Influence of Reservoir Pore-Throat Structure Heterogeneity on Water-Flooding Seepage: A Case Study of Yanchang Formation in Ordos Basin
Abstract
:1. Introduction
2. Materials and Methods
2.1. Geological Background and Samples
2.2. Experimental Measurements
2.2.1. Cast Thin Section and Scanning Electron Microscope Observations
2.2.2. X-ray Diffraction
2.2.3. Nuclear Magnetic Resonance
2.2.4. Oil–Water Relative Permeability Experiment
2.2.5. High-Pressure Mercury Injection
2.2.6. Microscopic Water-Flooding Oil Seepage
2.3. Methodology
2.3.1. Full-Range PSD Combined HPMI and NMR
2.3.2. Fractal Methodology
3. Results and Interpretations
3.1. Petrology, Petrophysical Properties, and Pore Types
3.1.1. Mineral Compositions
3.1.2. Physical Properties
3.1.3. Pore-Throat Types
3.2. HPMI Results and Fractal Features
3.2.1. HPMI Results
3.2.2. Fractal Features
3.3. NMR Results and Full-Range Pore Size Distribution
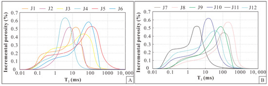
3.3.1. NMR Results
3.3.2. Full-Range PSD Characteristics
3.4. Oil–Water Relative Permeability and Visualizing Seepage Experiments
3.4.1. Oil–Water Relative Permeability Experimental Results
3.4.2. Visualizing Water-Flooding Oil Seepage Experimental Results
4. Discussion
4.1. Influencing Factors of Reservoir Physical Properties
4.1.1. Control of Pore-Throat Structure on the Reservoir Quality
4.1.2. Effects of Mineral Composition on Physical Properties
4.1.3. Effects of Fluid Flowability and Seepage Capacity on Physical Properties
4.2. Evaluation of Microscopic Heterogeneity Based on the Multifractal Dimension
4.2.1. Effects of Physical Properties and Mineral Composition on the Multifractal Dimension
4.2.2. Evaluation of Pore-Throat Structure Heterogeneity Based on the Multifractal Dimension
4.2.3. Evaluation of the Heterogeneity of Reservoir Seepage Capability Based on the Multifractal Dimension
4.3. Effect Evaluation of Pore-Throat Structure on Seepage Capacity
4.3.1. Effect of Pore-Throat Structure on Fluid Flowability
4.3.2. Effect of Pore-Throat Structure on Two-Phase Seepage
4.3.3. Effect of Pore-Throat Structure on Water Flooding Efficiency
5. Conclusions
- (1)
- The reservoir generally belongs to the range of low porosity and ultralow permeability, the correlation between porosity and permeability is not strong, and the degree of microscopic heterogeneity is high. After full-range pore-throat size characterization, the pore space is dominated by larger pores, and the pore-throat structure has multifractal characteristics.
- (2)
- Among the pore-throat structure parameters, the pore-throat scale and heterogeneity have a significant impact on porosity, while their impact on permeability is relatively small, but the relationship between pore-throat structure connectivity and physical properties is not significant, which is caused by clay mineral contents, making the porosity and permeability of reservoirs complicated. Quartz and feldspar have obvious controls on porosity, clay minerals have weak controls on permeability, and laumontite cementation is the most important factor in destroying the pore-throat structure. In addition, the correlation of movable fluid with both porosity and permeability is good.
- (3)
- The better the pore-throat structure is, the more favourable the two-phase seepage is, but the effect of porosity on seepage parameters is significantly greater than that of permeability. In the water-flooding process, the oil displacement efficiency in the anhydrous period has a better correlation with permeability, and the final oil displacement efficiency has a better correlation with porosity.
- (4)
- Multifractal features have significant control on pore-throat structure and seepage capacity. Df1 generally has a significant correlation with various parameters, followed by Df2. The more developed the larger pores are, the lower the reservoir heterogeneity is and the better the physical properties are. Reservoir quality is mainly determined by the development ratio of macropores and mesopores. For mesopores and micropores, the higher the degree of heterogeneity is, the better the reservoir development is.
- (5)
- The pore-throat structure has a crucial influence on the occurrence of movable fluid, fluid flowability, and water-flooding effects. The pore-throat scale and pore-throat structure heterogeneity have significant effects on the above aspects, while the correlation between pore-throat connectivity and those parameters is complicated. It is speculated that the pressurization process in the experimental stage changed the pore-throat connectivity characteristics, resulting in the appearance of false pore-throat connectivity characteristics when comparing multiple experimental parameters. Additionally, the fact that air-dried samples were used can also complicate the pore-throat structure in the presence of the delicate diagenetic clays illite and I/S, which may be the reason for weak correlations (after excluding samples J2/J4 and J11 with relatively high clay contents, the correlation coefficient R2 can reach 0.33).
Author Contributions
Funding
Data Availability Statement
Acknowledgments
Conflicts of Interest
References
- Cao, B.; Sun, W.; Li, J. Reservoir petrofacies—A tool for characterization of reservoir quality and pore structures in a tight sandstone reservoir: A study from the sixth member of Upper Triassic Yanchang Formation, Ordos Basin, China. J. Pet. Sci. Eng. 2021, 199, 108294. [Google Scholar] [CrossRef]
- Chehrazi, A.; Rezaee, R. A systematic method for permeability prediction, a Petro-Facies approach. J. Pet. Sci. Eng. 2012, 82–83, 1–16. [Google Scholar] [CrossRef]
- Chen, X.; Yao, G.; Herrero-Bervera, E.; Cai, J.; Zhou, K.; Luo, C.; Jiang, P.; Lu, J. A new model of pore structure typing based on fractal geometry. Mar. Pet. Geol. 2018, 98, 291–305. [Google Scholar] [CrossRef]
- Chen, R.Y.; Luo, X.R.; Chen, Z.K.; Yu, J.; Yang, Y. Restoration of burial history of four periods in Ordos Basin. Acta Pet. Sin. 2006, 27, 43–47. [Google Scholar]
- Clarkson, C.R.; Solano, N.; Bustin, R.M. Pore structure characterization of North American shale gas reservoirs using USANS/SANS, gas adsorption, and mercury intrusion. Fuel 2013, 103, 606–616. [Google Scholar] [CrossRef]
- Cui, Z.Z.; Sun, W. Study on pore structure of tight sandstone based on high pressure mercury and nuclear magnetic resonance: Take Shanxi formation and Shihezi formation in Sulige gas field as examples. Unconv. Oil Gas 2020, 7, 49–55. [Google Scholar]
- Daigle, H.; Johnson, A. Combining mercury intrusion and nuclear magnetic resonance measurements using percolation theory. Transp. Porous Media 2016, 111, 669–679. [Google Scholar] [CrossRef]
- Dou, W.C.; Liu, L.F.; Wu, K.J. Pore structure characteristics and its effect on permeability by mercury injection measurement: An example from Triassic Chang 7 reservoir, southwest Ordos Basin. Geol. Rev. 2016, 62, 502–511. [Google Scholar]
- Folk, R.L.; Andrews, P.B.; Lewis, D. Detrital sedimentary rock classification and nomenclature for use in New Zealand. N. Z. J. Geol. Geophys. 1970, 13, 937–968. [Google Scholar] [CrossRef]
- Fu, J.M.; Li, S.; Liu, X.; Deng, X.Q. Sedimentary facies and its evolution of the Chang 9 interval of Upper Triassic Yanchang Formation in Ordos Basin. J. Palaeogeogr. 2012, 14, 269–284. [Google Scholar]
- Gao, H.; Yu, B.; Duan, Y.; Fang, Q. Fractal analysis of dimensionless capillary pressure function. Int. J. Heat Mass Transf. 2014, 69, 26–33. [Google Scholar] [CrossRef]
- Guo, R.; Xie, Q.; Qu, X.; Chu, M.; Li, S.; Ma, D.; Ma, X. Fractal characteristics of pore-throat structure and permeability estimation of tight sandstone reservoirs: A case study of Chang 7 of the Upper Triassic Yanchang Formation in Longdong area, Ordos Basin, China. J. Pet. Sci. Eng. 2019, 184, 106555. [Google Scholar] [CrossRef]
- Guo, X.; Huang, Z.; Zhao, L.; Han, W.; Ding, C.; Sun, X.; Yan, R.; Zhang, T.; Yang, X.; Wang, R. Pore structure and multi-fractal analysis of tight sandstone using MIP, NMR and NMRC methods: A case study from the Kuqa depression, China. J. Pet. Sci. Eng. 2019, 178, 544–558. [Google Scholar] [CrossRef]
- He, H.; Zhou, Y.Q.; Long, W.J.; Li, M.; He, Z.X.; Wang, S.; Wu, K.K.; Zhu, Y.S. Pore throat microstructures of low-ultra-low permeability reservoirs and their influence on water displacement characteristics: Taking the Chang 3 reservoir of Weibei Oilfield in Ordos Basin as an example. Pet. Geol. Recovery Effic. 2021, 28, 23–34. [Google Scholar]
- Johnson, E.F.; Bossler, D.P.; Naumann, V.O. Calculation of relative permeability from displacement experiments. Trans. AIME 1959, 216, 370–372. [Google Scholar] [CrossRef]
- Kaufmann, J.; Loser, R.; Leemann, A. Analysis of cement-bonded materials by multi-cycle mercury intrusion and nitrogen sorption. J. Colloid Interface Sci. 2009, 336, 730–737. [Google Scholar] [CrossRef] [PubMed]
- Kulesza, S.; Bramowicz, M. A comparative study of correlation methods for determination of fractal parameters in surface characterization. Appl. Surf. Sci. 2014, 293, 196–201. [Google Scholar] [CrossRef]
- Lai, J.; Wang, G.; Wang, Z.; Chen, J.; Pang, X.; Wang, S.; Zhou, Z.; He, Z.; Qin, Z.; Fan, X. A review on pore structure characterization in tight sandstones. Earth-Sci. Rev. 2018, 177, 436–457. [Google Scholar] [CrossRef]
- Lai, J.; Wang, G. Fractal analysis of tight gas sandstones using high-pressure mercury intrusion techniques. J. Nat. Gas Sci. Eng. 2015, 24, 185–196. [Google Scholar] [CrossRef]
- Li, A.F.; Ren, X.X.; Wang, G.J.; Wang, Y.Z.; Jiang, K.L. Characterization of pore structure of low permeability reservoirs using a nuclear magnetic resonance method. J. China Univ. Pet. 2015, 39, 92–98. [Google Scholar]
- Li, W.H.; Pang, J.G.; Cao, H.X.; Xiao, L.; Wang, R.G. Depositional system and paleogeographic evolution of the late Triassic Yanchang stage in Ordos Basin. J. Northwest Univ. 2009, 39, 501–506. [Google Scholar]
- Li, K.; Horne, R.N. Universal capillary pressure and relative permeability model from fractal characterization of rock. In Proceedings of the Twenty-Ninth Workshop on Geothermal Reservoir Engineering, Stanford, CA, USA, 26–28 January 2004. [Google Scholar]
- Li, K. Analytical derivation of Brooks–Corey type capillary pressure models using fractal geometry and evaluation of rock heterogeneity. J. Pet. Sci. Eng. 2010, 73, 20–26. [Google Scholar] [CrossRef]
- Nabawy, B.S.; Geraud, Y.; Rochette, P.; Bur, N. Pore-throat characterization in highly porous and permeable sandstones. AAPG Bull. 2009, 93, 719–739. [Google Scholar] [CrossRef]
- Newsham, K.E.; Rushing, J.A.; Lasswell, P.M.; Cox, J.C.; Blasingame, T.A. A comparative study of laboratory techniques for measuring capillary pressures in tight gas sands. In Proceedings of the SPE Annual Technical Conference and Exhibition, Houston, TX, USA, 26–29 September 2004; p. 89866. [Google Scholar]
- Ning, C.X.; Jiang, Z.X.; Gao, Z.Y.; Li, Z.; Zhu, R.F.; Su, S.Y.; Li, T.W.; Wang, Z.; Huang, R.; Chen, L. Quantitative evaluation of pore connectivity with nuclear magnetic resonance and high pressure mercury injection: A case study of the lower section of Es3 in Zhanhua sag. J. China Univ. Min. Technol. 2017, 46, 578–585. [Google Scholar]
- Ouyang, S.Q.; Sun, W.; Huang, H.X. Multi-method synergistic characterization of total pore structure of extra-low permeability sandstone reservoirs: Case study of the Heshui area of Ordos Basin. Pet. Geol. Exp. 2018, 40, 595–604. [Google Scholar]
- Pittman, E.D. Relationship of porosity and permeability to various parameters derived from mercury injection capillary pressure curves for sandstones. AAPG Bull. 1992, 76, 191–198. [Google Scholar]
- Qiao, J.; Zeng, J.; Jiang, S.; Zhang, Y.; Feng, S.; Feng, X.; Hu, H. Insights into the pore structure and implications for fluid flow capacity of tight gas sandstone: A case study in the upper paleozoic of the Ordos Basin. Mar. Pet. Geol. 2020, 118, 104439. [Google Scholar] [CrossRef]
- Qu, Y.; Sun, W.; Tao, R.; Luo, B.; Chen, L.; Ren, D. Pore–throat structure and fractal characteristics of tight sandstones in Yanchang Formation, Ordos Basin. Mar. Pet. Geol. 2020, 120, 104573. [Google Scholar] [CrossRef]
- Ren, D.Z.; Sun, W.; Zhao, J.Y.; Qu, X.; Zhang, X. Microscopic waterflooding characteristics of lithologic reservoirs in Ordos basin and its influence factors: Taking the Chang 81 reservoir in Huaqing oilfield as an example. J. China Univ. Min. Technol. 2015, 44, 1043–1052. [Google Scholar]
- Rezaee, R.; Saeedi, A.; Clennell, B. Tight gas sands permeability estimation from mercury injection capillary pressure and nuclear magnetic resonance data. J. Pet. Sci. Eng. 2012, 88–89, 92–99. [Google Scholar] [CrossRef]
- Schmitt, M.; Fernandes, C.P.; Neto, J.A.B.C.; Wolf, F.G.; Santos, V.S.S. Characterization of pore systems in seal rocks using nitrogen gas adsorption combined with mercury injection capillary pressure techniques. Mar. Petrol. Geol. 2013, 39, 138–149. [Google Scholar] [CrossRef]
- Shi, B.H.; Li, R.K.; Tian, W.; Jing, X.H.; Cai, Z.H. Differences of characteristics and genetic of reservoirs in Chang 91 of Yanchang Formation in Jiyuan area, Ordons Basin. J. China Univ. Pet. 2019, 43, 1–10. [Google Scholar]
- Shi, B.H.; Li, R.K.; Tian, W.; Jing, X.H.; Cai, Z.H. Impact of pore structure on seepage characteristics in ultra-low permeability reservoir. Geol. Sci. Technol. Inf. 2017, 36, 189–196. [Google Scholar]
- Song, C.; Yang, B.; Zhang, C.M.; Zhu, B.Y.; Zhang, Z.S.; Qin, R.B. Investigation of pore structure and permeability estimation models of glutenites in the Bozhong 19-6. Bull. Geol. Sci. Technol. 2022, 1–12, Pre-pub online. [Google Scholar] [CrossRef]
- Song, Z.Z.; Liu, G.D.; Yang, W.W.; Zou, H.Y.; Sun, M.L.; Wang, X.L. Multi-fractal distribution analysis for pore structure characterization of tight sandstone—A case study of the Upper Paleozoic tight formations in the Longdong District, Ordos Basin. Mar. Pet. Geol. 2017, 92, 842–854. [Google Scholar] [CrossRef]
- Tang, X.; Jiang, Z.; Li, Z.; Gao, Z.; Bai, Y.; Zhao, S.; Feng, J. The effect of the variation in material composition on the heterogeneous pore structure of high-maturity shale of the Silurian Longmaxi formation in the Southeastern Sichuan Basin, China. J. Nat. Gas Sci. Eng. 2015, 23, 464–473. [Google Scholar] [CrossRef]
- Tran-Duc, T.; Phan-Thien, N.; Thamwattana, N. On permeability of corrugated pore membranes. AIP Adv. 2020, 10, 045317. [Google Scholar] [CrossRef]
- Thomeer, J.H.M. Introduction of a pore geometrical factor defined by the capillary pressure curve. J. Petrol. Technol. 1960, 12, 73–77. [Google Scholar] [CrossRef]
- Thompson, A.H.; Katz, A.J.; Krohn, C.E. The micro-geometry and transport properties of sedimentary rock. Adv. Phys. 1987, 36, 625–694. [Google Scholar] [CrossRef]
- Vermeesch, P. On the visualisation of detrital age distributions. Chem. Geol. 2012, 312–313, 190–194. [Google Scholar] [CrossRef]
- Washburn, E.W. The Dynamics of capillary flow. Phys. Rev. Ser. 1921, 17, 273–283. [Google Scholar] [CrossRef]
- Wang, F.Y.; Yang, K.; Zai, Y. Multifractal characteristics of shale and tight sandstone pore structures with nitrogen adsorption and nuclear magnetic resonance. Pet. Sci. 2019, 17, 1209–1220. [Google Scholar] [CrossRef]
- Wang, J.J.; Wu, S.H.; Li, Q.; Guo, Q.H. An investigation into pore structure fractal characteristics in tight oil reservoirs: A case study of the Triassic tight sandstone with ultra-low permeability in the Ordos Basin, China. Arab. J. Geosci. 2020, 13, 961. [Google Scholar] [CrossRef]
- Wang, W.; Song, Y.J.; Huang, J.; Li, Y.; Chen, Z.; Zhu, Y. Fractal characteristics of pore-throat structure in tight sandstones using high-pressure mercury intrusion porosimetry. Bull. Geol. Sci. Technol. 2021, 40, 22–30. [Google Scholar]
- Wang, X.G.; Zhang, C.; Zhang, H.; Yang, Z.; Peng, X.; Zhao, N.; Wang, L. Classification and evaluation of low-permeability sand reservoir based on micro-pore structure. Bull. Geol. Sci. Technol. 2021, 40, 93–103. [Google Scholar]
- Xi, K.; Cao, Y.; Haile, B.G.; Zhu, R.; Jahren, J.; Bjørlykke, K.; Zhang, X.; Hellevang, H. How does the pore-throat size control the reservoir quality and oiliness of tight sandstones? The case of the Lower Cretaceous Quantou Formation in the southern Songliao Basin, China. Mar. Pet. Geol. 2016, 76, 1–15. [Google Scholar] [CrossRef]
- Xiang, F.; Chen, K.; Li, F.J.; Meng, F.; Meng, L. Diagenetic facies characteristics of the Chang 9 Oil-bearing layer of the Upper Triassic Yanchang Formation in the Jiyuan Area, Ordos Basin. J. Southwest Pet. Univ. 2013, 35, 23–30. [Google Scholar]
- Xiao, D.; Lu, S.; Lu, Z.; Huang, W.; Gu, M. Combining nuclear magnetic resonance and rate-controlled porosimetry to probe the pore-throat structure of tight sandstones. Pet. Explor. Dev. 2016, 43, 1049–1059. [Google Scholar] [CrossRef]
- Yan, J.; He, X.; Zhang, S.; Feng, C.; Wang, J.; Hu, Q.; Cai, J.; Wang, M. Sensitive parameters of NMR T2 spectrum and their application to pore structure characterization and evaluation in logging profile: A case study from Chang 7 in the Yanchang Formation, Heshui area, Ordos Basin, NW China. Mar. Pet. Geol. 2020, 111, 230–239. [Google Scholar] [CrossRef]
- Yue, L.; Meng, Q.; Liu, Z.; Yang, W.; Jin, H.; Shen, F.; Zhang, J.; Liu, S. Physical property and heterogeneity of tight sandstone reservoirs: A case of the Upper Triassic 6th member of Xujiahe Formation, Guang’an, central Sichuan Basin. Oil Gas Geol. 2022, 43, 597–609. [Google Scholar]
- Yang, H.; Fu, J.; He, H.; Liu, X.; Zhang, Z.; Deng, X. Formation and distribution of large low-permeability lithologic oil regions in Huaqing, Ordos Basin. Pet. Explor. Dev. 2012, 39, 683–691. [Google Scholar] [CrossRef]
- Yang, Y.; Li, W.; Ma, L. Tectonic and stratigraphic controls of hydrocarbon systems in the Ordos basin: A multicycle cratonic basin in central China. AAPG Bull. 2005, 89, 255–269. [Google Scholar] [CrossRef]
- Yang, W.; Wang, Q.; Wang, Y.; Jiang, Z.; Song, Y.; Li, Y.; Liu, D.; Zuo, R.; Gu, X.; Zhang, F. Pore characteristic responses to categories of depositional microfacies of delta-lacustrine tight reservoirs in the Upper Triassic Yanchang Formation, Ordos Basin, NW China. Mar. Pet. Geol. 2020, 118, 104423. [Google Scholar] [CrossRef]
- Yao, J.; Zhao, Y.; Liu, G.; Qi, Y.; Li, Y.; Luo, A.; Zhang, X. Formation patterns of Chang 9 oil reservoir in Triassic Yanchang Formation, Ordos Basin, NW China. Pet. Explor. Dev. 2018, 45, 389–401. [Google Scholar] [CrossRef]
- Yao, Y.; Liu, D. Comparison of low-field NMR and mercury intrusion porosimetry in characterizing pore size distributions of coals. Fuel 2012, 95, 152–158. [Google Scholar] [CrossRef]
- Yin, X.D.; Shu, J.; Li, Y.L.; Gao, W.; Lu, J.; Wu, P.; Ma, L. Impact of pore structure and clay content on the water-gas relative permeability curve within tight sandstones: A case study from the LS block, eastern Ordos Basin, China. J. Nat. Gas Sci. Eng. 2020, 81, 103418. [Google Scholar]
- Zha, M.; Su, Y.; Qu, J.X.; Ding, X.J.; Zhu, Y.S. Physical simulation experiment of oil migration in porous media of tight reservoir. J. China Univ. Pet. 2019, 43, 1–10. [Google Scholar]
- Zhang, L.; Lu, S.; Xiao, D.; Gu, M. Characterization of full pore size distribution and its significance to macroscopic physical parameters in tight glutenites. J. Nat. Gas Sci. Eng. 2017, 38, 434–449. [Google Scholar] [CrossRef]
- Zhang, Q.P.; Wang, H.H.; Liu, M.R.; Zhou, C.F.; Xu, J.G.; Hu, K.L.; Zhu, Y.S. Study of the full pore size distribution and fractal characteristics of ultra-low permeability reservoir. J. China Univ. Min. Technol. 2020, 49, 1137–1149. [Google Scholar]
- Zou, C.; Zhu, R.; Liu, K.; Su, L.; Bai, B.; Zhang, X.; Yuan, X.; Wang, J. Tight gas sandstone reservoirs in China: Characteristics and recognition criteria. J. Pet. Sci. Eng. 2012, 88–89, 82–91. [Google Scholar] [CrossRef]
- Zou, C.N.; Zhu, R.K.; Wu, S.T.; Yang, Z.; Tao, S.Z.; Yuan, X.J.; Hou, L.H.; Yang, H.; Xu, C.C.; Li, D.H.; et al. Types, characteristics, genesis and prospects of conventional and unconventional hydrocarbon accumulations: Taking tight oil and tight gas in China as an instance. Acta Pet. Sin. 2012, 33, 173–187. [Google Scholar]
- Liu, Z.; Zhu, M.L.; Pan, G.F.; Xia, L. Establishment and Application of Dissolution Porosity Increasing Model of Yanchang Formation Sandstone in Central and Southern, Ordos Basin. Earth Sci. Front. 2022. [Google Scholar] [CrossRef]
- Kang, Y.; Chen, G.; Zhang, W.; Huang, J.; Xia, X.; Huo, J. Diagenetic densification of Chang 8 sandstone reservoirs and its relationship with hydrocarbon acculmulation in Tiebiancheng area, Jiyuan Oilfield, Ordos Basin. Bull. Geol. Sci. Technol. 2021, 40, 64–75. [Google Scholar]
- Tong, Q.; Xia, Z.; Huang, J.; Wu, J.; Wang, Y.; Meng, Z.; Zhang, C. Study on the Genetic Differences in Reservoir Characteristics Based on the Bidirectional Provenance of the Yanchang Formation in the Jiyuan Area, Ordos Basin, China. Geofluids 2022, 6857962. [Google Scholar] [CrossRef]
- Helmold, K.P.; van de Kamp, P.C. Diagenetic mineralogy and controls on albitization and laumontite formation in Paleogene arkoses, Santa Ynez Mountains, California. AAPG Spec. Vol. 1984, 59, 239–276. [Google Scholar]
- Pallatt, N.; Wilson, J.; McHardy, B. The Relationship Between Permeability and the Morphology of Diagenetic Illite in Reservoir Rocks. J. Pet. Technol. 1984, 36, 2225–2227. [Google Scholar] [CrossRef]
- Rueslåtten, H.; Eidesmo, T.; Lehne, K.; Relling, O. The use of NMR spectroscopy to validate NMR logs from deeply buried reservoir sandstones. J. Pet. Sci. Eng. 1998, 19, 33–43. [Google Scholar] [CrossRef]
- Ajdukiewicz, J.M.; Larese, R.E. How can grain coats inhibit quartz cement and preserve porosity in deeply buried sandstones: Observations and experiments. AAPG Bull. 2012, 96, 2091–2119. [Google Scholar] [CrossRef]
- Zhao, H.-J.B.M.-W. Thermal and Tectonic History of the Ordos Basin, China: Evidence from Apatite Fission Track Analysis, Vitrinite Reflectance, and K-Ar Dating. AAPG Bull. 1996, 80, 1110–1133. [Google Scholar] [CrossRef]
- Yang, L.; Xu, T.; Liu, K.; Peng, B.; Yu, Z.; Xu, X. Fluid-rock interactions during continuous diagenesis of sandstone reservoirs and their effects on reservoir porosity. Sedimentology 2017, 64, 1303–1321. [Google Scholar] [CrossRef]
- Ren, S.Y.; Sun, W.; Liu, D.K.; Guo, Y.F. Micro pore structure of reservoir in He8 member of Su-48 block in Sulige west area and its influence on percolation capacity. Geol. Sci. Technol. Inf. 2018, 37, 123–128. [Google Scholar]
- Yuan, Z.; Li, W.H.; Yuan, H.L.; Guo, Y.Q. Pore evolution characteristics of laumontite bearing sandstone reservoir and its influence on reservoir quality—A case study of Chang 101 reservoir in Yanchang Formation in the southeast of Ordos Basin. Chin. J. Geol. 2020, 55, 767–781. [Google Scholar]
- Zhang, Y.; Wang, Y.F.; Wang, Q.X.; Zou, Y.; Shen, Q.Y. Reservoir physical properties and seepage characteristics of Sha2 gas reservoir in Xinchang gas field, West Sichuan depression. Pet. Geol. Eng. 2021, 35, 52–55. [Google Scholar]
- Zhang, X.H.; Zhang, J.; Yuan, J.S.; Cui, X.L.; Mao, Z.H. Micro pore throat structure of Chang 81 tight reservoir in Nanliang Huachi area of Ordos Basin and its influence on seepage flow. Lithol. Reserv. 2021, 33, 36–48. [Google Scholar]
























| Well | Depth (m) | Sample ID | Detrital Component Content from XRD (%) | Relative Content of Clay Minerals (%) | ||||||||||
|---|---|---|---|---|---|---|---|---|---|---|---|---|---|---|
| Quartz | Feldspar | Calcite | Clay | Ferro-Calcite | Laumontite | Ferrodolomite | Siderite | Chlorite | Illite | I/S Mixed Layer | Smectite in I/S | |||
| C107 | 2863.5 | J1 | 38.10 | 51.19 | 0.00 | 2.38 | 1.19 | 7.14 | 0.00 | 0.00 | 15.32 | 74.10 | 10.58 | 15 |
| C123 | 2694.2 | J2 | 26.60 | 57.45 | 0.00 | 7.45 | 0.00 | 8.51 | 0.00 | 0.00 | 38.54 | 47.87 | 13.59 | 20 |
| C132 | 2666.7 | J3 | 35.71 | 50.60 | 0.00 | 5.95 | 1.19 | 5.95 | 0.00 | 0.60 | 75.13 | 16.54 | 8.33 | 15 |
| C139 | 2674.7 | J4 | 34.44 | 45.00 | 0.00 | 7.78 | 1.11 | 11.11 | 0.00 | 0.56 | 66.83 | 22.15 | 11.02 | 10 |
| C165 | 2640.5 | J5 | 40.96 | 50.60 | 0.00 | 6.63 | 1.20 | 0.00 | 0.00 | 0.60 | 74.23 | 19.05 | 6.72 | 10 |
| H337 | 2743.9 | J6 | 44.29 | 42.86 | 0.00 | 5.71 | 1.43 | 5.71 | 0.00 | 0.00 | 47.25 | 43.1 | 9.65 | 15 |
| H404 | 2889.0 | J7 | 35.16 | 42.86 | 0.00 | 18.68 | 1.65 | 0.00 | 1.65 | 0.00 | 92.08 | 5.64 | 2.28 | 10 |
| H435 | 2703.4 | J8 | 46.75 | 46.75 | 0.00 | 5.19 | 0.00 | 1.30 | 0.00 | 0.00 | 79.76 | 9.54 | 10.7 | 20 |
| H442 | 3003.3 | J9 | 44.74 | 41.45 | 0.00 | 6.58 | 0.66 | 6.58 | 0.00 | 0.00 | 50.78 | 41.08 | 8.14 | 20 |
| H61 | 2825.07 | J10 | 53.89 | 38.32 | 0.00 | 2.99 | 0.00 | 4.79 | 0.00 | 0.00 | 58.75 | 15.23 | 26.02 | 20 |
| H76 | 2696.0 | J11 | 32.61 | 50.54 | 0.00 | 4.89 | 2.17 | 9.78 | 0.00 | 0.00 | 79.43 | 11.53 | 9.04 | 15 |
| L100 | 2907.59 | J12 | 45.98 | 45.98 | 1.15 | 4.60 | 0.00 | 2.30 | 0.00 | 0.00 | 23.16 | 66.48 | 10.36 | 10 |
| Sample ID | Intergranular Pore (%) | Interparticle Dissolution Pore (%) | Feldspar Dissolved Pore (%) | Debris Solution Pore (%) | Laumontite Dissolved Pore (%) | Plane Porosity (%) | Pore Type | Cement Form |
|---|---|---|---|---|---|---|---|---|
| J1 | 8 | 0.5 | 1 | 9.5 | ITP | P | ||
| J2 | 1 | / | 2.5 | / | / | 3.5 | ITP-DP | OP |
| J3 | 7 | 2 | 0.5 | 1 | / | 10.5 | DP-ITP | FP |
| J4 | 4 | / | 0.5 | 1 | / | 5.5 | DP-ITP | FP |
| J5 | 6 | / | 1 | 2 | / | 9 | DP-ITP | FP |
| J6 | 4 | / | 1.5 | 1 | / | 6.5 | DP-ITP | F |
| J7 | 2 | / | 0.5 | / | 2.5 | ITP | FP | |
| J8 | 7 | / | 1 | 0.5 | / | 8.5 | DP-ITP | F |
| J9 | 5 | / | 2 | 1 | / | 8 | DP-ITP | F |
| J10 | 8 | / | 2 | 0.3 | / | 10.3 | DP-ITP | O |
| J11 | 4 | / | 0.6 | / | / | 4.6 | DP-ITP | F |
| J12 | 1.5 | 1 | / | / | / | 14.5 | DP-ITP | PF |
| Sample ID | Porosity (%) | Permeability (mD) | Skewness | Sorting Coefficient | Coefficient of Variation | Median Pressure (MPa) | Median Radius (μm) | Displacement Pressure (MPa) | Maximum Mercury Saturation (%) | Ejection Efficiency (%) | Radius at the Maximum Permeability Contribution (μm) | Maximum Permeability Contribution (mD) |
|---|---|---|---|---|---|---|---|---|---|---|---|---|
| J1 | 11.60 | 1.605 | 1.73 | 2.74 | 0.27 | 3.95 | 0.19 | 0.28 | 86.92 | 30.39 | 1.02 | 64.48% |
| J2 | 9.80 | 0.780 | 1.50 | 1.83 | 0.16 | 8.46 | 0.09 | 0.72 | 90.10 | 46.76 | 1.02 | 78.03% |
| J3 | 10.90 | 2.780 | 1.49 | 2.78 | 0.29 | 3.77 | 0.20 | 0.18 | 87.09 | 35.60 | 2.50 | 61.21% |
| J4 | 8.60 | 0.173 | 1.84 | 2.16 | 0.20 | 5.33 | 0.14 | 1.14 | 85.67 | 30.06 | 0.25 | 71.53% |
| J5 | 13.30 | 15.650 | 1.30 | 3.49 | 0.41 | 0.71 | 1.04 | 0.02 | 88.37 | 19.13 | 40.41 | 38.49% |
| J6 | 16.10 | 2.024 | 0.72 | 3.68 | 0.24 | 2.79 | 0.26 | 0.11 | 87.72 | 32.55 | 0.36 | 75.62% |
| J7 | 14.10 | 28.960 | 0.47 | 3.20 | 0.33 | 0.63 | 1.17 | 0.05 | 96.43 | 22.85 | 5.33 | 67.65% |
| J8 | 16.40 | 6.075 | 0.61 | 4.58 | 0.42 | 0.18 | 4.10 | 0.06 | 81.73 | 20.54 | 1.09 | 50.95% |
| J9 | 14.10 | 1.768 | 0.76 | 3.25 | 0.28 | 1.01 | 0.73 | 0.14 | 95.99 | 20.94 | 0.36 | 57.37% |
| J10 | 13.10 | 2.207 | 2.09 | 2.43 | 0.25 | 1.71 | 0.43 | 0.46 | 88.50 | 32.67 | 1.02 | 57.41% |
| J11 | 7.60 | 0.341 | 1.73 | 2.31 | 0.20 | 6.05 | 0.12 | 1.16 | 90.26 | 19.05 | 0.25 | 76.89% |
| J12 | 14.96 | 3.312 | 1.56 | 0.31 | 0.22 | 3.15 | 0.23 | 0.29 | 84.51 | 29.08 | 1.60 | 87.33% |
| Sample ID | Porosity (%) | Permeability (mD) | SHgapex(%) | Pcapex(MPa) | rapex (μm) |
|---|---|---|---|---|---|
| J1 | 11.60 | 1.605 | 29.62 | 1.17 | 0.63 |
| J2 | 9.80 | 0.780 | 24.43 | 2.91 | 0.25 |
| J3 | 10.90 | 2.780 | 22.02 | 0.46 | 1.60 |
| J4 | 8.60 | 0.173 | 46.73 | 4.56 | 0.16 |
| J5 | 13.30 | 15.650 | 30.63 | 0.18 | 4.03 |
| J6 | 16.10 | 2.024 | 18.85 | 0.27 | 2.76 |
| J7 | 14.10 | 28.960 | 30.41 | 0.21 | 3.56 |
| J8 | 16.40 | 6.075 | 43.12 | 0.11 | 6.66 |
| J9 | 14.10 | 1.768 | 26.28 | 0.26 | 2.80 |
| J10 | 13.10 | 2.207 | 40.91 | 1.16 | 0.63 |
| J11 | 7.60 | 0.341 | 45.68 | 4.50 | 0.16 |
| J12 | 14.96 | 3.312 | 24.91 | 0.46 | 1.60 |
| Sample ID | Porosity (%) | Permeability (mD) | Df1 | R2 | Df2 | R2 | Df3 | R2 | rP1 (μm) | rP2 (μm) |
|---|---|---|---|---|---|---|---|---|---|---|
| J1 | 11.60 | 1.605 | 5.3278 | 0.9739 | 2.1606 | 0.9670 | / | / | 0.6310 | |
| J2 | 9.80 | 0.780 | 6.4484 | 0.9974 | 2.3524 | 0.9877 | 2.0458 | 0.9188 | 0.2525 | 0.0252 |
| J3 | 10.90 | 2.780 | 6.1322 | 0.9091 | 2.2525 | 0.9844 | 2.0456 | 0.8999 | 1.6050 | 0.0404 |
| J4 | 8.60 | 0.173 | 6.5820 | 0.9836 | 2.3016 | 0.9524 | 2.0587 | 0.9106 | 0.1613 | 0.0252 |
| J5 | 13.30 | 15.650 | 3.5274 | 0.9940 | 2.1183 | 0.9787 | 2.5211 | / | ||
| J6 | 16.10 | 2.024 | 2.3695 | 0.9591 | 3.0672 | 0.9702 | 2.1609 | 0.9349 | 5.3322 | 1.0909 |
| J7 | 14.10 | 28.960 | 5.2395 | 0.9839 | 2.1294 | 0.9576 | / | / | 3.5613 | / |
| J8 | 16.40 | 6.075 | 2.5183 | 0.9997 | 3.5903 | 0.8950 | 2.0666 | 0.9698 | 8.9108 | 5.3322 |
| J9 | 14.10 | 1.768 | 2.3276 | 0.9792 | 2.5459 | 0.9836 | 2.1153 | 0.9581 | 5.3339 | 1.0900 |
| J10 | 13.10 | 2.207 | 5.4908 | 0.9500 | 2.1053 | 0.9326 | / | / | 0.6316 | / |
| J11 | 7.60 | 0.341 | 5.3406 | 0.9937 | 2.1763 | 0.9844 | / | / | 0.2532 | / |
| J12 | 14.96 | 3.312 | 5.3640 | 0.9573 | 2.1630 | 0.9679 | / | / | 1.6008 | / |
| Sample ID | Helium Porosity (%) | Permeability (mD) | NMR Porosity (%) | Dead Porosity Content (%) | T2cutoff (ms) | Movable Fluid Saturation (%) | Irreducible Water Saturation (%) | Movable Fluid Porosity (%) |
|---|---|---|---|---|---|---|---|---|
| J1 | 11.60 | 1.605 | 13.47 | 1.87 | 16.58 | 53.21 | 46.79 | 7.17 |
| J2 | 9.80 | 0.780 | 11.68 | 1.88 | 13.29 | 45.76 | 54.24 | 5.34 |
| J3 | 10.90 | 2.780 | 12.78 | 1.88 | 16.84 | 54.65 | 45.35 | 6.98 |
| J4 | 8.60 | 0.173 | 9.89 | 1.29 | 12.15 | 43.77 | 56.23 | 4.33 |
| J5 | 13.30 | 15.650 | 15.76 | 2.46 | 19.21 | 58.12 | 41.88 | 9.16 |
| J6 | 16.10 | 2.024 | 18.53 | 2.43 | 19.75 | 60.88 | 39.12 | 11.28 |
| J7 | 14.10 | 28.960 | 16.36 | 2.26 | 21.23 | 63.87 | 36.13 | 10.45 |
| J8 | 16.40 | 6.075 | 18.03 | 1.63 | 21.84 | 56.31 | 43.69 | 10.15 |
| J9 | 14.10 | 1.768 | 17.29 | 3.19 | 20.93 | 57.22 | 42.78 | 9.89 |
| J10 | 13.10 | 2.207 | 15.24 | 2.14 | 18.98 | 58.24 | 41.76 | 8.88 |
| J11 | 7.60 | 0.341 | 8.73 | 1.13 | 10.35 | 40.13 | 59.87 | 3.50 |
| J12 | 14.96 | 3.312 | 17.21 | 2.25 | 19.85 | 55.61 | 44.39 | 9.57 |
| Sample ID | Max SHg (%) | Max Movable Fluid Saturation (%) | C | 1/n | R2 | Fitting Formula | rcutoff (μm) |
|---|---|---|---|---|---|---|---|
| J1 | 86.92 | 53.21 | 0.0097 | 1.2357 | 0.9516 | r = 1.2357T2 − 4.6356 | 0.31 |
| J2 | 90.10 | 45.76 | 0.0154 | 1.0526 | 0.9768 | r = 1.0256T2 − 4.1734 | 0.23 |
| J3 | 87.09 | 54.65 | 0.0068 | 1.3017 | 0.9449 | r = 1.3017T2 − 4.9908 | 0.27 |
| J4 | 85.67 | 43.77 | 0.0242 | 1.0139 | 0.9217 | r = 1.0139T2 − 3.7214 | 0.30 |
| J5 | 88.37 | 58.12 | 0.0114 | 1.1560 | 0.9834 | r = 1.1560T2 − 4.4741 | 0.35 |
| J6 | 87.72 | 60.88 | 0.0023 | 1.3943 | 0.9797 | r = 1.3943T2 − 6.0737 | 0.15 |
| J7 | 96.43 | 63.87 | 0.0103 | 1.2684 | 0.9856 | r = 1.2684T2 − 4.5756 | 0.50 |
| J8 | 81.73 | 56.31 | 0.0012 | 1.3875 | 0.9642 | r = 1.3875T2 − 6.7254 | 0.09 |
| J9 | 95.99 | 57.22 | 0.0119 | 1.1280 | 0.9906 | r = 1.1280T2 − 4.4322 | 0.37 |
| J10 | 88.50 | 58.24 | 0.0213 | 1.0427 | 0.9512 | r = 1.0427T2 − 3.8490 | 0.46 |
| J11 | 90.26 | 40.13 | 0.0083 | 1.0108 | 0.9429 | r = 1.0108T2 − 4.7915 | 0.09 |
| J12 | 84.51 | 55.61 | 0.0312 | 1.1143 | 0.9502 | r = 1.1143T2 − 0.0312 | 0.87 |
| Sample ID | NMR Porosity% | Micropores (<0.01 μm) | Mesopores (0.01–1 μm) | Macropores (>1 μm) | |||
|---|---|---|---|---|---|---|---|
| Frequency/% | Porosity/% | Frequency% | Porosity/% | Frequency/% | Porosity/% | ||
| J1 | 13.47 | 32.87% | 4.43 | 55.77% | 7.51 | 11.36% | 1.53 |
| J2 | 11.68 | 30.25% | 3.53 | 69.37% | 8.10 | 0.38% | 0.04 |
| J3 | 12.78 | 29.59% | 3.78 | 48.93% | 6.25 | 21.48% | 2.75 |
| J4 | 9.89 | 14.82% | 1.47 | 84.15% | 8.32 | 1.03% | 0.10 |
| J5 | 15.76 | 22.03% | 3.47 | 45.35% | 7.15 | 32.62% | 5.14 |
| J6 | 18.53 | 18.33% | 3.40 | 53.05% | 9.83 | 28.62% | 5.30 |
| J7 | 16.36 | 14.76% | 2.41 | 42.36% | 6.93 | 42.88% | 7.02 |
| J8 | 18.03 | 4.86% | 0.88 | 43.76% | 7.89 | 51.38% | 9.26 |
| J9 | 17.29 | 9.59% | 1.66 | 51.69% | 8.94 | 38.72% | 6.70 |
| J10 | 15.24 | 23.81% | 3.63 | 66.76% | 10.17 | 9.43% | 1.44 |
| J11 | 8.73 | 35.74% | 3.12 | 61.89% | 5.40 | 2.37% | 0.21 |
| J12 | 17.21 | 22.78% | 3.92 | 55.63% | 9.57 | 21.59% | 3.72 |
| Sample ID | Irreducible Water Saturation (%) | Water Saturation at Isotonic Point (%) | Relative Permeability at Isotonic Point | Water Saturation at Residual oil | Relative Permeability at Residual Oil | Common Seepage Area (%) | Oil Displacement Efficiency (%) |
|---|---|---|---|---|---|---|---|
| J1 | 42.34 | 62.7 | 0.1384 | 72.58 | 0.2461 | 30.24 | 52.45 |
| J2 | 51.39 | 65.13 | 0.0926 | 70.13 | 0.1683 | 18.74 | 38.55 |
| J3 | 41.08 | 64.05 | 0.1207 | 74.51 | 0.2574 | 33.43 | 56.74 |
| J4 | 55.27 | 67.12 | 0.091 | 71.1 | 0.1425 | 15.83 | 35.39 |
| J5 | 39.63 | 69.07 | 0.1868 | 86.45 | 0.3651 | 46.82 | 77.56 |
| J6 | 36.59 | 71.97 | 0.2281 | 88.23 | 0.4240 | 51.64 | 81.44 |
| J7 | 34.2 | 68.31 | 0.2106 | 91.05 | 0.4522 | 56.85 | 86.40 |
| J8 | 40.25 | 70.02 | 0.1794 | 87.54 | 0.3975 | 47.29 | 79.15 |
| J9 | 40.56 | 69.18 | 0.1734 | 85.76 | 0.4257 | 45.20 | 76.04 |
| J10 | 41.21 | 67.87 | 0.1426 | 79.56 | 0.2973 | 38.35 | 65.23 |
| J11 | 57.59 | 68.73 | 0.094 | 72.13 | 0.1471 | 14.54 | 34.28 |
| J12 | 41.25 | 69.81 | 0.2112 | 83.85 | 0.3970 | 42.60 | 72.51 |
| Sample ID | Porosity (%) | Permeability (mD) | Main Displacement Path | Oil Displacement Efficiency in Anhydrous Period (%) | Final Oil Displacement Efficiency (%) |
|---|---|---|---|---|---|
| J1 | 11.6 | 1.605 | reticulate | 20.8 | 42.7 |
| J2 | 9.8 | 0.78 | fingerlike-reticulate | 12.5 | 27.5 |
| J3 | 10.9 | 2.78 | reticulate-homogeneous | 22.4 | 45.9 |
| J4 | 8.6 | 0.173 | fingerlike-reticulate | 12.9 | 24.9 |
| J5 | 13.3 | 15.65 | homogeneous | 45.3 | 68.4 |
| J6 | 16.1 | 2.024 | reticulate-homogeneous | 31.5 | 67.3 |
| J7 | 14.1 | 28.96 | homogeneous | 54.9 | 80.2 |
| J8 | 16.4 | 6.075 | homogeneous | 43.5 | 72.6 |
| J9 | 14.101 | 1.768 | reticulate | 30.5 | 67.5 |
| J10 | 13.1 | 2.207 | reticulate | 24.7 | 55.8 |
| J11 | 7.6 | 0.341 | fingerlike-reticulate | 10.8 | 25.8 |
| J12 | 14.96 | 3.3122 | reticulate-homogeneous | 36.9 | 63.5 |
Publisher’s Note: MDPI stays neutral with regard to jurisdictional claims in published maps and institutional affiliations. |
© 2022 by the authors. Licensee MDPI, Basel, Switzerland. This article is an open access article distributed under the terms and conditions of the Creative Commons Attribution (CC BY) license (https://creativecommons.org/licenses/by/4.0/).
Share and Cite
Tong, Q.; He, D.; Xia, Z.; Huang, J.; Di, K.; Xu, F.; Guo, S. Influence of Reservoir Pore-Throat Structure Heterogeneity on Water-Flooding Seepage: A Case Study of Yanchang Formation in Ordos Basin. Minerals 2022, 12, 1243. https://doi.org/10.3390/min12101243
Tong Q, He D, Xia Z, Huang J, Di K, Xu F, Guo S. Influence of Reservoir Pore-Throat Structure Heterogeneity on Water-Flooding Seepage: A Case Study of Yanchang Formation in Ordos Basin. Minerals. 2022; 12(10):1243. https://doi.org/10.3390/min12101243
Chicago/Turabian StyleTong, Qiang, Dongbo He, Zhaohui Xia, Jixin Huang, Kaixiang Di, Fang Xu, and Songwei Guo. 2022. "Influence of Reservoir Pore-Throat Structure Heterogeneity on Water-Flooding Seepage: A Case Study of Yanchang Formation in Ordos Basin" Minerals 12, no. 10: 1243. https://doi.org/10.3390/min12101243
APA StyleTong, Q., He, D., Xia, Z., Huang, J., Di, K., Xu, F., & Guo, S. (2022). Influence of Reservoir Pore-Throat Structure Heterogeneity on Water-Flooding Seepage: A Case Study of Yanchang Formation in Ordos Basin. Minerals, 12(10), 1243. https://doi.org/10.3390/min12101243

