1. Introduction
Titanium dioxide is one of the most important products of an inorganic synthesis utilized in the manufacture of paints, paper, plastics, food additives, and cosmetics. The sulfate method, the chloride method [
1,
2,
3,
4], and the fluoride method of ilmenite ores leaching [
5,
6,
7] are widely used in the manufacture of titanium dioxide. The chloride method is utilized on an industrial scale in Asia and Africa [
8]. This method requires significant energy costs for the production of hydrochloric acid, and at the same time, the method is characterized by high emissions of gaseous pollutants. The sulfuric acid method of the leaching of titanium-bearing ores is devoid of these disadvantages [
9,
10]. Currently, the volume of acid wastes has sharply decreased after the deep modernization of a number of industrial plants using sulfuric acid leaching of titanium-containing ores, and this method again has become considered as the most advanced [
11,
12]. Analysis of the literature shows that work is still ongoing to find further ways to modernize this method. The solution to this problem is undertaken in three directions using mechanical, thermal, and chemical activation.
Plenty of works have shown that the mechanical activation of the raw materials significantly increases the dissolution rate of solid minerals [
13,
14,
15,
16,
17,
18]. Phase composition changes during the mechanical dispersion process under atmospheric conditions have been observed by many authors. For instance, it was suggested that ilmenite gradually turned into pseudorutile (Fe
2Ti
3O
9) during the milling process in the air [
15,
18]. Furthermore, the authors found that some grains of ilmenite were turned into leucoxene during grinding [
19]. It was concluded that the altered ilmenite (leucoxene) located into cracks and/or on the surface of ilmenite grains existed in an amorphous state after grinding the raw materials. The formation of defective crystalline structure, oxidation of ferrous iron, and the increase in the specific surface of powders due to the decrease in the size of ore particles are the main reasons for this effect [
20].
A method for the grinding of raw materials in the liquid conditions where the raw material was ground in sulfuric acid and water has been shown [
10]. A larger quantity of the active centers that form on the surface of the particles is established during grinding in an acidic medium, which accelerates the further leaching process. The grinding of raw materials in an aqueous medium made ilmenite more active, and the milled samples showed lower activation energies during the leaching process. However, a change in the phase composition of the raw material during grinding was not observed [
21,
22].
There are lots of data presented for ilmenite concentrates that have not undergone the leukoxenization process. Additionally, we can see that the presented results are contradictory, which means that it is of interest to research the effect of the mechanical activation of altered ilmenite on the degree of extraction of the target component.
The chemical activation of raw materials with sulfuric acid solutions is also debated today [
23,
24,
25,
26]. The effect of the concentration and modulus of sulfuric acid on the decomposition of ilmenite was investigated repeatedly by [
9,
10,
14,
17,
22,
27,
28,
29,
30,
31,
32,
33,
34,
35,
36,
37,
38,
39]. The extraction degree of titanium into the solution increased with increasing concentrations of sulfuric acid and it was first found by Han [
27]. However, when H
2SO
4 solutions were utilized with a concentration above 14 M, the reducing effect of the efficiency of the leaching process was observed. Similar results were obtained when the authors studied the sulfuric acid leaching of ilmenite with the composition of 51% TiO
2, 36.8% FeO, and 4.97% Fe
2O
3 [
17]. It was found that with an increase in acid concentration up to 14 M (79.8 wt%), the rate of the process increased. However, the process rate quickly decreased using higher concentrations of H
2SO
4. According to various authors, this maximum is achieved with the concentration of sulfuric acid at 6 M [
36], 9 M [
10,
31], 10 M [
9], 15 M [
30], 15.5 M [
28,
34], and 17 M [
27]. This effect of the sulfuric acid concentration was explained by the authors as symbatic change in the concentration of hydrogen ions in sulfuric acid solutions [
27]. Although, according to their data, the maximum H+ content was reached much earlier when 11 M sulfuric acid solutions were utilized. The reduction of the ionization of sulfuric acid molecules of almost 1.3 times in 14 M sulfuric acid solution when compared with 11 M H
2SO
4 has been reported [
30]. Once more, the optimal range of the H
2SO
4 concentration for the leaching process was 14–16 M [
37,
38]. These results were obtained based on measuring the thermal power of the leaching process such as heat generation during the leaching process. It should be noted that the leaching time is significantly different for each experiment. In addition, the optimal mass module of the reaction mixture is different for each sulfuric acid leaching: H
2SO
4:FeTiO
3 = 2.7:1 [
30], H
2SO
4:FeTiO
3 = 6:1 [
34], and H
2SO
4:FeTiO
3 = 9:1 [
35].
One of the alternative methods of leaching the titanium-containing materials is the fluoride method. There are two main groups of methods for processing ores using fluorine compounds such as the thermal and hydrometallurgical methods [
40,
41]. The latter is becoming widely used since this method is very prospective due to the possibility of recycling the main components [
7,
42,
43,
44]. Nowadays, hydrometallurgical methods for the processing of various concentrates are at the initial stage of their development [
5,
6,
45,
46,
47]. The most common fluorinating agents are F
2 [
44], H
2SiF
6 [
47,
48], and HF [
49,
50]. However, ammonium fluoride and ammonium hydrodifluoride are increasingly used in non-aqueous (in “dry”) and hydrometallurgical methods [
50,
51,
52,
53,
54,
55]. The initial processing of the raw material can be carried out at sufficiently low temperatures, which leads to lower energy consumption compared to the “dry” method. The main disadvantage of the fluoride method is the large excess of the leaching reagent. This requirement is due to the consumption of fluoride ions in the reaction with iron (in ilmenite), a large amount of waste in the form of pulps and solutions as well as a greater number of technological stages when compared to the sulfate method.
The differences in the optimal conditions for the sulfuric acid leaching of titanium-containing ores can be explained by the fact that the obtained ores from the different deposits are various in its mineralogical composition and, accordingly, in chemical properties.
One of the main parameters of the leaching is temperature. In the course of researching the thermal activation of raw materials, it was found that the degree of titanium extraction increased with increasing temperature in the leaching process [
10,
22,
32,
34,
35,
56,
57,
58,
59,
60,
61,
62,
63]. This dependence was observed up to certain temperatures. According to [
62], the titanium extraction degree rapidly increased as the temperature rose and reached the maximum at 160 °C in the leaching of the titanium-bearing materials. A titanium salt undergoes hydrolysis in the solution at higher temperatures, which leads to the decrease of its content in the solution. The agglomerates formed in the reaction mixture at the temperature of 200 °C, which could not be leached. The authors [
62] suggest that such aggregates are the product of the polymerization of hydrolysis forms of titanium. The formation of agglomerates that were insoluble in sulfuric acid (5%) was observed [
27,
28]. The experiments on the ilmenite leaching were carried out in the acid solutions of more than 80% and at the temperature of 200 °C. In the authors’ opinion, such agglomerates are insoluble in concentrated sulfuric acid. These agglomerates form as a result of blocking the surface of unreacted ore particles by the precipitation of titanium and iron sulfates. The optimum conditions for the decomposition of altered ilmenite are the temperature of 200 °C and sulfuric acid concentration of 88 wt% [
61]. However, not many research works have been devoted to the leaching of altered ilmenite [
64]. Therefore, more detailed study in this direction is necessary.
The values of the activation energies are important data to determine a mechanism of the leaching processes. The literature provides quite different values of activation energies for the sulfuric acid leaching of ilmenite and its altered form. For instance, activation energies in the range of 28–48 kJ/mol was obtained [
63,
64,
65,
66]. In addition, the next values were obtained in different ranges such as 75.0 [
27], 72.6 [
62], and 64.4 kJ/mol [
56].
Furthermore, values of activation energies in the range of 52–62 kJ/mol [
21] and 80–100 kJ/mol were obtained [
24]. Apparently, such a difference in the activation energies can be explained by the difference in the chemical compositions of the researched ilmenite ores. It would be interesting to determine the activation energy values for the sulfuric acid leaching of altered ilmenite.
Ukraine has the vast reserves of ilmenite consisting of 40 explored alluvial and primary mine deposits, 16 of these deposits are currently used in industrial mining and enrichment. The main ore reserves are concentrated in the Malyshevske and Irshanske deposits. The most difficult problem is to process altered ilmenites such as ilmenite from the Malyshevske deposit. The enrichment of ilmenite with titanium occurs due to the oxidation of ferrous iron and its displacement with long-term weathering of the ore (so-called leukoxenization process). The titanium content calculated on titanium dioxide can exceed 65 wt% in such altered ilmenites. This chemical composition makes such a raw material hardly-suitable in sulfuric acid processing for the production of titanium dioxide. This fact leads to a low degree of using raw materials, decreasing the overall production efficiency and relatively low quality of the product. The reasons for the low efficiency of using altered ilmenite can be explained by the presence of a rutile ballast, which practically does not dissolve in sulfuric acid under industrial conditions of leaching.
Thus, the current work aims to select the optimal conditions for the sulfuric acid leaching of altered ilmenite, allowing the intensification of the sulfuric leaching process by means of the mechanical, chemical, and thermal activation of raw materials.
3. Results and Discussion
3.1. Mechanical Activation of the Raw Material
A histogram of the ilmenite particle size distribution is presented in
Figure 1. The most probable particle size was 164 µm (163.8 µm, at half-width of the distribution curve of 27.5 µm) before grinding. The particle size decreased after grinding for 2 h in a drum mill and the most probable particle size was 11 µm (10.8 µm, at half-width of the distribution curve of 2.5 µm) [
67].
The experiments were carried out with various fractions of ground ore to analyze the effect of the mechanical activation of ilmenite concentrate on its dissolution rate in sulfuric acid. It was found that ilmenite concentrate without grinding practically did not dissolve in 94% sulfuric acid, even when the temperature was raised up to 200 °C. In addition, it was established that the leaching process intensified and the reaction mixture solidified in 3 min after adding a portion of ilmenite concentrate to the acid solution with a fraction of 40 μm (for example Figures 4 and 5 in Section 3.2). It is known that this solidification is explained by the achievement of saturated concentrations of the decomposition products of ilmenite ores such as iron and titanium sulfates.
As it is widely known, the rate of a heterogeneous chemical process is directly proportional to the specific surface area of particles of a solid reagent. The reactivity of ore particles can also change due to an increase in the degree of defect of its crystal lattices or changing phase composition in the grinding process. The x-ray powder diffraction study was carried out to define the effect of the grinding process on the phase composition of the ilmenite concentrate. The ore sample was ground for 2 h.
Figure 2 shows the diffraction pattern of the obtained data for the initial (not crushed) sample of ilmenite concentrate and the sample subjected to grinding for 2 h.
According to the data in
Figure 2, the phases of ilmenite FeTiO
3 (PCPDFWIN 00-071-1140), rutile TiO
2 (00-075-1757), and pseudorutile Fe
2Ti
3O
9 (00-019-0635) were observed both in the initial sample and in the material after grinding. However, the relative content of these phases changed after grinding.
The quantitative x-ray phase analysis showed that the content of ilmenite (5.3%), rutile (4.5%), and pseudorutile (90.2%) in the studied sample of the ilmenite concentrate.
While the particle size decreased, the content of ilmenite and pseudorutile decreased, and the rutile content was increased, as shown with a quantitative analysis of the diffraction patterns in MATCH!2 software using the PCPDFWIN database (
Figure 3). The content of ilmenite and pseudorutile was decreased to 3.1 and 63.1%, respectively, while the content of rutile was increased to 28.7% after grinding for 2 h (particle size <40 µm). Furthermore, the additional reflections appeared in the diffraction patterns, which were identified as the reflections of pseudobrookite Fe
2TiO
5 (00-041-1432) in the amount of 5.1%.
The mechanical activation of altered ilmenite not only had a positive effect of accelerating the titanium ore leaching due to an increase in the specific surface area and an increase in the reactivity of ore particles, but a negative effect also occurs due to an increase in the content of the TiO
2 rutile phase, which is inert to acid decomposition, as can be seen in the results of the investigations. Analysis of the diffraction patterns of the ground ilmenite concentrate samples showed that the concentrate phase composition underwent significant changes (
Figure 1 and
Figure 3) during the grinding process. It was found that the content of ilmenite and pseudorutile decreased, and rutile increased with decreasing particle size.
The possibility of the mechanochemical transformation of solids in the grinding process was proven and can be explained by the breaking of chemical bonds in places of the mechanical deformation of particles [
15,
18]. It was concluded that the change in the phase composition of ilmenite ores occurred due to the oxidation of divalent iron during grinding:
Iron oxide is formed in both reactions, but this fact is not confirmed by XRD study. It was explained by the formation of the Fe
2O
3 phase in an amorphous form, which does not allow identifying its presence by x-ray diffraction [
15].
The most rapid changes in the composition of the studied ilmenite concentrate were noted to occur in the first 30 min (
Figure 3). These changes were not connected with the oxidative decomposition of ilmenite, but connected to the decomposition of pseudorutile. Therefore, reactions (1) and (2) cannot explain all the observed changes in the composition of ilmenite ore of the Malyshevske deposit. The possibility of the next reactions can explain the reasons of the decrease in the pseudorutile content and pseudobrookite formation:
It was reported that pseudorutile is formed during grinding of FeTiO
3 in the air, but its further conversion to pseudobrookite does not occur, although reaction (3) is thermodynamically possible [
15]. In contrast to these data, our study showed that the metastable phase of Fe
2Ti
3O
9 can be destroyed with the formation of more stable forms of Fe
2TiO
5 and TiO
2 at mechanical activation. A discrepancy was observed in the material balance with a decrease in the pseudorutile content of 27%, where only 5.1% of pseudobrookite formed. This can be explained by most of the Fe
2TiO
5 phase remaining in the amorphous state such as iron oxide.
The processes of obtaining pseudobrookite not only as a result of the decomposition reaction but also as a result of synthesis involving the Fe
2O
3 phase can be described as [
15,
18]:
It is known that carrying out these reactions at a noticeable rate is possible only at high temperatures. Therefore, the probability of the implementation of reactions (4) and (5) as a result of mechanochemical activation is rather low. This conclusion is well confirmed by the obtained experimental data. The observed decrease in the ilmenite content after 120 min of grinding was only ~2%, while the amount of pseudobrookite was 5.1%, which was detected by the XRD method.
3.2. Influence of Sulfuric Acid Concentration on the Leaching Process
The influence of the concentration of sulfuric acid on the titanium leaching was considered by us as a method of chemical activation (intensification) of the decomposition of the ilmenite ore. Furthermore, the unusual nature of the effect of the concentration of sulfuric acid on the efficiency of titanium leaching has been repeatedly noted [
10,
17,
22].
Figure 4 and
Figure 5 show the results of our kinetic studies using solutions of sulfuric acid with a concentration of 50, 60, 80 85, 90 and 96 wt% [
68]. The experiments were carried out in isothermal conditions at a temperature of 100 °C. The titanium leaching degree was calculated on the total titanium content in the ilmenite concentrate.
The solidification of the reaction mixture observed at reaching the 15% degree of titanium leaching (the dashed line in
Figure 4 and
Figure 5) can be explained by the achievement of saturated concentrations of the decomposition products of ilmenite ore: iron and titanium sulfates. It was found that
X(
t) dependencies have a form of convex curves up to the acid concentration of 85 wt% and the curves are well approximated by straight lines from the moment the reaction mixture solidifies. The kinetic curves for 90% and 96% acid (
Figure 5) were S-shaped because the curves were concaved to the abscissa axis. In this case, the rate of conversion of ilmenite concentrate was lower compared with the data for 85% acid.
This S-shaped nature of the change in the degree of conversion during the material processing with concentrated acid can be explained by the decrease in sulfuric acid content and the water content simultaneously increased as reaction (6) proceeds.
The
X(
t) curves had a maximum at C(H
2SO
4) = 85 wt%. A reduction of the leaching degree was observed by carrying out the process using sulfuric acid with concentrations above 85 wt% (
Figure 6).
It is necessary to determine the limiting stage of the process to identify possible ways to optimize it. Various equations were used to describe the heterogeneous reactions to analyze the kinetic data presented above. Statistical processing of the data on the Fisher dispersion relation at a significance level of 0.05 showed that the linearity hypothesis could be accepted for the most known equations, but the values of their correlation coefficients differed significantly. The best results in describing the rate of sulfuric acid decomposition of ilmenite were obtained with the equations of the “contracting sphere” model.
The initial section of the
X(
t) curve until the sludge formed (
Figure 7) is best described by the kinetic equation of the “contracting sphere” model with a limiting stage of the chemical reaction (R
2 = 0.9866):
The linear sections of the
X(
t) curves, which are observed after solidification of the reaction mixture, are well described by the external diffusion equation:
where
k1 is a rate constant for the kinetic equation of a “contracting sphere” model with a limiting stage of a chemical reaction and
k2 is a rate constant for the equation of external diffusion.
The dissolution rate of ilmenite will increase with a dilution of the acid and the shape of the kinetic curve will change. The rate constants for the titanium extraction from ilmenite concentrate were compared with the concentrations of acid solutions (
Figure 7). The rate constants were calculated according to Equation (7) for the initial sections of the kinetic curves in
Figure 4 and
Figure 5.
It was found that the leaching process should be considered as a two-stage process for the mechanism of the ilmenite processing with sulfuric acid. This leaching process is described by Equations (7) and (8).
The observed rate constant is related to the rate constant of the chemical reaction (
k*) under the condition of the kinetics of the first or pseudo-first order of chemical reaction, according to the “contracting sphere” model:
where
R0 is the initial particle radius of the solid reagent;
n0 is a molar density; and
C0 is the reagent concentration in the core of the liquid phase stream.
The dependence
k(
C0) must be linear and the slope of this straight line is proportional to the rate constant of the chemical reaction and inversely proportional to the particle size of the solid reagent, according to this equation. This pattern is well supported by the data in
Figure 8 up to the acid concentration of 85%.
The rate constant sharply decreased at C0 > 85% and can be explained within the framework of the “contracting sphere” model by a decrease in the solution of sulfuric acid of those particles that are directly involved in the chemical dissolution of ilmenite. The “free” hydrogen ions are considered as such particles. The term “free hydrogen ions” is used for simplification, since one should take into account its hydration and the formation of associates in concentrated solutions, for example, H3O+·HSO4−.
It is obvious that C(H
+) << C(H
2SO
4) in concentrated solutions of acids and, therefore, hydrogen ions cannot be the main participants in the reaction process. To illustrate this conclusion, based on the data in the literature [
29], we calculated the concentration of hydrogen ions depending on the acid content in the solution and the temperature of 100 °C (
Figure 8, curve 2). According to these data, the concentration of hydrogen ions decreased rapidly starting from 12 M solutions, while the efficiency of the leaching process continued to increase up to C = 85%.
To explain the data in
Figure 8, it is necessary to take into account that the 85 wt% concentration of sulfuric acid corresponds to 50 mol%. This means that the content of acid and water is 1:1. The proportion of H
2SO
4·H
2O hydrates in the solution was decreased at C > 50 mol%, and the proportion of unhydrated H
2SO
4 molecules was increased. We have to consider that the electronic properties of particles H
2SO
4·H
2O and H
2SO
4 are different and governed by different mechanisms. Therefore, the observed rate constants should be compared, not with the concentration of sulfuric acid, but with the concentration of its hydrated forms. As is widely known, sulfuric acid forms five hydrates of H
2SO
4·
nH
2O, where
n = 1, 2, 3, 4 and 6.5. If we summarize its content in the solution and compare its sum with the concentration of the sulfuric acid solution, we can obtain a graph of the change in the content of sulfuric acid hydrates with a maximum at a solution concentration at 50 mol% (
Figure 9).
The rate of the leaching correlated well with the content of H
2SO
4·
nH
2O particles in the solution both in the linear section (where
k is directly proportional to
C0) and in the decaying section at
C0 > 50 mol%, as can be seen from the comparison of
Figure 8 and
Figure 9.
To confirm the hypothesis about the difference in the properties of H
2SO
4·
nH
2O and H
2SO
4, we performed the quantum chemical calculations using the Gaussian 09W software package. The calculations were made in the framework of density functional theory using the B3LYP functional and basic sets of atomic functions 6 − 31 + G (d, p) [
69,
70]. As calculations showed, the hydrates H
2SO
4·H
2O and H
2SO
4·2H
2O can be represented in the form of coordination compounds [SO(OH)
4]
0 and [S(OH)
6]
0, where sulfur atoms are surrounded by five and six oxygen atoms, respectively. The stability of such structures allows us to suggest the possibility of the coordination of a sulfuric acid molecule on the oxide surface of mineral raw materials through a sulfur atom (its effective charge is +2.545) with the formation of coordination bonds of the form O
2−···S(VI) with the participation of vacant d-orbitals of the sulfur atom. Two methods of coordination on the surface of the solid reagent are more probable for sulfuric acid hydrates when the coordination sphere of the sulfur atom is saturated: (i) with the formation of a hydrogen bond between the oxygen atoms on the surface of the oxide mineral and the hydrogen atoms in H
2SO
4·
nH
2O particles and (or) (ii) with the formation of coordination bonds between metal cations on the surface of the oxide mineral and oxygen atoms in H
2SO
4·
nH
2O particles. According to the theory of the transition state, a change in the structure of the activated complex during a chemical transformation will necessarily affect its direction and speed. Therefore, the different coordination of the molecules of sulfuric acid and its hydrates on the surface of the oxide mineral well explains the experimentally observed fact of a decrease in the rate of chemical decomposition of ilmenite in highly concentrated solutions of sulfuric acid.
3.3. Chemical Activation of the Raw Material via NaF Addition
In addition to the concentration of sulfuric acid, within the framework of the idea of the chemical activation of the process, we also considered the effect of fluoride ions on the efficiency of acid leaching.
A fluoride leaching method is one of the alternative and prospective methods for the processing of titanium-bearing materials. It seems interesting to research the effect of the addition of fluoride ions into the reaction mixture. As is known, the fluorides can actively interact with iron and titanium oxides. Sodium fluoride was utilized as a fluoride precursor. The process was carried out in a Teflon reactor with a hermetically sealed lid to reduce the loss of fluoride ions due to the evaporation of hydrogen fluoride. The experiments showed a regular increase in the rate of leaching with an increase in the content of fluoride ions. The results of the kinetic studies are presented in
Figure 10.
At the beginning of the leaching process, all curves retained the shape of convex curves and after that, the data became linear. An increase in the weight of a sample of sodium fluoride led to a regular increase in the titanium extraction degree into solution, as shown in
Figure 10. It was found that the addition of sodium fluoride to the ilmenite sample in the mass ratio of 1:1 increased the degree of titanium extraction by almost six times after 60 min of leaching.
The photography of the sludge obtained during the leaching by the sulfate-fluoride method is presented in
Figure 11. The sludge contained components of ilmenite concentrate that did not dissolve in sulfuric acid during the leaching process. Holes and recesses were visible on the sample surface and can be explained by the formation of gaseous HF bubbles. The speed of the process at the interface between such bubbles and ilmenite particles can be controlled by both the reaction rate and the rate of reagent diffusion into the reaction zone.
3.4. Influence of Temperature on the Leaching Process
The results of our kinetic study in the temperature range of 100–200 °C are presented in
Figure 12 and
Figure 13. The experiments were carried out in the isothermal conditions with a mass ratio of ilmenite:sulfuric acid = 1:2 and at the initial concentration of sulfuric acid solutions of 85 wt%.
The titanium leaching degree was calculated as the ratio of the amount of titanium transferred to the solution to its content in ilmenite concentrate in the form of pseudorutile, pseudobrookite, and ilmenite. Titanium dioxide in rutile form (23.5 wt%,
Figure 3) was considered as a ballast substance due to its insolubility in sulfuric acid and, therefore, was not taken into account in the calculations.
It was found that all of the investigated dependences
X(
t) had the form of convex curves on the initial sections and these curves were well approximated by straight lines since the moment of solidification of the reaction mixture. A decrease in the degree of titanium extraction was observed on the
X(
t) plots for 190 and 200 °C after 150 and 120 min (
Figure 13).
There was a similar effect for non-altered ilmenites, where the main component of FeTiO
3 was also described [
14,
17,
71]. Obviously, the reason for the decrease in the degree of titanium extraction at 200 °C was not due to some individual chemical properties of the pseudorutile (Fe
2Ti
3O
9), but the properties of the final product (titanium sulfate salts) of the researched process. According to the well-known data on the solubility of titanium(IV) sulfate salts [
61], the dominant form is the Ti(SO
4)
2 salt at 200 °C in 85% acid. This salt, among all known titanium sulfate salts, is soluble in both water and dilute acid solutions. Such increased solubility is well explained by the rapid conversion in the water presence of the Ti(IV) cation to the titanyl cation TiO
2+. Therefore, it is obvious that the formation of Ti(SO
4)
2 does not explain the decrease in the titanium content in the solution during sulfuric acid leaching of the ilmenite concentrate. The problem can be solved by the concentration of sulfuric acid where the latter is continuously reduced due to its consumption in the reaction and the release of water during the reaction between pseudorutile and sulfuric acid.
According to the solubility polytherm of the TiO
2–SO
3–H
2O system, the anhydrous TiOSO
4 salt becomes the dominant form under equilibrium conditions with a decrease in the acid concentration during the leaching [
61]. This salt is insoluble not only in concentrated sulfuric acid, but also in its diluted solutions. Thus, the sequential formation of two salts of Ti(SO
4)
2 and TiOSO
4 is possible in the leaching process at 200 °C [
72]. These salts can precipitate as the titanium content in the solution increases.
Ti(IV) ions belong to the group of cations with a low degree of lability according to the chemistry of coordination compounds. It is believed that the large positive charge of the titanium cation and its relatively small radius increases the activation energy of the substitution reaction, which reduces the rate of exchange of intra-sphere ligands to other ligands from the external environment of the solution. It can be assumed that the ligand exchange rate in the coordination sphere of Ti(IV) ions noticeably increases with an increase in the temperature of more than 190 °C. This contributes to the transition of the Ti(IV)–H2O–H2SO4 system from a metastable to a true equilibrium state with the formation of the low-soluble polynuclear sulfate complexes of titanium. Thus, the observed effect of a decrease in the titanium extraction degree at 200 °C can be well explained by the polymerization of TiO2+ ions with the participation of bridging SO4-bonds. The temperature range for the existence of the TiOSO4 salt extends to 140 °C, according to the solubility polytherm of the TiO2–SO3–H2O system and therefore it is not clear why the irreversible polymerization of TiOSO4 is not observed at temperatures below 200 °C. A possible explanation for this effect is that the polymerization proceeds relatively slowly and the insoluble form of TiOSO4 does not have time to form in noticeable amounts in 30 min.
In addition, the effect of temperature on the titanium leaching process from rutile with the addition of sodium fluoride into the sulfuric acid solution was studied. The experiments were performed under isothermal conditions in the temperature range from 70 to 165 °C, and with the molar ratio of Ti:F = 1:2 and a H
2SO
4 concentration of 85 wt% (
Figure 14).
As can be seen from
Figure 14, the highest titanium leaching degree with increasing temperature was achieved during the leaching process at 100 °C. The low titanium degree into the solution at 165 °C can be explained by the fact that in the acidic environment, the fluoride ions are preferably bound to HF molecules and consequently quickly evaporate from the reaction mixture. As is known, an azeotropic mixture with a HF concentration of 37.5% and a boiling point of 109 °C is formed at the heating of HF solutions. Therefore, increasing the temperature above 100 °C intensifies the evaporation process of HF. This leads to the decrease in the fluoride ion concentration in the reaction mixture.
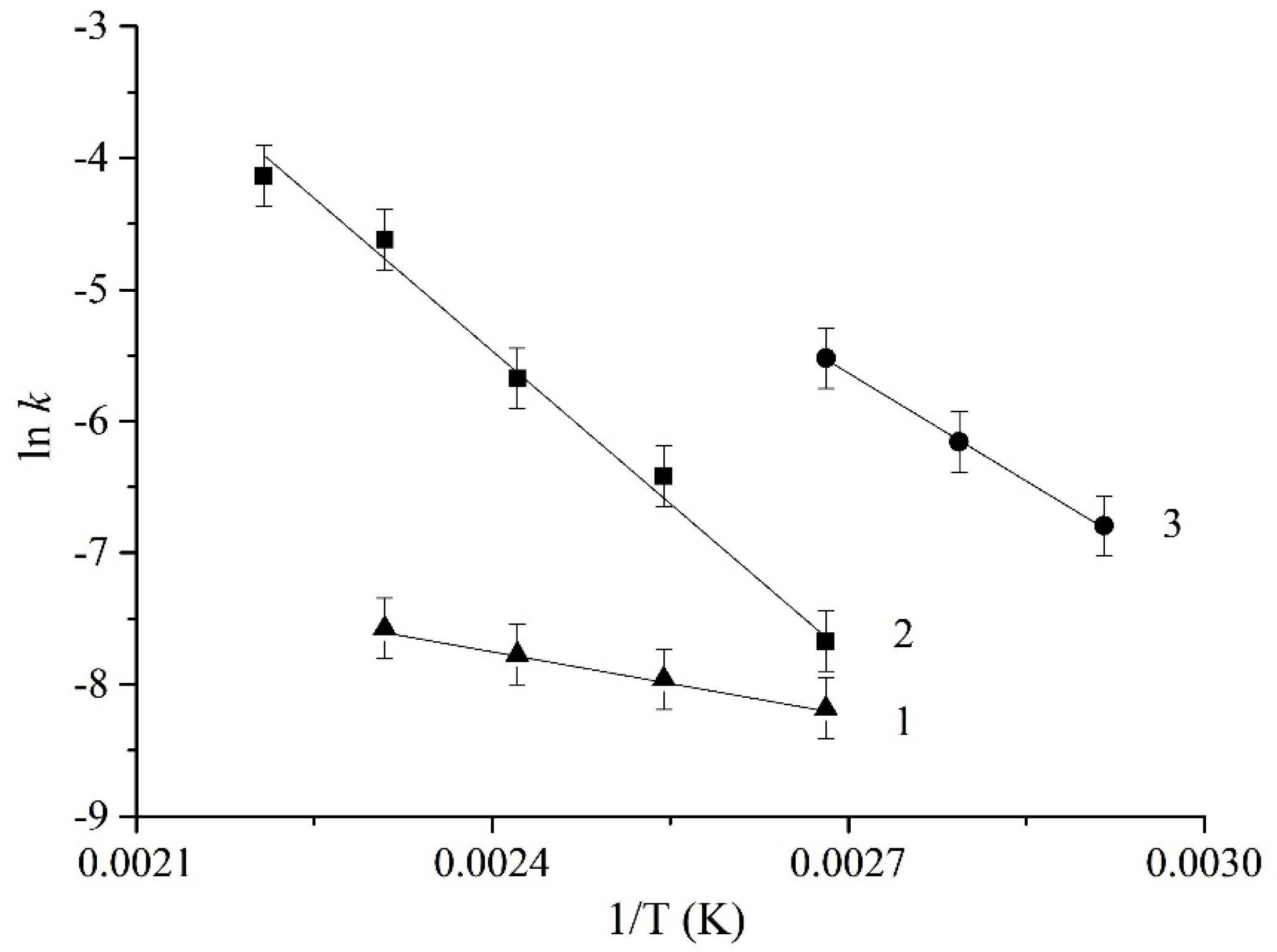
3.5. Determination of the Activation Energy of the Leaching Process
The rate constants
k1 and
k2 were calculated using Equations (7) and (8) and the data in
Figure 12 and
Figure 14. The calculation results are shown in
Figure 15 in the coordinates of the Arrhenius equation.
The activation energies were calculated on the slope of the obtained linear dependences lnk(1/T) (in kJ/mol): 62.8 for the first stage of the leaching process of altered ilmenite, 13.3 for the second stage, and 45.2 for the leaching process of altered ilmenite with the addition of NaF. The influence of fluorides in the second stage of the leaching process was not investigated because the solidification of the reaction mixture with the addition of fluorides did not occur under the experimental conditions.
Thus, the intensification of the leaching of the altered ilmenite is possible in the case of a short grinding of ore raw materials, maintaining the concentration of sulfuric acid not higher than 85 wt%, adding fluorides to the leaching reactor, and carrying out the process at the temperature not higher than 190 °C.
4. Conclusions
It was first experimentally proven that the phase composition of ilmenite concentrate changed qualitatively and quantitatively during the grinding process. The quantitative x-ray phase analysis showed the content of ilmenite (5.3%), rutile (4.5%), and pseudorutile (90.2%) in the test sample of ilmenite concentrate before grinding. The content of ilmenite and pseudorutile was decreased to 3.1 and 63.1%, respectively, while the content of rutile increased to 28.7% and the phase of pseudobrukite appeared in the amount of 5.1% after grinding for 2 h. It was found that the modification of raw material by sulfuric acid led to the increase in the decomposition rate, and at the same time, a decrease when the ore was utilized due to an increase in the insoluble TiO2 content.
For the first time, it was shown for the altered ilmenite that the use of sulfuric acid solutions with a concentration of more than 85 wt% leads to a sharp decrease in the rate constant of the process of the sulfuric acid leaching of titanium. A linear dependence was found between the observed constants of the rate of chemical dissolution of the mineral raw materials and the concentrations of sulfuric acid solutions up to a concentration of 85 wt%. The rate constant decreases sharply with a further increase in the acid concentration, which can be explained by a decrease in the content of particles in the sulfuric acid solution that are directly involved in the chemical dissolution of ilmenite in the framework of the “contracting sphere” model. The optimal acid concentration for the leaching process is 85 wt%. It was suggested that such a reagent in sulfuric acid solutions should be considered not only for H2SO4 molecules, but its hydrates H2SO4·nH2O, which form activated complexes with a different structure on the surface of the dissolved minerals when compared with the sulfuric acid molecules.
The possibility of intensifying the leaching process of the altered ilmenite due to the addition of fluorides is first described. This possibility opens up the prospects for increasing the efficiency of processing altered ilmenite by the hydrometallurgical method. The addition of sodium fluoride to the ilmenite sample, for example, in a mass ratio of 1:1 increased the degree of titanium extraction by almost six times in 60 min of leaching.
The X(t) dependences on the initial sections had the form of convex curves, and the curves were well approximated by straight lines from the moment the reaction mixture solidified. A kinetic study of the altered ilmenite leaching in the temperature range of 100–200 °C was carried out. It was first shown that the efficiency of the titanium extraction in the acid leaching process of the altered ilmenite was decreased at a temperature above 190 °C. The titanium losses approached 60% after 180 min of acid processing at 200 °C. The observed regularities can be well explained by the formation of the TiOSO4 polymer that is insoluble in acids.
The “contracting sphere” model is well suited for the modeling of the sulfuric acid leaching of the altered ilmenite. The acid processing of the ilmenite concentrate should be considered as a two-stage process as was proven. The activation energies were 62.5 kJ/mol per titanium at the first stage of the process and 13.5 kJ/mol per titanium at the second stage of the sulfuric acid leaching of the altered ilmenite. The addition of NaF into the reaction mixture made it possible to reduce the activation energy to 45 kJ/mol, which allowed us to consider sodium fluoride as an activator of the ore raw materials in sulfuric acid leaching.
The optimal conditions of the altered ilmenite leaching were also determined. The concentration of sulfuric acid has to be not higher than 85 wt%, the process temperature has to be less than 190 °C, and the addition of sodium fluoride to the reaction mixture in a mass ratio has to be Ti:F = 1:1.