Progressive Low-Grade Metamorphism Reconstructed from the Raman Spectroscopy of Carbonaceous Material and an EBSD Analysis of Quartz in the Sanbagawa Metamorphic Event, Central Japan
Abstract
1. Introduction
2. Geological Outline
3. Analytical Methods
4. Results
4.1. Metamorphic Temperatures from the RSCM
4.2. Diameter and Orientation of the Quartz in Siliceous Rocks
5. Discussion
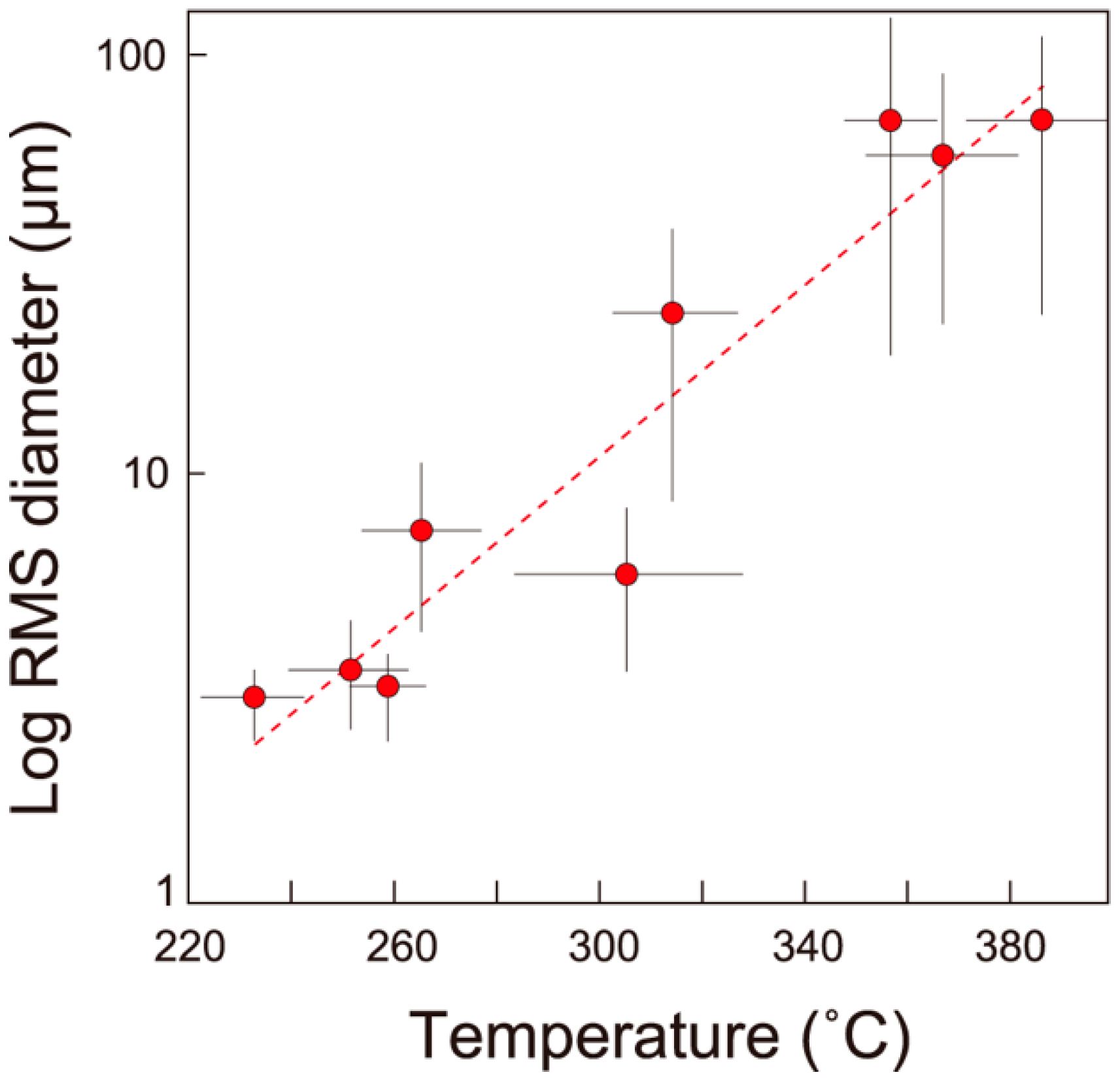
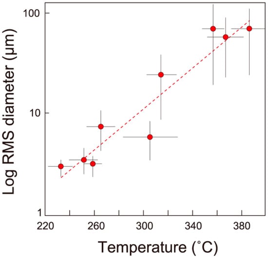
5.1. Relationship between the Quartz Diameter, Opening Angle of the c-Axis Fabric, and Temperature
5.2. Low-Grade Sanbagawa Metamorphism
6. Conclusions
- The RSCM results indicate metamorphic temperatures of 358 °C and 368 °C for the chlorite zone and 387 °C for the garnet zone of the Sanbagawa metamorphic complex, 315 °C for the Mikabu greenstones, and 234 °C to 266 °C for the Chichibu accretionary complex.
- From the EBSD analyses, the diameters of the quartz grains calculated from the RMS range from 55.9–69.0 μm for the Sanbagawa metamorphic complex, 9.5–23.5 μm for the Mikabu greenstones, and 2.9–7.3 μm for the Chichibu accretionary complex. In addition, the c-axis patterns of the quartz grains evolved from random to weak crossed girdle patterns from the Chichibu accretionary complex to the Sanbagawa metamorphic complex. The OA of the c-axis fabric approximate 40–50°, presenting a temperature range of 324–393 °C for the Sanbagawa metamorphic complex and the Mikabu greenstones.
- The increase in estimated metamorphic temperatures and exponential increase in the quartz diameter from the Chichibu accretionary complex to the Mikabu greenstones and the Sanbagawa metamorphic complex, without any apparent gap, records progressive low-grade metamorphism associated with the Sanbagawa metamorphic event.
- Integrated analyses of multiple rock types including basalts, pelitic rocks, and siliceous rocks provided valuable information on progressive low-grade metamorphism and a similar approach may be applied to study other metamorphic complexes.
Author Contributions
Funding
Data Availability Statement
Acknowledgments
Conflicts of Interest
References
- Taira, A.; Ohara, Y.; Wallis, S.R.; Ishiwatari, A.; Iryu, Y. Geological evolution of Japan: An overview. In The Geology of Japan; Moreno, T., Wallis, S., Kojima, S., Gibbon, W., Eds.; Geological Society of London: London, UK, 2016; pp. 1–24. [Google Scholar]
- Wallis, S.R.; Okudaira, T. Paired metamorphic belts of SW Japan: Sanbagawa and Ryoke metamorphic belts and the Median Tectonic Line. In The Geology of Japan; Moreno, T., Wallis, S., Kojima, S., Gibbon, W., Eds.; Geological Society of London: London, UK, 2016; pp. 101–124. [Google Scholar]
- Toriumi, M. Petrological Study of Sambagawa Metamorphic Rocks, the Kanto Mountains, central Japan. In The University Museum, the University of Tokyo, Bulletin; University of Tokyo Press: Tokyo, Japan, 1975; p. 99. [Google Scholar]
- Makimoto, H.; Takeuchi, K. Geology of the Yorii District. In Quadrangle Series, 1:50,000, Geological Survey of Japan; Soubun Printing Co., Ltd.: Tokyo, Japan, 1992; p. 136, (in Japanese with English abstract). [Google Scholar]
- Frey, M.; Robinson, D. Low-Grade Metamorphism; Blackwell Science: Oxford, UK, 1999; ISBN 0-632-04756-9. [Google Scholar]
- Beyssac, O.; Goffé, B.; Chopin, C.; Rouzaud, J.N. Raman spectra of carbonaceous material from metasediments: A new geothermometer. J. Metamorph. Geol. 2002, 20, 859–871. [Google Scholar] [CrossRef]
- Rahl, J.M.; Anderson, K.M.; Brandon, M.T.; Fassoulas, C. Raman spectroscopic carbonaceous material thermometry of low-grade metamorphic rocks: Calibration and application to tectonic exhumation in Crete, Greece. Earth Planet. Sci. Lett. 2005, 240, 339–354. [Google Scholar] [CrossRef]
- Kouketsu, Y.; Mizukami, T.; Mori, H.; Endo, S.; Aoya, M.; Hara, H.; Nakamura, D.; Wallis, S. A new approach to develop the Raman carbonaceous material geothermometer for low-grade metamorphism using peak width. Island Arc 2014, 23, 33–50. [Google Scholar] [CrossRef]
- Henry, D.G.; Jarvis, I.; Gilmore, G.; Stephenson, M. Raman spectroscopy as a tool to determine the thermal maturity of organic matter: Application to sedimentary, metamorphic and structural geology. Earth-Sci. Rev. 2019, 198, 102936. [Google Scholar] [CrossRef]
- Croce, A.; Pigazzi, E.; Fumagalli, P.; Rinaudo, C.; Zucali, M. Evaluation deformation temperature in carbonate mylonites at low temperature thrust-tectonic setting via micro-Raman spectroscopy. Minerals 2020, 10, 1068. [Google Scholar] [CrossRef]
- Endo, S.; Wallis, S.R. Structural architecture and low-grade metamorphism of the Mikabu-Northern Chichibu accretionary wedge, SW Japan. J. Metamorph. Geol. 2017, 35, 695–716. [Google Scholar] [CrossRef]
- Mori, H.; Tomooka, Y.; Tokiwa, T.; Kouketsu, Y. Metamorphic thermal structure of the Outer zone of Southwest Japan in the Koshibu-gawa section, Nagano Prefecture, central Japan. J. Geogr. (Chigaku Zasshi) 2021, 130, 85–98, (in Japanese with English abstract). [Google Scholar] [CrossRef]
- Tominaga, K.; Hara, H. Paleogeography of Late Jurassic large-igneous-province activity in the Paleo-Pacific Ocean: Constraints from the Mikabu greenstones and Chichibu accretionary complex, Kanto Mountains, Central Japan. Gond. Res. 2021, 89, 177–192. [Google Scholar] [CrossRef]
- Faleiros, F.M.; Moraes, R.; Pavan, M.; Campanha, G.A.C. A new empirical calibration of the quartz c-axis fabric opening-angle deformation thermometer. Tectonophysics 2016, 671, 173–182. [Google Scholar] [CrossRef]
- Cross, A.J.; Prior, D.J.; Stipp, M.; Kidder, S. The recrystallized grain size piezometer for quartz: An EBSD-based calibration. Geophys. Res. Lett. 2017, 44, 6667–6674. [Google Scholar] [CrossRef]
- Xia, H.; Platt, J.P. Quartz grainsize evolution during dynamic recrystallization across a natural shear zone boundary. J. Struct. Geol. 2018, 109, 120–126. [Google Scholar] [CrossRef]
- Seki, Y. Pumpellyite in low-grade metamorphism. J. Petrol. 1961, 2, 407–423. [Google Scholar] [CrossRef]
- Hirajima, T.; Isono, T.; Itaya, T. K–Ar age and chemistry of white mica in the Sanbagawa metamorphic rocks in the Kanto Mountains, central Japan. J. Geol. Soc. Jpn. 1992, 98, 445–455, (in Japanese with English abstract). [Google Scholar] [CrossRef]
- Miyashita, A.; Itaya, T. K–Ar age and chemistry of phengite from the Sanbagawa schists in the Kanto Mountains, central Japan, and their implication for exhumation tectonics. Gond. Res. 2002, 5, 837–848. [Google Scholar] [CrossRef]
- Tsutsumi, Y.; Miyashita, A.; Terada, K.; Hidaka, H. SHRIMP U–Pb dating of detrital zircons from the Sanbagawa Belt, Kanto Mountains, Japan: Need to revise the framework of the belt. J. Mineral. Petrol. Sci. 2009, 104, 12–24. [Google Scholar] [CrossRef]
- Tominaga, K.; Hara, H.; Tokiwa, T. Zircon U–Pb ages of Kashiwagi Unit of the accretionary complex in the Northern Chichibu Belt, Kanto Mountains, central Japan. Bull. Geol. Surv. Jpn. 2019, 70, 299–314, (in Japanese with English abstract). [Google Scholar] [CrossRef]
- Tokuda, M. Study on the geological structure of the Sambagawa-Chichibu belts in the Kanto Mountains. Geol. Rep. Hiroshima Univ. 1986, 26, 195–260, (in Japanese with English abstract). [Google Scholar]
- Matsuoka, K. Late Jurassic radiolarians from the clastic rock beds of the Mikabu Unit in Tokigawa Town, Saitama Prefecture, Central Japan. Bull. Saitama Mus. Nat. Hist. 2008, 2, 31–36, (in Japanese with English abstract). [Google Scholar]
- Matsuoka, A.; Yamakita, S.; Sakakibara, M.; Hisada, K. Unit division for the Chichibu Composite Belt from a view point of accretionary tectonics and geology of western Shikoku, Japan. J. Geol. Soc. Japan 1998, 104, 634–653, (in Japanese with English abstract). [Google Scholar] [CrossRef]
- Sashida, K. Northern and Middle Chichibu Belts of the eastern part of the Kanto Mountains, central Japan. J. Geogr. (Chigaku Zasshi) 1992, 101, 573–593, (in Japanese with English abstract). [Google Scholar] [CrossRef][Green Version]
- Matsuoka, K. Early Cretaceous radiolarians from the northern part of the Chichibu Belt in the northeastern part of the Kanto Mountains, central Japan. Earth Sci. (Chikyu Kagaku) 2007, 61, 421–424, (in Japanese with English abstract). [Google Scholar]
- Matsuoka, K. Late Jurassic radiolarians form chert-siliceous rock unit of the Northern Chichibu Belt in Ogawa Town, Saitama Prefecture, central Japan. Bull. Saitama Mus. Nat. Hist. 2009, 3, 49–54, (in Japanese with English abstract). [Google Scholar]
- Toriumi, M. Metamorphism of the southern Kanto Mountains: Its pressure conditions. In The Sambagawa Belt; In Japanese; Hide, K., Ed.; Hiroshima University Press: Hiroshima, Japan, 1977; pp. 217–221. [Google Scholar]
- Tuinstra, F.; Koenig, J.L. Raman spectrum of graphite. J. Chem. Phys. 1970, 53, 1126–1130. [Google Scholar] [CrossRef]
- Nemanich, R.J.; Solin, S.A. First- and second-order Raman scattering from finite-size crystals of graphite. Phys. Rev. B 1979, 20, 392–401. [Google Scholar] [CrossRef]
- Sadezky, A.; Muckenhuberm, H.; Grothe, H.; Niessner, R.; Pöschl, U. Raman microspectroscopy of soot and related carbonaceous materials: Spectral analysis and structural information. Carbon 2005, 43, 1731–1742. [Google Scholar] [CrossRef]
- Mori, H.; Mori, N.; Wallis, S.; Westaway, R.; Annen, C. The importance of heating duration for Raman CM thermometry: Evidence from contact metamorphism around the Great Whin Sill intrusion, UK. J. Metamorph. Geol. 2017, 35, 165–180. [Google Scholar] [CrossRef]
- Aoya, M.; Kouketsu, Y.; Endo, S.; Shimizu, H.; Mizukami, T.; Nakamura, D.; Wallis, S. Extending the applicability of the Raman carbonaceous-material geothermometer using data from contact metamorphic rocks. J. Metamorph. Geol. 2010, 28, 895–914. [Google Scholar] [CrossRef]
- Yui, T.F.; Huang, E.; Xu, J. Raman spectrum of carbonaceous material: A possible metamorphic grade indicator for low-grade metamorphic rocks. J. Metamorph. Geol. 1996, 14, 115–124. [Google Scholar] [CrossRef]
- Lahfid, A.; Beyssac, O.; Deville, E.; Negro, F.; Chopin, C.; Goffé, B. Evolution of the Raman spectrum of carbonaceous material in low-grade metasediments of the Glarus Alps (Switzerland). Terra Nova 2010, 22, 354–360. [Google Scholar] [CrossRef]
- Stipp, M.; Tullis, J. The recrystallized grain size piezometer for quartz. Geophys. Res. Lett. 2003, 30, 2088. [Google Scholar] [CrossRef]
- Stipp, M.; Stünitz, H.; Heibronner, R.; Scmid, S.M. The eastern Tonale fault zone: A ‘natural laboratory’ for crystal plastic deformation of quartz over a temperature range from 250 to 700 °C. J. Struct. Geol. 2002, 24, 1861–1884. [Google Scholar] [CrossRef]
- Law, R.D. Deformation thermometry based on quartz c-axis fabrics and recrystallization microstructures: A review. J. Struct. Geol. 2014, 66, 129–161. [Google Scholar] [CrossRef]
- Piazolo, S.; Bons, P.D.; Jessell, M.W.; Evans, L.; Passchier, C.W. Dominance of microstructural process and their effect on microstructural development: Insights from numerical modelling of dynamic recrystallization. In Deformation Mechanisms, Rheology and Tectonics: Current Status and Future Perspectives; Geological Society of London, Special Publications; De Meer, S., Drury, M.R., De Bresser, J.H.P., Pennock, G.N., Eds.; Geological Society of London: London, UK, 2002; Volume 200, pp. 149–170. [Google Scholar]
- Kimura, G.; Sakakibara, M.; Okamura, M. Plumes in central Panthalassa? Deductions from accreted oceanic fragments in Japan. Tectonics 1994, 13, 905–916. [Google Scholar] [CrossRef]
- Sawada, H.; Isozaki, Y.; Aoki, S.; Sakata, S.; Sawaki, Y.; Hasegawa, R.; Nakamura, Y. The Late Jurassic magmatic protoliths of the Mikabu greenstones in SW Japan: A fragment of an oceanic plateau in the Paleo-Pacific Ocean. J. Asian Earth Sci. 2019, 169, 228–236. [Google Scholar] [CrossRef]
- Aoki, K.; Maruyama, S.; Isozaki, Y.; Otoh, S.; Yanai, S. Recognition of the Shimanto HP metamorphic belt within the traditional Sanbagawa HP metamorphic belt: New perspectives of the Cretaceous–Paleogene tectonics in Japan. J. Asian. East. Sci. 2011, 42, 355–369. [Google Scholar] [CrossRef]
- Endo, S.; Miyazaki, K.; Danhara, T.; Iwano, H.; Hirata, T. Progressive changes in lithological association of the Sanbagawa metamorphic complex, southwest Japan: Relict clinopyroxene and detrital zircon perspectives. Island Arc 2018, 27, e11261. [Google Scholar] [CrossRef]
- Nagata, M.; Miyazaki, K.; Iwano, H.; Danhara, T.; Obayashi, H.; Hirata, T.; Kouchi, Y.; Yamamoto, K.; Otoh, S. Timescale of material circulation in subduction zone: U–Pb zircon and K–Ar phengite double-dating of the Sanbagawa metamorphic complex the Ikeda district, central Shikoku, southwest Japan. Island Arc 2019, 28, e12306. [Google Scholar] [CrossRef]
- Shimura, Y.; Tokiwa, T.; Mori, H.; Takeuchi, M.; Kouketsu, Y. Deformation characteristics and peak temperatures of the Sanbagawa Metamorphic and Shimanto Accretionary complexes on the central Kii Peninsula, SW Japan. J. Asian Earth Sci. 2021, 104791. [Google Scholar] [CrossRef]
- Jäger, E. Introduction to geochronology. In Lectures in Isotope Geology; Jägaer, E., Hunziker, J.C., Eds.; Springer: Berlin/Heidelberg, Germany, 1979; pp. 1–12. [Google Scholar]










| Sample | Tectonic Unit | Geological Unit | N | D1-FWHM | R2 | D4/D1 Intensity Ratio | Temperature (°C) | Equation | ||||
|---|---|---|---|---|---|---|---|---|---|---|---|---|
| Mean | STDEV | Mean | STDEV | Mean | STDEV | Mean | STDEV | |||||
| KR16 | Sanbagawa MC | Garnet zone | 36 | 39.0 | 2.0 | 0.55 | 0.04 | n.d. | n.d. | 387 | 15 | TR2 |
| KR15 | Sanbagawa MC | Chlorite zone | 31 | 45.4 | 4.2 | 0.60 | 0.04 | n.d. | n.d. | 368 | 15 | TR2 |
| KR13 | Sanbagawa MC | Chlorite zone | 30 | 55.6 | 4.0 | 0.65 | 0.01 | 0.04 | 0.01 | 358 | 9 | TD1 |
| KR11 | Mikabu GS | Lower Unit | 33 | 75.9 | 6.0 | 0.68 | 0.02 | 0.10 | 0.03 | 315 | 13 | TD1 |
| KWC13 * | Chichibu AC | Kashiwagi Unit | 28 | 80.0 | 10.8 | 0.62 | 0.04 | 0.13 | 0.05 | 306 | 23 | TD1 |
| KR02 | Chichibu AC | Kashiwagi Unit | 30 | 98.5 | 5.3 | 0.64 | 0.02 | 0.23 | 0.03 | 266 | 11 | TD1 |
| KR03 | Chichibu AC | Kashiwagi Unit | 30 | 105.0 | 5.9 | 0.64 | 0.02 | 0.24 | 0.04 | 252 | 13 | TD1 |
| KR04 | Chichibu AC | Kashiwagi Unit | 30 | 97.8 | 6.6 | 0.63 | 0.02 | 0.26 | 0.05 | 268 | 14 | TD1 |
| KWC15 * | Chichibu AC | Kamiyoshida Unit | 27 | 103.5 | 3.9 | 0.63 | 0.01 | 0.22 | 0.02 | 255 | 8 | TD1 |
| KR05 | Chichibu AC | Kamiyoshida Unit | 30 | 102.0 | 5.4 | 0.63 | 0.02 | 0.31 | 0.05 | 259 | 12 | TD1 |
| KR06 | Chichibu AC | Kamiyoshida Unit | 32 | 101.2 | 4.6 | 0.62 | 0.01 | 0.35 | 0.05 | 260 | 10 | TD1 |
| KR07 | Chichibu AC | Sumaizuku Unit | 30 | 100.3 | 7.6 | 0.62 | 0.01 | 0.38 | 0.04 | 262 | 16 | TD1 |
| KR08 | Chichibu AC | Sumaizuku Unit | 34 | 113.6 | 5.8 | 0.62 | 0.02 | 0.42 | 0.07 | 234 | 12 | TD1 |
| KWC16 * | Chichibu AC | Sumaizuku Unit | 29 | 115.0 | 6.8 | 0.60 | 0.02 | 0.37 | 0.04 | 231 | 15 | TD1 |
| Sample | Tectonic Unit | Geological Unit | Median Diameter (μm) | RMS Diameter (μm) | Median of Aspect Ratio | Temp_S (°C) | STDEV | Sample_P | Temp_P (°C) | STDEV |
|---|---|---|---|---|---|---|---|---|---|---|
| KWC26 | Sanbagawa MC | Garnet zone | 33.0 | 60.1 | 1.7 | - | - | - | - | - |
| KWC27 | Sanbagawa MC | Garnet zone | 39.5 | 67.0 | 1.7 | - | - | KR16 | 387 | 15 |
| KWC25 | Sanbagawa MC | Chlorite zone | 38.7 | 55.9 | 1.6 | - | - | KR15 | 368 | 15 |
| KWC24 | Sanbagawa MC | Chlorite zone | 27.7 | 69.0 | 1.7 | - | - | KR13 | 358 | 9 |
| KWC06 | Mikabu GS | Lower Unit | 13.4 | 23.5 | 1.6 | - | - | KR11 | 315 | 13 |
| KWC14 | Mikabu GS | Upper Unit | 5.2 | 9.5 | 1.6 | - | - | - | - | - |
| KWC04 | Mikabu GS | Upper Unit | 7.2 | 12.1 | 1.7 | - | - | - | - | - |
| KWC02 | Mikabu GS | Upper Unit | 7.8 | 12.9 | 1.6 | - | - | - | - | - |
| KWC03 | Mikabu GS | Upper Unit | 5.2 | 11.2 | 1.6 | - | - | - | - | - |
| KWC13 | Chichibu AC | Kashiwagi Unit | 4.8 | 5.9 | 1.5 | 306 | 23 | - | - | - |
| KWC01 | Chichibu AC | Kashiwagi Unit | 4.7 | 5.4 | 1.6 | - | - | - | - | - |
| KWC05 | Chichibu AC | Kashiwagi Unit | 7.3 | 9.1 | 1.6 | - | - | - | - | - |
| KWC12 | Chichibu AC | Kashiwagi Unit | 6.1 | 7.4 | 1.6 | - | - | KR02 | 266 | 11 |
| KWC09 | Chichibu AC | Kashiwagi Unit | 5.8 | 7.3 | 1.5 | - | - | - | - | - |
| KWC11 | Chichibu AC | Kashiwagi Unit | 5.5 | 6.6 | 1.5 | - | - | - | - | - |
| KWC10 | Chichibu AC | Kashiwagi Unit | 3.2 | 3.5 | 1.7 | - | - | KR03 | 252 | 13 |
| KWC07 | Chichibu AC | Kamiyoshida Unit | 3.9 | 4.6 | 1.6 | - | - | - | - | - |
| KWC15 | Chichibu AC | Kamiyoshida Unit | 2.8 | 3.0 | 1.7 | 255 | 8 | KR06 | 260 | 10 |
| KWC16 | Chichibu AC | Sumaizuku Unit | 2.8 | 2.9 | 1.7 | 231 | 15 | KR08 | 234 | 12 |
Publisher’s Note: MDPI stays neutral with regard to jurisdictional claims in published maps and institutional affiliations. |
© 2021 by the authors. Licensee MDPI, Basel, Switzerland. This article is an open access article distributed under the terms and conditions of the Creative Commons Attribution (CC BY) license (https://creativecommons.org/licenses/by/4.0/).
Share and Cite
Hara, H.; Mori, H.; Tominaga, K.; Nobe, Y. Progressive Low-Grade Metamorphism Reconstructed from the Raman Spectroscopy of Carbonaceous Material and an EBSD Analysis of Quartz in the Sanbagawa Metamorphic Event, Central Japan. Minerals 2021, 11, 854. https://doi.org/10.3390/min11080854
Hara H, Mori H, Tominaga K, Nobe Y. Progressive Low-Grade Metamorphism Reconstructed from the Raman Spectroscopy of Carbonaceous Material and an EBSD Analysis of Quartz in the Sanbagawa Metamorphic Event, Central Japan. Minerals. 2021; 11(8):854. https://doi.org/10.3390/min11080854
Chicago/Turabian StyleHara, Hidetoshi, Hiroshi Mori, Kohei Tominaga, and Yuki Nobe. 2021. "Progressive Low-Grade Metamorphism Reconstructed from the Raman Spectroscopy of Carbonaceous Material and an EBSD Analysis of Quartz in the Sanbagawa Metamorphic Event, Central Japan" Minerals 11, no. 8: 854. https://doi.org/10.3390/min11080854
APA StyleHara, H., Mori, H., Tominaga, K., & Nobe, Y. (2021). Progressive Low-Grade Metamorphism Reconstructed from the Raman Spectroscopy of Carbonaceous Material and an EBSD Analysis of Quartz in the Sanbagawa Metamorphic Event, Central Japan. Minerals, 11(8), 854. https://doi.org/10.3390/min11080854

