Geochemical Conditions and Factors Controlling the Distribution of Major, Trace, and Rare Elements in Sul Hamed Granitic Rocks, Southeastern Desert, Egypt
Abstract
:1. Introduction
2. Material and Methods
2.1. Geological Settings

2.2. Petrography
2.3. Analytical Methods
3. Results and Discussion
3.1. General Geochemical Characteristics of the Studied Samples
3.2. Geochemistry of Major and Trace Elements
4. Alteration Processes in the Studied Altered Granites
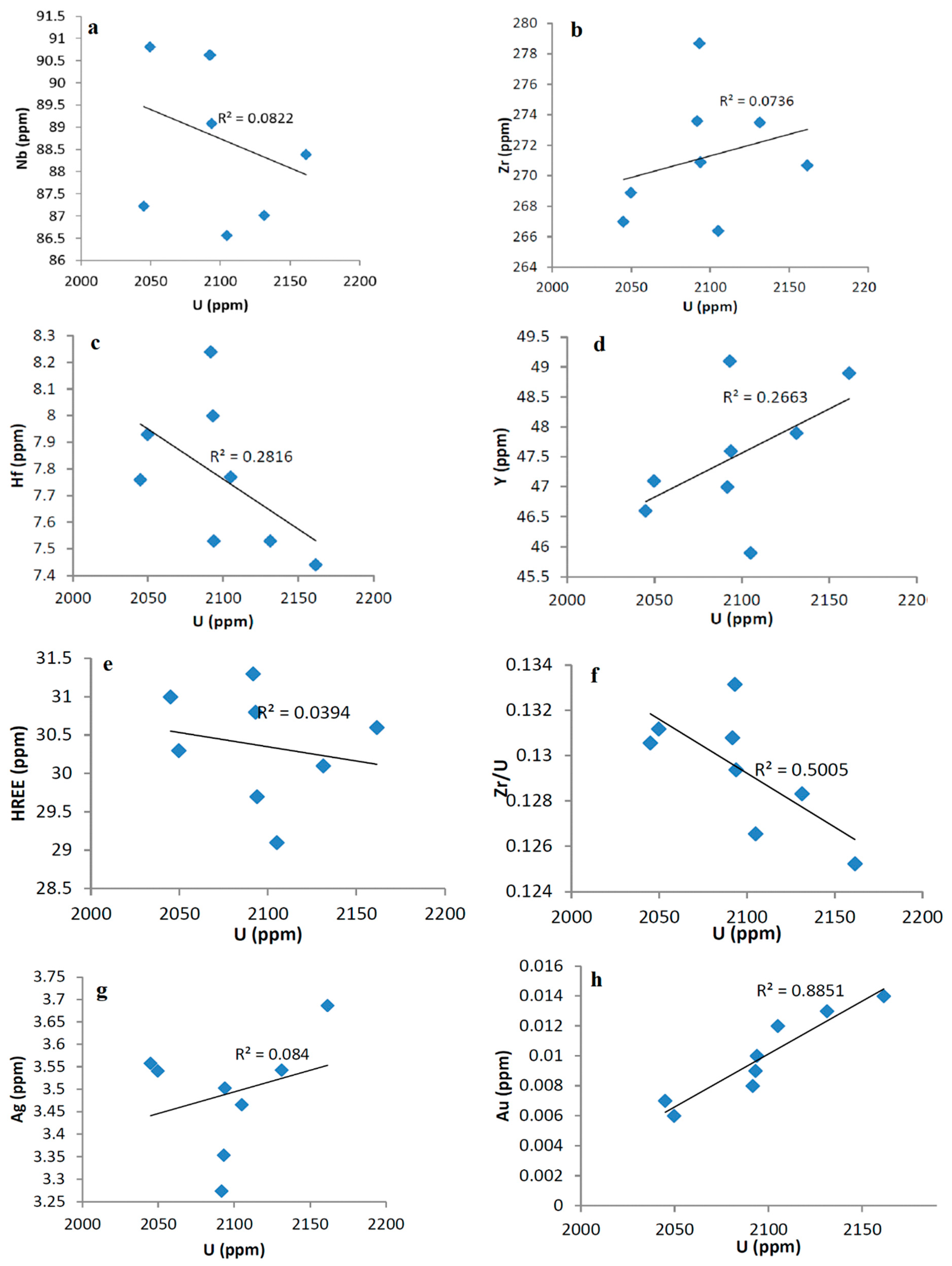
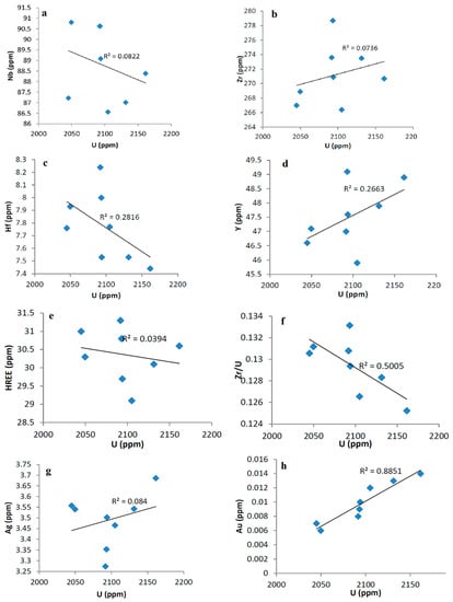
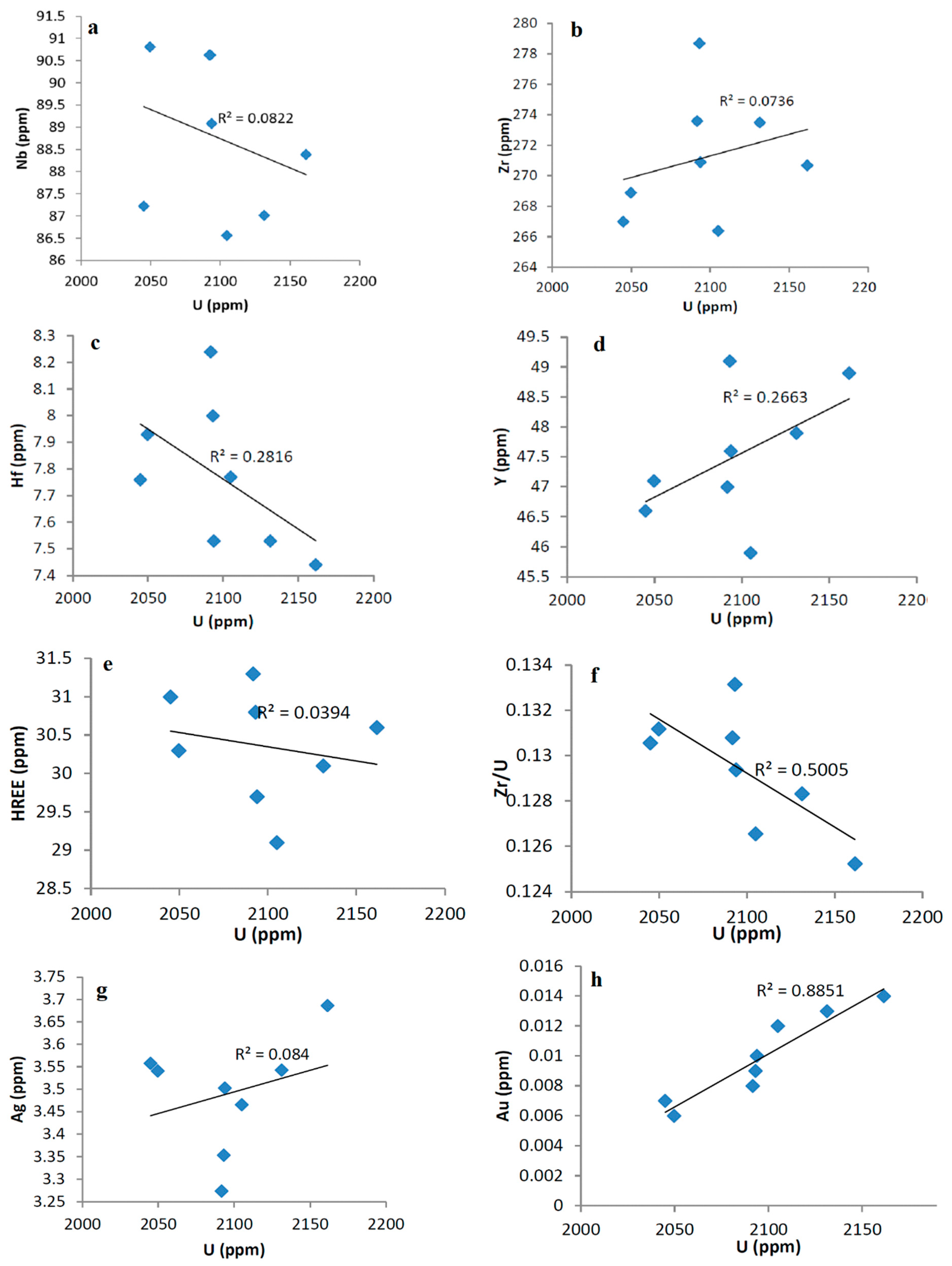
5. Geochemistry of Isovalents and Related Elements
6. Rare Earth Elements
7. Conclusions
Author Contributions
Funding
Data Availability Statement
Acknowledgments
Conflicts of Interest
References
- Warren, H.V.; Delavault, R.E. Geochemical prospecting finds widespread application in British Columbia. Min. Eng. 1953, 5, 980–981. [Google Scholar]
- Anenburg, M.; Burnham, A.; Mavrogenes, J. REE Redistribution Textures in Altered Fluorapatite: Symplectites, Veins, and Phosphate-Silicate-Carbonate Assemblages from the Nolans Bore P-REE-Th Deposit, Northern Territory, Australia. Can. Miner. 2018, 56, 331–354. [Google Scholar] [CrossRef]
- Adel, E.A.H.; El-Feky, M.G.; Taha, S.H.; El Minyawi, S.M.; Sallam, H.A.; Ebyan, O.A.; Yousef, E.S.; Hanfi, M.M. Natural Radionuclide Concentrations by γ-Ray Spectrometry in Granitic Rocks of the Sol Hamed Area, Southeastern Desert of Egypt, and Their Radiological Implications. Minerals 2022, 12, 294. [Google Scholar] [CrossRef]
- Zaharescu, D.G.; Burghelea, C.I.; Dontsova, K.; Presler, J.K.; Maier, R.M.; Huxman, T.; Domanik, K.J.; Hunt, E.A.; Amistadi, M.K.; Gaddis, E.E.; et al. Ecosystem Composition Controls the Fate of Rare Earth Elements during Incipient Soil Genesis. Sci. Rep. 2017, 7, srep43208. [Google Scholar] [CrossRef]
- Zhao, Z.H.; Bao, Z.W.; Lee, S.G. A composite M- With W-type of REE tetrad effect in a north China alkaline complex. Geochim. Cosmochim. Acta 2008, 72, 95–110. [Google Scholar] [CrossRef]
- Mahdy, A.I.; El-Kammar, A.M. Geochemical Partitioning of Isovalent and Tetrad Effect of REE Associating Episynitization of Kab Amiri Granites, Central Eastern Desert of Egypt. In Proceedings of the 5th Conference of Geology of Middle East, Cairo, Egypt, 5–11 June 2003; pp. 111–125. [Google Scholar]
- El Mezayen, A.M.; Heikal, M.A.; El-Feky, M.G.; Shahin, H.A.; Abu Zeid, I.K.; Lasheen, S.R. Petrology, geochemistry, radioactivity, and M–W type rare earth element tetrads of El Sela altered granites, south eastern desert, Egypt. Acta Geochim. 2019, 38, 95–119. [Google Scholar] [CrossRef]
- Tyler, G. Rare earth elements in soil and plant systems—A review. Plant Soil 2004, 267, 191–206. [Google Scholar] [CrossRef]
- McLennan, S.M. Rare earth element geochemistry and the tetrad effect. Geochim. Cosmochim. Acta 1994, 58, 25–33. [Google Scholar] [CrossRef]
- Christy, A.G.; Mills, S.J.; Kampf, A.R. A review of the structural architecture of tellurium oxycompounds. Miner. Mag. 2016, 80, 415–545. [Google Scholar] [CrossRef]
- Masuda, A.; Kawakami, O.; Dohmoto, Y.; Takenaka, T. Lanthanite tetrad effects in nature: Two mutually opposite types, W and M. Geochem. J. 1987, 21, 119–124. [Google Scholar] [CrossRef]
- Stepanov, A.S.; Hermann, J.; Rubatto, D.; Rapp, R.P. Experimental study of monazite/melt partitioning with implications for the REE, Th and U geochemistry of crustal rocks. Chem. Geol. 2012, 300, 200–220. [Google Scholar] [CrossRef]
- El Dabe, M.M.; Ismail, A.M.; Metwaly, M.; Taalab, S.A.; Hanfi, M.Y.; Ene, A. Hazards of Radioactive Mineralization Associated with Pegmatites Used as Decorative and Building Material. Materials 2022, 15, 1224. [Google Scholar] [CrossRef] [PubMed]
- Abdi, S.; Khoshkhoo, M.S.; Shuleshova, O.; Bönisch, M.; Calin, M.; Schultz, L.; Eckert, J.; Baró, M.; Sort, J.; Gebert, A. Effect of Nb addition on microstructure evolution and nanomechanical properties of a glass-forming Ti–Zr–Si alloy. Intermetallics 2013, 46, 156–163. [Google Scholar] [CrossRef]
- Monecke, T.; Monecke, J.; Mönch, W.; Kempe, U. Mathematical analysis of rare earth element patterns of fluorites from the Ehrenfriedersdorf tin deposit, Germany: Evidence for a hydrothermal mixing process of lanthanides from two different sources. Mineral. Petrol. 2000, 70, 235–256. [Google Scholar] [CrossRef]
- Gaafar, I.; Fawzy, M.; Diab, M.; Hanfi, M. Radiological Hazards Assessment of Stream sediments at Wadi Diit and Wadi Sermatai area, Southern Eastern Desert, Egypt. J. Radioanal. Nucl. Chem. 2022, 331, 1795–1806. [Google Scholar] [CrossRef]
- Ma, L.; Jin, L.; Brantley, S.L. Geochemical behaviors of different element groups during shale weathering at the Susquehanna/Shale Hills Critical Zone Observatory. Appl. Geochem. 2011, 26, S89–S93. [Google Scholar] [CrossRef]
- Gaafar, I.; Cuney, M.; Gawad, A.A. Mineral Chemistry of Two-Mica Granite Rare Metals: Impact of Geophysics on the Distribution of Uranium Mineralization at El Sela Shear Zone, Egypt. Open J. Geol. 2014, 04, 137–160. [Google Scholar] [CrossRef]
- Abu Khozaiem, H.A. Geochemistry and Processing of some Valuable Metals from Mineralized Two Mica Granites, South Eastern Desert, Egypt. Master’s Thesis, Cairo University, Cairo, Egypt, 2006; p. 110. [Google Scholar]
- Ali, M.A.; Lentz, D.R. Mineralogy, geochemistry and age dating of shear zone-hosted Nb-Ta-, Zr-Hf-, Th-, U-bearing granitic rocks in the Ghadir and El-Sella areas, South Eastern Desert, Egypt. Chin. J. Geochem. 2011, 30, 453–478. [Google Scholar] [CrossRef]
- Ibrahim, M.E.; Zalata, A.A.; Assaf, H.S.; Ibrahim, I.H.; Rashed, M.A. El Sela shear zone, South Eastern Desert, Egypt: An example of vein-type uranium deposit. Egy. J. Geol. 2003, 42, 690–704. [Google Scholar]
- Okasha, S.A.; Faheim, A.A.; Monged, M.H.E.; Khattab, M.R.; Abed, N.S.; Salman, A.A. Radiochemical technique as a tool for determination and characterisation of El Sela ore grade uranium deposits. Int. J. Environ. Anal. Chem. 2020, 3, 1–10. [Google Scholar] [CrossRef]
- Nockolds, S.R.; Knox, R.W.; Chinner, G.A. Petrography for Students; Fakenham Press: Norfolk, UK, 1979; p. 427. [Google Scholar]
- El Kholy, D.M.; Khamis, H.A.; El Sandouly, H.L. Geology and Structural Relationship Between Uranium Occurrences in the Northern Part of Gabal Gattar, Northern Eastern Desert, Egypt. J. Nucl. Mater. Auth. 2017, 7, 64–84. [Google Scholar]
- Cox, K.G.; Bell, J.D.; Pankhurst, R.J. The Interpretation of Igneous Rocks; Allen & Unwin: London, UK, 1979. [Google Scholar] [CrossRef]
- Rudnick, R.L.; Gao, S. Composition of the Continental Crust. In Treatise on Geochemistry; Holland, H.D., Turekian, K.K., Rudnick, R.L., Eds.; Elsevier-Pergamon: Oxford, UK, 2003; Volume 3, pp. 1–64. [Google Scholar]
- Jung, C.H.; Osako, M. Metal resource potential of residues from municipal solid waste (MSW) melting plants. Resour. Conserv. Recycl. 2009, 53, 301–308. [Google Scholar] [CrossRef]
- Ndjigui, P.D.; Bilong, P.; Bitom, D.; Dia, A. Mobilization and redistribution of major and trace elements in two weathering profiles developed on serpentinites in the Lomié ultramafic complex, South-East Cameroon. J. Afr. Earth Sci. 2008, 50, 305–328. [Google Scholar] [CrossRef]
- Karakaya, M.; Karakaya, N.; Bakır, S. Some properties and potential applications of the Na- and Ca-bentonites of ordu (N.E. Turkey). Appl. Clay Sci. 2011, 54, 159–165. [Google Scholar] [CrossRef]
- Kadir, S.; Erkoyun, H. Genesis of the hydrothermal Karaçayır kaolinite deposit in Miocene volcanics and Palaeozoic metamorphic rocks of the Uşak-Güre Basin, western Turkey. Turk. J. Earth Sci. 2013, 22, 444–468. [Google Scholar] [CrossRef]
- Ekwere, S.; Li, F. Rb contents and Ba/Rb and Rb/Sr ratios as indicators of postmagmatic alteration and mineralization in the granitic rocks of the Banke and Ririwai Younger Granite complexes, Northern Nigeria. Miner. Deposita 1985, 20, 4315. [Google Scholar] [CrossRef]
- Lackschewitz, K.S.; Singer, A.; Botz, R.; Garbe-Schobnberg, D.; Stoffers, P. Mineralogy and geochemistry of clay minerals near a hydrothermal site in the Escanaba trough, Gorde Ridge, NE Pacific Ocean. In Ocean Drilling Program, Scientific Results; Ziereenberg, R.A., Fouquet, Y., Miller, D.J., Normark, W.R., Eds.; Texas A&M University: Dallas, TX, USA, 2000; Volume 169, pp. 1–24. [Google Scholar]
- El Feky, M.G.; El Mowafy, A.A.; Abdel Warith, A. Mineralogy, geochemistry, radioactivity and environmental impacts of Gabal Marwa granites, southeastern Sinai, Egypt. Chin. J. Geochem. 2011, 30, 175–186. [Google Scholar] [CrossRef]
- Recio, C.; Fallick, A.E.; Ugidos, J.M.; Stephens, W.E. Characterization of multiple fluid-granite interaction processes in the episyenites of Avila-Béjar, Central Iberian Massif, Spain. Chem. Geol. 1997, 143, 127–144. [Google Scholar] [CrossRef]
- Cunny, R.W.; Agostinelli, V.M., Jr.; Taylor, H.M. Levee Underseepage Software User Manual and Validation; Technical Report REMR-GT-13; U.S. Army Engineer Waterways Experiment Station: Vicksburg, MS, USA, 1989.
- Cathelineau, M. The hydrothermal alkali metasomatism effects on granite rocks: Quartz dissolution and related subsolidus changes. J. Petrol. 1986, 27, 945–965. [Google Scholar] [CrossRef]
- Dostal, J.; Chatterjee, A.K. Contrasting behavior of Nb/Ta and Zr/Hf ratios in a peraluminous granitic pluton (Nova Scotia, Canada). Chem. Geol. 2000, 163, 207–218. [Google Scholar] [CrossRef]
- Hanfi, M.Y.; Emad, B.M.; Sayyed, M.I.; Khandaker, M.U.; Bradley, D.A. Natural radioactivity in the prospecting tunnel in Egypt: Dose rate and risk assessment. Radiat. Phys. Chem. 2021, 187, 109555. [Google Scholar] [CrossRef]
- London, D. Internal differentiation of rare-element pegmatites:effects of boron, phosphorus and fluorine. Geochim. Cosmochim. Acta 1987, 51, 403–420. [Google Scholar] [CrossRef]
- Jahn, B.-M.; Wu, F.; Capdevila, R.; Martineau, F.; Zhao, Z.; Wang, Y. Highly evolved juvenile granites with tetrad REE patterns: The Woduhe and Baerzhe granites from the Great Xing’an Mountains in NE China. Lithos 2001, 59, 171–198. [Google Scholar] [CrossRef]
- Hermann, A.G. Yttrium and lanthanides. In Handbook of Geochemistry; Wedepohl, K.H., Ed.; Springer: Berlin, Germany, 1970; pp. 57–71. [Google Scholar]
- Gawad, A.E.A.; Eliwa, H.; Ali, K.G.; Alsafi, K.; Murata, M.; Salah, M.S.; Hanfi, M.Y. Cancer Risk Assessment and Geochemical Features of Granitoids at Nikeiba, Southeastern Desert, Egypt. Minerals 2022, 12, 621. [Google Scholar] [CrossRef]
- Feng, J.-L. Behaviour of rare earth elements and yttrium in ferromanganese concretions, gibbsite spots, and the surrounding terra rossa over dolomite during chemical weathering. Chem. Geol. 2010, 271, 112–132. [Google Scholar] [CrossRef]
- Ibrahim, M.E.-A.; El-Kalioby, B.A.E.H.; Aly, G.M.; El-Tohamy, A.M.; Watanabe, K. Altered granitic rocks, Nusab El Balgum Area, Southwestern Desert, Egypt: Mineralogical and geochemical aspects of REEs. Ore Geol. Rev. 2015, 70, 252–261. [Google Scholar] [CrossRef]
- Cao, M.; Li, G.; Qin, K.; Seitmuratova, E.Y.; Liu, Y. Major and Trace Element Characteristics of Apatites in Granitoids from Central Kazakhstan: Implications for Petrogenesis and Mineralization. Resour. Geol. 2011, 62, 63–83. [Google Scholar] [CrossRef]






| Oxides | El Sella Granites | |||||||
|---|---|---|---|---|---|---|---|---|
| % | 1 | 2 | 3 | 4 | 5 | 6 | 7 | 8 |
| SiO2 | 78.36 | 78.13 | 77.88 | 77.73 | 77.06 | 77.55 | 77.66 | 77.97 |
| Al2O3 | 12.07 | 12.11 | 12.34 | 12.45 | 12.91 | 12.60 | 12.60 | 12.32 |
| TiO2 | 1.35 | 1.38 | 1.39 | 1.39 | 1.4 | 1.42 | 1.4 | 1.38 |
| Fe2O3t | 2.69 | 2.83 | 2.73 | 2.79 | 2.82 | 2.77 | 2.70 | 2.7 |
| MgO | 0.5 | 0.5 | 0.51 | 0.51 | 0.53 | 0.53 | 0.51 | 0.5 |
| CaO | 0.83 | 0.84 | 0.84 | 0.85 | 0.88 | 0.85 | 0.87 | 0.84 |
| Na2O | 0.93 | 0.93 | 0.96 | 0.94 | 0.97 | 0.94 | 0.96 | 0.95 |
| K2O | 2.55 | 2.55 | 2.58 | 2.59 | 2.64 | 2.60 | 2.54 | 2.59 |
| MnO | 0.02 | 0.02 | 0.02 | 0.02 | 0.02 | 0.02 | 0.02 | 0.02 |
| P2O5 | 0.42 | 0.42 | 0.44 | 0.46 | 0.47 | 0.45 | 0.45 | 0.45 |
| SO3 | 0.15 | 0.17 | 0.17 | 0.17 | 0.17 | 0.17 | 0.17 | 0.15 |
| L.O.I. | 0.13 | 0.12 | 0.14 | 0.1 | 0.13 | 0.1 | 0.12 | 0.127 |
| Total | 100 | 100 | 100 | 100 | 100 | 100 | 100 | 100 |
| Ba | 82 | 85 | 86 | 90 | 88 | 86 | 83 | 85 |
| Co | 3.2 | 3.4 | 3.2 | 3.4 | 3.4 | 3.2 | 3.1 | 3.2 |
| Cs | 4 | 4.1 | 4 | 4 | 4.3 | 4.2 | 4.1 | 4 |
| Ga | 26.68 | 28.01 | 27.14 | 26.7 | 27.56 | 26.61 | 26.83 | 26.9 |
| Hf | 7.93 | 8 | 8.24 | 7.76 | 7.44 | 7.53 | 7.53 | 7.77 |
| Nb | 90.82 | 90.64 | 90.64 | 87.21 | 88.38 | 87.02 | 89.07 | 86.56 |
| Rb | 202.9 | 202.7 | 204.9 | 205.7 | 212.3 | 206.2 | 209.1 | 207.3 |
| Sn | 3.4 | 3.5 | 3.6 | 3.2 | 3.3 | 3.2 | 3.3 | 3.3 |
| Sr | 576 | 589 | 597 | 601 | 613 | 587 | 597 | 584 |
| Ta | 4.4 | 4.3 | 4.1 | 4.2 | 4.1 | 4 | 4.2 | 3.9 |
| Th | 23.2 | 21.7 | 21.1 | 21.2 | 20.9 | 20.5 | 21 | 21.1 |
| Tl | 1.58 | 1.61 | 1.64 | 1.63 | 1.7 | 1.62 | 1.63 | 1.66 |
| U | 2049.7 | 2093.1 | 2091.7 | 2044.9 | 2161.5 | 2131.3 | 2093.8 | 2105 |
| V | 58 | 59 | 59 | 59 | 61 | 60 | 60 | 60 |
| W | 5.3 | 4.8 | 5.2 | 5.1 | 5.5 | 5 | 4.8 | 4.8 |
| Zr | 268.9 | 278.7 | 273.6 | 267 | 270.7 | 273.5 | 270.9 | 266.4 |
| Mo | 4.16 | 5.08 | 4.43 | 4.81 | 4.63 | 4.22 | 4 | 4.4 |
| Ag (ppb) | 3541 | 3354 | 3274 | 3558 | 3687 | 3543 | 3503 | 3466 |
| Cu | 12.2 | 11.8 | 11.2 | 9.6 | 12.8 | 9.7 | 9.8 | 12.2 |
| Pb | 156.31 | 164.77 | 163.02 | 162.03 | 165.82 | 163.07 | 162.52 | 165.05 |
| Zn | 193.2 | 198.6 | 196.8 | 188.9 | 208.5 | 197.8 | 194.4 | 192.6 |
| Ni | 7.7 | 8.3 | 7.2 | 7.4 | 8 | 8.5 | 6.8 | 7.3 |
| Bi | 0.29 | 0.33 | 0.3 | 0.32 | 0.31 | 0.31 | 0.3 | 0.3 |
| As | 10.6 | 11.5 | 11 | 11 | 11.1 | 11.2 | 10.9 | 11.2 |
| Cd | 0.17 | 0.23 | 0.17 | 0.15 | 0.17 | 0.08 | 0.18 | 0.18 |
| Sb | 1.01 | 1.08 | 1.09 | 1.05 | 1.08 | 1.08 | 1.12 | 1.04 |
| Cr | 4 | 4 | 4 | 5 | 4 | 4 | 4 | 4 |
| Be | 6 | 7 | 7 | 6 | 7 | 7 | 6 | 7 |
| Sc | 8 | 8.4 | 8.7 | 8.1 | 8.7 | 8.4 | 8.6 | 8.2 |
| Li | 28 | 27.2 | 26.8 | 26.8 | 27.8 | 27.6 | 27.9 | 25.8 |
| In | 0.06 | 0.07 | 0.07 | 0.07 | 0.06 | 0.07 | 0.05 | 0.07 |
| Re | <0.002 | 0.002 | <0.002 | <0.002 | <0.002 | <0.002 | <0.002 | <0.002 |
| Y | 47.1 | 49.1 | 47 | 46.6 | 48.9 | 47.9 | 47.6 | 45.9 |
| La | 112.6 | 115.8 | 117.7 | 115.5 | 120.7 | 118.6 | 117.7 | 115.6 |
| Ce | 166.61 | 172.11 | 171.57 | 171.85 | 178.72 | 170.46 | 170.46 | 170.46 |
| Pr | 29.8 | 31.4 | 30.9 | 30.7 | 32.2 | 30.8 | 31 | 30.5 |
| Nd | 103 | 104.8 | 101.4 | 100 | 106.9 | 103.3 | 104.3 | 102 |
| Sm | 17.6 | 17.5 | 17.1 | 17.4 | 17.7 | 17.7 | 17.3 | 17.1 |
| Eu | 2 | 1.8 | 1.9 | 2 | 1.9 | 1.8 | 2 | 1.9 |
| Gd | 11.4 | 12.4 | 12.5 | 12.2 | 12 | 12 | 11.9 | 11.2 |
| Tb | 1.5 | 1.5 | 1.5 | 1.5 | 1.5 | 1.5 | 1.4 | 1.5 |
| Dy | 7.4 | 7.1 | 7.6 | 7.7 | 7.3 | 7.1 | 7.3 | 7.3 |
| Ho | 1.4 | 1.4 | 1.3 | 1.4 | 1.4 | 1.2 | 1.2 | 1.2 |
| Er | 3.7 | 3.7 | 3.8 | 3.7 | 3.8 | 3.8 | 3.6 | 3.6 |
| Tm | 0.6 | 0.6 | 0.5 | 0.5 | 0.6 | 0.5 | 0.5 | 0.5 |
| Yb | 3.8 | 3.6 | 3.6 | 3.5 | 3.5 | 3.5 | 3.3 | 3.3 |
| Lu | 0.5 | 0.5 | 0.5 | 0.5 | 0.5 | 0.5 | 0.5 | 0.5 |
| REE | 461.91 | 474.21 | 471.87 | 468.45 | 488.72 | 472.76 | 472.46 | 461.91 |
| La/Ybn | 29.63 | 32.17 | 32.69 | 33.00 | 34.49 | 33.89 | 35.67 | 35.03 |
| La/Smn | 6.40 | 6.62 | 6.88 | 6.64 | 6.82 | 6.70 | 6.80 | 6.76 |
| La/Y | 2.39 | 2.36 | 2.50 | 2.48 | 2.47 | 2.48 | 2.47 | 2.52 |
| La/Ta | 25.59 | 26.93 | 28.71 | 27.50 | 29.44 | 29.65 | 28.02 | 29.64 |
| Gd/Ybn | 3 | 3.44 | 3.47 | 3.49 | 3.43 | 3.43 | 3.61 | 3.39 |
| Sr/Eu | 288 | 327.22 | 314.21 | 300.50 | 322.63 | 326.11 | 298.50 | 307.37 |
| Eu/Sm | 0.11 | 0.10 | 0.11 | 0.11 | 0.11 | 0.10 | 0.12 | 0.11 |
| Y/Ho | 33.64 | 35.07 | 36.15 | 33.29 | 34.93 | 39.92 | 39.67 | 38.25 |
| LREE | 431.61 | 443.41 | 440.57 | 437.45 | 458.12 | 442.66 | 442.76 | 437.56 |
| HREE | 30.3 | 30.8 | 31.3 | 31 | 30.6 | 30.1 | 29.7 | 29.1 |
| LREE/HREE | 14.24 | 14.40 | 14.08 | 14.11 | 14.97 | 14.71 | 14.91 | 15.04 |
| Ce/Ce* | 0.68 | 0.69 | 0.68 | 0.7 | 0.69 | 0.67 | 0.67 | 0.68 |
| Eu/Eu** | 0.7 | 0.6 | 0.6 | 0.6 | 0.6 | 0.6 | 0.7 | 0.6 |
| Zr/Hf | 33.91 | 34.84 | 33.20 | 34.41 | 36.38 | 36.32 | 35.98 | 34.29 |
| Nb/Ta | 20.64 | 21.08 | 22.11 | 20.76 | 21.56 | 21.76 | 21.21 | 22.19 |
| U/Th | 88.35 | 96.46 | 99.13 | 96.46 | 103.42 | 103.97 | 99.70 | 99.76 |
| Ba/Sr | 0.14 | 0.14 | 0.14 | 0.15 | 0.14 | 0.15 | 0.14 | 0.15 |
| Ba/Rb | 0.40 | 0.42 | 0.42 | 0.44 | 0.41 | 0.42 | 0.40 | 0.41 |
| Rb/Sr | 0.35 | 0.34 | 0.34 | 0.34 | 0.35 | 0.35 | 0.35 | 0.35 |
| t3 | 0.97 | 0.91 | 0.98 | 0.96 | 0.94 | 1 | 0.99 | 1.05 |
| t4 | 1.12 | 1.09 | 0.99 | 0.98 | 1.07 | 0.97 | 0.96 | 0.96 |
Publisher’s Note: MDPI stays neutral with regard to jurisdictional claims in published maps and institutional affiliations. |
© 2022 by the authors. Licensee MDPI, Basel, Switzerland. This article is an open access article distributed under the terms and conditions of the Creative Commons Attribution (CC BY) license (https://creativecommons.org/licenses/by/4.0/).
Share and Cite
Abed, N.S.; El Feky, M.G.; El-Taher, A.; Massoud, E.E.S.; Khattab, M.R.; Alqahtani, M.S.; Yousef, E.S.; Hanfi, M.Y. Geochemical Conditions and Factors Controlling the Distribution of Major, Trace, and Rare Elements in Sul Hamed Granitic Rocks, Southeastern Desert, Egypt. Minerals 2022, 12, 1245. https://doi.org/10.3390/min12101245
Abed NS, El Feky MG, El-Taher A, Massoud EES, Khattab MR, Alqahtani MS, Yousef ES, Hanfi MY. Geochemical Conditions and Factors Controlling the Distribution of Major, Trace, and Rare Elements in Sul Hamed Granitic Rocks, Southeastern Desert, Egypt. Minerals. 2022; 12(10):1245. https://doi.org/10.3390/min12101245
Chicago/Turabian StyleAbed, Neveen S., Mohamed G. El Feky, Atef El-Taher, Ehab El Sayed Massoud, Mahmoud R. Khattab, Mohammed S. Alqahtani, El Sayed Yousef, and Mohamed Y. Hanfi. 2022. "Geochemical Conditions and Factors Controlling the Distribution of Major, Trace, and Rare Elements in Sul Hamed Granitic Rocks, Southeastern Desert, Egypt" Minerals 12, no. 10: 1245. https://doi.org/10.3390/min12101245
APA StyleAbed, N. S., El Feky, M. G., El-Taher, A., Massoud, E. E. S., Khattab, M. R., Alqahtani, M. S., Yousef, E. S., & Hanfi, M. Y. (2022). Geochemical Conditions and Factors Controlling the Distribution of Major, Trace, and Rare Elements in Sul Hamed Granitic Rocks, Southeastern Desert, Egypt. Minerals, 12(10), 1245. https://doi.org/10.3390/min12101245

