.; Frommell, E.; Dilmore, R.; White, C. Exploratory study of some potential environmental impacts of CO2 sequestration in unmineable coal seams. Int. J. Environ. Pollut. 2007, 29, 457–473. [Google Scholar] [CrossRef]
- Kolak, J.J.; Hackley, P.C.; Ruppert, L.F.; Warwick, P.D.; Burruss, R.C. Using Ground and Intact Coal Samples To Evaluate Hydrocarbon Fate during Supercritical CO2 Injection into Coal Beds: Effects of Particle Size and Coal Moisture. Energy Fuels 2015, 29, 5187–5203. [Google Scholar] [CrossRef]
- Cao, J.P.; Zong, Z.M.; Zhao, X.Y.; Sun, L.B.; Lee, C.W.; Zhao, W.; Wei, X.Y. Identification of Sulfur- and Nitrogen-containing Organic Species in the Extracts from Pocahontas No. 3 Coal. Energy Source Part A 2010, 32, 1086–1099. [Google Scholar] [CrossRef]
- Wang, Y.H.; Wei, X.Y.; Yue, X.M.; Sun, B.; Wen, Z.; Lv, J.H.; Wang, S.Z.; Zong, Z.M.; Fan, X.; Zhao, Y.P. The Compositional Features of Thermally Soluble Fractions from Two Chinese Coals in Cyclohexane. Energy Source Part A 2013, 35, 1836–1844. [Google Scholar] [CrossRef]
- Wei, X.; Wang, X.; Zong, Z. Extraction of Organonitrogen Compounds from Five Chinese Coals with Methanol. Energy Fuels 2009, 23, 4848–4851. [Google Scholar] [CrossRef]
- Furmann, A.; Mastalerz, M.; Brassell, S.C.; Schimmelmann, A.; Picardal, F. Extractability of biomarkers from high- and low-vitrinite coals and its effect on the porosity of coal. Int. J. Coal Geol. 2013, 107, 141–151. [Google Scholar] [CrossRef]
- Fabiańska, M.J.; Kurkiewicz, S. Biomarkers, aromatic hydrocarbons and polar compounds in the Neogene lignites and gangue sediments of the Konin and Turoszów Brown Coal Basins (Poland). Int. J. Coal Geol. 2013, 107, 24–44. [Google Scholar] [CrossRef]
- Yu, H.; Jiang, R.; Chen, L. Supercritical CO2 extraction of organic matter from coal based on CO2 sequestration in deep coal seams. Bulg. Chem. Commun. 2017, 49, 49–54. [Google Scholar]
- Jiang, J.; Wang, Q.; Wang, Y.; Tong, W.; Xiao, B. GC/MS Analysis of Coal Tar Composition Produced from Coal Pyrolysis. Bull. Chem. Soc. Ethiop. 2007, 21, 229. [Google Scholar] [CrossRef]
- Wang, X.; Wei, X. GC/MS analyses of fractionated extraction of Shenfu coal with CS2,n-hexane,benzene. J. Coal Sci. Eng. 2008, 14, 672–674. [Google Scholar] [CrossRef]
- Fabiańska, M.J.; Smółka-Danielowska, D. Biomarker compounds in ash from coal combustion in domestic furnaces (Upper Silesia Coal Basin, Poland). Fuel 2012, 102, 333–344. [Google Scholar] [CrossRef]
- Killops, S.D.; Al-Juboori, M.A.H.A. Characterisation of the unresolved complex mixture (UCM) in the gas chromatograms of biodegraded petroleums. Org. Geochem. 1990, 15, 147–160. [Google Scholar] [CrossRef]
- White, H.K.; Xu, L.; Hartmann, P.; Quinn, J.G.; Reddy, C.M. Unresolved Complex Mixture (UCM) in Coastal Environments Is Derived from Fossil Sources. Environ. Sci. Technol. 2013, 47, 726–731. [Google Scholar] [CrossRef]
- Peters, K.E.; Walters, C.C.; Moldowan, J.M. The Biomarker Guide: Volume 1, Biomarkers and Isotopes in the Environment and Human History, 2nd ed.; Cambridge University Press: Cambridge, UK, 2005; pp. 104–362. [Google Scholar]
- Cui, X.; Bustin, R.M.; Dipple, G. Selective transport of CO2, CH4, and N2 in coals: Insights from modeling of experimental gas adsorption data. Fuel 2004, 83, 293–303. [Google Scholar] [CrossRef]
- Speight, J.G. The Chemistry and Technology of Coal, 3rd ed.; CRC Press: Boca Raton, FL, USA, 2013; pp. 283–335. [Google Scholar]
- Moore, T.A. Coalbed methane: A review. Int. J. Coal Geol. 2012, 101, 36–81. [Google Scholar] [CrossRef]
- Gathitu, B.B.; Chen, W.; McClure, M. Effects of Coal Interaction with Supercritical CO2: Physical Structure. Ind. Eng. Chem. Res. 2009, 48, 5024–5034. [Google Scholar] [CrossRef]
- Liu, C.J.; Wang, G.X.; Sang, S.X.; Rudolph, V. Changes in pore structure of anthracite coal associated with CO2 sequestration process. Fuel 2010, 89, 2665–2672. [Google Scholar] [CrossRef]
- Wang, X.; Liu, H.; Zhang, D.; Yuan, X.; Zeng, P.; Zhang, H. Effects of CO2 adsorption on molecular structure characteristics of coal: Implications for CO2 geological sequestration. Fuel 2022, 321, 124155. [Google Scholar] [CrossRef]
- Zhang, G.; Ranjith, P.G.; Fu, X.; Li, X. Pore-fracture alteration of different rank coals: Implications for CO2 sequestration in coal. Fuel 2021, 289, 119801. [Google Scholar] [CrossRef]
- Cheng, Y.; Zhang, X.; Lu, Z.; Pan, Z.J.; Zeng, M.; Du, X.; Xiao, S. The effect of subcritical and supercritical CO2 on the pore structure of bituminous coals. J. Nat. Gas Sci. Eng. 2021, 94, 104132. [Google Scholar] [CrossRef]
- Mastalerz, M.; Drobniak, A.; Walker, R.; Morse, D. Coal lithotypes before and after saturation with CO2: Insights from micro- and mesoporosity, fluidity, and functional group distribution. Int. J. Coal Geol. 2010, 83, 467–474. [Google Scholar] [CrossRef]
- Hu, Z.; Zhang, D.; Wang, M.; Liu, S. Influences of supercritical carbon dioxide fluid on pore morphology of various rank coals: A review. Energy Explor. Exploit. 2020, 38, 1267–1294. [Google Scholar] [CrossRef]
- Zhu, W.; Liu, L.; Liu, J.; Wei, C.; Peng, Y. Impact of gas adsorption-induced coal damage on the evolution of coal permeability. Int. J. Rock Mech. Min. 2018, 101, 89–97. [Google Scholar] [CrossRef]
- Day, S.; Fry, R.; Sakurovs, R. Swelling of moist coal in carbon dioxide and methane. Int. J. Coal Geol. 2011, 86, 197–203. [Google Scholar] [CrossRef]
- Wang, K.; Du, F.; Wang, G. The influence of methane and CO2 adsorption on the functional groups of coals: Insights from a Fourier transform infrared investigation. J. Nat. Gas Sci. Eng. 2017, 45, 358–367. [Google Scholar] [CrossRef]
- Ranathunga, A.S.; Perera, M.S.A.; Ranjith, P.G.; Rathnaweera, T.D.; Zhang, X.G. Effect of Coal Rank on CO2 Adsorption Induced Coal Matrix Swelling with Different CO2 Properties and Reservoir Depths. Energy Fuels 2017, 31, 5297–5305. [Google Scholar] [CrossRef]
- Jia, J.; Sang, S.; Gao, L.; Liu, S. Characteristics of CO2/supercritical CO2 adsorption-induced swelling to anthracite: An experimental study. Fuel 2018, 216, 639–647. [Google Scholar]
- Li, H.; Chang, Q.; Dai, Z.; Chen, X.; Yu, G.; Wang, F. Upgrading Effects of Supercritical Carbon Dioxide Extraction on Physicochemical Characteristics of Chinese Low-Rank Coals. Energy Fuels 2017, 31, 13305–13316. [Google Scholar] [CrossRef]
- Chen, K.; Liu, X.; Wang, L.; Song, D.; Nie, B.; Yang, T. Influence of sequestered supercritical CO2 treatment on the pore size distribution of coal across the rank range. Fuel 2021, 306, 121708. [Google Scholar] [CrossRef]









| Coal Sample | Moisture, Mad | Ash | Volatile Matter Vdaf | Fixed Carbon FCdaf | |
|---|---|---|---|---|---|
| Aad | Ad | ||||
| Yinni | 6.89 | 9.06 | 9.73 | 50.08 | 49.92 |
| Neimeng | 3.87 | 7.51 | 7.81 | 36.84 | 63.16 |
| Shanxi | 2.87 | 10.51 | 10.82 | 9.57 | 90.43 |
| Coal Samples | Extracts Mass (g) | Volume of Acetone (mL) | ||||
|---|---|---|---|---|---|---|
| Yinni | Neimeng | Shanxi | Yinni | Neimeng | Shanxi | |
| Raw coal | 0.0210 | 0.0065 | 0.0064 | 35 | 11 | 11 |
| EC40 | 0.0181 | 0.0057 | 0.0055 | 30 | 9 | 10 |
| EC60 | 0.0148 | 0.0046 | 0.0048 | 25 | 8 | 8 |
| Compositions | Yinni Coal | Neimeng Coal | Shanxi Coal | |||||||
|---|---|---|---|---|---|---|---|---|---|---|
| Raw Coal | EC40 | EC60 | Raw Coal | EC40 | EC60 | Raw Coal | EC40 | EC60 | ||
| Hydrocarbons | Acyclic alkanes | 29.84 | 25.32 | 32.28 | 33.02 | 42.98 | 0.51 | 33.16 | 36.71 | 34.73 |
| Alkenes | 34.19 | 27.94 | 6.97 | 34.05 | 17.19 | 7.55 | 34.90 | 29.03 | 34.21 | |
| Cycloalkanes | 9.95 | 3.84 | 3.64 | 9.18 | 1.34 | - | 10.48 | 8.49 | 8.35 | |
| Aromatics | 1.53 | - | - | 2.96 | - | - | 1.68 | 2.19 | 4.67 | |
| Sum | 75.51 | 57.1 | 42.89 | 79.21 | 61.51 | 8.06 | 80.22 | 76.42 | 81.96 | |
| Oxygen-containing compounds | Alcohols | 1.30 | 3.08 | - | 3.20 | 0.51 | - | 0.35 | 0.98 | 0.94 |
| Esters | 7.15 | 29.04 | 49.07 | 5.84 | 8.73 | 12.79 | 5.7 | 8.49 | 12.7 | |
| Carboxylic acids | 6.30 | 6.47 | 8.04 | 1.78 | 2.76 | 4.07 | 3.60 | 3.77 | 1.26 | |
| Ketones | 4.48 | 4.31 | - | - | - | - | 4.33 | 5.03 | 0.26 | |
| Other | 0.34 | - | - | 3.50 | - | - | 1.08 | 0.76 | 2.40 | |
| Sum | 19.57 | 42.9 | 57.11 | 14.32 | 12 | 16.86 | 15.06 | 19.03 | 17.56 | |
| Nitrogen-containing compounds | 4.59 | - | - | 6.47 | 26.49 | 75.08 | 1.36 | 1.47 | 0.37 | |
| Sulfur-containing compounds | 0.33 | - | - | - | - | - | 3.36 | 3.08 | 0.11 | |
Publisher’s Note: MDPI stays neutral with regard to jurisdictional claims in published maps and institutional affiliations. |
© 2022 by the authors. Licensee MDPI, Basel, Switzerland. This article is an open access article distributed under the terms and conditions of the Creative Commons Attribution (CC BY) license (https://creativecommons.org/licenses/by/4.0/).
Share and Cite
Jiang, R.; Yu, H. The Extraction Effect of Supercritical CO2 on Coal Organic Matter Based on CO2 Sequestration in Unmineable Coal Seam. Minerals 2022, 12, 1254. https://doi.org/10.3390/min12101254
Jiang R, Yu H. The Extraction Effect of Supercritical CO2 on Coal Organic Matter Based on CO2 Sequestration in Unmineable Coal Seam. Minerals. 2022; 12(10):1254. https://doi.org/10.3390/min12101254
Chicago/Turabian StyleJiang, Renxia, and Hongguan Yu. 2022. "The Extraction Effect of Supercritical CO2 on Coal Organic Matter Based on CO2 Sequestration in Unmineable Coal Seam" Minerals 12, no. 10: 1254. https://doi.org/10.3390/min12101254
APA StyleJiang, R., & Yu, H. (2022). The Extraction Effect of Supercritical CO2 on Coal Organic Matter Based on CO2 Sequestration in Unmineable Coal Seam. Minerals, 12(10), 1254. https://doi.org/10.3390/min12101254
