Sign in to use this feature.

Years

Between: -

Subjects

remove_circle_outline
remove_circle_outline
remove_circle_outline
remove_circle_outline
remove_circle_outline
remove_circle_outline
remove_circle_outline
remove_circle_outline
remove_circle_outline

Journals

remove_circle_outline
remove_circle_outline
remove_circle_outline
remove_circle_outline
remove_circle_outline
remove_circle_outline
remove_circle_outline
remove_circle_outline
remove_circle_outline
remove_circle_outline
remove_circle_outline
remove_circle_outline
remove_circle_outline
remove_circle_outline
remove_circle_outline
remove_circle_outline
remove_circle_outline
remove_circle_outline
remove_circle_outline
remove_circle_outline
remove_circle_outline
remove_circle_outline
remove_circle_outline
remove_circle_outline
remove_circle_outline
remove_circle_outline
remove_circle_outline
remove_circle_outline
remove_circle_outline
remove_circle_outline
remove_circle_outline
remove_circle_outline
remove_circle_outline

Article Types

Countries / Regions

remove_circle_outline
remove_circle_outline
remove_circle_outline
remove_circle_outline
remove_circle_outline
remove_circle_outline
remove_circle_outline
remove_circle_outline
remove_circle_outline
remove_circle_outline
remove_circle_outline
remove_circle_outline

Search Results (12,368)

Search Parameters:
Keywords = GC/MS

Order results
Result details
Results per page
Select all
Export citation of selected articles as:
20 pages, 2262 KB  
Article
Valorization of Olive Stones: Chemical Composition and Bioactivity
by Bruna Nunes, Naiara Fernández, Andreia Bento Silva, Ana Partidário, Joana Marto, Elisabete M. C. Alexandre, Sofia Lourenço, Ana Teresa Serra, Maria Rosário Bronze, Noélia Duarte and Ana Margarida Rodrigues
Pharmaceuticals 2026, 19(3), 447; https://doi.org/10.3390/ph19030447 - 10 Mar 2026
Abstract
Background/Objectives: The consumption of olive oil and olives has been steadily increasing, leading to growing interest in the sustainable management of by-products such as olive stones. This work aimed to contribute to the development of valorization strategies by studying the chemical composition [...] Read more.
Background/Objectives: The consumption of olive oil and olives has been steadily increasing, leading to growing interest in the sustainable management of by-products such as olive stones. This work aimed to contribute to the development of valorization strategies by studying the chemical composition and biological potential of olive stone extracts, using both conventional and eco-friendly extraction methods with various solvents. Methods: Several extracts were prepared and chemically characterized regarding their fatty acid and phenolic profiles by GC-FID and HPLC-DAD-MS/MS, respectively. Their antioxidant, cytotoxic and antiproliferative activities were also evaluated. Results: n-Hexane Soxhlet extract yielded higher concentrations and a broader range of fatty acids when compared to the chloroform-methanol Folch extract. Oleic, palmitic, and linoleic acids were the predominant fatty acids in the extracts. A large variety of phenolic compounds were identified in extracts obtained by microwave-assisted extraction (MAE), including several flavonoids, small phenolic compounds, secoiridoids (nuezhenide and oleuropein), and hydroxytyrosol. MAE hydroalcoholic extracts showed high total phenolic content (TPC), antioxidant activity by the oxygen radical absorption capacity (ORAC) and hydroxyl radical scavenging capacity (HOSC) assays. Moreover, the aqueous ethanol (50%) and aqueous methanol (80%) extracts displayed low cytotoxicity toward the non-malignant Caco-2 cell line (IC50 values of 1.29 and 1.40 mg/mL, respectively), while both induced complete loss of viability in the HT-29 human colon adenocarcinoma cell line at 0.63 mg/mL. Conclusions: These findings highlight the potential of olive stone as a valuable source of bioactive compounds with antioxidant and selective antiproliferative properties. The results support their further exploration in the development of sustainable valorization strategies for olive industry by-products. Full article
(This article belongs to the Section Natural Products)
Show Figures

Figure 1

36 pages, 6243 KB  
Article
Enhanced Security of Bidirectional Communication in IoT-Driven Utility Networks Using Sertainty UXP and LoRaWAN
by Zaheen Afroz Simin, Semih Aslan, Marcelo M. Carvalho and Damian Valles
Sensors 2026, 26(6), 1752; https://doi.org/10.3390/s26061752 - 10 Mar 2026
Abstract
LoRaWAN holds immense potential in smart applications for its low-power, long-range communication capabilities and in-built AES-128 encryption for end-to-end security. However, prior research has identified critical security vulnerabilities, most notably its use of AES-128 encryption in ECB mode, which lacks semantic security. Sertainty [...] Read more.
LoRaWAN holds immense potential in smart applications for its low-power, long-range communication capabilities and in-built AES-128 encryption for end-to-end security. However, prior research has identified critical security vulnerabilities, most notably its use of AES-128 encryption in ECB mode, which lacks semantic security. Sertainty UXP (Unbreakable Exchange Protocol) technology enhances AES by embedding intelligence directly into the data. Sertainty Corporation’s UXP encryption employs AES-256-GCM, which offers authenticated encryption with integrated access control and policy enforcement at the data level, making it a promising candidate for securing sensitive IoT data. The objective of this study is to evaluate whether Sertainty UXP can operate effectively within the strict payload and performance constraints of LoRaWAN. To benchmark performance and overhead, several encryption algorithms, including AES-256-GCM, ASCON-128, SPECK, and XTEA, were implemented for comparison. For experimentation, smart meter data is encrypted with these algorithms and transmitted over LoRaWAN using the LoRa-E5 development board by Seeed Studio. The system’s performance is evaluated based on latency, payload size, and message integrity. Payloads are strategically split into LoRaWAN-compatible chunks and reassembled upon reception to meet network constraints. The results show that integrating UXP encryption within LoRaWAN is technically feasible, though it introduces additional overhead and latency. Despite this, the ability to embed robust encryption and controls directly within the data object offers significant potential to enhance end-to-end IoT security. The research concludes that Sertainty UXP can offer a viable and forward-looking solution for securing resource-constrained networks, provided implementation strategies carefully manage the trade-offs between security strength and transmission efficiency. Full article
(This article belongs to the Special Issue LoRa-Based IoT Applications in Smart Cities)
Show Figures

Figure 1

17 pages, 5281 KB  
Article
Comprehensive Characterization of Flavor Compounds in Dried Goji Berry (Lycium barbarum L.) Obtained from Different Origins with Different Drying Methods
by Guoli Dai, Xinru He, Bo Zhang, Linyuan Duan, Yujing Wang, Yuzhou Zhang and Huiling Ma
Metabolites 2026, 16(3), 183; https://doi.org/10.3390/metabo16030183 - 10 Mar 2026
Abstract
Background: Lycium barbarum L. is gaining significant interest as a medicinal and culinary raw material. The quality and aroma are significantly influenced by metabolite accumulation, which differs based on origins and drying methods. Methods: This study utilizes gas chromatography–mass spectrometry (GC-MS) to [...] Read more.
Background: Lycium barbarum L. is gaining significant interest as a medicinal and culinary raw material. The quality and aroma are significantly influenced by metabolite accumulation, which differs based on origins and drying methods. Methods: This study utilizes gas chromatography–mass spectrometry (GC-MS) to analyze the metabolic profiles of the ‘Ningqi’ No. 1 variety from three distinct origins employing two drying techniques (natural sun drying, NSD; hot-air drying, HAD). The samples include Zhongping, Ningxia, with HAD (1-1); Zhongning, Ningxia, with NSD (1-2); Wuwei, Gansu, with NSD (1-3); Nuomuhong, Qinghai, with NSD (1-4); and Nuomuhong, Qinghai, with HAD (1-5). Results: The study found that aldehydes, esters, ketones and alcohol are key secondary metabolites generated during NSD and HAD treatments of goji berry from various regions. Flavor analysis revealed the compound Ethanol, 2-phenoxy- (balsamic) was up accumulated in goji berry from Qinghai drying with NSD compared with HAD; goji berry drying with HAD collected from Ningxia compared with Qinghai; goji berry drying with NSD collected from Gansu compared with Ningxia; and goji berry drying with NSD collected from Qinghai compared with Ningxia. The compound 2-Thiophenemethanol (burnt) was up accumulated in goji berry drying with HAD collected from Ningxia compared with Qinghai. Further flavor analysis revealed that the compound Undecanal (floral) was up accumulated in goji berry drying with NSD collected from Qinghai compared with Ningxia and Gansu. 1H-Pyrrole-2-carboxaldehyde (burnt), 1-ethyl- (burnt) was up accumulated in goji berry drying with NSD collected from Qinghai compared with Gansu. KEGG enrichment analysis suggests that ‘Arginine and proline metabolism’ could be the primary metabolic pathway in the goji berry drying process. Conclusions: This study examined how origins and drying methods affected the metabolites and metabolic pathways of goji berries to elucidate the mechanisms impacting their quality and flavor. The findings provide important insights into the use of goji berries in functional foods and pharmaceuticals. Full article
(This article belongs to the Section Plant Metabolism)
Show Figures

Figure 1

35 pages, 1116 KB  
Systematic Review
Conventional Chromatographic Techniques and Biosensors for Mercury Speciation in Seafood: A Systematic Review
by Doaa Abouelenein, Miguel Henares, Ana Fuentes, Isabel Fernández-Segovia, José M. Barat, Katrin Loeschner, Lene Duedahl-Olesen, Maribel Gómez-Gómez, Amadeu Griol and Jens J. Sloth
Foods 2026, 15(6), 971; https://doi.org/10.3390/foods15060971 - 10 Mar 2026
Abstract
Mercury (Hg) is of significant concern due to its toxicity, which strongly depends on its chemical forms, and organic mercury compounds, particularly methylmercury (MeHg), are considered the most toxic species. Therefore, mercury speciation analysis is essential for accurate exposure and risk assessment. The [...] Read more.
Mercury (Hg) is of significant concern due to its toxicity, which strongly depends on its chemical forms, and organic mercury compounds, particularly methylmercury (MeHg), are considered the most toxic species. Therefore, mercury speciation analysis is essential for accurate exposure and risk assessment. The primary dietary source of mercury exposure for humans is food consumption, particularly seafood. Consequently, numerous studies have focused on developing analytical techniques for the identification, characterization, and quantification of Hg species in seafood. This review evaluates and compares recent developments (2014–2025) in analytical techniques for the identification and quantification of Hg species in seafood, focusing on both traditional chromatographic methods and emerging methodologies based on biosensors. Hyphenated techniques such as HPLC–ICP-MS and GC–ICP-MS have enabled significant advancements in mercury speciation analysis. Although chromatographic methods are highly effective and widely accepted due to their accuracy and sensitivity, they often require costly instrumentation, skilled operators, and lengthy analysis times. Biosensors are increasingly proposed as alternatives; however, their applicability to seafood analysis remains limited despite advantages such as portability, simplicity, and rapid response. They are still under development and face challenges in selectivity, stability, and standardization. This review provides an overview of existing methodologies, comparing their advantages and limitations, aiming to guide improvements toward optimal methods incorporating all advantageous features. Full article
Show Figures

Figure 1

17 pages, 1324 KB  
Article
Antarctic Fungi as a Source of Alternative Antifungal Compounds: Bioactive Metabolites from South Shetland Islands Fungi with Activity Against Candida Species
by Nicole Cortez, Muhammad Javid Iqbal, Cecilia Villegas, Jaime R. Cabrera-Pardo, Viviana Burgos, Sigisfredo Garnica, Sarah Zuern, Marcelo Ortega-Silva and Cristian Paz
Microorganisms 2026, 14(3), 617; https://doi.org/10.3390/microorganisms14030617 - 10 Mar 2026
Abstract
The emergence of drug-resistant Candida species has intensified efforts to discover novel bioactive compounds. Antarctic environments harbor psychrophilic microorganisms that produce unique secondary metabolites adapted to extreme conditions, making them valuable natural resources for drug discovery. During the 2020 Antarctic Scientific Expedition, we [...] Read more.
The emergence of drug-resistant Candida species has intensified efforts to discover novel bioactive compounds. Antarctic environments harbor psychrophilic microorganisms that produce unique secondary metabolites adapted to extreme conditions, making them valuable natural resources for drug discovery. During the 2020 Antarctic Scientific Expedition, we collected 19 sediment samples from the South Shetland Islands and isolated 14 fungal strains belonging to Cladosporium, Oidiodendron, Penicillium, Pseudeurotium, and Pseudogymnoascus genera. Total organic extracts obtained from 21-day cultures were evaluated for antimicrobial activity against pathogenic yeasts and bacteria. Oidiodendron sp. (ECA57-20) and Pseudogymnoascus sp. (ECA57-61) demonstrated strong anti-Candida activity with minimum inhibitory concentrations ranging from 7.81 to 62.5 µg/mL against C. albicans, Pichia kudriavzevii (C. krusei), C. tropicalis, Nakaseomyces glabratus (C. glabrata), and Clavispora lusitaniae (C. lusitaniae). GC-MS (gas chromatography mass spectrometry) metabolomic profiling suggests a broad diversity of secondary metabolites across active strains, which may contribute to the observed biological activities. These findings support the potential of Antarctic fungi as sources of alternative antifungal agents. Full article
(This article belongs to the Special Issue Research on Fungal Pathogen Candida spp. and Alternative Therapy)
Show Figures

Figure 1

22 pages, 715 KB  
Article
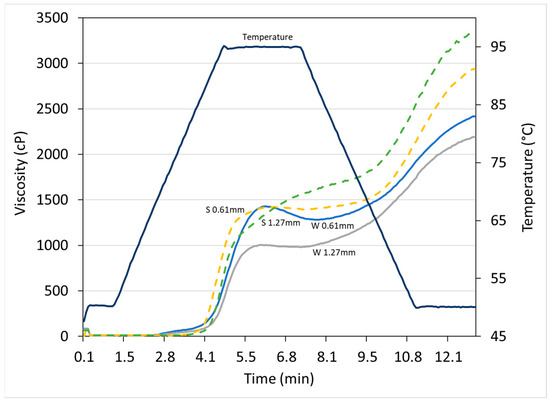
Impact of Raw Material Particle Size on Processing, Physical Quality and In Vivo Performance of Grain Sorghum and Wheat-Based Extruded Feed for Tilapia Oreochromis niloticus
by Tucker Graff, Donald A. Davis and Sajid Alavi
Animals 2026, 16(6), 858; https://doi.org/10.3390/ani16060858 - 10 Mar 2026
Abstract
This research compared grain sorghum with wheat as an ingredient in extruded, floating tilapia feed, and also studied the impact of pre-extrusion grinding intensity or hammer mill sieve size on extrusion parameters, final product quality and animal performance. With an increase in grind [...] Read more.
This research compared grain sorghum with wheat as an ingredient in extruded, floating tilapia feed, and also studied the impact of pre-extrusion grinding intensity or hammer mill sieve size on extrusion parameters, final product quality and animal performance. With an increase in grind size of the diets from 0.61 to 1.27 mm, higher specific thermal energy was observed; however, specific mechanical energy decreased, leading to lower expansion (pooled bulk density of 405.6 g/L versus 441.5 g/L). Grain source also impacted pellet expansion and quality, with sorghum-based aquatic feed pellets having higher piece density than wheat-based pellets (pooled average of 0.52 g/cm3 versus 0.48 g/cm3) and lower water absorption (pooled average of 255.7% versus 334.4%). Digestibility trends with respect to grain and grind size were not consistent for Nile tilapia fed different extruded diets, but results from a 12-week growth trial showed that tilapia fed the sorghum-based diet had a higher weight gain as compared to wheat-based diets (86.0% versus 81.8%). Grind size or grain did not have a statistically significant impact on feed conversion ratio (FCR), but the sorghum-based feed from medium grind had the lowest FCR of 1.03, while the FCR of other treatments ranged from 1.09 to 1.13. These results indicate that grain sorghum can successfully be incorporated into Nile tilapia diets with positive effects on both physical feed quality as well as the growth of the fish. Full article
(This article belongs to the Section Aquatic Animals)
Show Figures

Figure 1

20 pages, 3506 KB  
Article
The Application and Effects on Building Materials of Superhydrophobic Aerogel Synthesized with Different Silica Sources
by Tuba Arkan Demirors, Kerim Cinar and Hakan Gokmese
Buildings 2026, 16(6), 1094; https://doi.org/10.3390/buildings16061094 - 10 Mar 2026
Abstract
In this study, by using four different silicon sources obtained from Konya, Turkey, and its surroundings and employing the sol–gel method, we aim to synthesize silica-based aerogel, characterize it, and improve the use of the innovative building material as a thermal insulator in [...] Read more.
In this study, by using four different silicon sources obtained from Konya, Turkey, and its surroundings and employing the sol–gel method, we aim to synthesize silica-based aerogel, characterize it, and improve the use of the innovative building material as a thermal insulator in architectural applications. In this direction, silica aerogel production was carried out using four different starting materials (commercial casting sand, waste casting sand, radiolarite, and quartz) and five different pH values (2–4–6–8–9) by the sol–gel method. The produced silica aerogels were subjected to a surface modification process with Trimethylchlorosilane (TMCS), a modification chemical, and then superhydrophobic silica aerogel powder was obtained. In terms of characterization of the obtained final silica aerogels, XRF, XRD, ICP-OES, density study, FT-IR, BET, FESEM, and contact angle studies were performed. In terms of application of the architectural building material, plasterboard experimental samples were produced using low reinforcement rates (0 wt%, 0.5 wt%, 1 wt%, 2 wt%, and 5 wt%) of silica aerogel. To determine the mechanical and physical properties of the produced silica-aerogel-reinforced plasterboard samples, three-point bend (flexural) strength, compressive strength, thermal conductivity, and water absorption tests were applied. After surface modification, the lowest density value was 0.340 g/cm3, the highest surface area was 311.161 m2/g, and the lowest thermal conductivity coefficient was 0.29 W/mK in silica aerogel material containing radiolarite. In addition to high reinforcement contents in the literature, when it comes to silica aerogel low-reinforcement material and mechanical properties, it can be stated that increasing reinforcement contents negatively affects the mechanical behavior of the material after a certain value. Full article
(This article belongs to the Section Building Materials, and Repair & Renovation)
Show Figures

Figure 1

38 pages, 1439 KB  
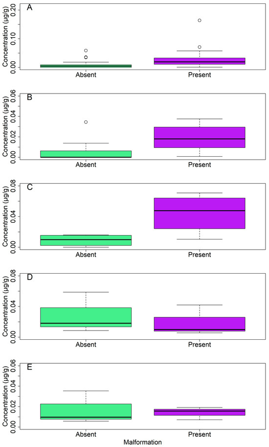
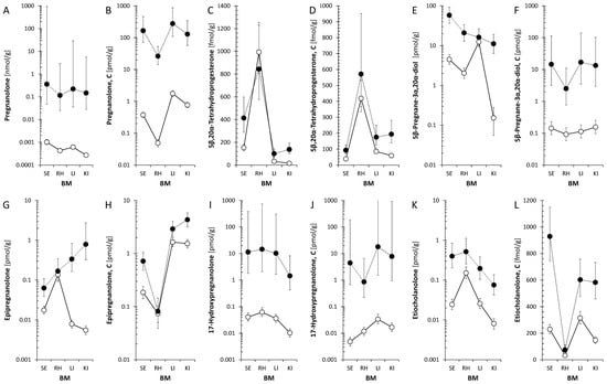
Article
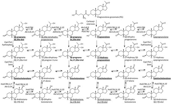
Pregnanolone Glutamate: A Dual-Fate Delivery System for Neuroactive Steroids in Perinatal Focal Cerebral Ischemia
by Grygoriy Tsenov, Iqra Bano, Marta Velíková, Viera Kútna, Hana Chodounská, Eva Kudová, Josef Bulant and Martin Hill
Int. J. Mol. Sci. 2026, 27(5), 2506; https://doi.org/10.3390/ijms27052506 - 9 Mar 2026
Abstract
Pregnanolone glutamate (PG) is a synthetic neurosteroid analog showing promise for treating ischemic brain injury, yet its blood–brain barrier (BBB) transport and metabolic fate remain unclear. We investigated the pharmacokinetics of PG in postnatal day 12 rats of both sexes subjected to endothelin-1 [...] Read more.
Pregnanolone glutamate (PG) is a synthetic neurosteroid analog showing promise for treating ischemic brain injury, yet its blood–brain barrier (BBB) transport and metabolic fate remain unclear. We investigated the pharmacokinetics of PG in postnatal day 12 rats of both sexes subjected to endothelin-1 (ET-1)-induced focal hippocampal ischemia. Animals received PG (1 mg/kg intraperitoneal (i.p.)) or vehicle; serum and hippocampal steroidomes were profiled 60 min post-administration using gas chromatography-tandem mass spectrometry (GC-MS/MS) (hippocampus: n = 16 PG+, n = 27 PG−; multi-tissue subset: n = 6 PG+, n = 21 PG−). Our data revealed a “dual-fate” mechanism: PG undergoes systemic hydrolysis as a prodrug, as suggested by the tissue distribution pattern at 60 min post-administration, but also crosses the BBB intact, with significant parent conjugate accumulation in the hippocampus (42.3 pmol/g). The brain functioned as a “metabolic sink”, passively accumulating metabolites generated in peripheral organs—such as 17-hydroxypregnanolone—despite local absence of synthesizing enzymes (e.g., CYP17A1). Crucially, PG induced “metabolic segregation” within the central nervous system (CNS): the pharmacological 5β-pathway was saturated (~170-fold pregnanolone increase), while endogenous neuroprotective 5α-pathway (allopregnanolone) homeostasis remained preserved, contrasting with peripheral metabolic saturation. Preferential hippocampal accumulation of 3-oxo and 3β-isomers suggests autonomous regulatory buffering via oxidative 17β-hydroxysteroid dehydrogenase (HSD17B) enzymes, protecting against excessive GABAergic inhibition. This unique pharmacokinetic profile—combining metabolic segregation with active central buffering—defines PG as a dual-mechanism delivery system that generates central neuroactive metabolites—several with previously established GABAergic and neuroprotective activity—without disrupting endogenous neurosteroidogenesis, positioning it as a promising neurotherapeutic candidate minimizing physiological steroid homeostasis disruption. Importantly, the present study characterizes the pharmacokinetic and metabolic fate of PG; the neuroprotective efficacy of PG was demonstrated in our prior functional studies using the same model. Full article
(This article belongs to the Section Molecular Neurobiology)
Show Figures

Figure 1

30 pages, 472 KB  
Article
Analysing the Impact of the GCM in Canada Through the Lens of Mobility Facilitation: An Invitation to Rethink the GCM’s Potential to Advance the Human Rights of Migrants
by Baptiste Jouzier
Laws 2026, 15(2), 18; https://doi.org/10.3390/laws15020018 - 9 Mar 2026
Abstract
The Global Compact for Safe, Orderly and Regular Migration (GCM) has been presented as a milestone in embedding migration governance within an international human rights framework. This article critically examines the extent to which this ambition has translated into concrete effects by analysing [...] Read more.
The Global Compact for Safe, Orderly and Regular Migration (GCM) has been presented as a milestone in embedding migration governance within an international human rights framework. This article critically examines the extent to which this ambition has translated into concrete effects by analysing the Canadian case. Drawing on a legal doctrinal and contextual policy analysis, informed by the concept of mobility facilitation, the article shows that the GCM has had a limited impact on Canadian migration policies. Despite sustained international commitment to the Compact, recent developments reveal a regression in the facilitation of mobility and the protection of migrants’ rights. This regression has not been reflected in Canada’s international reporting, exposing a disjunction between national practices and international positioning and calling into question the GCM’s capacity to generate international accountability. This article argues that the limited effectiveness of the GCM cannot be explained solely by the shortcomings of its implementation and review mechanisms but must also be understood in light of the unfavourable political context. Moving beyond a compliance-centred perspective, it contends that the GCM should also be understood as lending itself to an indirect form of mobilisation, capable of functioning as a counter-narrative to dominant criminalising and securitising approaches. Full article
22 pages, 4892 KB  
Article
GC-MS Analysis and Antioxidant Evaluation of Essential Oils from Chimonanthus salicifolius and Chimonanthus nitens
by Ailan Pan, Xingfan Gu, Miao Zheng, Longqing Chen and Nan Yang
Molecules 2026, 31(5), 906; https://doi.org/10.3390/molecules31050906 - 9 Mar 2026
Abstract
Chimonanthus salicifolius and Chimonanthus nitens are widely used in the food and pharmaceutical industries. Traditionally, their stems and leaves have been consumed as herbal tea substitutes in folk practices, possessing both medicinal and edible values. They represent typical dual-purpose plants for both medicinal [...] Read more.
Chimonanthus salicifolius and Chimonanthus nitens are widely used in the food and pharmaceutical industries. Traditionally, their stems and leaves have been consumed as herbal tea substitutes in folk practices, possessing both medicinal and edible values. They represent typical dual-purpose plants for both medicinal and tea applications and are distinctive ethnic She medicinal resources. This study used the flowers, stems, and leaves of C. salicifolius and C. nitens as materials to analyze the chemical components of six essential oils and evaluate their antioxidant and antibacterial activities. We extracted their essential oils through steam distillation, followed by an analysis of their volatile chemical components using gas chromatography–mass spectrometry (GC-MS). Hydroxyl radical (•OH), 1,1-diphenyl-2-picryl hydrazyl (DPPH) and the ferric reducing ability of plasma (FRAP) were used to evaluate the antioxidant activities of the different essential oils. The results showed that the extraction rates of both Chimonanthus species followed the order of leaf > flower > stem. Among them, the essential oil extraction rate from the leaves of C. salicifolius was the highest (2.22%), followed by that from the leaves of C. nitens (0.84%). A total of 83 volatile components were identified from the six extracted essential oils, demonstrating significant compositional differences (p < 0.05). Eucalyptol is the main component and has the highest relative content in the essential oils of both plant leaves, with (54.65 ± 1.03%) in C. salicifolius and (52.28 ± 1.03%) in C. nitens. Antioxidant experiments revealed that the leaf essential oil exhibited the strongest •OH scavenging activity (IC50 = 39.47 ± 5.57 μL·mL−1), while the stem of C. salicifolius showed the highest DPPH scavenging activity (IC50 = 20.78 ± 3.86), and the flower part demonstrated the best FRAP power. Additionally, a preliminary evaluation of the antibacterial activity of these two Chimonanthus leaf essential oils indicated that their minimum inhibitory concentration (MIC) against Staphylococcus aureus, Bacillus pumilus, and Bacillus subtilis was consistently 50 µL·mL−1. This study systematically analyzed the chemical composition, antioxidant activity, and antibacterial activity of essential oils from different parts of C. salicifolius and C. nitens, revealing differences in yield, component composition, and biological activity between the two species. The findings provide scientific evidence for the development and application of essential oils from Chimonanthus plants. Full article
Show Figures

Graphical abstract

19 pages, 5783 KB  
Article
Multi-Objective Optimization of Rigid Pavement Concrete Using Industrial By-Products and Polypropylene Fibers
by Sergii Kroviakov, Vitalii Kryzhanovskyi, Pavlo Shymchenko and Inna Aksyonova
Modelling 2026, 7(2), 52; https://doi.org/10.3390/modelling7020052 - 9 Mar 2026
Abstract
This study investigates the properties of concrete incorporating recycled aggregates (RAs) for rigid pavement applications. A 15-point three-level experimental design was used to vary three composition factors: Portland cement substitution with fly ash (FA), and dosages of a superplasticizer (SP) and polypropylene fibers [...] Read more.
This study investigates the properties of concrete incorporating recycled aggregates (RAs) for rigid pavement applications. A 15-point three-level experimental design was used to vary three composition factors: Portland cement substitution with fly ash (FA), and dosages of a superplasticizer (SP) and polypropylene fibers (PFs). A set of experimental–statistical models (ES models) was developed to predict the concrete strength, abrasion and frost resistance (FR), water absorption (WA), and global warming potential (GWP). This study aimed to develop a material that achieves both adequate mechanical performance for pavement applications and enhanced environmental sustainability by incorporating RAs and FA. The results demonstrate that replacing up to 13% of cement with FA does not compromise the splitting tensile strength or FR. For non-fibrous concrete, this substitution increases FR by approximately 50 freeze–thaw cycles. Application of PFs (2.4–3 kg/m3) enhances splitting tensile strength by 14–16% and improves FR by about 50 cycles. Using response surface methodology (RSM), optimal concrete compositions were identified that meet all target criteria: compressive strength ≥ 40 MPa, flexural strength ≥ 5 MPa, FR ≥ F200 (cycles), and abrasion resistance (AR) ≤ 0.5 g/cm2, while simultaneously minimizing GWP. An additional optimum composition was determined by imposing a constraint on splitting tensile strength of ≥4.5 MPa. This graphical optimization approach, utilizing two-factor interaction diagrams, provides an effective and visual methodology for practical concrete mixture design. The novelty of the method lies in the discretization of the factor space, which enables efficient identification of optimal concrete mixture compositions. Full article
Show Figures

Figure 1

27 pages, 873 KB  
Article
From Environment to Hive: Plasticizer and Bisphenols Contamination in Algerian Honeys
by Federica Litrenta, Nadra Rechidi-Sidhoum, Angela Giorgia Potortì, Ambrogina Albergamo, Vincenzo Lo Turco, Roberto Sturniolo, Meki Boutaiba Benklaouz, Qada Benameur and Giuseppa Di Bella
Foods 2026, 15(5), 965; https://doi.org/10.3390/foods15050965 - 9 Mar 2026
Abstract
Phthalates (PAEs), non-phthalate plasticizers (NPPs) and bisphenols (BPs) were monitored by fully validated GC-MS and HPLC-MS/MS protocols in honeys from diverse Algerian coastal and non-coastal areas. Experimental results showed that no honey was free of these compounds. A higher PAE contamination was evident [...] Read more.
Phthalates (PAEs), non-phthalate plasticizers (NPPs) and bisphenols (BPs) were monitored by fully validated GC-MS and HPLC-MS/MS protocols in honeys from diverse Algerian coastal and non-coastal areas. Experimental results showed that no honey was free of these compounds. A higher PAE contamination was evident in coastal honeys, while NPPs were more abundant in non-coastal samples. The revealed PAEs were: dimethyl phthalate (DMP, 28.12–277.14 µg/kg), diethyl phthalate (DEP, 18.20–404.70 µg/kg), dibutyl phthalate (DBP, 29.58–889.71 µg/kg) and bis(2-ethylhexyl) phthalate (DEHP, 20.66–523.16 µg/kg), while bis(2-ethylhexyl) terephthalate (DEHT, 8.95–206.12 µg/kg) and diethyl adipate (DEA, 10.36–97.51 µg/kg) were the NPPs determined. The EU—not Algeria—classifies DBP and DEHP as very high concern substances. Nonetheless, these PAEs were the most abundant and frequently detected contaminants. Even certain honeys showed DEHP outliers compared to the range provided above (1256.53 µg/kg). Coastal and non-coastal honeys were contaminated by bisphenol A (BPA, 2.64–12.73 µg/kg), thus, raising compliance concerns for export in the EU. In fact, the assessment of dietary exposure and toxicological risk derived from the consumption of these honeys highlighted that, while the exposure to plasticizers was within the safety limits, the exposure to BPA raised toxicological concern. Hopefully, these findings will support the constant monitoring of beekeeping activities and products and encourage the adoption of good practices with a view to guide the advancement of the sector and better safeguard consumers. Full article
Show Figures

Figure 1

17 pages, 4364 KB  
Article
Estimated Impacts of Future Environmental Conditions on Water Quality in the Chesapeake Bay Beyond Midcentury
by Lewis C. Linker, Gopal Bhatt, Richard Tian and Raymond Najjar
Climate 2026, 14(3), 66; https://doi.org/10.3390/cli14030066 - 9 Mar 2026
Abstract
In order to set nutrient and sediment load targets for the Chesapeake Bay, projections of changing environmental conditions through 2055 have been previously considered. This article expands the analysis through 2085. Under future ensemble scenarios of General Circulation Models (GCMs), temperature and precipitation [...] Read more.
In order to set nutrient and sediment load targets for the Chesapeake Bay, projections of changing environmental conditions through 2055 have been previously considered. This article expands the analysis through 2085. Under future ensemble scenarios of General Circulation Models (GCMs), temperature and precipitation trends for the Chesapeake Bay watershed prior to midcentury have a rate of change more than twice that of the post-midcentury trend. Prior to midcentury, runoff and nutrient loading to the Bay estuary are projected to increase. In this analysis, model simulations for post-midcentury suggest the trend of increasing runoff may be reduced. The combined effect of a reduced trend in temperature and precipitation increases post-midcentury with continued sea level rise in the ensemble scenarios leads to a decreasing trend in Chesapeake hypoxia post-midcentury, resulting in a leveling off of dissolved oxygen water quality degradation. Full article
Show Figures

Figure 1

14 pages, 1746 KB  
Article
Bioconversion of Organosolv Lignin by Rumen Bacterium: Isolation, Characterization and Metabolic Profiling
by Jéssica Pinheiro Silva, Jailson Novaes de Miranda, Sofia Chacon Prates Uchoa, Artur Carvalho Stranz, Rosália Loriano de Santana, Pedro Ricardo Vieira Hamann, Alonso R. Poma Ticona, Thomas Christopher Rhys Williams, Fernando Araripe Gonçalves Torres, Roberto Castellanos and Eliane Ferreira Noronha
Molecules 2026, 31(5), 903; https://doi.org/10.3390/molecules31050903 - 9 Mar 2026
Abstract
Residual lignin generated by pulp, paper, and biorefining industries is commonly burned for energy, despite its potential as a renewable source of aromatic compounds. Studies focusing on microbial lignin degradation contribute to lignin valorization and represent a sustainable strategy to enhance biomass circularity. [...] Read more.
Residual lignin generated by pulp, paper, and biorefining industries is commonly burned for energy, despite its potential as a renewable source of aromatic compounds. Studies focusing on microbial lignin degradation contribute to lignin valorization and represent a sustainable strategy to enhance biomass circularity. Here, we report the isolation of Klebsiella sp. IL2_9 from a ruminal consortium and demonstrate its ability to degrade and metabolize organosolv lignin. After 24 h of cultivation, the strain removed 22% of the initial lignin content. FTIR analysis revealed alterations in functional groups associated with guaiacyl and syringyl units, indicating structural modification of the polymer. GC–MS analyses further showed the consumption of lignin-derived aromatics, including vanillin, 2-aminobenzoic acid, and 4-hydroxybenzoic acid, along with the formation of vanillyl alcohol and phenyllactic acid derivatives. Overall, these findings highlight the potential of Klebsiella sp. IL2_9 as a promising biotechnological candidate for lignin valorization under anaerobic conditions. Full article
(This article belongs to the Special Issue Green Chemistry Strategies for Biomass Valorization)
Show Figures

Figure 1

16 pages, 2712 KB  
Article
Herbicidal Activity of the Invasive Weed Malachra capitata L.: Growth Stage Dependence, Bioassay-Guided Fractionation, and Physiological Effects on Seed Germination
by Pattharin Wichittrakarn, Sirichai Sathuwijarn, Nutcha Manichart, Kaori Yoneyama, Potjana Sikhao, Naphat Somala and Chamroon Laosinwattana
Plants 2026, 15(5), 832; https://doi.org/10.3390/plants15050832 - 8 Mar 2026
Viewed by 117
Abstract
The invasive weed Malachra capitata is unsuitable for human or animal consumption but has recently attracted attention for potential alternative uses. In this study, the allelopathic potential of M. capitata for weed control was investigated, as were its allelopathic effects on selected crops. [...] Read more.
The invasive weed Malachra capitata is unsuitable for human or animal consumption but has recently attracted attention for potential alternative uses. In this study, the allelopathic potential of M. capitata for weed control was investigated, as were its allelopathic effects on selected crops. The influence of plant developmental stage on its phytotoxic activity was also assessed. In addition, the physiological effects of the extract on seed germination were investigated. Aqueous leaf extracts were obtained across a range of growth stages and evaluated using seed germination and seedling growth bioassays, followed by bioassay-guided fractionation and GC-MS analysis. Leaves extracts collected at 35 days after planting exhibited the strongest inhibitory activity. Dicot plant species (Phaseolus lathyroides, Cucumis sativus, Brassica oleracea, and B. chinensis) were more susceptible to M. capitata extracts than grassy species (Echinochloa crus-galli, Zea mays, and Oryza sativa), indicating selective phytotoxicity. In pot experiments, application of leaf residues as surface mulch at rates of 100, 200, and 400 g/m2 significantly reduced P. lathyroides emergence by 11.25%, 35.00%, and 71.25%, respectively. Bioassay-guided fractionation indicated the ethyl acetate-soluble acidic fraction to contain the active allelochemicals. This inhibition was associated with reduced water uptake and suppression of α-amylase activity during seed germination. The most abundant GC-MS detectable components of the acidic fraction were octadecane (12.45%), eicosane (9.74%), and hexadecane (9.60%). Overall, these findings highlight the allelopathic potential of M. capitata, providing a foundation for further applied research and supporting its valorization for sustainable weed management. Full article
(This article belongs to the Section Plant Protection and Biotic Interactions)
Show Figures

Figure 1

Back to TopTop