Ultrahigh-Temperature Sphalerite from Zn-Cd-Se-Rich Combustion Metamorphic Marbles, Daba Complex, Central Jordan: Paragenesis, Chemistry, and Structure
Abstract
1. Introduction
2. Geological Background
3. Materials and Methods
4. Results
4.1. Sedimentary Protoliths and Their TE Hosts
4.2. Zn-Rich Marbles: Occurrence, Rock Chemistry, and Mineral Assemblages
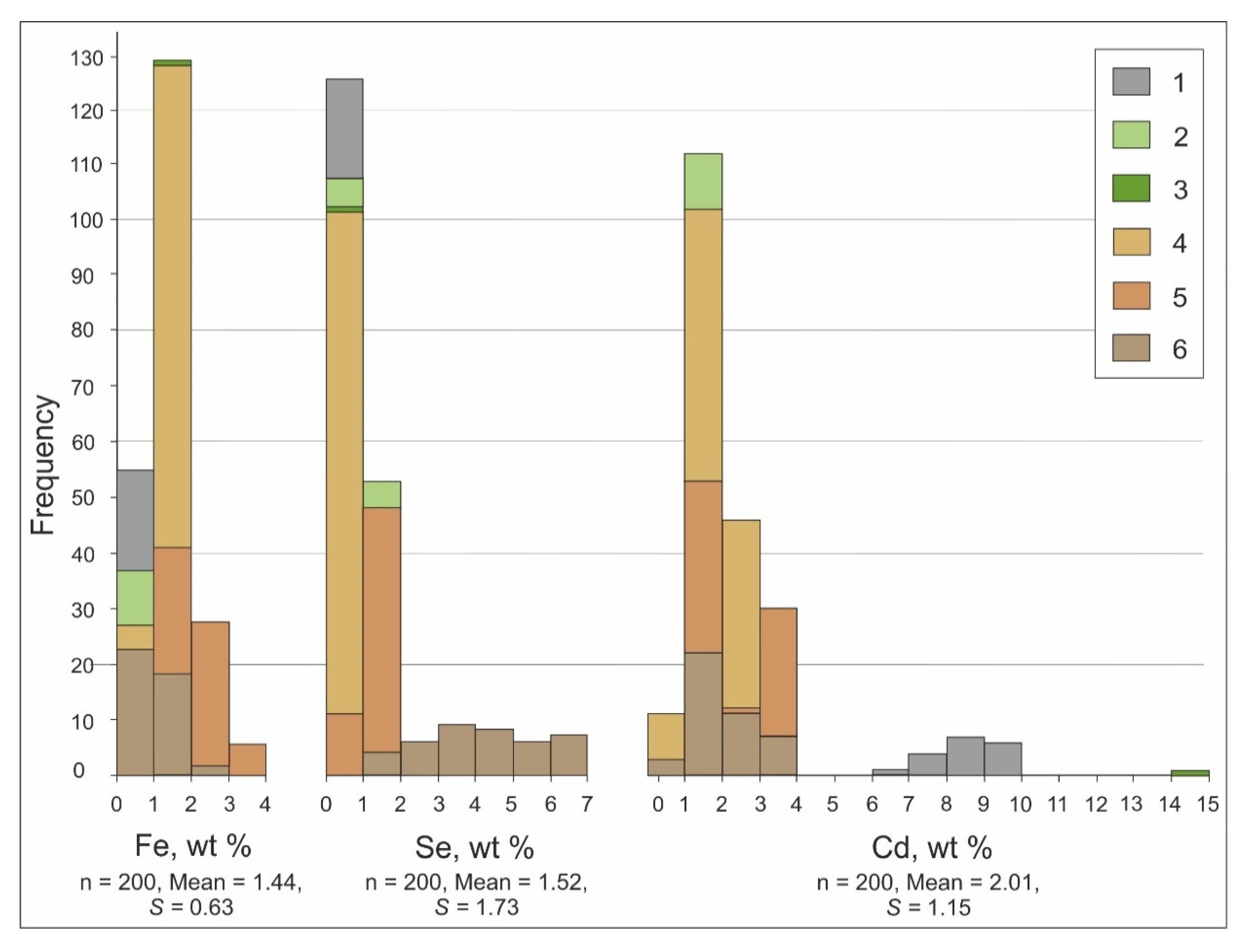
4.3. Combustion Metamorphic Sphalerite: Abundance, Distribution, and Chemistry
4.4. X-Ray Diffraction and Crystal Structure
4.5. Raman Spectroscopy
4.5.1. First-Order Raman Spectrum
4.5.2. Second-Order Raman Spectrum
4.5.3. Resonant Raman Scattering
5. Discussion
5.1. Fractionation of Metals (Fe, Mn, Cd, Hg, In, Ga) and Chalcogenides (Se, Te, As, Sb) in ZnS: a Brief Overview
5.2. CM Marbles: TE Signatures in Sediments and Redox Conditions of Their Annealing
5.3. Trace-Element Patterns of CM Sphalerite
5.4. Crystal Structure and Distribution of Cd, Fe, Se, and O in CM Sphalerite
5.5. Oxygen in ZnS Compounds: Experimental Background and Crystal-Growth Practice
6. Conclusions
Author Contributions
Funding
Acknowledgments
Conflicts of Interest
References
- Cook, N.J.; Ciobanu, C.L.; Pring, A.; Skinner, W.; Shimizu, M.; Danyushevsky, L.; Saini-Eidukat, B. Trace and minor elements in sphalerite: A LA-ICPMS study. Geochim. Cosmochim. Acta 2009, 73, 4761–4791. [Google Scholar] [CrossRef]
- Barton, P.B. Sulfide Petrology; Ribbe, P.H., Ed.; Mineralogical Society of America Reviews in Mineralogy: Sully, VA, USA, 1974; Volume 1, pp. B1–B11. [Google Scholar]
- Brown, J.L.; Christy, A.G.; Ellis, D.J.; Arculus, R.J. Prograde sulfide metamorphism in blueschist and eclogite, New Caledonia. J. Petrol. 2014, 55, 643–670. [Google Scholar] [CrossRef]
- Fleurance, S.; Cuney, M.; Malartre, M.; Reyx, J. Origin of the extreme polymetallic enrichment (Cd, Cr, Mo, Ni, U, V, Zn) of the Late Cretaceous–Early Tertiary Belqa Group, central Jordan. Palaeogeog. Palaeoclim. Palaeoecol. 2013, 369, 201–219. [Google Scholar] [CrossRef]
- Sharygin, V.V.; Lazic, B.; Armbruster, T.M.; Murashko, M.N.; Wirth, R.; Galuskina, I.O.; Galuskin, E.V.; Vapnik, Y.; Britvin, S.N.; Logvinova, A.M. Shulamitite Ca3TiFe3+AlO8—A new perovskite-related mineral from Hatrurim Basin, Israel. Eur. J. Miner. 2013, 25, 97–111. [Google Scholar] [CrossRef]
- Sharygin, V.V. Orthorhombic CaCr2O4 in Phosphide-Bearing Gehlenite-Rankinite Paralava from Hatrurim Basin, Israel. In Proceedings of the Conference Magmatism of the Earth and Related Strategic Metal Deposits, Saint Petersburg, Russia, 23–26 May 2019; pp. 272–276. [Google Scholar]
- Britvin, S.N.; Murashko, M.N.; Vapnik, Y.; Polekhovsky, Y.S.; Krivovichev, S.V. Earth’s phosphides in Levant and insights into the source of Archean prebiotic phosphorus. Sci. Rep. 2015, 5, 8355. [Google Scholar] [CrossRef]
- Britvin, S.N.; Murashko, M.N.; Vereshchagin, O.S.; Vapnik, Y.; Shilovskikh, V.V.; Vlasenko, N.S. Polekhovskyite, IMA 2018-147. CNMNC Newsletter No. 48, April 2019: Page 316. Miner. Mag. 2019, 83, 315–317. [Google Scholar]
- Britvin, S.N.; Murashko, M.; Vapnik, Y.; Polekhovsky, Y.S.; Krivovichev, S.V.; Vereshchagin, O.S.; Shilovskikh, V.V.; Krzhizhanovskaya, M.G. Negevite, the pyrite-type NiP2, a new terrestrial phosphide. Am. Miner. 2020, 105, 422–427. [Google Scholar] [CrossRef]
- Britvin, S.N.; Murashko, M.N.; Vapnik, Y.; Polekhovsky, Y.S.; Krivovichev, S.V.; Krzhizhanovskaya, M.O.; Vereshchagin, O.S.; Shilovskikh, V.V.; Vlasenko, N.S. Transjordanite, Ni2P, a new terrestrial and meteoritic phosphide, and natural solid solutions barringerite-transjordanite (hexagonal Fe2P–Ni2P). Am. Miner. 2020, 105, 428–436. [Google Scholar] [CrossRef]
- Britvin, S.N.; Murashko, M.N.; Vapnik, Y.; Polekhovsky, Y.S.; Krivovichev, S.V.; Vereshchagin, O.S.; Shilovskikh, V.V.; Vlasenko, N.S.; Krzhizhanovskaya, M.G. Halamishite, Ni5P4, a new terrestrial phosphide in the Ni–P system. Phys. Chem. Miner. 2020, 47, 3. [Google Scholar] [CrossRef]
- Galuskina, I.O.; Krüger, B.; Galuskin, E.V.; Krüger, H.; Vapnik, Y.; Murashko, M.; Agakhanov, A.A.; Pauluhn, A.; Olieric, V. Zoharite, IMA 2017-049. CNMNC Newsletter No. 39. Miner. Mag. 2017, 81, 1279–1286. [Google Scholar]
- Galuskina, I.O.; Krüger, B.; Galuskin, E.V.; Krüger, H.; Vapnik, Y.; Banasik, K.; Murashko, M.; Agakhanov, A.A.; Pauluhn, A. Gmalimite, IMA 2019-007. CNMNC Newsletter No. 50. Miner. Mag. 2019, 83, 31. [Google Scholar]
- Sokol, E.V.; Kozmenko, O.A.; Khoury, H.N.; Kokh, S.N.; Novikova, S.A.; Nefedov, A.A.; Sokol, I.A.; Zaikin, P. Calcareous sediments of the Muwaqqar Chalk Marl Formation, Jordan: Mineralogical and geochemical evidences for Zn and Cd enrichment. Gondwana Res. 2017, 46, 204–226. [Google Scholar] [CrossRef]
- Sokol, E.V.; Kokh, S.N.; Sharygin, V.V.; Danilovsky, V.A.; Seryotkin, Y.V.; Liferovich, R.; Deviatiiarova, A.S.; Nigmatulina, E.N.; Karmanov, N.S. Mineralogical diversity of Ca2SiO4-bearing combustion metamorphic rocks in the Hatrurim Basin: Implications for storage and partitioning of elements in oil shale clinkering. Minerals 2019, 9, 465. [Google Scholar] [CrossRef]
- Danilovsky, V.A.; Deviatiiarova, A.S. Unusual sulfides Fe, K, Ca, Ni, Zn, Ag and selenides Fe, Cu, Ni, Zn, Cd from combustion metamorphic spurrite marbles, the Hatrurim Formation. In Proceedings of the Conference Mineralogical Museum 2019. Mineralogy Yesterday, Today, Tomorrow, Saint Petersburg, Russia, 17–19 September 2019; pp. 110–112. [Google Scholar]
- Techer, I.; Khoury, H.N.; Salameh, E.; Rassineux, F.; Claude, C.; Clauer, N.; Pagel, M.; Lancelot, J.; Hamelin, B.; Jacquot, E. Propagation of high-alkaline fluids in an argillaceous formation: Case study of the Khushaym Matruk natural analogue (Central Jordan). J. Geochem. Explor. 2006, 90, 53–67. [Google Scholar] [CrossRef]
- Khoury, H.; Sokol, E.; Clark, I. Calcium uranium oxides from Central Jordan: Mineral assemblages, chemistry, and alteration products. Can. Miner. 2015, 53, 61–82. [Google Scholar] [CrossRef]
- Khoury, H.N.; Sokol, E.V.; Kokh, S.N.; Seryotkin, Y.V.; Kozmenko, O.A.; Goryainov, S.V.; Clark, I.D. Intermediate members of the lime-monteponite solid solutions (Ca1–xCdxO, x = 0.36–0.55): Discovery in natural occurrence. Am. Miner. 2016, 101, 146–161. [Google Scholar] [CrossRef]
- Khoury, H.N.; Sokol, E.V.; Kokh, S.N.; Seryotkin, Y.V.; Nigmatulina, E.N.; Goryainov, S.V.; Belogub, E.V.; Clark, I.D. Tululite, Ca14(Fe3+,Al)(Al,Zn,Fe3+,Si,P,Mn,Mg)15O36: A new Ca zincate-aluminate from combustion metamorphic marbles, Central Jordan. Miner. Petrol. 2016, 110, 125–140. [Google Scholar] [CrossRef]
- Khoury, H.; Kokh, S.N.; Sokol, E.V.; Likhacheva, A.Y.; Seryotkin, Y.V.; Belogub, E.V. Ba- and Sr-mineralization of fossil fish bones from metamorphosed Belqa Group sediments, Central Jordan: An integrated methodology. Arab. J. Geosci. 2016, 9, 461. [Google Scholar] [CrossRef]
- Sokol, E.V.; Kokh, S.N.; Khoury, H.N.; Seryotkin, Y.V.; Goryainov, S.V. Long-term immobilization of Cd2+ at the Tulul al Hammam natural analogue site, Central Jordan. Appl. Geochem. 2016, 70, 43–60. [Google Scholar] [CrossRef]
- Sokol, E.V.; Kokh, S.N.; Khoury, H.N.; Seryotkin, Y.V.; Goryainov, S.V.; Novikova, S.A.; Sokol, I.A. Natural analogue approaches to prediction of long-term behavior of Ca2UO5∙2–3H2O ‘X-Phase’: Case study from Tulul al Hammam site, Jordan. Arab. J. Geosci. 2017, 10, 512. [Google Scholar] [CrossRef]
- Vapnik, Y.; Galuskin, E.V.; Galuskina, I.O.; Kusz, J.; Stasiak, M.; Krzykawski, T.; Dulski, M. Qatranaite, CaZn2(OH)6∙2H2O: A new mineral from altered pyrometamorphic rocks of the Hatrurim Complex, Daba-Siwaqa, Jordan. Eur. J. Miner. 2019, 31, 575–584. [Google Scholar] [CrossRef]
- Hotje, U.; Rose, C.; Binnewies, M. Lattice constants and molar volume in the system ZnS, ZnSe, CdS, CdSe. Solid State Sci. 2003, 5, 1259–1262. [Google Scholar] [CrossRef]
- Locmelis, S.; Brünig, C.; Binnewies, M.; Börger, A.; Becker, K.D.; Homann, T.; Bredow, T. Optical band gap in the system ZnO1–xSx. An experimental and quantum chemical study. J. Mater. Sci. 2007, 42, 1965–1971. [Google Scholar] [CrossRef]
- Fan, X.F.; Shen, Z.X.; Lu, Y.M.; Kuo, J.L. A theoretical study of thermal stability and electronic properties of würtzite and zinc blende ZnOxS1−x. New J. Phys. 2009, 11, 093008. [Google Scholar] [CrossRef]
- Bellouche, A.; Gueddim, A.; Zerroug, S.; Bouarissa, N. Elastic properties and optical spectra of ZnS1−xOx dilute semiconductor alloys. Optik 2016, 127, 11374–11378. [Google Scholar] [CrossRef]
- Zagorac, D.; Zagorac, J.; Schön, J.C.; Stojanović, N.; Matović, B. ZnO/ZnS (hetero) structures: Ab initio investigations of polytypic behavior of mixed ZnO and ZnS compounds. Acta Cryst. B Struct. Sci. Cryst. Eng. Mater. 2018, B74, 628–642. [Google Scholar] [CrossRef]
- Abed, A.M.; Arouri, K.R.; Boreham, C.J. Source rock potential of the phosphorite-bituminous chalk-marl sequence in Jordan. Mar. Pet. Geol. 2005, 22, 413–425. [Google Scholar] [CrossRef]
- Powell, J.H.; Moh’d, B.K. Evolution of Cretaceous to Eocene alluvial and carbonate platform sequences in central and south Jordan. GeoArabia 2011, 16, 29–82. [Google Scholar]
- Khoury, H.; Salameh, E.; Clark, I. Mineralogy and origin of surficial uranium deposits hosted in travertine and calcrete from central Jordan. Appl. Geochem. 2014, 43, 49–65. [Google Scholar] [CrossRef]
- Shatsky, V.; Sitnikova, E.; Kozmenko, O.; Palessky, S.; Nikolaeva, I.; Zayachkovsky, A. Behavior of incompatible elements during ultrahigh-pressure metamorphism (by the example of rocks of the Kokchetav massif). Russ. Geol. Geophys. 2006, 47, 482–496. [Google Scholar] [CrossRef]
- Element, C.A.S. Method 3051A-microwave assisted acid digestion of sediments, sludges, soils, and oils. Z. Anal. Chem. 2007, 111, 362–366. [Google Scholar]
- Carvalho, L.; Monteiro, R.; Figueira, P.; Mieiro, C.; Almeida, J.; Pereira, E.; Magalhães, V.; Pinheiro, L.; Vale, C. Vertical distribution of major, minor and trace elements in sediments from mud volcanoes of the Gulf of Cadiz: Evidence of Cd, As and Ba fronts in upper layers. Deep Sea Res. Part I Oceanogr. Res. Pap. 2018, 131, 133–143. [Google Scholar] [CrossRef]
- Shuvaeva, O.V.; Gustaytis, M.A.; Anoshin, G.N. Mercury speciation in environmental solid samples using thermal release technique with atomic absorption detection. Anal. Chim. Acta 2008, 621, 148–154. [Google Scholar] [CrossRef]
- Lavrent’ev, Y.G.; Karmanov, N.S.; Usova, L.V. Electron probe microanalyses of minerals: Microanalyzer or scanning electron microscope? Russ. Geol. Geophys. 2015, 56, 1154–1161. [Google Scholar] [CrossRef]
- Sharygin, V.V.; Yakovlev, G.A.; Wirth, R.; Seryotkin, Y.V.; Sokol, E.V.; Nigmatulina, E.N.; Karmanov, N.S.; Pautov, L.A. Nataliakulikite, Ca4Ti2(Fe3+,Fe2+)(Si,Fe3+,Al)O11, a new perovskite-supergroup mineral from Hatrurim Basin, Negev Desert, Israel. Minerals 2019, 9, 700. [Google Scholar] [CrossRef]
- Sharygin, V.V. Phase CuCrS2 in Iron Meteorite Uakit (IIAB), Buryatia, Russia: Preliminary Data; Votyakov, S., Kiseleva, D., Grokhovsky, V., Shchapova, Y., Eds.; Earth and Environmental Sciences Book Series, Minerals: Structure, Properties, Methods of Investigation; Springer: Berlin/Heidelberg, Germany, 2020; pp. 229–236. [Google Scholar] [CrossRef]
- Goldstein, J.I.; Newbury, D.E.; Echlin, P.; Joy, D.C.; Lyman, C.E.; Lifshin, E.; Sawyer, L.; Michael, J.R. Quantitative X-ray Analysis: The Basics. In Scanning Electron Microscopy and X-ray Microanalysis; Springer: Berlin/Heidelberg, Germany, 2003; pp. 391–451. [Google Scholar]
- Humphries, D.W. The Preparation of Thin Sections of Rocks, Minerals and Ceramics. In Royal Microscopical Society Microscopy Handbooks (Book 24); Oxford University Press: Oxford, UK, 1992. [Google Scholar]
- Artemyev, D.A.; Ankushev, M.N. Trace elements of Cu-(Fe)-sulfide inclusions in bronze age copper slags from South Urals and Kazakhstan: Ore sources and alloying additions. Minerals 2019, 9, 746. [Google Scholar] [CrossRef]
- Longerich, H.P.; Jackson, S.E.; Günther, D. Inter-laboratory note. Laser ablation inductively coupled plasma mass spectrometric transient signal data acquisition and analyte concentration calculation. J. Anal. At. Spectrom. 1996, 11, 899–904. [Google Scholar] [CrossRef]
- Wilson, S.A.; Ridley, W.I.; Koenig, A.E. Development of sulphide calibration standards for the laser ablation inductively-coupled plasma mass spectrometry technique. J. Anal. At. Spectrom. 2002, 17, 406–409. [Google Scholar] [CrossRef]
- Paton, C.; Hellstrom, J.; Paul, B.; Woodhead, J.; Hergt, J. Iolite: Freeware for the visualisation and processing of mass spectrometric data. J. Anal. At. Spectrom. 2011, 26, 2508–2518. [Google Scholar] [CrossRef]
- CrysAlis, C.C.D. CrysAlis RED 171.37.35; Oxford Diffraction Ltd.: Abingdon, UK, 2008. [Google Scholar]
- Model S506 Interactive Peak Fit User’s Manual; Canberra Industries Inc.: Canberra, Australia, 2002.
- Abed, A.M.; Arouri, K.; Amiereh, B.S.; Al-Hawari, Z. Characterization and genesis of some Jordanian oil shales. Dirasat Pure Sci. 2009, 36, 7–17. [Google Scholar]
- Abed, A. Review of uranium in the Jordanian phosphorites: Distribution, genesis and industry. Jordan J. Earth Environ. Sci. 2012, 4, 35–45. [Google Scholar]
- Abed, A.; Sadaqah, R. Enrichment of uranium in the uppermost Al-Hisa Phosphorite Formation, Eshidiyya basin, southern Jordan. J. Afr. Earth Sci. 2013, 77, 31–40. [Google Scholar] [CrossRef]
- März, C.; Wagner, T.S.; Al-Alaween, A.M.; Boorn, S.; Podlaha, O.G.; Kolonic, S.; Poulton, S.W.; Schnetger, B.; Brumsack, H.-J. Repeated enrichment of trace metals and organic carbon on an Eocene high-energy shelf caused by anoxia and reworking. Geology 2016, 44, 1011–1014. [Google Scholar] [CrossRef]
- Hakimi, M.H.; Abdullah, W.H.; Alqudah, M.; Makeen, Y.M.; Mustapha, K.A. Organic geochemical and petrographic characteristics of the oil shales in the Lajjun area, Central Jordan: Origin of organic matter input and preservation conditions. Fuel 2016, 181, 34–45. [Google Scholar] [CrossRef]
- Hamarneh, Y. Oil Shale Resources Development in Jordan; Natural Resources Authority: Amman, Jordan, 1998; p. 98. [Google Scholar]
- Khoury, H. Tripolization of chert in Jordan. Sediment Geol. 1987, 53, 305–310. [Google Scholar] [CrossRef]
- Khoury, H. Mineralogy and petrography of some opaline phase from Jordan. Neues Jahrb. Miner. Abh. 1989, 10, 433–440. [Google Scholar]
- Skinner, B.J. Unit-cell edges of natural and synthetic sphalerites. Am. Miner. 1961, 46, 1399–1411. [Google Scholar]
- Sheldrick, G.M. SHELXT—Integrated space-group and crystal-structure determination. Acta Crystallogr. A Found. Adv. 2015, 71, 3–8. [Google Scholar] [CrossRef]
- Skinner, B.J.; Barton, P.B. The substitution of oxygen for sulfur in würtzite and sphalerite. Am. Miner. 1960, 45, 612–625. [Google Scholar]
- Van Aswegen, J.T.S.; Verleger, H. Röntgenographische untersuchung des systems ZnS-FeS. Naturwiss 1960, 47, 131. [Google Scholar] [CrossRef]
- Barton, P.B.; Toulmin, P. Phase relation involving sphalerite in the Fe-Zn-S system. Econ. Geol. 1966, 61, 815–849. [Google Scholar] [CrossRef]
- Osadchii, E.G.; Gorbaty, Y.E. Raman spectra and unit cell parameters of sphalerite solid solutions (FexZn1-xS). Geochim. Cosmochim. Acta 2010, 74, 568–573. [Google Scholar] [CrossRef]
- Brese, N.E.; O’Keeffe, M. Bond-valence parameters for solids. Acta Crystallogr. B Struct. Sci. 1991, 47, 192–197. [Google Scholar] [CrossRef]
- Serrano, J.; Cantarero, A.; Cardona, M.; Garro, N.; Lauck, R.; Tallman, R.E.; Ritter, T.M.; Weinstein, B.A. Raman scattering in β–ZnS. Phys. Rev. B. 2004, 69, 014301. [Google Scholar] [CrossRef]
- Fairbrother, A.; Izquierdo-Roca, V.; Fontané, X.; Ibáñez, M.; Cabot, A.; Saucedo, E.; Pérez-Rodríguez, A. ZnS grain size effects on near-resonant Raman scattering: Optical non-destructive grain size estimation. CrystEngComm 2014, 16, 4120–4125. [Google Scholar] [CrossRef]
- Wright, K.; Gale, J.D. Interatomic potentials for the simulation of the zinc-blende and würtzite forms of ZnS and CdS: Bulk structure, properties, and phase stability. Phys. Rev. B Condens. Matter. Mater. Phys. 2004, 70, 035211. [Google Scholar] [CrossRef]
- Makovicky, E. Crystal structures of sulfides and other chalcogenides. In Sulfide Mineralogy and Geochemistry; Vaughan, D.J., Ed.; Mineralogical Society of America Reviews in Mineralogy and Geochemistry: Sully, VA, USA, 2006; Volume 61, pp. 7–125. [Google Scholar] [CrossRef]
- Britvin, S.N.; Bogdanova, A.N.; Boldyreva, M.M.; Aksenova, G.Y. Rudashevskyite, the Fe-dominant analogue of sphalerite, a new mineral: Description and crystal structure. Am. Miner. 2008, 93, 902–909. [Google Scholar] [CrossRef]
- Vaughan, D.J. (Ed.) Sulfide Mineralogy and Geochemistry; Mineralogical Society of America Reviews in Mineralogy and Geochemistry: Sully, VA, USA, 2006; Volume 61, p. 714. [Google Scholar]
- Toulmin, P.; Barton, P.B.; Wiggins, L.B. Commentary on the sphaleritegeobarometer. Am. Miner. 1991, 76, 1038–1051. [Google Scholar] [CrossRef]
- Kaneko, S.; Aoki, H.; Kawahara, Y.; Imoto, F.; Matsumoto, K. Solid solutions and phase transformations in the system ZnS-CdS under hydrothermal conditions. J. Electrochem. Soc. 1984, 131, 1445–1446. [Google Scholar] [CrossRef]
- Tomashyk, V.; Feychuk, P.; Scherbak, L. Ternary Alloys Based on II-Vi Semiconductor Compounds, 1st ed.; CRC Press: Boca Raton, FL, USA, 2013; p. 560. [Google Scholar]
- Lin, Y.; El Goresy, A. A comparative study of opaque phases in Qingzhen (EH3) and MacAlpine Hills 88136 (EL3): Representatives of EH and EL parent bodies. Meteorit. Planet. Sci. 2002, 37, 577–599. [Google Scholar] [CrossRef]
- Sokol, E.V.; Deviatiiarova, A.S.; Kokh, S.N.; Reverdatto, V.V.; Artemyev, D.A.; Kolobov, V.Y. Sulfide mineralization hosted by spurrite-mervinite marbles (Kochumdek River, East Siberia). Dokl. Earth Sci. 2019, 489, 1326–1329. [Google Scholar] [CrossRef]
- Chaplygin, I.V.; Mozgova, N.N.; Mokhov, A.V.; Koporulina, E.V.; Bernhardt, H.J.; Bryzgalov, I.A. Minerals of the system ZnS-CdS from fumaroles of the Kudriavy volcano, Iturup Island, Kuriles, Russia. Can. Miner. 2007, 45, 709–722. [Google Scholar] [CrossRef]
- Chaplygin, I.V. Ore Mineralization of High-Temperature Fumaroles of Kudriavy Volcano (Iturup Island, Kurile Islands). Ph.D. Thesis, IGEM RAS, Moscow, Russia, 2009. (In Russian). [Google Scholar]
- Vaughan, D.; Craig, J. Mineral Chemistry of Metal Sulfides; Cambridge University Press: Cambridge, UK, 1986. [Google Scholar]
- Fedorov, V.A.; Ganshin, V.A.; Korkishko, Y.N. Solid-state phase diagram of the zinc sulfide-cadmium sulfide system. Mater. Res. Bull. 1993, 28, 59–66. [Google Scholar] [CrossRef]
- Vasil’ev, V.I. New data on the composition of metacinnabar and Hg-sphalerite with an isomorphous Cd admixture. Russ. Geol. Geophys. 1991, 52, 701–708. [Google Scholar] [CrossRef]
- Grammatikopoulos, T.; Valeyev, O.; Roth, T. Compositional variation in Hg-bearing sphalerite from the polymetallic Eskay Creek deposit, British Columbia, Canada. Chem. Erde 2006, 66, 307–314. [Google Scholar] [CrossRef]
- Orberger, B.; Pasava, J.; Gallien, J.-P.; Daudin, L.; Trocellier, P. Se, As, Mo, Ag, Cd, In, Sb, Pt, Au, Tl, Re traces in biogenic and abiogenic sulfides from Black Shales (Selwyn Basin, Yukon territories, Canada): A nuclear microprobe study. Nucl. Instrum. Methods Phys. Res. 2003, 210, 441–448. [Google Scholar] [CrossRef]
- Pirri, I.V. On the occurrence of selenium in sulfides of the ore deposit of Baccu Locci (Gerrei, SE Sardinia). Neues Jahrb. Mineral. Mon. 2002, 2002, 207–224. [Google Scholar] [CrossRef]
- Ueno, T.; Scott, S.D. Solubility of gallium in sphalerite and würtzite at 800 °C and 900 °C. Can. Miner. 1991, 29, 143–148. [Google Scholar]
- Johan, Z. Indium and germanium in the structure of sphalerite: An example of coupled substitution with copper. Miner. Petrol. 1988, 39, 211–229. [Google Scholar] [CrossRef]
- Ciobanu, C.L.; Cook, N.J.; Pring, A.; Damian, G.; Capraru, N. Another look at nagyágite from the type locality, Săcărîmb, Romania: Replacement, chemical variation and petrogenetic implications. Miner. Petrol. 2008, 93, 273–307. [Google Scholar] [CrossRef]
- Ye, L.; Cook, N.J.; Liu, T.; Ciobanu, C.L.; Gao, W.; Yang, Y. The Niujiaotang Cd-rich zinc deposit, Duyun, Guizhou province, southwest China: Ore genesis and mechanisms of cadmium concentration. Miner. Depos. 2012, 47, 683–700. [Google Scholar] [CrossRef]
- Sokol, E.V.; Volkova, N.I. Combustion metamorphic events resulting from natural coal fires. In GSA Reviews in Engineering Geology XVIII: Geology of Coal Fires: Case Studies from around the World; Stracher, G.B., Ed.; The Geological Society of America: Boulder, CO, USA, 2007; pp. 97–115. [Google Scholar]
- Grapes, R.; Korzhova, S.; Sokol, E.; Seryotkin, Y. Paragenesis of unusual Fe-cordierite (sekaninaite)-bearing paralava and clinker from the Kuznetsk coal basin, Siberia, Russia. Contrib. Miner. Petrol. 2011, 162, 253–273. [Google Scholar] [CrossRef]
- Sokol, E.; Sharygin, V.; Kalugin, V.; Volkova, N.; Nigmatulina, E. Fayalite and kirschsteinite solid solutions in melts from burned spoil-heaps, South Urals, Russia. Eur. J. Miner. 2002, 14, 795–807. [Google Scholar] [CrossRef]
- Marks, M.A.W.; Wenzel, T.; Whitehouse, M.J.; Loose, M.; Zack, T.; Barth, M.; Worgard, L.; Krasz, V.; Eby, G.N.; Stosnach, H.; et al. The volatile inventory (F, Cl, Br, S, C) of magmatic apatite: An integrated analytical approach. Chem. Geol. 2012, 291, 241–255. [Google Scholar] [CrossRef]
- Parat, F.; Dungan, M.A.; Streck, M.J. Anhydrite, pyrrhotite, and sulfur-rich apatite: Tracing the sulfur evolution of an Oligocene andesite (Eagle Mountain, CO, USA). Lithos 2002, 64, 63–75. [Google Scholar] [CrossRef]
- Zateeva, S.N.; Sokol, E.V.; Sharygin, V.V. Specificity of pyrometamorphic minerals of the ellestadite group. Geol. Ore Depos. 2007, 49, 792–805. [Google Scholar] [CrossRef]
- Kokh, S.N.; Sokol, E.V.; Sharygin, V.V. Ellestadite-group minerals in combustion metamorphic rocks. In Coal and Peat Fires: A Global Perspective; Stracher, G.B., Prakash, A., Sokol, E.V., Eds.; Elsevier: Amsterdam, The Netherlands, 2015; Volume 3, Chapter 20; pp. 543–562. [Google Scholar]
- Khoury, H.N. High- and low-temperature mineral phases from the pyrometamorphic rocks, Jordan. Arab. J. Geosci. 2020, 13, 734. [Google Scholar] [CrossRef]
- Galuskin, E.V.; Gfeller, F.; Galuskina, I.O.; Pakhomova, A.; Armbruster, T.; Vapnik, Y.; Wlodyka, R.; Dzierżanowski, P.; Murashko, M. New minerals with a modular structure derived from hatrurite from the pyrometamorphic Hatrurim Complex. Part II. Zadovite, BaCa6[(SiO4)(PO4)](PO4)2F and aradite, BaCa6[(SiO4)(VO4)](VO4)2F, from paralavas of the Hatrurim Basin, Negev Desert, Israel. Miner. Mag. 2015, 79, 1073–1087. [Google Scholar] [CrossRef]
- Sharygin, V.V.; Sokol, E.V.; Vapnik, Y. Minerals of the pseudobinary perovskite–brownmillerite series from combustion metamorphic larnite rocks of the Hatrurim Formation (Israel). Russ. Geol. Geophys. 2008, 49, 709–726. [Google Scholar] [CrossRef]
- Danilovsky, V.A.; Sokol, E.V.; Karmanov, N.S.; Kokh, S.N.; Devyatiyarova, A.S.; Sharygin, V.V.; Nigmatulina, E.N. Ca-Fe high-temperature oxysulfide: First finding in nature. Nat. Sci. 2018, 2, 32–37. (In Russian) [Google Scholar]
- Rosenqvist, T. Phase equilibria in the pyrometallurgy of sulfide ores. Metall. Mater. Trans. B 1978, 9, 337–351. [Google Scholar] [CrossRef]
- Jha, A.; Grieveson, P. Carbothermic reduction of pyrrhotite in the presence of lime for the production of metallic iron. II: Kinetics and mechanism of reduction. Scand. J. Metall. 1992, 21, 50–62. [Google Scholar]
- Jha, A.; Tang, S.; Chrysanthou, A. Phase equilibria in the metal-sulfur-oxygen system and selective reduction of metal oxides and sulfides: Part I. The carbothermic reduction and calcination of complex mineral sulfides. Metall. Mater. Trans. B 1996, 27, 829–840. [Google Scholar] [CrossRef][Green Version]
- Selivanov, E.N.; Chumarev, V.M.; Gulyaeva, R.I.; Mar’evich, V.P.; Vershinin, A.D.; Pankratov, A.A.; Korepanova, E.S. Composition, structure, and thermal expansion of Ca3Fe4S3O6 and CaFeSO. Inorg. Mater. 2004, 40, 845–850. (In Russian) [Google Scholar] [CrossRef]
- Gulyaeva, R.I.; Selivanov, E.N.; Mansurova, A.N. Kinetics of the calcium oxysulfides reduction by carbon monoxide. Defect Diffus. Forum 2009, 283, 539–544. [Google Scholar] [CrossRef]
- Kopylov, N.I.; Lata, V.A.; Toguzov, M.Z. Interactions and Phase States in Molten Sulfide Systems; Gylym: Almaty, Kazakhstan, 2001. [Google Scholar]
- Polat, I.; Aksu, S.; Altunbas, M.; Bacaks, E. Microstructural, optical and magnetic properties of cobalt-doped zinc oxysulfide thin films. Mater. Chem. Phys. 2011, 130, 800–805. [Google Scholar] [CrossRef]
- Cheng, Q.; Wang, D.; Zhou, H. Electrodeposition of Zn(O,S) (zinc oxysulfide) thin films: Exploiting its thermodynamic and kinetic processes with incorporation of tartaric acid. J. Energy Chem. 2017, 27, 913–922. [Google Scholar] [CrossRef]
- Selivanov, E.; Gulyaeva, R. Chemistry and kinetics (TG/DTA-MS) of metals carbothermical reduction in the FeS-Ni3S2-CaO system. In Proceedings of the 13th Israeli-Russian Bi-National Workshop “The Optimization of Composition, Structure and Properties of Metals, Oxides, Composites, Nano- and Amorphous Materials”, Yekaterinburg, Russia, 13–18 September 2014; pp. 204–220. [Google Scholar]
- Schwartz, M.O. Cadmium in zinc deposits: Economic geology of a polluting element. Int. Geol. Rev. 2000, 42, 445–469. [Google Scholar] [CrossRef]
- Achternbosch, M.; Bräutigam, K.-R.; Hartlieb, N.; Kupsch, C.; Richers, U.; Stemmermann, P. Heavy metals in cement and concrete resulting from the co-incineration of wastes in cement kilns with regard to the legitimacy of waste utilization. In Forschungszentrum Karlsruhe in der Helmholtz-Ge-Meinschaft Wissenschaftliche Berichte FZKA 6923; Umwelt Bundes Amt.: Dessau-Roßlau, Germany, 2003; 200p. [Google Scholar]
- Deng, S.; Shi, Y.; Liu, Y.; Zhang, C.; Wang, X.; Cao, Q.; Li, S.; Zhang, F. Emission characteristics of Cd, Pb and Mn from coal combustion: Field study at coal-fired power plants in China. Fuel Process. Technol. 2014, 126, 469–475. [Google Scholar] [CrossRef]
- Cui, W.; Meng, Q.; Feng, Q.; Zhou, L.; Cui, Y.; Li, W. Occurrence and release of cadmium, chromium, and lead from stone coal combustion. Int. J. Coal Sci. Technol. 2019, 6, 586–594. [Google Scholar] [CrossRef]
- Vapnik, Y.; Galuskina, I.; Palchik, V.; Sokol, E.V.; Galuskin, Y.; Lindsley-Griffin, N.; Stracher, G.B. Stone-tool workshops of the Hatrurim Basin, Israel. In Coal Peat Fires: A Glob. Perspect. Case Studies-Coal Fires; Stracher, G.B., Prakash, A., Sokol, E.V., Eds.; Elsevier: Amsterdam, The Netherlands, 2015; Volume 3, pp. 3282–3316. [Google Scholar] [CrossRef]
- Becker, W.; Lutz, H.D. Phase studies in the systems CoS-MnS, CoS-ZnS, and CoS-CdS. Mater. Res. Bull. 1978, 13, 907–911. [Google Scholar] [CrossRef]
- Wu, P.; Kershaw, R.; Dwight, K.; Wold, A. Growth and characterization of nickel-doped ZnS single crystals. Mater. Res. Bull. 1989, 24, 49–53. [Google Scholar] [CrossRef]
- Vapnik, Y.; Sokol, E.; Murashko, M.; Sharygin, V. The enigma of Hatrurim. Mineral. Alm. 2006, 10, 69–77. [Google Scholar]
- Sharygin, V.V.; Vapnik, Y. Ferrites and silicoferrites in magnetite-hematite nodule, Hatrurim Basin, Israel. In Proceedings of the Conference Mineralogical Museum 2019. Mineralogy Yesterday, Today, Tomorrow, Saint Petersburg, Russia, 17–19 September 2019; pp. 190–192. [Google Scholar]
- Britvin, S.N.; Murashko, M.N.; Vapnik, E.; Polekhovsky, Y.S.; Krivovichev, S.V. Barringerite Fe2P from pyrometamorphic rocks of the Hatrurim Formation, Israel. Geol. Ore Depos. 2017, 59, 619–625. [Google Scholar] [CrossRef]
- Britvin, S.N.; Murashko, M.N.; Vapnik, Y.; Polekhovsky, Y.S.; Krivovichev, S.V.; Vereshchagin, O.S.; Vlasenko, N.S.; Shilovskikh, V.V.; Zaitsev, A.N. Zuktamrurite, FeP2, a new mineral, the phosphide analogue of löllingite, FeAs2. Phys. Chem. Miner. 2019, 46, 361–369. [Google Scholar] [CrossRef]
- Britvin, S.N.; Murashko, M.N.; Krzhizhanovskaya, M.G.; Vereshchagin, O.S.; Vapnik, Y.; Shilovskikh, V.V.; Lozhkin, M.S. Nazarovite, IMA 2019-013. CNMNC Newsletter No. 50. Miner. Mag. 2019, 83. [Google Scholar] [CrossRef][Green Version]
- Britvin, S.N.; Vapnik, Y.; Polekhovsky, Y.S.; Krivovichev, S.V.; Krzhizhanovskaya, M.G.; Gorelova, L.A.; Vereshchagin, O.S.; Shilovskikh, V.V.; Zaitsev, A.N. Murashkoite, FeP, a new terrestrial phosphide from pyrometamorphic rocks of the Hatrurim Formation, South Levant. Miner. Petrol. 2019, 113, 237–248. [Google Scholar] [CrossRef]
- Morozova, N.K.; Malov, M.M.; Veselkova, M.M.; Kurbatov, B.A. Oxygen-phase-state changes in ZnS single crystals annealed in vapors of the constituents. Sov. Phys. J. 1975, 18, 672–676. [Google Scholar] [CrossRef]
- Morozova, N.K.; Karetnikov, I.A.; Golub, K.V.; Danilevich, N.D.; Lisitsyn, V.M.; Oleshko, V.I. The effect of oxygen on the ZnS electronic energy-band structure. Semiconductors 2005, 39, 485–492. [Google Scholar] [CrossRef]
- Lepetit, P.; Bente, K.; Doering, T.; Luckhaus, S. Crystal chemistry of Fe-containing sphalerites. Phys. Chem. Miner. 2003, 30, 185–191. [Google Scholar] [CrossRef]
- Wang, Z.; Wang, F.; Wang, L.; Jia, Y.; Sun, Q. First-principles study of negative thermal expansion in zinc oxide. J. Appl. Phys. 2013, 114, 063508. [Google Scholar] [CrossRef]
- Muñoz-Aguirre, N.; Martínez-Pérez, L.; Muñoz-Aguirre, S.; Flores-Herrera, L.A.; Vergara Hernández, E.; Zelaya-Angel, O. Luminescent properties of (004) highly oriented cubic zinc blende ZnO thin films. Materials 2019, 12, 3314. [Google Scholar] [CrossRef] [PubMed]
- He, Y.; Wang, L.; Zhang, L.; Li, M.; Shang, X.; Fang, Y.; Chen, C. Solubility limits and phase structures in epitaxial ZnOS alloy films grown by pulsed laser deposition. J. Alloy Compd. 2012, 534, 81–85. [Google Scholar] [CrossRef]
- Kramchenkov, A.B.; Kurbatov, D.I.; Zaharets, M.I.; Opanasyuk, A.S. Investigation of oxygen content in zinc sulfide thin films using RBS. J. Surf. Investig. X-ray Synchrotron Neutron Tech. 2010, 3, 45–47. (In Russian) [Google Scholar]















| Spurrite-Fluorapatite Marbles | Muwaqqar Fm. ‘Oil Shales’ | |||||||||||
|---|---|---|---|---|---|---|---|---|---|---|---|---|
| Element | DT-20 | DT-26 | DT-25 | TH-11 | TH-74 | TH-52 | TH-79 | TH-72 * | JRD10-12E ** | DOS-1 | OSB | JRD10-14 ** |
| V | 321 | 186 | 1152 | 130 | 52.0 | 235 | 55.0 | 457 | 499 | 357 | 186 | 338 |
| Cr | 422 | 984 | 1880 | 119 | 36.3 | 71.0 | 98.0 | 579 | 266 | 412 | 356 | 452 |
| Mn | 22.9 | 40.0 | 40.7 | 30.0 | 80.0 | 30.0 | 80.0 | 30.0 | na | 19.5 | 32.0 | na |
| Co | 1.65 | na | 2.16 | na | na | na | na | na | 9.68 | 2.44 | 4.10 | 5.12 |
| Ni | 273 | 290 | 684 | 119 | 115 | 103 | 158 | 457 | 335 | 256 | 93.0 | 182 |
| Cu | 164 | 126 | 329 | 28.1 | 18.8 | 25.6 | 36.8 | 220 | 50.0 | 104 | 67.0 | 77.9 |
| Zn | 1519 | 1440 | 1091 | 470 | 333 | 329 | 231 | 1437 | 2321 | 1498 | 632 | 428 |
| Ga | 2.17 | 3.89 | 7.20 | 1.50 | 2.80 | 1.49 | 2.32 | 2.80 | na | 8.78 | 8.60 | na |
| Ge | na | <0.20 | na | <0.20 | 0.35 | 0.34 | 0.60 | 0.22 | na | 0.55 | <0.20 | na |
| As | 24.2 | 30.5 | 34.4 | 11.9 | 81.9 | 23.9 | 14.9 | <6.0 | 145 | 16.0 | 21.1 | 22.0 |
| Se | 38.4 | 181 | 503 | 6.50 | 4.00 | 6.31 | 13.9 | 595 | na | 94.9 | 32.5 | na |
| Sr | 1271 | 1360 | 1349 | 968 | 967 | 1044 | 1565 | 1590 | 462 | 603 | 683 | 692 |
| Y | 41.8 | 33.0 | 46.4 | 25.8 | 13.0 | 8.60 | 8.30 | 26.1 | na | 27.6 | 13.2 | na |
| Zr | 19.3 | 59.0 | 35.3 | 21.2 | 20.7 | 21.2 | 33.6 | 67.0 | na | 34.2 | 52.9 | na |
| Nb | 0.80 | 1.88 | 0.80 | 0.90 | 0.90 | <0.2 | 0.80 | 0.90 | na | 0.73 | 5.70 | na |
| Mo | 9.78 | 31.8 | 70.3 | 12.6 | 3.20 | 5.30 | 1.50 | 6.04 | 803 | 178 | 70.9 | 951 |
| Ag | na | na | 8.10 | 4.60 | 42.6 | <1.9 | 5.40 | 16.9 | na | na | na | na |
| Cd | 60.9 | 39.0 | 41.4 | 28.2 | 75.0 | 25.9 | 3.00 | 697 | 98.2 | 224 | 69.0 | 85.3 |
| Sb | 5.11 | na | 12.5 | <2.7 | <2.7 | 4.40 | 4.20 | 11.2 | 18.74 | na | na | 6.93 |
| Ba | 136 | 171 | 424 | 253 | 212 | 472 | 190 | 134 | 40.5 | 58.1 | 45.0 | 43.1 |
| Hg | 0.007 | 0.003 | 0.003 | na | na | na | na | <0.002 | na | 0.014 | 0.025 | na |
| Pb | 2.00 | 4.50 | 0.22 | 0.80 | 1.40 | 1.60 | 1.20 | 14.5 | 5.53 | 12.0 | 4.90 | 6.94 |
| Th | 0.31 | 0.76 | 0.50 | 4.00 | 2.90 | 4.90 | 6.70 | 7.30 | 1.79 | 1.98 | 4.40 | 2.23 |
| U | 24.0 | 24.0 | 15.1 | 9.10 | 6.20 | 3.90 | 3.90 | 24.0 | 134 | 36.6 | 14.1 | 455 |
| Zn/Cd | 24.9 | 34.8 | 26.4 | 16.7 | 4.4 | 12.7 | 77.0 | 2.06 | 23.6 | 6.7 | 9.2 | 5.0 |
| Mineral | Sphalerite | Würtzite | ||||||
|---|---|---|---|---|---|---|---|---|
| Sample | DOS and OSB (n = 24) | DOS (n = 27) | ||||||
| Mean | S | Min | Max | Mean | S | Min | Max | |
| Zn | 58.20 | 0.26 | 57.80 | 58.51 | 58.01 | 0.99 | 56.26 | 59.18 |
| Cd | 9.12 | 0.24 | 8.84 | 9.45 | 8.63 | 0.76 | 7.63 | 9.96 |
| Fe | 0.27 | 0.25 | <0.10 | 0.50 | 0.33 | 0.21 | <0.10 | 0.70 |
| Cu | <0.15 | – | <0.15 | <0.15 | 0.69 | 0.15 | 0.42 | 0.91 |
| S | 32.08 | 0.06 | 31.99 | 32.15 | 32.04 | 0.16 | 31.82 | 32.33 |
| Total | 99.67 | 99.70 | ||||||
| Rock Type | ‘Oil Shales’ | Spurrite-Fluorapatite Marbles | ||
|---|---|---|---|---|
| Sample | DOS-1 | DOS-1 | DT-20 | DT-25 |
| Mineral | Pyrite | Würtzite | Sphalerite | Sphalerite |
| n | 6 | 5 | 16 | 3 |
| Element | ||||
| V | 1554 | 2.93 | bdl | bdl |
| Mn | 647 | 7.3 | 1565 | 355 |
| Co | 120 | bdl | 124 | 66 |
| Ni | 4990 | 230 | 220 | 265 |
| Cu | 34,340 | 7760 | 11.1 | 26 |
| Ga | bdl | 202 | 0.45 | 7.9 |
| Ge | 2.75 | 381 | bdl | bdl |
| As | 1343 | 2255 | bdl | bdl |
| Se | 6535 | 282 | 4440 | 13,910 |
| Mo | 1332 | 606 | bdl | bdl |
| Ag | 1103 | 645 | 0.42 | 0.53 |
| Cd | 114 | 66,200 | 18,100 | 9240 |
| In | bdl | 0.69 | 4.51 | 2.44 |
| Sb | 41.2 | 2145 | 1.19 | 3.03 |
| Te | bdl | bdl | bdl | bdl |
| Au | 0.3 | bdl | bdl | bdl |
| Hg | bdl | 345 | 132 | 226 |
| Tl | 163 | 5.2 | bdl | bdl |
| Pb | 269 | 604 | bdl | 0.9 |
| Bi | 5.5 | 5.3 | bdl | bdl |
| Sample/Rock Type | Main Phases | Minor Phases | Accessory Phases | Alteration Products |
|---|---|---|---|---|
| DT-20 Spurrite-fluorapatite marble Zn—1430 ppm; Cd—52.7 ppm Zn/Cd = 27.1 | Calcite, * Fluorapatite (SiO2—4.69 wt%; SO3—1.13 wt%) | Spurrite | Sphalerite, Tululite, Zincite, Periclase (Zn-, Cu-, Ni-rich), (Ca,Cd)O, Brownmillerite (Cr, Ti, Zn-rich), Ca ferrite, Fe, Ni, Cu sulfides, Ca-Fe-S-O compounds, Cerianite (Ce,Th)O2, Lime (CaO), Lakargiite (CaZrO3) | CSHs (trace), Chlormayenite, Portlandite ((Ca(OH)2), Si- and F-bearing hydrated CaO-UO3 compounds |
| DT-25 Fluorapatite-spurrite-marble Zn—1134 ppm; Cd—41.4 ppm; Se—503 ppm Zn/Cd = 27.4 | Calcite, Spurrite (Na-, P-bearing), * Fluorapatite (SiO2—4.95 wt%; SO3—1.85 wt%) | Brownmillerite (Ti, Zn, Cr-bearing) | Sphalerite (Na,K,Ba)-Zn sulfide, Ca-Fe-Cu-S-Se-O compounds Ni-Se-S compound (Ni(Se,S)) Ni-S-Se compound (Ni(S,Se)), Greenockite (Cd,Zn)(S,Se), Cadmoselite, CdSe (scare), Naumannite (Ag2Se) (scare), Srebrodolskite (Zn-bearing), Vorlanite (CaUO4) (scare), Nabimusaite, Anhydrite (scare), Fluormayenite-Chlormayenite ss. (scare) | Hydrocalumite, Si-and F-bearing hydrated CaO-UO3 compounds |
| DT-26 Spurrite-fluorapatite marble Zn—1440 ppm; Cd—39 ppm Zn/Cd = 36.9 | Calcite, *Fluorapatite (SiO2—4.30 wt%; SO3—0.49 wt%) | Spurrite | Sphalerite, Na-Zn sulfide ((Na,K,Ba)2Zn4S5), Ni-Se-S-(Zn, Cu) compound, Ca-Fe-Cu-Ni-S-O compounds, Brownmillerite (≤0.45 wt% ZnO) (scare), Bartonite (scare), Ag-Se compound (scare), Rasvumite (KFe2S3) (scare), Ca-Ti ferrite, Vorlanite, Tylleite (scare), Fluormayenite (scare), Lakargiite (scare) | Hydrocalumite, Bulfonteinite (Ca2SiO2 (OH,F)4), CSHs (trace), Portlandite (Ca(OH)2), Cl-bearing hibschite (?) |
| TH-74 Altered marble Zn—333 ppm; Cd—75 ppm Zn/Cd = 4.44 | Calcite | * Fluorapatite (SiO2—5.30 wt%; SO3 < 0.3 wt%), Brownmillerite (Cr, Ti, Zn-bearing) | Sphalerite (Cd-rich), Greenockite (Cd,Zn)(S,Se), Spurrite (scare), Larnite (scare), Srebrodolskite, Fe-Cr-Ca-Ni oxide, Periclase (Zn,Ni-rich), Cassiterite, Vorlanite, Wakefieldite-Ce (Ce,Ca,U)(VO4), Lakargiite, Iodargirite (AgI), Acantite (Ag2S), Chalcopyrite, Oldhamite (CaS), Bromargyrite (AgBr) Embolite (Ag(Br,Cl)) | CSHs, Zeolites, Chlormayenite, Fe hydroxides, Gypsum, Portlandite, Carnotite (K2(UO2)2V2O8∙3(H2O), Tyuyamunite or Metatyuyamunite (Ca(UO2)2V2O8∙5–8H2O), Strelkinite (Na2(UO2)2V2O8∙6H2O), Si-and F-bearing hydrated CaO-UO3 compounds, Plattnerite (?) (PbO2) Crocoite (PbCrO4), Chromatite (CaCrO4) |
| TH-79 Fluorapatite marble Zn—231 ppm; Cd < 3 ppm Zn/Cd > 77 | Calcite, * Fluorapatite (SiO2—6.5 wt%; SO3—4.83 wt%) | Sphalerite, Ca2UO5 (?), Baritocelestine, Srebrodolskite, Bartonite, Murunskite (K2Cu3FeS4), Chalcopyrite, Oldhamite | CSHs, Aragonite, Gypsum, Opal, Portlandite, Chromatite | |
| TH-11 Fluorapatite marble Zn—470 ppm; Cd—28 ppm Zn/Cd = 16.8 | Calcite, * Fluorapatite (SiO2—5.47 wt%; SO3—1.64 wt%) | Sphalerite, Zincite, (Ca,Cd)O, Lakargiite, Bunsenite (NiO), Lime, Baritocelestine, Ag0, Acantite, Iodargirite (AgI), Galena | CSHs, Chlorite (?), Tyuyamunite or Metatyuyamunite, | |
| TH-52 Fluorapatite marble altered Zn—329 ppm; Cd—25.9 ppm Zn/Cd = 12.7 | Calcite * Fluorapatite (SiO2—5.65 wt%; SO3—4.15 wt%) | * Fluorellestadite (SiO2 – 10.24 wt%; SO3—12.69 wt%), Fluorite, Brownmillerite, Larnite (hydrated), Bredigite (?) (hydrated) Chlormayenite | Sphalerite, Fe-Zn spinel, Srebrodolskite, Lakargiite, Barite, Baritocelestine Galena, Pyrrhotite, Chalcopyrite, NaCl | CSHs, Volkonskoite, Talc, Chlorite (?), Carnotite, Tyuyamunite, Strelkinite, Mn hydroxides (Ni- and Zn-rich), SnCl4 (?) |
| Sample/Rock Type | Main Phases | Minor Phases | Accessory Phases | Alteration Products |
|---|---|---|---|---|
| TH-72 Spurrite- fluorapatite marble (1437 ppm Zn; 697 ppm Cd) | Calcite, * Fluorapatite (7.67 wt% SiO2; 5.25 wt% SO3) | Spurrite (Na-bearing), Periclase (Zn, Ni, Co, Cu –rich) | Zincite (Cd-bearing), Tululite, Brownmillerite (Cr, Ti, Zn-rich; n = 16, 1.5–3.6 wt% ZnO, av. 2.31 wt% ZnO; ), CaUO4, Ca2UO5, Ca3UO6, Lakargiite (U-bearing), Dorrite, Fluormayenite, Fluorkyuygenite, (Ca,Cd)O Fluorite, Cassiterite, Cerianite (Ce,Th)O2, Halite | Si-bearing hydrated CaO-UO3 compounds (mainly (CaO)3(UO3)2(SiO2)2.5(H2O)6, CSHs (sometimes Zn- and U-bearing), CdCl2, Hydrogarnets, Cl-bearing hibschite, Chlormayenite, CdCl2*nH2O or CdCl2*nCd(OH)2 Qatranaite CaZn(OH)6(H2O)2 |
| BSE Image | Chemical Composition (wt%) | ||||||||||||||
|---|---|---|---|---|---|---|---|---|---|---|---|---|---|---|---|
![]() | Sample DT-25 | ||||||||||||||
| Point | Zn | Cd | Fe | Mn | Ni | Cu | Ba | Na | K | Ca | S | Se | O | Total | |
| 1 | 63.47 | 1.65 | 0.17 | 0.15 | bdl | bdl | bdl | bdl | bdl | bdl | 32.08 | 1.69 | bdl | 99.21 | |
| 2 | 51.89 | 2.06 | 0.29 | bdl | 0.24 | bdl | 4.13 | 5.36 | 1.75 | bdl | 31.23 | 2.55 | bdl | 99.50 | |
| 3 | bdl | bdl | 14.48 | bdl | bdl | 23.85 | bdl | bdl | 0.21 | 12.46 | 18.27 | 7.91 | 18.2 | 95.38 | |
| 4 | 0.62 | bdl | 1.03 | bdl | 47.12 | 1.55 | bdl | bdl | 0.23 | bdl | 22.05 | 26.54 | bdl | 99.14 | |
![]() | Sample DT-26 | ||||||||||||||
| Point | Zn | Cd | Fe | Mn | Ni | Cu | Ba | Na | K | Ca | S | Se | O | Total | |
| 1 | 60.78 | 1.88 | 1.76 | 0.19 | 0.23 | bdl | bdl | bdl | bdl | bdl | 32.85 | 1.24 | bdl | 98.93 | |
| 2 | 49.99 | 1.83 | 3.44 | 0.27 | 0.16 | bdl | 2.18 | 5.95 | 1.4 | bdl | 32.74 | 1.61 | bdl | 99.53 | |
![]() | Sample DT-25 | ||||||||||||||
| Point | Zn | Cd | Fe | Mn | Ni | Cu | Ba | Na | K | Ag | S | Se | O | Total | |
| 1 * | 58.90 | 1.33 | 0.50 | 0.15 | 1.68 | 1.77 | bdl | bdl | bdl | 1.87 | 31.34 | 2.71 | bdl | 100.25 | |
| 2 * | 26.87 | bdl | 1.68 | bdl | 21.48 | 1.96 | bdl | bdl | 0.24 | 1.43 | 27.05 | 18.29 | bdl | 99.00 | |
| BSE Image | Point | Zn | Cd | Fe | Ni | Cu | Ag | S | Se | Total |
|---|---|---|---|---|---|---|---|---|---|---|
![]() | 1 * | 51.32 | 1.01 | 1.96 | 0.65 | 2.61 | 5.74 | 30.02 | 5.52 | 98.83 |
| 2 * | 8.86 | bdl | 0.97 | bdl | bdl | 61.55 | 7.74 | 20.84 | 99.96 | |
![]() | 1 * | 56.63 | 1.01 | 1.78 | 0.47 | 0.93 | 3.63 | 31.19 | 3.52 | 99.36 |
| 2 | 1.79 | bdl | bdl | bdl | bdl | 71.48 | 0.54 | 25.79 | 99.60 | |
![]() | 1 | 1.47 | 51.5 | 2.06 | 0.67 | 2.71 | bdl | 8.04 | 32.58 | 99.03 |
| 2 | 1.52 | bdl | 0.48 | bdl | 0.56 | 70.49 | 0.58 | 25.78 | 99.41 | |
![]() | 1 | 4.50 | 69.19 | bdl | bdl | bdl | bdl | 18.68 | 7.52 | 99.89 |
| BSE Image | Chemical Composition (wt%) | |||||||||
|---|---|---|---|---|---|---|---|---|---|---|
![]() | Sample DT-25 | |||||||||
| Point | SiO2 | TiO2 | Cr2O3 | Al2O3 | Fe2O3 | MgO | CaO | ZnO | Total | |
| 1 | 0.32 | 0.83 | 1.86 | 9.86 | 42.01 | 0.23 | 43.73 | 0.46 | 99.30 | |
| 2 | 0.41 | 0.57 | 1.04 | 5.78 | 49.12 | 0.38 | 42.52 | 0.36 | 100.18 | |
![]() | Sample TH-52 | |||||||||
| Point | SiO2 | TiO2 | Cr2O3 | Al2O3 | Fe2O3 | MgO | CaO | ZnO | Total | |
| 1 | bdl | 0.60 | 0.47 | 5.21 | 75.03 | 5.49 | bdl | 13.09 | 99.89 | |
![]() | Sample DT-25 | |||||||||
| Point | SiO2 | CaO | MgO | UO3 | Total | |||||
| 1 | 0.85 | 16.25 | 0.80 | 81.50 | 99.40 | |||||
| Sample | DT-20 | DT-25 | DT-26 | TH-11 | TH-74 | ||||||||
|---|---|---|---|---|---|---|---|---|---|---|---|---|---|
| 1 | 2 | 3 | 4 | 5 | 6 | 7 | 8 | 9 | 10 | 11 | 12 | 13 | |
| Zn | 63.14 | 63.99 | 63.97 | 64.11 | 60.23 | 64.76 | 59.80 | 61.43 | 63.02 | 61.27 | 65.21 | 64.81 | 53.71 |
| Cd | 1.93 | 1.93 | 2.03 | 1.91 | 1.32 | 1.67 | 3.14 | 1.15 | 1.70 | 3.53 | 1.07 | 1.55 | 14.07 |
| Fe | 1.16 | 1.41 | 1.39 | 1.32 | 0.85 | 0.17 | 1.15 | 3.48 | 1.78 | 2.03 | 0.40 | 0.44 | 1.56 |
| Mn | 0.11 | <0.10 | <0.10 | <0.10 | <0.10 | <0.10 | <0.10 | 0.23 | 0.19 | 0.17 | 0.19 | <0.10 | 0.56 |
| Ni * | <0.10 | <0.10 | <0.10 | <0.10 | 1.11 | <0.10 | 0.35 | <0.10 | 0.23 | <0.10 | <0.10 | <0.10 | <0.10 |
| Cu * | <0.15 | <0.15 | <0.15 | <0.15 | 0.93 | <0.15 | 1.04 | <0.15 | <0.15 | <0.15 | <0.15 | <0.15 | <0.15 |
| S | 31.91 | 32.78 | 32.52 | 31.38 | 29.53 | 32.38 | 29.50 | 32.50 | 32.44 | 32.28 | 32.30 | 32.07 | 30.03 |
| Se | 0.75 | 0.32 | 0.30 | 0.57 | 5.10 | 1.71 | 4.54 | 1.37 | 1.05 | 0.87 | 0.96 | 1.29 | 0.47 |
| Total | 99.01 | 100.43 | 100.20 | 99.29 | 99.07 | 100.69 | 99.53 | 100.16 | 100.43 | 100.14 | 100.12 | 100.16 | 100.40 |
| Formula based on ∑S + Se = 1 | |||||||||||||
| Zn | 0.961 | 0.954 | 0.961 | 0.960 | 0.935 | 0.970 | 0.936 | 0.921 | 0.940 | 0.921 | 0.978 | 0.975 | 0.851 |
| Cd | 0.017 | 0.017 | 0.018 | 0.017 | 0.012 | 0.014 | 0.029 | 0.010 | 0.015 | 0.031 | 0.009 | 0.014 | 0.130 |
| Fe | 0.021 | 0.025 | 0.024 | 0.022 | 0.015 | 0.003 | 0.021 | 0.060 | 0.031 | 0.036 | 0.007 | 0.008 | 0.029 |
| Mn | 0.002 | 0.000 | 0.000 | 0.000 | 0.000 | 0.000 | 0.000 | 0.004 | 0.003 | 0.003 | 0.003 | 0.000 | 0.010 |
| Ni * | 0.000 | 0.000 | 0.000 | 0.000 | 0.019 | 0.000 | 0.006 | 0.000 | 0.004 | 0.000 | 0.000 | 0.000 | 0.000 |
| Cu * | 0.000 | 0.000 | 0.000 | 0.000 | 0.015 | 0.000 | 0.017 | 0.000 | 0.000 | 0.000 | 0.000 | 0.000 | 0.000 |
| S | 0.991 | 0.996 | 0.996 | 0.993 | 0.935 | 0.979 | 0.941 | 0.983 | 0.987 | 0.989 | 0.988 | 0.984 | 0.994 |
| Se | 0.009 | 0.004 | 0.004 | 0.007 | 0.065 | 0.021 | 0.059 | 0.017 | 0.013 | 0.011 | 0.012 | 0.016 | 0.006 |
| ∑M | 1.001 | 0.995 | 1.003 | 0.999 | 0.996 | 0.988 | 1.009 | 0.996 | 0.994 | 0.990 | 0.998 | 0.997 | 1.020 |
| Sample | DT-20 (n = 45) | DT-25 (n = 21) | DT-26 (n = 53) | TH-11 (n = 10) | ||||||||||||
|---|---|---|---|---|---|---|---|---|---|---|---|---|---|---|---|---|
| Mean | S | Min | Max | Mean | S | Min | Max | Mean | S | Min | Max | Mean | S | Min | Max | |
| Zn | 63.28 | 0.43 | 62.44 | 63.99 | 61.16 | 1.86 | 58.46 | 64.96 | 61.98 | 0.84 | 60.54 | 64.19 | 64.80 | 0.34 | 64.07 | 65.24 |
| Cd | 2.02 | 0.28 | 1.63 | 2.64 | 1.84 | 0.64 | 0.95 | 3.14 | 2.21 | 1.06 | 1.04 | 3.73 | 1.35 | 0.17 | 1.07 | 1.55 |
| Fe | 1.28 | 0.11 | 1.04 | 1.44 | 1.13 | 0.60 | <0.10 | 2.15 | 2.22 | 0.54 | 1.55 | 3.71 | 0.45 | 0.09 | 0.32 | 0.66 |
| Mn | 0.10 | 0.06 | <0.10 | 0.16 | <0.10 | – | <0.10 | <0.10 | 0.15 | 0.07 | <0.10 | 0.24 | <0.10 | – | <0.10 | <0.10 |
| Ni * | <0.10 | – | <0.10 | 0.30 | 0.46 | 0.47 | <0.10 | 1.83 | <0.10 | – | <0.10 | 0.31 | <0.10 | – | <0.10 | <0.10 |
| Cu * | <0.15 | – | <0.15 | <0.15 | 0.85 | 0.69 | <0.15 | 2.70 | <0.15 | – | <0.15 | <0.15 | <0.15 | – | <0.15 | <0.15 |
| S | 32.56 | 0.33 | 31.91 | 33.10 | 30.10 | 1.30 | 27.86 | 32.47 | 32.45 | 0.25 | 31.83 | 32.99 | 32.15 | 0.19 | 31.78 | 32.41 |
| Se | 0.51 | 0.13 | 0.29 | 0.75 | 4.27 | 1.67 | 1.39 | 6.68 | 1.12 | 0.13 | 0.77 | 1.37 | 1.05 | 0.14 | 0.87 | 1.29 |
| Total | 99.65 | 99.81 | 100.13 | 99.80 | ||||||||||||
| Sample | TH-74 | DT-25 | DT-25 (n = 14) | ||||||||
|---|---|---|---|---|---|---|---|---|---|---|---|
| 1 | 2 | 3 | 4 | 5 | 6 | 7 | Mean | S | Min | Max | |
| Cd | 55.74 | 75.04 | 69.94 | 69.57 | 64.54 | 63.46 | 63.07 | 68.29 | 4.79 | 63.07 | 75.05 |
| Zn | 17.93 | 0.69 | 3.89 | 4.34 | 8.19 | 10.83 | 11.24 | 5.96 | 4.16 | 0.60 | 11.24 |
| S | 24.21 | 18.60 | 18.78 | 18.64 | 17.31 | 22.03 | 21.62 | 19.46 | 1.38 | 17.31 | 22.03 |
| Se | 1.37 | 5.32 | 6.45 | 7.39 | 10.61 | 2.71 | 3.11 | 5.78 | 2.07 | 2.71 | 10.61 |
| Total | 99.25 | 99.65 | 99.06 | 99.94 | 100.65 | 99.03 | 99.04 | 99.49 | |||
| Formula based on one S atom | |||||||||||
| Cd | 0.642 | 1.031 | 0.932 | 0.917 | 0.852 | 0.783 | 0.786 | 0.893 | |||
| Zn | 0.355 | 0.016 | 0.089 | 0.098 | 0.186 | 0.230 | 0.241 | 0.134 | |||
| S | 0.978 | 0.896 | 0.878 | 0.861 | 0.801 | 0.952 | 0.945 | 0.892 | |||
| Se | 0.022 | 0.104 | 0.122 | 0.139 | 0.199 | 0.048 | 0.055 | 0.108 | |||
| ∑Cd+Zn | 0.997 | 1.047 | 1.021 | 1.015 | 1.037 | 1.012 | 1.027 | 1.028 | |||
| Chemical Formula | Zn0.96Cd0.02Fe0.02(S0.946(8)O0.046(8)Se0.0074)∑1.00 | |
|---|---|---|
| Space group | ||
| a (Å) | 5.40852(12) | |
| V (Å3) | 158.211(6) | |
| Z | 4 | |
| Crystal size (mm) | 0.16 × 0.08 × 0.06 | |
| d (g/cm3) | 4.110 | |
| F(000) | 184 | |
| μ (MoKα) (mm−1) | 16.115 | |
| θ range for data collection | 6.535 to 31.711 | |
| Index ranges | –7 ≤ h ≤ 7; –7 ≤ k ≤ 7; –7 ≤ l ≤ 8 | |
| Scan width (°/frame) | 1 | |
| Exposure (s/frame) | 30 | |
| No. of measured reflections | 770 | |
| No. of unique reflections | 43 | |
| No. of observed reflections (I > 2σ(I)) | 43 | |
| No. of parameters refined | 6 | |
| Rint | 0.0271 | |
| Extinction coefficient | 0.0060(11) | |
| Flack parameter | –0.002(17) | |
| R1, wR2 for I > 2σ(I) | 0.0075, 0.0176 | |
| R1, wR2 all data | 0.0075, 0.0176 | |
| GooF | 1.106 | |
| Residual electron density (e/Å3) | 0.274–0.249 | |
| Atom coordinates, Ueq (Å2) values, and occupancies | ||
| M | x | 0.25 |
| y | 0.25 | |
| z | 0.25 | |
| Occupancy | Zn0.96Cd0.02Fe0.02 | |
| Ueq | 0.01145(11) | |
| S,Se,O | x | 0 |
| y | 0 | |
| z | 0 | |
| Occupancy | S0.946(8)Se0.0074O0.046(8) | |
| Ueq | 0.0083(3) | |
| This Study λL = 532 nm ν(cm−1) | This Study λL = 325 nm ν(cm−1) | Data from [63] 300 K, λL = 514 nm ν(cm−1) | Data from [64] λL = 514 nm ν(cm−1) | Data from [64] λL = 325 nm ν(cm−1) | Interpretation of Bands |
|---|---|---|---|---|---|
| 276 | 275 | 275 | 277 | 277 | TO |
| 299 | 298 | LO(X1) | |||
| 309 | LO(X2) | ||||
| 331 | LO(X3) | ||||
| 349 | 348 | 350 | 348 | 348 | LO |
| 696 | 697 | 2LO | |||
| 1042 | 1045 | 3LO | |||
| 1394 | 4LO | ||||
| 1737 | 5LO |
| This Study ν(cm−1) | Data from [63] ν(cm−1) | Interpretation of Bands |
|---|---|---|
| 147 | 142 | 2TAL |
| 180 | 180 | 2TAX |
| 198 | (TO – TAu)Σ | |
| 218 | 219 | (TO – TA)X |
| 234 | 239 | 2TA Σ |
| 304 | (LA + TAl)W | |
| 309 | 312 | (LA + TAu)W, Σ |
| 336 | Not assigned | |
| 346 | Not assigned | |
| 385 | 380 | 2LAΣ |
| 399 | 397 | (TO + TA)X |
| 420 | 420 | (LO + TA)X |
| 447 | 450 | (LO + TA)L |
| 483 | (TOl + LA)Σ | |
| 515 | 517 | (LO + LA)Σ |
| 607 | 2TOW | |
| 612 | 615 | 2TOX |
| 637 | 638 | (LO + TO)L |
| 666 | 668 | 2LOX |
| 685 | 693 | 2LOL |
| 700 | 2LOΓ |
© 2020 by the authors. Licensee MDPI, Basel, Switzerland. This article is an open access article distributed under the terms and conditions of the Creative Commons Attribution (CC BY) license (http://creativecommons.org/licenses/by/4.0/).
Share and Cite
Sokol, E.V.; Kokh, S.N.; Seryotkin, Y.V.; Deviatiiarova, A.S.; Goryainov, S.V.; Sharygin, V.V.; Khoury, H.N.; Karmanov, N.S.; Danilovsky, V.A.; Artemyev, D.A. Ultrahigh-Temperature Sphalerite from Zn-Cd-Se-Rich Combustion Metamorphic Marbles, Daba Complex, Central Jordan: Paragenesis, Chemistry, and Structure. Minerals 2020, 10, 822. https://doi.org/10.3390/min10090822
Sokol EV, Kokh SN, Seryotkin YV, Deviatiiarova AS, Goryainov SV, Sharygin VV, Khoury HN, Karmanov NS, Danilovsky VA, Artemyev DA. Ultrahigh-Temperature Sphalerite from Zn-Cd-Se-Rich Combustion Metamorphic Marbles, Daba Complex, Central Jordan: Paragenesis, Chemistry, and Structure. Minerals. 2020; 10(9):822. https://doi.org/10.3390/min10090822
Chicago/Turabian StyleSokol, Ella V., Svetlana N. Kokh, Yurii V. Seryotkin, Anna S. Deviatiiarova, Sergey V. Goryainov, Victor V. Sharygin, Hani N. Khoury, Nikolay S. Karmanov, Victoria A. Danilovsky, and Dmitry A. Artemyev. 2020. "Ultrahigh-Temperature Sphalerite from Zn-Cd-Se-Rich Combustion Metamorphic Marbles, Daba Complex, Central Jordan: Paragenesis, Chemistry, and Structure" Minerals 10, no. 9: 822. https://doi.org/10.3390/min10090822
APA StyleSokol, E. V., Kokh, S. N., Seryotkin, Y. V., Deviatiiarova, A. S., Goryainov, S. V., Sharygin, V. V., Khoury, H. N., Karmanov, N. S., Danilovsky, V. A., & Artemyev, D. A. (2020). Ultrahigh-Temperature Sphalerite from Zn-Cd-Se-Rich Combustion Metamorphic Marbles, Daba Complex, Central Jordan: Paragenesis, Chemistry, and Structure. Minerals, 10(9), 822. https://doi.org/10.3390/min10090822











