Aillikites and Alkali Ultramafic Lamprophyres of the Beloziminsky Alkaline Ultrabasic-Carbonatite Massif: Possible Origin and Relations with Ore Deposits
Abstract
1. Introduction
2. Geological Situation
3. Samples
4. Methods
5. Age
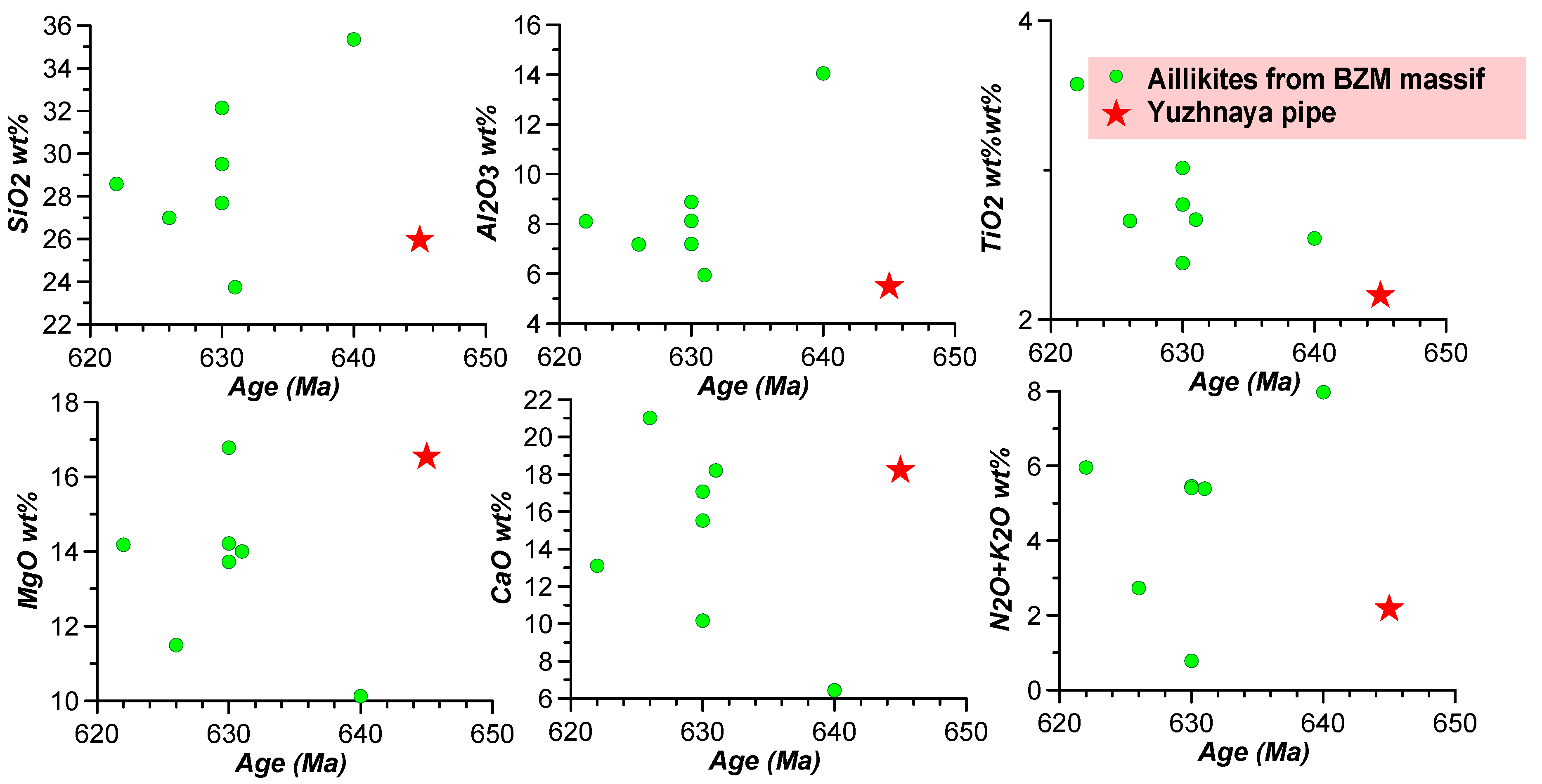
6. Whole-Rock Compositions
6.1. Major Element Compositions
6.2. Rare Elements for Bulk Rock Composition
7. Compositions of the Minerals
7.1. Variations of Major Elements in Minerals
7.2. Rare Elements of Minerals from Yuzhnaya Pipe
7.3. The Spectra of Rare Elements in Minerals of Aillikites of BZM
8. Mineral Thermobarometry
9. Discussion
9.1. Reasons for Variations of Bulk Rock Compositions
9.2. Reasons of Variations of Mineral Compositions
9.3. Problems of Origin of Aillikites and Ultramafic Lamprophyres
9.4. Mantle Roots of the Alkaline Ultramafic Carbonatitic Massifs in Southern Siberia
9.5. Processes in Mantle Source for BZM and Evolution of Aillikite Melts
9.6. The Source of the Ore Substance
10. Conclusions
- Aillikites from BZM complex containing primary mantle material as xenocrysts are characterized by a wide range of compositions from ijolites to Phl carbonatites.
- The mantle xenocrysts give the pressures of the aillikite origin >4.0 GPa and the PT path corresponding to convective 90 mW/m2 geotherm and probably separate magma chambers near Moho and above.
- Deep-seated minerals in mantle level were originally enriched in HFSE and LILE.
- Additional enrichment of aillikites in ore minerals occurred due to mixing with carbonatites.
Supplementary Materials
Author Contributions
Funding
Acknowledgments
Conflicts of Interest
References
- Rock, N.M.S. Lamprophyres; Springer: Berlin, Germany, 1991; 224p. [Google Scholar]
- Francis, D.; Patterson, M. Kimberlites and aillikites as probes of the continental lithospheric mantle. Lithos 2009, 109, 72–80. [Google Scholar] [CrossRef]
- Pirajno, F. Intracontinental anorogenic alkaline magmatism and carbonatites, associated mineral systems and the mantle plume connection. Gondwana Res. 2015, 27, 1181–1216. [Google Scholar] [CrossRef]
- Woolley, A.R.; Kjarsgaard, B.A. Paragenetic types of carbonatite as indicated by the diversity and relative abundances of associated silicate rocks: Evidence from a global database. Can. Mineral. 2008, 46, 741–752. [Google Scholar] [CrossRef]
- Smith, C.B.; Haggerty, S.E.; Chatterjee, B.; Beard, A.; Townend, R. Kimberlite, lamproite, ultramafic lamprophyre, and carbonatite relationships on the Dharwar Craton, India; an example from the Khaderpet pipe, a diamondiferous ultramafic with associated carbonatite intrusion. Lithos 2013, 182–183, 102–113. [Google Scholar] [CrossRef]
- Vladykin, N.V. Potassium alkaline lamproite-carbonatite complexes: Petrology, genesis, and ore reserves. Russ. Geol. Geophys. 2009, 50, 1119–1128. [Google Scholar] [CrossRef]
- Tappe, S.; Foley, S.F.; Jenner, G.A.; Heaman, L.M.; Kjarsgaard, B.A.; Romer, R.L.; Stracke, A.; Joyce, N.; Hoefs, J. Genesis of ultramafic lamprophyres and carbonatites at Aillik Bay, Labrador: A consequence of incipient lithospheric thinning beneath the North Atlantic craton. J. Petrol. 2006, 47, 1261–1315. [Google Scholar] [CrossRef]
- Yunshuai Li, Y.; Zhang, J.; Mostofa, K.M.G.; Wang, Y.; Yu, S.; Cai, Z.; Lia, P.; Zhou, G.; Fu, C.; Mao, X. Petrogenesis of carbonatites in the Luliangshan region, North Qaidam, northern Tibet, China: Evidence for recycling of sedimentary carbonate and mantle metasomatism within a subduction zone. Lithos 2018, 322, 148–165. [Google Scholar]
- Torsvik, T.H.; Cocks, L.R.M. Earth History and Paleogeography; Cambridge University Press: Cambridge, UK, 2016; 317p. [Google Scholar]
- Yarmolyuk, V.V.; Kovalenko, V.I.; Sal’nikova, E.B.; Nikiforov, A.V.; Kotov, A.B.; Vladykin, N.V. Late., Late Riphean Rifting and Breakup of Laurasia: Data on Geochronological Studies of Ultramafic Alkaline Complexes in the Southern Framing of the Siberian Craton. Doklady Earth Sci. 2005, 404, 1031–1036. [Google Scholar]
- Cordeiro, P.F.O.; Brod Jos, A.; Dantas, E.L.; Barbosa, E.S.R. Mineral chemistry, isotope geochemistry and petrogenesis of niobium-rich rocks from the Catalo I carbonatite-phoscorites complex, Central Brazil. Lithos 2010, 118, 223–237. [Google Scholar] [CrossRef]
- Chmyz, L.; Arnaud, N.; Biondi, J.C.; Azzone, R.G.; Bosch, D. Hf-Pb isotope and trace element constraints on the origin of the Jacupiranga Complex (Brazil): Insights into carbonatite genesis and multi-stage metasomatism of the lithospheric mantle. Gondwana Res. 2019, 71, 16–27. [Google Scholar] [CrossRef]
- Tappe, S.; Branda, N.B.; Stracke, A.; van Acken, D.; Liu, C.-Z.; Strauss, H.; Wue, F.-Y.; Lugue, A.; Mitchell, R.H. Plates or plumes in the origin of kimberlites: U/Pb perovskite and Sr-Nd-Hf-Os-C-O isotope constraints from the Superior craton (Canada). Chem. Geol. 2017, 20, 57–58. [Google Scholar] [CrossRef]
- D’Orazio, M.; Innocenti, F.; Tonarini, S. Doglioni, Carbonatites in a subduction system: The Pleistocene alvikites from Mt. Vulture (southern Italy). Lithos 2007, 98, 313–334. [Google Scholar] [CrossRef]
- Mattsson, H.B.; Karin, H.; Carlsson, M.; Malehmir, M. The role of mafic dykes in the petrogenesis of the Archean Siilinjärvi carbonatite complex, east-central Finland. Lithos 2019, 342–343, 468–479. [Google Scholar] [CrossRef]
- Berger, M.; Rollinson, H. Isotopic and geochemical evidence for crust-mantle interaction during late Archaean crustal growth. Geochim. Cosmochim. Acta 1997, 61, 4809–4829. [Google Scholar] [CrossRef]
- Nicklas, R.W.; Puchtel, I.S.; Ash, R.D.; Piccoli, P.M.; Anbar, D. Secular mantle oxidation across the Archean-Proterozoic boundary: Evidence from V partitioning in komatiites and picrites. Geochim. Cosmochim. Acta 2019, 2501, 49–75. [Google Scholar] [CrossRef]
- Woodard, J.; Huhma, H. Paleoproterozoic mantle enrichment beneath the Fennoscandian Shield: Isotopic insight from carbonatites and lamprophyres. Lithos 2015, 236–237, 311–323. [Google Scholar] [CrossRef]
- Dongre, A.; Tappe, S. Kimberlite and carbonatite dykes within the Premier diatreme root (Cullinan Diamond Mine, South Africa): New insights to mineralogical-genetic classifications and magma CO2 degassing. Lithos 2019, 338–339, 155–173. [Google Scholar] [CrossRef]
- Nielsen, T.F.D.; Jensen, S.M.; Secher, K.; Sand, K.K. Distribution of kimberlite and aillikite in the Diamond Province of southern West Greenland: A regional perspective based on groundmass mineral chemistry and bulk compositions. Lithos 2009, 112 (Suppl. 1), 358–378. [Google Scholar] [CrossRef]
- Yarmolyuk, V.V.; Kuzmin, M.I.; Ernst, R.E. Intraplate geodynamics and magmatism in the evolution of the Central Asian Orogenic Belt. J. Asian Earth Sci. 2014, 93, 158–179. [Google Scholar] [CrossRef]
- Beard, A.D.; Vetrin, V.; Kempton., D.; Maluskid, H. Petrogenesis of Devonian lamprophyre and carbonatite minor intrusions, Kandalaksha Gulf (Kola Peninsula, Russia). Lithos 1996, 39, 93–119. [Google Scholar] [CrossRef]
- Hutchison, M.T.; Faithfull, J.W.; Barfod, D.N.; Hughes, J.W.; Upton, B.G.J. The mantle of Scotland viewed through the Glen Gollaidh aillikite. Mineral. Petrol. 2019, 112, 115–132. [Google Scholar] [CrossRef]
- Maria, A.H.; Denny, B.F.; DiPietro, J.A.; Howard, K.F.; King, M.D. Geochemistry and Sr-Nd isotopic compositions of Permian ultramafic lamprophyres in the Reelfoot Rift – Rough Creek Graben, southern Illinois and northwestern Kentucky. Lithos 2019, 340–341, 191–201. [Google Scholar] [CrossRef]
- Kargin, A.V.; Golubeva, Y.Y.; Demonterova, E.I.; Koval’chuk, E.V. Petrographic-geochemical types of Triassic alkaline ultramafic rocks in the Northern Anabar province, Yakutia, Russia. Petrology 2017, 25, 535–565. [Google Scholar] [CrossRef]
- Krüger, J.C.; Romer, R.L.; Kämpf, H. Late Cretaceous ultramafic lamprophyres and carbonatites from the Delitzsch Complex, Germany. Chem. Geol. 2013, 353, 140–150. [Google Scholar] [CrossRef]
- Upton, B.G.J.; Craven, J.A.; Kirstein, L.A. Crystallisation of mela-aillikites of the Narsaq region, Gardar alkaline province, south Greenland and relationships to other aillikitic-carbonatitic associations in the province. Lithos 2006, 92, 300–319. [Google Scholar] [CrossRef]
- Pandey, R.; Pandey, A.; Chalapathi Rao, N.V.; Belyatsky, B.; Choudhary, A.K.; Lehmann, B.; Dinesh Pandit, D.; Dhote, P. Petrogenesis of end-Cretaceous/Early Eocene lamprophyres from the Deccan Large Igneous Province: Constraints on plume-lithosphere interaction and the post-Deccan lithosphere-asthenosphere boundary (LAB) beneath NW India. Lithos 2019, 346–347, 105–139. [Google Scholar] [CrossRef]
- Tappe, S.; Foley, S.F.; Kjarsgaard, B.A.; Romer, R.L.; Heaman, L.M.; Stracke, A.; Jenner, G.A. Between carbonatite and lamproite-diamondiferous Torngat ultramafic lamprophyres formed by carbonate-fluxed melting of cratonic MARID-type metasomes. Geochim. Et Cosmochim. Acta 2008, 72, 3258–3286. [Google Scholar] [CrossRef]
- Foley, S.F.; Pinter, Z. Primary melt compositions in the Earth’s mantle. In Magmas Under Pressure; Elsevier Inc.: Amsterdam, The Netherlands, 2018; pp. 3–42. [Google Scholar]
- Kargin, A.V.; Nosova, A.A.; Postnikov, A.V.; Chugaev, A.V.; Postnikova, O.V.; Popova, L.P.; Poshibaev, V.V.; Sazonova, L.V.; Dokuchaev, A.Y.; Smirnova, M.D. Devonian ultramafic lamprophyre in the Irkineeva-Chadobets trough in the southwest of the Siberian Platform: Age, composition, and implications for diamond potential prediction. Geol. Ore Depos. 2016, 58, 383–384. [Google Scholar] [CrossRef]
- Zaitzev, A.N.; Willaims, T.; Jeffries, T.; Strekopytov, S.; Moutte, J.; Ivashchenkova, O.V.; Spratt, J.; Petrov, S.V.; Wall, F.; Seltmann, R.; et al. Rare earth elements in phoscorites and carbonatites of the Devonian Kola Alkaline Province, Russia: Examples from Kovdor, Khibina, Vuoriyarvi and Turiy Mys complexes. Ore Geol. Rev. 2014, 61, 204–225. [Google Scholar] [CrossRef]
- Nosova, A.A.; Sazonova, L.V.; Kargin, A.V.; Smirnova, M.D.; Lapin, A.V.; Shcherbakov, V.D. Olivine in ultramafic lamprophyres: Chemistry, crystallisation, and melt sources of Siberian Pre-and post-trap aillikites. Contrib. Mineral. Petrol. 2018, 173, 55. [Google Scholar] [CrossRef]
- Bagdasarov, Y.A. Phosphate-rare metal carbonatites of the Belaya Zima Massif (Eastern Sayan, Russia). Geol. Ore Depos. 2002, 44, 132–141. [Google Scholar]
- Kolesnikov, A.V.; Anisimova, Z.M. Geological Map of USSR. List N-47-XXIII; Irkutsk geological Department: Irkutsk, Russia, 1961. [Google Scholar]
- Frolov, A.; Belov, S.V. Complex carbonate deposits of the Ziminsky ore district (East Sayan, Russia). Geol. Ore Depos. 1999, 41, 109–130. [Google Scholar]
- Pozharitskaya, L.K.; Samoilov, V.S. Petrologiya, mineralogiya, I geokhimiya karbonatitov Vostochnoi Sibiri (Petrology, Mineralogy and Geochemistry of Carbonatites from East Siberia); Nauka: Moscow, Russia, 1972; 254p. [Google Scholar]
- Doroshkevich, A.G.; Veksler, I.V.; Izbrodin, I.A.; Ripp, G.S.; Khromova, E.A.; Posokhov, V.F.; Travin, A.V.; Vladykin, N.V. Stable isotope composition of minerals in the Belaya Zima plutonic complex, Russia: Implications for the sources of the parental magma and metasomatizing fluids. J. Asian Earth Sci. 2016, 116, 81–96. [Google Scholar] [CrossRef]
- Doroshkevich, A.G.; Veksler, I.V.; Klemd, R.; Khromova, E.A.; Izbrodin, I.A. Trace-element composition of minerals and rocks in the Belaya Zima carbonatite complex (Russia): Implications for the mechanisms of magma evolution and carbonatite formation. Lithos 2017, 284–285, 91–108. [Google Scholar] [CrossRef]
- Chernysheva, E.A.; Konusova, V.V.; Smirnova, E.V.; Chuvashova, L.A. Differentiation of rare-earth elements in alkaline rocks of the low-lying carbonite complex. Dokl. USSR Acad. Sci. 1989, 305, 438–442. [Google Scholar]
- Andreeva, I.A.; Kovalenko, V.I.; Nikiforov, A.V.; Kononkova, N.N. Compositions of magmas, formation conditions, and genesis of carbonate-bearing ijolites and carbonatites of the Belaya Zima alkaline carbonatite complex, Eastern Sayan. Petrology 2007, 15, 551–574. [Google Scholar] [CrossRef]
- Chernysheva, E.A.; Belozerova, O.Y. Composition of deep-seated xenoliths from melilitites and certain characteristics of primary alkaline melt evolution in Nizhnesaynsky carbonatite complex. Geochemistry 2000, 7, 785–789. [Google Scholar]
- Travin, A.V.; Ashchepkov, I.V.; Udin, D.; Prostyakov, K. Laser and stepwise-heating 40Ar/39Ar dating of kimberlite-like rocks from Sayan Foothills and peripheral part of the Siberian platform. In Proceedings of the 12th Annual, V.M. Goldschmidt Conference, Davos, Switzerland, 18–23 August 2002. A783. [Google Scholar]
- Bagdasarov, Y.A.; Zhuravlev, D.Z. Neodymium and Strontium Isotope Composition in the Ores of the Ingili-Algama Cluster, East Aldan, and Problems of their Genesis. Geochem. Int. 1994, 11, 1668–1673. [Google Scholar]
- Sharygin, V.V.; Doroshkevich, A.G.; Khrolmova, E.A. Nb-Fe-group minerals zirconolite in calcium Beloziminsky carbonatite massif (East Sayan). Mineralogy 2016, 4, 3–18. [Google Scholar]
- Khromova, E.A.; Doroshkevich, A.G.; Sharygin, V.V.; Izbrodin, L.A. Compositional Evolution of pyrochloree-Group Minerals in Carbonatites of the Belaya Zima Pluton, Eastern Sayan. Geol. Ore Depos. 2017, 59, 752–764. [Google Scholar] [CrossRef]
- Panina, L.I.; Rokosova, E.; Isakova, A.T.; Tolstov, A.V. Trace Elements in Alkaline Lamprophyres, Clinopyroxene, and Amphibole of the Tomtor Massif and the Ore Potential of the Melts. Geochem. Int. 2018, 56, 651–669. [Google Scholar] [CrossRef]
- Gladkochub, D.P.; Donskaya, T.V.; Ernst, R.; Mazukabzov, A.M.; Sklyarov, E.V.; Pisarevsky, S.A.; Wingate, M.; Suderlund, U. Proterozoic basic magmatism of the Siberian Craton: Main stages and their geodynamic interpretation. Geotectonis 2012, 46, 273–288. [Google Scholar] [CrossRef]
- Nozhkin, A.D.; Borisenko, A.S.; Nevol’ko, P.A. Stages of Late Proterozoic magmatism and periods of Au mineralization in the Yenisei Ridge. Russ. Geol. Geophys. 2011, 52, 124–143. [Google Scholar] [CrossRef]
- Vernikovskaya, A.E.; Datsenko, V.M.; Vernikovsky, V.A.; Matushkin, N.Y.; Laevsky, Y.M.; Romanova, I.V.; Travin, A.V.; Voronin, K.V.; Lepekhina, E.N. Magmatism evolution and carbonatite-granite association in the neoproterozoic active continental margin of the Siberian craton: Thermochronological reconstructions. Dokl. Earth Sci. 2013, 448, 161–167. [Google Scholar] [CrossRef]
- Gladkochub, D.A.; Pisarevsky, S.A.; Donskaya, T.V.; Ernst, R.E.; Hanes, J.A. Proterozoic mafic magmatism in Siberian craton: An overview and implications for paleocontinental reconstruction. Precambrian Res. 2010, 183, 660–668. [Google Scholar] [CrossRef]
- Andreeva, I.A.; Kovalenko, V.I.; Kononkova, N.N. Chemical composition of the magmas (melt inclusions) of melilite-bearing nephelinite of the Belaya Zima carbonatite complex (Eastern Sayan). Dokl. Earth Sci. 2004, 394, 518–522. [Google Scholar]
- Minaeva, Y.A.; Egorov, K.N. Mineralogy and Petrography of a Kimberlite-Picrite Dike in the Northwestern Urik-Iya Graben, the Eastern Sayan Region. Geol. Ore Depos. 2009, 51, 565–576. [Google Scholar] [CrossRef]
- Lavrent’ev, Y.G.; Korolyuk, V.N.; Usova, L.V.; Logvinova, A.M. Electron probe microa-nalysis of pyrope for nickel traces as applied to study of the geothermometry of peridotites. Russ. Geol. Geophys. 2006, 47, 1075–1078. [Google Scholar]
- Ashchepkov, I.V.; Andre, L.; Downes, H.; Belyatsky, B.A. Pyroxenites and megacrysts from Vitim picrite-basalts (Russia): Polybaric fractionation of rising melts in the mantle? J. Asian Earth Sci. 2011, 42, 14–37. [Google Scholar] [CrossRef]
- Travin, A.V.; Yudin, D.S.; Vladimirov, A.G.; Khromykh, S.V.; Volkova, N.I.; Mekhonoshin, A.S.; Kolotilina, T.B. Thermochronology of the Chernorud granulite zone, Ol’khon Region, Western Baikal area. Geochem. Int. 2009, 47, 1107–1124. [Google Scholar] [CrossRef]
- Tappe, S.; Foley, S.F.; Stracke, A.; Romer, R.L.; Kjarsgaard, B.A.; Heaman, L.M.; Joyce, N. Craton reactivation on the Labrador Sea margins: 40Ar/39Ar age and Sr–Nd–Hf–Pb isotope constraints from alkaline and carbonatite intrusives. Earth Planet. Sci. Lett. 2007, 256, 433–454. [Google Scholar] [CrossRef]
- Skublov, S.G.; Tolstov, A.V.; Baranov, L.N.; Melnik, A.E.; Levashova, E.V. First data on the geochemistry and U-Pb age of zircons from the kamaphorites of the Tomtor alkaline-ultrabasic massif, Arctic Yakutia First data on the geochemistry and U-Pb age of zircons from the kamaphorites of the Tomtor alkaline-ultrabasic massif, Arctic Yakutia. Geochemistry 2020, in press. [Google Scholar] [CrossRef]
- Lazareva, E.V.; Zhmodik, S.M.; Dobretsov, N.L.; Tolstov, A.V.; Schcherbov, B.L.; Karmanov, N.S.; Gerasimov, E.Y.; Bryanskaya, A.V. Main minerals of abnormally highgrade ores of the Tomtor deposit. Russ. Geol. Geophys. 2015, 56, 844–873. [Google Scholar] [CrossRef]
- Ford, C.E.; Russell, D.G.; Craven, J.A.; Fisk, M.R. Olivine-liquid equilibria: Temperature, pressure and composition dependence of the crustal/liquid cation partition coefficients for Mg, Fe2+, Ca and Mn. J. Petrology 1983, 24, 256–265. [Google Scholar] [CrossRef]
- McDonough, W.F.; Sun, S.S. The Composition of the Earth. Chem. Geol. 1995, 120, 223–253. [Google Scholar] [CrossRef]
- O’Reilly, S.Y.; Griffin, W.L. A xenolith-derived geotherm for southeastern Australia and its geophysical implications. Tectonophysics 1985, 111, 41–63. [Google Scholar] [CrossRef]
- Lindsley, D.H.; Dixon, S.A. Diopside_enstatite equilibria at 850–1400 °C, 5–35 kbar. Science 1976, 276, 1285–1301. [Google Scholar]
- Manuella, F.C.; Ottolini, L.; Carbone, C.; Scavo, L. Metasomatizing effects of serpentinization-related hydrothermal fluids in abyssal peridotites: New contributions from Hyblean peridotite xenoliths (southeastern Sicily). Lithos 2016, 2641, 405–421. [Google Scholar] [CrossRef]
- Naumov, V.B.; Kamenetsky, V.S.; Thomas, R.; Kononkova, N.N.; Ryzhenko, B.N. Inclusions of silicate and sulfate melts in chrome diopside from the Inagli deposit, Yakutia, Russia. Geochem. Int. 2008, 46, 554–564. [Google Scholar] [CrossRef]
- Giuliani, A.; Phillips, D.; Kamenetsky, V.S.; Goemann, K. Constraints on kimberlite ascent mechanisms revealed by phlogopite compositions in kimberlites and mantle xenoliths. Lithos 2016, 240–243, 189–200. [Google Scholar] [CrossRef]
- Wyatt, B.A.; Baumgartner, M.; Anckar, E.; Grutter, H. Compositional classification of “kimberlitic” and “non-kimberlitic” ilmenite. Lithos 2004, 77, 819–840. [Google Scholar] [CrossRef]
- Evensen, N.M.; Hamilton, P.J.; O’Nions, R.K. Rare-earth abundances in chondritic meteorites. Geochim. Cosmochim. Acta 1978, 42, 1199–1212. [Google Scholar] [CrossRef]
- Nimis, P.; Taylor, W. Single clinopyroxene thermobarometry for garnet peridotites. Part, I. Calibration and testing of a Cr-in-Cpx barometer and an enstatite-in-Cpx thermometer. Contrib. Mineral. Petrol. 2000, 139, 541–554. [Google Scholar] [CrossRef]
- Ashchepkov, I.V.; Pokhilenko, N.P.; Vladykin, N.V.; Logvinova, A.M.; Kostrovitsky, S.I.; Afanasiev, V.P.; Pokhilenko, L.N.; Kuligin, S.S.; Malygina, L.V.; Alymova, N.V.; et al. Structure and evolution of the lithospheric mantle beneath Siberian craton, thermobarometric study. Tectonophysics 2010, 485, 17–41. [Google Scholar] [CrossRef]
- Ashchepkov, I.V.; Vladykin, N.N.; Ntaflos, T.; Kostrovitsky, S.I.; Prokopiev, S.A.; Downes, H.; Smelov, A.P.; Agashev, A.M.; Logvinova, A.M.; Kuligin, S.S.; et al. Layering of the lithospheric mantle beneath the Siberian Craton: Modeling using thermobarometry of mantle xenolith and xenocrysts. Tectonophysics 2014, 634, 55–75. [Google Scholar] [CrossRef]
- Ashchepkov, I.V.; Ntaflos, T.; Logvinova, A.M.; Spetsius, Z.V.; Vladykin, N.V. Monomineral universal clinopyroxene and garnet barometers for peridotitic, eclogitic and basaltic systems. Geosci. Front. 2017, 8, 775–795. [Google Scholar] [CrossRef]
- Ashchepkov, I. Single grain amphibole thermobarometer for mantle rocks. Geophys. Res. Abstr. 2017, 19, EGU2017–EGU3889. [Google Scholar]
- Zheng, Y.-F. Subduction zone geochemistry. Geosci. Front. 2019, 10, 1223–1254. [Google Scholar] [CrossRef]
- Watson, E.B.; Harrison, T.M. Zircon saturation revisited: Temperature and composition effects in a variety of crustal magma types. Earth Planet. Sci. Lett. 1983, 64, 295–304. [Google Scholar] [CrossRef]
- Hermann, J.; Rubatto, D. Accessory phase control on the trace element signature of sediment melts in subduction zones. Chem. Geol. 2009, 265, 512–552. [Google Scholar] [CrossRef]
- Perchuk, A.L.; Yapaskurt, V.O.; Griffin, W.L.; Shur, M.Y.; Gain, S.E.M. Three types of element fluxes from metabasite into peridotite in analogue experiments: Insights into subduction-zone processes. Lithos 2018, 302–303, 203–223. [Google Scholar] [CrossRef]
- Hart, S.R.; Dunn, T. Experimental cpx/melt partitioning of 24 trace elements. Contrib. Mineral. Petrol. 1993, 113, 1–8. [Google Scholar] [CrossRef]
- Kuzyura, A.V.; Litvin, Y.A.; Jeffries, T. Interface partition coefficients of trace elements in carbonate-silicate parental media for diamonds and paragenetic inclusions (experiments at 7.0-8.5 GPa). Russ. Geol. Geophys. 2015, 56, 221–231. [Google Scholar] [CrossRef]
- Tomlinson, E.L.; Jones, A.P.; Harris, J.W. Co-existing fluid and silicate inclusions in mantle diamond. Earth. Planet. Sci. Lett. 2006, 250, 581–595. [Google Scholar] [CrossRef]
- Nikiforov, A.V.; Yarmolyuk, V.V. Late Mesozoic carbonatite provinces in Central Asia: Their compositions, sources and genetic settings. Gondwana Res. 2019, 69, 56–72. [Google Scholar] [CrossRef]
- Rollinson, H.R. Using Geochemical Data: Evaluation, Presentation, Interpretation; Longman: Harlow, UK, 1993; 290p. [Google Scholar]
- De Paolo, D.J. Trace element and isotopic effects of combined wall rock assimilation and fractional crystallization. Earth Planet. Sci. Lett. 1981, 53, 189–202. [Google Scholar] [CrossRef]
- Woolley, A.R. The Alkaline Rocks and Carbonatites of the World. Part I: North and South America; University of Texas Press: Austin, TX, USA, 1987; 216p. [Google Scholar]
- Kogarko, L.N.; Kononova, V.A.; Orlova, M.P.; Woolley, A.R. The Alkaline Rocks and Carbonatites of the World. Part 2. Former USSR; Chapman & Hall: London, UK, 1995; 226p. [Google Scholar]
- Srivastava, R.K.; Chalapathi Rao, N.V.; Sinha, A.K. Cretaceous potassic intrusives with affinities to aillikites from Jharia area: Magmatic expression of metasomatically veined and thinned lithospheric mantle beneath Singhbhum Craton, Eastern India. Lithos 2009, 112, 407–418. [Google Scholar] [CrossRef]
- Foley, S.F.; Andronikov, A.V.; Melzer, S. Petrology of ultramafic lamprophyres from the Beaver Lake area of Eastern Antarctica and their relation to the breakup of Gondwanaland. Mineral. Petrol. 2002, 74, 361–384. [Google Scholar] [CrossRef]
- Secher, K.; Heaman, L.M.; Nielsen, T.F.D.; Jensen, S.M.; Schjøth, F.; Creaser, R.A. Timing of kimberlite, carbonatite, and ultramafic lamprophyre emplacement in the alkaline province located 64°–67° N in southern West Greenland. Lithos 2009, 112, 400–406. [Google Scholar] [CrossRef]
- Giebel, J.; Marks, M.A.W.; Gauert, C.D.K.; Markl, G. A model for the formation of carbonatite-phoscorite assemblages based on the compositional variations of mica and apatite from the Palabora Carbonatite Complex, South Africa. Lithos 2019, 324–325, 89–104. [Google Scholar] [CrossRef]
- Amelin, Y.; Zaitsev, A.N. Precise geochronology of phoscorites and carbonatites: The critical role of U-series disequilibrium in age interpretations. Geochim. Cosmochim. Acta 2002, 66, 2399–2419. [Google Scholar] [CrossRef]
- Lee, M.J.; Lee, J.I.; Garcia, D.; Moutte, J.; Williams, C.T.; Wall, F.; Kim, Y. Pyrochlore chemistry from the Sokli phoscorite-carbonatite complex, Finland: Implications for the genesis of phoscorite and carbonatite association. Geochem. J. 2006, 40, 1–13. [Google Scholar] [CrossRef]
- Ivanyuk, G.Y.; Kalashnikov, A.O.; Pakhomovsky, Y.A.; Mikhailova, J.A.; Yakovenchuk, V.N.; Konopleva, N.G.; Sokharev, V.A.; Bazai, A.V.; Goryainov, P.M. Economic minerals of the Kovdor baddeleyite-apatite-magnetite deposit, Russia: Mineralogy, spatial distribution and ore processing optimization. Ore Geol. Rev. 2016, 77, 279–311. [Google Scholar] [CrossRef]
- Chakhmouradian, A.R.; Reguir, E.P.; Zaitsev, A.N.; Couslan, C.; Xu, C.; Kynick, J.; Hamid Mumin, A.; Yanga, P. Apatite in carbonatitic rocks: Compositional variation, zoning, element partitioning and petrogenetic significance. Lithos 2017, 274–275, 188–213. [Google Scholar] [CrossRef]
- Klemme, S.; Dalpe, C. Trace-element partitioning between apatite and carbonatite melt. Am. Mineral. 2003, 88, 639–646. [Google Scholar] [CrossRef]
- Thomsen, T.B.; Schmidt, M.W. Melting of carbonated pelites at 2.5–5.0 GPa, silicate-carbonatite liquid immiscibility, and potassium-carbon metasomatism of the mantle. Earth Planet. Sci. Lett. 2008, 267, 17–31. [Google Scholar] [CrossRef]
- Brod, J.A.; Junqueir-Brod, T.C.; Gaspar, J.C.; Petrinovic, I.A.; de Castro Valente, S.; Corval, A. Decoupling of paired elements, crossover REE patterns, and mirrored spider diagrams: Fingerprinting liquid immiscibility in the Tapira alkaline–carbonatite complex, SE Brazil. J. South Am. Earth Sci. 2013, 41, 41–56. [Google Scholar] [CrossRef]
- Kjarsgaard, B.A. Phase relations of a carbonated high-CaO nephelinite at 0.2 and 0.5 Gpa. J. Petrol. 1998, 39, 2061–2075. [Google Scholar] [CrossRef]
- Veksler, I.V.; Dorfman, A.M.; Dulski, P.; Kamenetsky, V.S.; Danyushevsky, L.V.; Jeffries, T.; Dingwell, D.B. Partitioning of elements between silicate melt and immiscible fluoride, chloride, carbonate, phosphate and sulfate melts, with implications to the origin of natrocarbonatite. Geochim. Cosmochim. Acta 2012, 79, 20–40. [Google Scholar] [CrossRef]
- Martin, L.H.J.; Schmidt, M.W.; Mattsson, H.B.; Ulmer, P.; Hametner, K.; Guenther, D. Element partitioning between immiscible carbonatite-kamafugite melts with application to the Italian ultrapotassic suite. Chem. Geol. 2012, 321, 96–112. [Google Scholar] [CrossRef]
- Mitchell, R.H.; Dawson, J.B. Carbonate-silicate immiscibility and extremely peralkaline silicate glasses from Nasira cone and recent eruptions at Oldoinyo Lengai Volcano, Tanzania. Lithos 2012, 152, 40–46. [Google Scholar] [CrossRef]
- Saha, A.; Manikyamba, C.; Santosh, M.; Ganguly, S.; Khelen, A.C.; Subramanyam, K.S.V. Platinum Group Elements (PGE) geochemistry of komatiites and boninites from Dharwar Craton, India: Implications for mantle melting processes. J. Asian Earth Sci. 2015, 105, 300–319. [Google Scholar] [CrossRef]
- Rudnick, R.L.; McDonough, W.F.; Chappell, B.W. Carbonatite metasomatism in the northern Tanzanian mantle: Petrographic and geochemical characteristics. Earth Planet. Sci. Lett. 1993, 114, 463–475. [Google Scholar] [CrossRef]
- Veter, M.; Foley, S.F.; Mertz-Kraus, R.; Groschopf, N. Trace elements in olivine of ultramafic lamprophyres controlled by phlogopite-rich mineral assemblages in the mantle source. Lithos 2017, 292–293, 81–95. [Google Scholar] [CrossRef]
- Reguir, E.P.; Chakhmouradian, A.R.; Halden, N.M.; Malkovets, V.G.; Yang, P. Major and trace-element compositional variation of phlogopite from kimberlites and carbonatites as a petrogenetic indicator. Lithos 2009, 112, 372–384. [Google Scholar] [CrossRef]
- Sharygin, V.I.; Doroshkevich, A.G. Mineralogy of secondary olivine-hosted inclusions in calcite carbonatites of the Belaya Zima alkaline complex, Eastern Sayan, Russia: Evidence for late-magmatic Na-Ca-rich carbonate composition. J. Geol. Soc. India 2017, 90, 524–530. [Google Scholar]
- Panina, L.I.; Podgornykh, N.M. Melt inclusions in minerals of carbonatites Beloziminsky massif. Dokl. Earth Sci. 1975, 233, 1447–1450. [Google Scholar]
- Andreeva, I.A. Carbonatitic melts in olivine and magnetite from rare-metal carbonatite of the Belaya `Zima alkaline carbonatite complex (East Sayan, Russia). Dokl. Earth Sci. 2014, 455, 436–440. [Google Scholar] [CrossRef]
- Nielsen, T.F.D.; Solovova, I.P.; Veksler, I.V. Parental melts of melilitolite and origin of alkaline carbonatite: Evidence from crystallized melt inclusions, Gardiner complex. Contrib. Mineral. Petrol. 1997, 126, 331–344. [Google Scholar] [CrossRef]
- Kuzmin, M.I.; Yarmolyuk, V.V. Plate Tectonics and mantle plumes-the basis of endogenous tectonic activity of the Earth for the last 2 billion years. Russ. Geol. Geophys. 2016, 57, 11–30. [Google Scholar] [CrossRef]
- Sirotkin, A.N.; Talovina, I.V.; Duryagina, A.M. Mineralogy and geochemistry of alkaline lamprophyres of north-western Spitsbergen (Svalbard). Geochemistry 2019, in press. [Google Scholar] [CrossRef]
- Kravchenko, S.M.; Bagdasarov, Y.A. Geochemistry, Mineralogy and Genesis of Apatite-bearing Massifs (Maymeicha-Kotui Carbonatite Province); Nauka: Moscow, Russia, 1987; 127p. [Google Scholar]
- Ashchepkov, I.V.; Alymova, N.V.; Logvinova, A.M.; Vladykin, N.V.; Kuligin, S.S.; Mityukhin, S.I.; Downes, H.; Stegnitsky, Y.B.; Prokopiev, S.A.; Salikhov, R.F.; et al. Picroilmenites in Yakutian kimberlites: Variations and genetic models. Solid Earth 2014, 5, 915–938. [Google Scholar] [CrossRef]
- Braunger, S.; Marks, M.A.W.; Wenzel, T.; Chmyz, L.; Azzone, G.R.; Markl, G. Do carbonatites and alkaline rocks reflect variable redox conditions in their upper mantle source? Earth Planet. Sci. Lett. 2020, 533. in press. [Google Scholar] [CrossRef]
- Stoppa, F.; Schiazza, M.; Rosatelli, G.; Castorina, F.; Sharyg, V.V.; Ambrosio, F.A.; Vicentini, N. Italian carbonatite system: From mantle to ore-deposit. Ore Geol. Rev. 2019, 114, 103041. [Google Scholar] [CrossRef]





















© 2020 by the authors. Licensee MDPI, Basel, Switzerland. This article is an open access article distributed under the terms and conditions of the Creative Commons Attribution (CC BY) license (http://creativecommons.org/licenses/by/4.0/).
Share and Cite
Ashchepkov, I.; Zhmodik, S.; Belyanin, D.; Kiseleva, O.N.; Medvedev, N.; Travin, A.; Yudin, D.; Karmanov, N.S.; Downes, H. Aillikites and Alkali Ultramafic Lamprophyres of the Beloziminsky Alkaline Ultrabasic-Carbonatite Massif: Possible Origin and Relations with Ore Deposits. Minerals 2020, 10, 404. https://doi.org/10.3390/min10050404
Ashchepkov I, Zhmodik S, Belyanin D, Kiseleva ON, Medvedev N, Travin A, Yudin D, Karmanov NS, Downes H. Aillikites and Alkali Ultramafic Lamprophyres of the Beloziminsky Alkaline Ultrabasic-Carbonatite Massif: Possible Origin and Relations with Ore Deposits. Minerals. 2020; 10(5):404. https://doi.org/10.3390/min10050404
Chicago/Turabian StyleAshchepkov, Igor, Sergey Zhmodik, Dmitry Belyanin, Olga N. Kiseleva, Nikolay Medvedev, Alexei Travin, Denis Yudin, Nikolai S. Karmanov, and Hilary Downes. 2020. "Aillikites and Alkali Ultramafic Lamprophyres of the Beloziminsky Alkaline Ultrabasic-Carbonatite Massif: Possible Origin and Relations with Ore Deposits" Minerals 10, no. 5: 404. https://doi.org/10.3390/min10050404
APA StyleAshchepkov, I., Zhmodik, S., Belyanin, D., Kiseleva, O. N., Medvedev, N., Travin, A., Yudin, D., Karmanov, N. S., & Downes, H. (2020). Aillikites and Alkali Ultramafic Lamprophyres of the Beloziminsky Alkaline Ultrabasic-Carbonatite Massif: Possible Origin and Relations with Ore Deposits. Minerals, 10(5), 404. https://doi.org/10.3390/min10050404

