Next Article in Journal
Numerical Methods Combining Symmetry and Sparsity for the Calculation of Homogeneous Polynomials Defined by Tensors
Previous Article in Journal
Plume Characterization of Electrodeless Plasma Thruster with Configurable Exhaust
 
 
Font Type:
Arial Georgia Verdana
Font Size:
Aa Aa Aa
Line Spacing:
Column Width:
Background:
Article

Similarity Solutions of Spherical Strong Shock in an Inhomogeneous Self-Gravitating Medium Using Lie Group Approach

1
School of Computer Science Engineering and Technology, Bennett University, Greater Noida 201310, India
2
Department of Basic Science, Preparatory Year, King Faisal University, Al Ahsa 31982, Saudi Arabia
3
Department of Mathematics and Statistics, College of Science, King Faisal University, Al Ahsa 31982, Saudi Arabia
*
Authors to whom correspondence should be addressed.
Symmetry 2025, 17(5), 662; https://doi.org/10.3390/sym17050662
Submission received: 28 January 2025 / Revised: 11 April 2025 / Accepted: 15 April 2025 / Published: 27 April 2025
(This article belongs to the Section Physics)

Abstract

This paper employs the similarity method to derive self-similar solutions for a model of a spherical shock wave. The discussion involves the propagation of a spherical shock wave within an ideal gas experiencing self-gravitating effects, utilizing the equation of motion and shock conditions. The expressions of infinitesimal generators within the Lie group of transformations contain arbitrary constants, leading to the identification of four potential solution cases. Among these, we focus on two cases, one following a power-law and the other an exponential law. The outcomes discussed are contingent on the variation of flow variables behind the shock, visually represented through graphical illustrations.

1. Introduction

Spherical shock waves propagate through self-gravitating gas spheres, such as stars, following an instantaneous central explosion of finite energy. In stars, these shock waves are generated at the surface due to extremely high temperatures and pressures. The study of shock propagation and associated flows in astrophysical phenomena, such as supernova explosions, remains an area of great interest. Researchers across various disciplines, including nuclear science, geophysics, plasma physics, and astrophysics, have long focused on understanding the propagation of strong shock waves in self-gravitating media, particularly behind the shock front. In recent years, significant attention has been devoted to studying one-dimensional gas motion in both inhomogeneous non-gravitating and self-gravitating media, especially within gaseous substances in stellar interiors. The present work considers a self-similar model of flow behind a spherical shock wave in a self-gravitating mass of gas, where the disturbance is led by a shock front of variable strength. The medium ahead of the shock is assumed to be inhomogeneous and initially at rest. This study explores a self-similar model of a shock wave produced by the instantaneous release of energy in an inhomogeneous, self-gravitating gaseous mass, analyzed using the equations of motion and equilibrium conditions.
Shock wave propagation in non-uniform, self-gravitating media is a fundamental phenomenon with significant implications across various astrophysical and space science contexts. During supernova explosions, shock waves travel through the progenitor stars’ non-uniform, self-gravitating layers, influencing the distribution of explosive energy and facilitating the dispersal of heavy elements into the surrounding space processes, which are essential for the formation of planetary systems. Previous studies have examined the behavior of strong cylindrical shock waves in self-gravitating, rotating media, offering valuable insights into the dynamics of such high-energy events [1]. Moreover, shock waves in self-gravitating environments play a vital role in shaping galactic structures, including spiral arms and bars. These shock-driven processes can significantly impact star formation rates and the overall morphological evolution of galaxies [2]. The interstellar medium (ISM), characterized by its non-uniform and self-gravitating nature, also serves as a propagation medium for shock waves generated by stellar winds, supernovae, and galactic collisions. These shocks can compress and heat the ISM, thereby initiating new star formation or contributing to the dispersion of molecular clouds [3].
Singh et al. [4] employed a self-similar approach to numerically investigate the one-dimensional, unsteady flow behind a strong cylindrical shock wave, driven by a piston moving according to an exponential time-dependent law in a plasma of constant density. The propagation of shock waves resulting from sudden point expansions in inhomogeneous, non-self-gravitating media has been extensively explored by numerous researchers. Notable studies on similarity flows behind shock waves include those by Kynch [5], Boyd [6], Hirschle and Gretler [7], Sakurai [8], Taylor [9], Cavaliere and Messina [10], and Rao and Purohit [11]. Further contributions were made by Sedov [12], Carrus et al. [13], and Purohit [14], who provided numerical solutions for self-similar adiabatic flows in self-gravitating gas systems relevant to shock propagation. The foundational theoretical model for imploding shock waves in ideal gases was first introduced by Guderley [15]. Significant advancements in the understanding of imploding shock dynamics have also been made by Sakurai [16], Ponchaut et al. [17], Axford and Holm [18], Zeldovich and Raizer [19], and Lazarus [20]. More recent investigations aiming to improve the accuracy of implosion modeling include the works of Sharma and Radha [21], Radha and Sharma [22], Jena and Sharma [23], Madhumita and Sharma [24], and Sharma and Arora [25]. Additionally, Arora et al. [26,27,28] derived self-similar solutions for strong shock waves in magnetohydrodynamic (MHD) flows, considering both ideal and non-ideal relaxing gases
The Lie group of transformations is a widely utilized tool for analyzing continuous symmetries in mathematics and theoretical physics. This powerful method facilitates the simplification of complex physical problems by transforming them into more tractable mathematical equations. The extended Lie group of transformations, when applied to partial differential equations (PDEs), forms a continuous group acting on an enlarged variable space that includes not only the independent and dependent variables but also the parameters of the equations. This approach enables the identification of media in which the governing equations remain invariant and support self-similar solutions. Nevertheless, obtaining exact solutions for systems of quasilinear hyperbolic PDEs, without resorting to approximations, remains a significant challenge.
The significance of using the Lie group of transformations to obtain similarity solutions lies in the fact that the arbitrary constants appearing in the expressions for the generators of the local Lie group give rise to various possible solution cases. The method itself suggests the form of the similarity variable and the corresponding similarity solutions after appropriately considering these arbitrary constants. Sedov [12] applied the theory of dimensional analysis to derive a class of self-similar solutions for the problem of self-similar flow in an inhomogeneous, self-gravitating medium behind a spherical shock wave with distributed energy release. However, the methods used by Sedov [12], Vishwakarma and Nath [29], and Chisnell [30] first assume a specific form of the similarity variable and then express the solutions as a particular function of this variable to obtain the desired similarity solutions.
In this work, we establish the complete class of self-similar solutions for the problem of self-similar flow in an inhomogeneous, self-gravitating medium behind a spherical shock wave using the general group-theoretic method described by Bluman et al. [31] and Logan and Perez [32]. The general group-theoretic approach (see [28,31,32,33,34,35,36,37]) ensures the exhaustive determination of the invariant group and, consequently, all possible self-similar solutions to the problem.

2. Basic Equations and Shock Conditions

The fundamental equations are for the one-dimensional spherical symmetric motion of the fluid in ideal gas in which the density of the gas varies spatially, and the gas is influenced by its own gravitational field. In self-gravitating medium, the gas generates a gravitational field due to its own mass. The particles in the gas interact with each other gravitationally, which leads to a dynamic interplay between gravitational forces and internal pressure forces (see [8,38,39,40]), which are given as
ρ t + u ρ r + ρ u r + ρ 2 u r = 0 , ρ u t + ρ u u r + p r + G m ρ r 2 = 0 , p t + u p r γ p ρ ( ρ t + u ρ r ) = 0 , m r = 4 π r 2 ρ ,
where ρ denotes the density, p is the pressure, u is the velocity, γ is the ratio of specific heats, m is the mass of gas inside the sphere of radius r, r is the radial distance from the center, t represents time, and G is the gravitational constant. The specific internal energy is given by
e = p ρ ( γ 1 ) ( with γ = constant ) .
The equation of state for the ideal gas,
p = ρ R T ,
where T is the absolute temperature, and R is the gas constant that obeys the thermodynamic relations R = C p C v and e = C v T . Here, γ is the ratio C p : C v , where C v and C p represent the specific heat at constant volume and constant pressure, respectively. Let the initial conditions at time t = 0 be given by u = 0 , p = p 0 ( r ) , ρ = ρ 0 ( r ) , and m = m 0 ( r ) , which are the functions of r. The Rankine–Hugoniot (R-H) jump conditions at the shock are given by ([38,40]):
u 1 = 2 V ( γ + 1 ) ( 1 1 M 2 ) , ρ 1 = ρ 0 ( γ + 1 ) M 2 ( γ 1 ) M 2 + 2 , p 1 = p 0 ( γ + 1 ) ( 2 γ M 2 ( γ 1 ) ) , m 1 = m 0 ,
where ρ 0 and p 0 are the initial density and pressure, respectively; V is the velocity of shock wave; and M 2 = V 2 ρ 0 γ p 0 . The parameters just behind the shock are represented by the suffix 1.
For the strong shock, M , the Rankine–Hugoniot jump conditions become
u 1 = 2 V γ + 1 , ρ 1 = γ + 1 γ 1 ρ 0 , p 1 = 2 V 2 γ + 1 ρ 0 , m 1 = m 0 .

3. Lie Group of Transformation

In multidimensional problems, the similarity method applies a one-parameter Lie group of transformations to gradually reduce the number of independent variables, eliminating one variable at each step. This process generates a new equation with one less independent variable than the previous step. It is crucial to ensure that the resulting equation remains invariant under the Lie group of transformations throughout the process. After identifying the appropriate Lie group that preserves the invariance of the system of partial differential equations (PDEs), we can construct a solution that also maintains this invariance. In our study, we apply the similarity method to analyze the motion of converging shock waves in a self-gravitating medium, such as an interstellar gas cloud. This approach allows us to better understand the behavior of gas in a self-gravitating medium under these conditions.
To obtain the self-similar solutions of the system of PDEs (1), we derive its invariance group, ensuring that the system remains invariant under these transformations. The idea of finding a one-parameter infinitesimal group of transformations was inspired by the work of Sharma and Arora (see [25]) and Blueman et al. (see [31]).
r = r + ε R ( r , t , u , p , ρ , m ) , t = t + ε T ( r , t , u , p , ρ , m ) , u = u + ε U ( r , t , u , p , ρ , m ) , p = p + ε P ( r , t , u , p , ρ , m ) , ρ = ρ + ε Λ ( r , t , u , p , ρ , m ) , m = m + ε M ( r , t , u , p , ρ , m ) ,
where the symmetry generators R , T , U , P , Λ , and M are some functions of r , t , u , p , ρ , and m. The above one-parameter infinitesimal transformation (6) is such that the system of partial differential equation givens by Equation (1), together with the shock conditions given by Equation (5), remains invariant. The parameter ε has been chosen in such a way that the square and higher powers of it may be ignored. This invariance group reduces the number of independent variables in the system of PDEs by one, and thereby the system of PDEs (1) can be reduced into the system of ODEs.
For simplicity, let us take x 1 = t , x 2 = r , u 1 = u , u 2 = p , u 3 = ρ , u 4 = m a n d p j i = u i x j , where i = 1 , 2 , 3 , 4 and j = 1 , 2 .
The system of basic Equation (1) can be represented as
G k ( x j , u i , p j i ) = 0 , k = 1 , 2 , 3 , 4 ,
which remains constantly conformally invariant under the Lie group of transformations (6), if there exist constants α k r ( k , r = 1 , 2 , 3 , 4 ) such that
L G k = α k r G r , r = 1 , 2 , 3 , 4 ,
holds for all smooth surfaces, u i = u i ( x j ) . The Lie derivative L in the direction of the extended vector field is given by
L = ξ x j x j + ξ u i u i + ξ p j i p j i ,
with ξ x 1 = T , ξ x 2 = R , ξ u 1 = U , ξ u 2 = P , ξ u 3 = Λ , ξ u 4 = M and
ξ p j i = ξ u i x j + ξ u i u k p j k ξ x l x j p l i ξ x l u m p l i p j m ,
where l = 1 , 2 , j = 1 , 2 , i = 1 , 2 , 3 , 4 , m = 1 , 2 , 3 , 4 , and k = 1 , 2 , 3 , 4 . Here, summation convention is represented by repeated indices, and ξ p j i represents the generalised derivative transformation.
Equation (7) implies
ξ x j G k x j + ξ u i G k u i + ξ p j i G k p j i = α k r G r , k = 1 , 2 , 3 , 4 , r = 1 , 2 , 3 , 4 .
By putting the value of ξ p j i from Equation (8) into Equation (9), we found a polynomial equation in p j i . On setting all the coefficients of p j i and p j i p l m to zero, we obtain a system of first-order, linear PDEs in terms of symmetry generators T , R , U , P , Λ , M , which are known as the system of determining equations. Further, we solved the system of determining equations, which yields the invariant group (6).
We apply the above procedure to the system of PDEs (1). We obtained the following system of determining equations by using invariance of the continuity Equation (1):
Λ u ρ T r = α 12 ρ , Λ p = α 13 , Λ ρ T t u T r = α 11 , Λ m = 0 , Λ + u Λ u + ρ U u ρ R r = α 11 ρ + α 12 ρ u + α 13 γ p , u Λ p + ρ U p = α 12 + α 13 u , R t + U + u Λ ρ u R r + ρ U ρ = α 11 u , u Λ m + ρ U m = α 14 , Λ t + 2 u Λ r + 2 ρ U r 2 ρ u R r 2 + ρ U r + u Λ r = α 11 2 ρ u r + α 12 ρ G m r 2 + α 13 2 γ p u r α 14 4 π r 2 ρ .
Similarly, by using the invariance of the momentum Equation ( 1 ) , we obtained the following determining equations:
U u T t u T r = α 22 , U p 1 ρ T r = α 23 , U ρ = α 21 , U m = 0 , R t + U + u U u u R r + 1 ρ P u = α 21 ρ + u α 22 + α 23 γ p , Λ ρ 2 + u U p + 1 ρ P p 1 ρ R r = α 22 ρ + u α 23 , u U ρ + 1 ρ P ρ = u α 21 , u U m + 1 ρ P m = α 24 , U t + G M r 2 2 G m R r 3 + u U r + 1 ρ P r = α 21 2 ρ u r + α 22 G m r 2 + α 23 2 γ p u r α 24 4 π r 2 ρ .
Next, using the invariance of the energy Equation ( 1 ) , we obtain the following determining equations:
P u γ p T r = α 32 ρ , P p T t u T r = α 33 , P ρ = α 31 , P m = 0 , u P u + γ p U u γ p R r + γ P = ρ α 31 + ρ u α 32 + γ p α 33 , U R t + u P p u R r + γ p U p = α 32 + α 33 u , u P ρ + γ p U ρ = α 31 u , u P m + γ p U m = α 34 P t + u P r + γ p U r + 2 γ P u r + γ p 2 U r γ p 2 u R r 2 = α 31 2 ρ u r + α 32 ρ G m r 2 + α 33 2 γ p u r α 34 4 π r 2 ρ .
Finally, using the invariance of the Equation ( 1 ) , we obtain the following determining equations
ρ α 42 = 0 , α 43 = 0 , α 41 = 0 , T r = 0 , M u = α 41 ρ + α 42 ρ u + α 43 γ p , M p = α 42 + u α 43 , M ρ = α 41 u , M m R r = α 44 , M r 8 π r R ρ 4 π r 2 Λ = α 41 2 ρ u r + α 42 ρ G m r 2 + α 43 2 γ p u r α 44 4 π r 2 ρ , T = T ( t ) , R = R ( r ) .
After solving the above systems of determining equations simultaneously, we obtain the following symmetry generators:
R = ( α 22 + 2 a ) r , T = a t + b , U = ( α 22 + a ) u , P = ( 2 α 22 + α 11 + 3 a ) p , Λ = ( α 11 + a ) ρ , M = ( 3 α 22 + 4 a ) m ,
where a , b , α 11 , and α 22 are the arbitrary constants. Also, we have the relation α 11 = 3 a .

4. Construction of Similarity Solutions

We categorized the four different cases of possible solutions on the basis of arbitrary constants that are present in the expression of the infinitesimals generators. Out of four, we consider only two forms of solutions; one form is given by the power law, and the other form is given by the exponential law, as discussed below:
Case 1: When a 0 and α 22 + 2 a 0 , we define the new variables ( r ¯ , t ¯ ) given as
r ¯ = r , t ¯ = t + b a ,
This new transformation from ( r , t ) to ( r ¯ , t ¯ ) leaves the system of differential Equation (1) unchanged. After suppressing the bar sign, the symmetry generators in Equation (14) in terms of new variables r ¯ and t ¯ can be rewritten as:
T = a t , R = ( α 22 + 2 a ) r , U = ( α 22 + a ) u , P = ( 2 α 22 + α 11 + 3 a ) p , Λ = ( α 11 + a ) ρ , M = ( 3 α 22 + 4 a ) m .
The invariant surface conditions (see, Logan [32]) are as:
R u r + T u t = U , R p r + T p t = P , R ρ r + T ρ t = Λ , R m r + T m t = M .
On integrating the set of equations (17) together with (16), we obtain the following forms of the flow variables:
u = t ( δ 1 ) U ^ ( ξ ) , p = t ( 2 ( δ 1 ) + k ) P ^ ( ξ ) , ρ = t k Λ ^ ( ξ ) , m = t ( 3 δ 2 ) M ^ ( ξ ) ,
where δ = α 22 + 2 a a , k = α 11 + a a . U ^ , P ^ , Λ ^ , and M ^ are the functions of the similarity variable ξ , which is determined as follows:
ξ = r t δ ,
and the similarity curve is defined as
R ¯ ( t ) = ξ t δ .
Let the shock path r = R ¯ and the shock velocity V at the basic position of the shock ξ = 1 be given as
R ¯ = t δ ,
V = δ t δ 1 = δ R ¯ t .
The boundary conditions at the strong shock at which ξ = 1 are as:
u | ξ = 1 = t ( δ 1 ) U ^ ( 1 ) , p | ξ = 1 = t ( 2 ( δ 1 ) + k ) P ^ ( 1 ) , ρ | ξ = 1 = t k Λ ^ ( 1 ) , m = t ( 3 δ 2 ) M ^ ( 1 ) .
The invariance of the jump condition in Equation (5) suggests that ρ 0 ( r ) and m 0 ( r ) must be of the following forms:
ρ 0 ( r ) = ρ c r θ , m 0 ( r ) = m c r μ ,
where ρ c and m c are the arbitrary constants and
θ = α 11 + a α 22 + 2 a , μ = 3 α 22 + 4 a α 22 + 2 a .
On applying the jump conditions (5) and using Equations (24) and (25), we obtained the following conditions on the functions U ^ , P ^ , Λ ^ , and M ^
U ^ ( 1 ) = 2 δ γ + 1 , P ^ ( 1 ) = 2 ρ c δ 2 γ + 1 , Λ ^ ( 1 ) = γ + 1 γ 1 ρ c , M ^ ( 1 ) = m c ,
where δ , ρ c , and m c are the constants associated with the medium.
By using Equations (21), (22) and (24), Equation (18) can be rewritten as
u = V U ( ξ ) , ρ = ρ 0 ( R ¯ ( t ) ) Λ ( ξ ) , p = ρ 0 ( R ¯ ( t ) ) V 2 P ( ξ ) , m = ( ρ 0 ( R ¯ ( t ) ) 1 / δ θ V 3 M ( ξ ) ,
where U ( ξ ) = U ^ ( ξ ) δ , Λ = Λ ^ ( ξ ) ρ c , P = P ^ ( ξ ) ρ c δ 2 , M ( ξ ) = M ^ ( ξ ) ρ c 1 / δ θ δ 3 , and δ θ = 2 .
On substituting Equation (27) into system (1) of governing equations and using Equations (19)–(22) and (24), we obtained the following system of ordinary differential equations in U , P , Λ , and M in the following forms after dropping the asterisk sign:
Λ θ + ( U ξ ) Λ + Λ U + 2 Λ U ξ = 0 , ( δ 1 ) δ Λ U + ( U ξ ) U Λ + P + ρ c 1 / δ θ M G δ Λ ξ 2 = 0 , ( 2 + θ 2 δ ) P + ( U ξ ) P + γ P ( U + 2 U ξ ) = 0 , M 4 π Λ ρ c δ 3 m c 1 / δ μ = 0 ,
where differentiation with respect to the similarity variable ξ is denoted by the prime sign. Also, we obtained the following conditions for the strong shock from the jump conditions (5),
U ( 1 ) = 2 γ + 1 , P ( 1 ) = 2 γ + 1 , Λ ( 1 ) = γ + 1 γ 1 , M ( 1 ) = m c δ 3 ρ c 1 / δ θ .
Case 2: When a = 0 and α 22 + 2 a 0 or α 22 0 , the symmetry variables and the forms of flow variables for the similarity solution of system of Equation (1) can readily follow from Equations (14) and (17), and on dropping the bar signs they can be written in the following forms:
u = V U ( ξ ) , p = ρ 0 ( R ¯ ( t ) ) V 2 P ( ξ ) , ρ = ρ 0 ( R ¯ ( t ) ) Λ ( ξ ) , m = V 3 M ( ξ ) ,
where U ( ξ ) = U ^ ( ξ ) δ , P = P ^ ( ξ ) δ 2 ρ c , Λ = Λ ^ ( ξ ) ρ c , and M ( ξ ) = M ^ ( ξ ) δ 3 .
The similarity variable ξ , the shock path R ¯ , the shock velocity, the initial density ρ 0 , and the initial mass m 0 are given by
ξ = r e δ t , R ¯ = e δ t , V = δ e δ t , ρ 0 = ρ c r θ , m 0 = m c r μ ,
together with constants associated with the medium, which are:
δ = α 22 b , θ = α 11 α 22 , μ = 3 , k = α 11 b = δ θ .
Here, the shock path associated with the class of similarity solution is in exponential form.
On substituting the Equation (30) into system (1) and using Equation (31), we obtained the following system of ODEs in terms of U , P , Λ , and M :
θ Λ + ( U ξ ) Λ + Λ U + 2 Λ U ξ = 0 , ( U ξ ) Λ U + U Λ + P + G δ M Λ ξ 2 = 0 , ( 2 + θ ) P + ( U ξ ) P + γ P [ U + 2 U ξ ] = 0 , M 4 π ξ 2 ρ c Λ δ 3 = 0 ,
where differentiation with respect to the similarity variable ξ is denoted by prime, and we ignored the asterisk signs of U , P , Λ , and M . For the strong shock, we obtained the following jump conditions:
U ( 1 ) = 2 γ + 1 , P ( 1 ) = 2 γ + 1 , Λ ( 1 ) = γ + 1 γ 1 , M ( 1 ) = m c δ 3 .
The system of differential Equation (32), together with the jump conditions (33), can be solved numerically for the strong shock.
Case 3: When a 0 and α 22 + 2 a = 0 , there are no similarity solutions for the spherically symmetric flows.
Case 4: When a = 0 and α 22 + 2 a = 0 , as in previous Case 3, there is no similarity solution for the spherically symmetric flows.

5. Results and Discussion

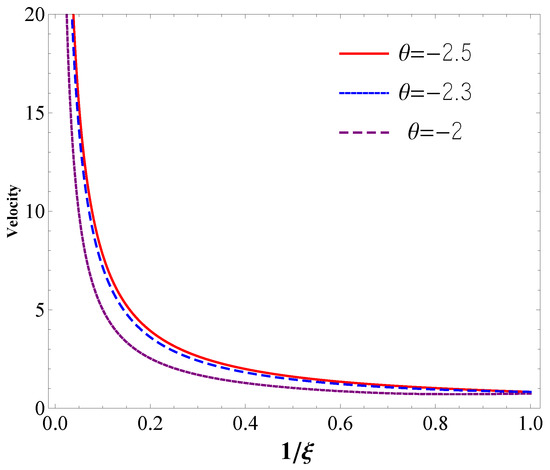
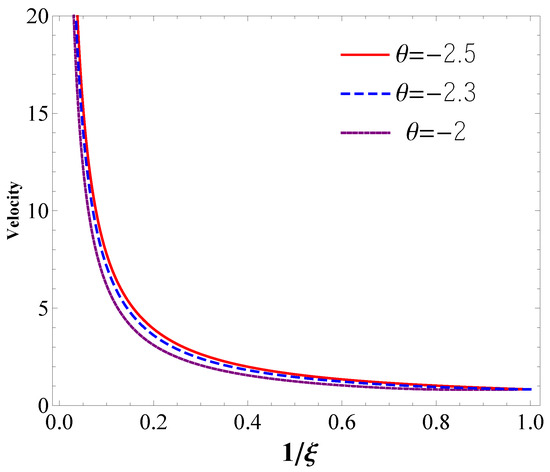
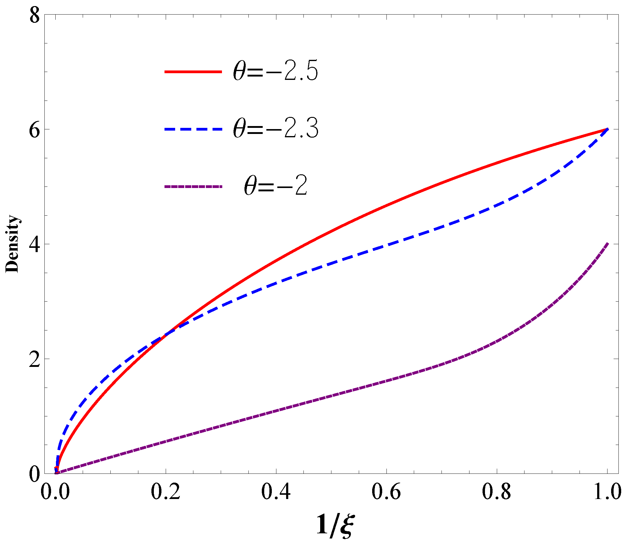
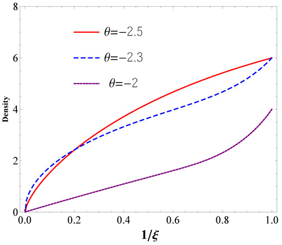
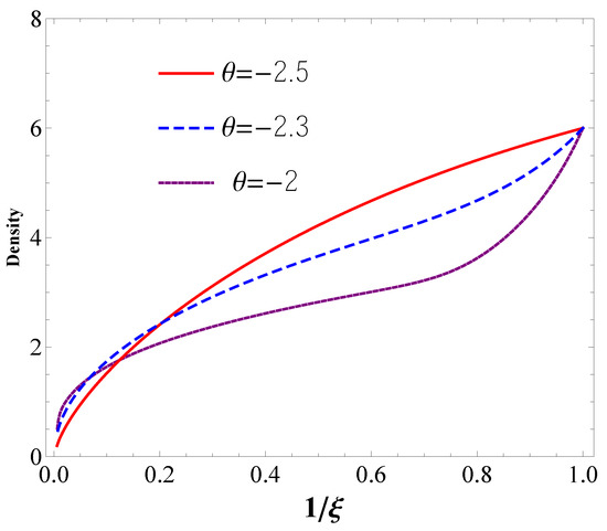
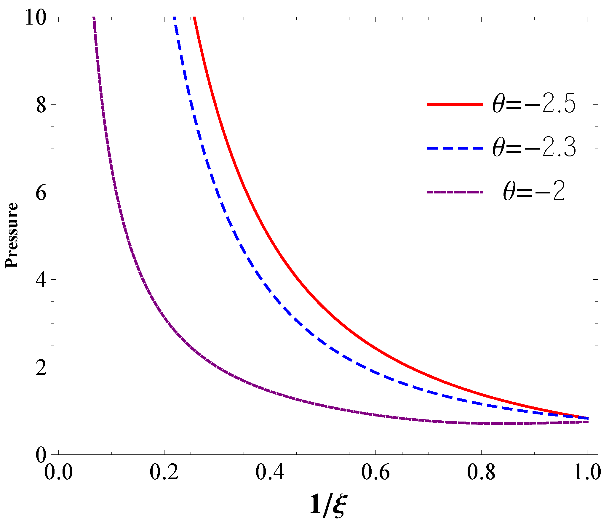
For different values of the ambient density exponent θ , the values of δ have been calculated from the relation δ θ = 2 in a spherically symmetric flow. The system of differential Equations (28) subject to the boundary conditions given in Equation (29) has been solved by using the Runga–Kutta Method of order four, for γ = 7 / 5 , θ = 2 , 2.3 , 2.5 and γ = 5 / 3 , θ = 2 , 2.3 , 2.5 . The results are depicted in Figure 1, Figure 2, Figure 3, Figure 4, Figure 5, Figure 6, Figure 7 and Figure 8. We have depicted the variation of velocity in Figure 1 and Figure 5, variation of pressure in Figure 2 and Figure 6, variation of density in Figure 3 and Figure 7, and variation of mass in Figure 4 and Figure 8, with respect to the change in parameter θ . It has been observed that the decrease in the parameter θ causes a rise in the level of velocity (Figure 1 and Figure 5), pressure (Figure 2 and Figure 6), density (Figure 3 and Figure 7) and mass (Figure 4 and Figure 8) for both values of γ in the flow region behind the shock relative to the case where the particle interactions are absent. The velocity, pressure, and mass profiles show monotonic increase for all the values of ambient density exponent θ and for both values of γ ; this matches well with Ojha and Nath [38], while density shows a monotonic decrease for all values of γ and θ as ξ increases from 1 to . The graphs of flow variables have been shown in the figures given below.

6. Conclusions

In this paper, we have applied the similarity transformation method to the problem of self-similar flow in an inhomogeneous self-gravitating medium behind a spherical strong shock wave. On applying symmetry transformation method to the system of Equation (1), we obtained the symmetry generators of the system of PDEs, and these generators are expressed in terms of the arbitrary constants. On the basis of these arbitrary constants, we categorize four cases of possible self-similar solutions to the problem. Out of these four solutions, we consider two forms of solutions, in one of which shock path follows the power law and in the other one it follows the exponential law. By using the surface invariance condition, we obtained flow variables in terms of the similarity variable. The main objective of introducing the similarity variable ξ is to transform the two variables x and t into a one variable ξ . Thereby, our system of PDEs converts into a system of ODEs in one independent variable ξ . We considered the initial or basic position of the shock to be at ξ = 1 and found the solution for ξ > 1 , i.e., the post-shock solution or solution just behind the shock. Here, for ξ < 1 the medium is quiescent so the shock does not arise or emerge for ξ < 1 . Thus, the given solution is treated as a complete solution for the given problem. Also, we have obtained a relation between the similarity exponent δ and the ambient density exponent θ . For the different values of θ , we calculated the different values of δ . Finally, we applied the Runge–Kutta method of order four to solve the system of ODEs together with the boundary conditions for γ = 7 / 5 & 5 / 3 . We have analyzed the behaviors of shock waves in a self-gravitating medium with a specific focus on the variation of velocity, pressure, mass, and density under different polytropic indices ( γ = 7/5 and γ = 5/3) and for different ambient densities θ less than 2 (since the similarity exponent lies between 0 and 1 and using relation Equation (24)). Our findings provide significant insights into the dynamic evolution of shock waves phenomena. Our results indicate that for both values of γ = 7 / 5 ,   5 / 3 and as ambient density decreases ( θ ):
  • The shock velocity exhibits an increasing trend, implying that as the shock propagates, it gains momentum due to the self-gravitational effects of the medium. This acceleration of the shock front suggests a continuous transfer of energy from the gravitational field to the propagating wave.
  • Post-shock pressure increases significantly, demonstrating the role of compression effects in self-gravitating media. The increase in pressure is more pronounced for γ = 5/3, indicating that a stiffer equation of state leads to stronger shock compression.
  • The total enclosed mass increases as the shock advances, suggesting an accumulation of material behind the shock front. This is a critical factor in astrophysical collapse scenarios, where mass accretion influences the formation of dense objects such as neutron stars and black holes.
  • Despite the increase in mass and pressure, the post-shock density decreases over time. This effect is attributed to the expanding nature of the shock wave, which disperses matter outward. The decrease in density is more gradual for γ = 7/5 compared to γ = 5/3, highlighting the role of the polytropic index in governing density evolution. Numerical results have been depicted graphically in the Figure 1, Figure 2, Figure 3, Figure 4, Figure 5, Figure 6, Figure 7 and Figure 8.

Author Contributions

Methodology, A.C. and A.T.; Software, A.T.; Formal analysis, A.C. and S.S.K.R.; Investigation, A.T.; Resources, S.S.K.R.; Writing—original draft, A.C. and A.T.; Writing—review & editing, M.A. and S.S.K.R.; Visualization, A.C.; Supervision, M.A.; Project administration, M.A.; Funding acquisition, M.A. and S.S.K.R. All authors have read and agreed to the published version of the manuscript.

Funding

This work was supported by the Deanship of Scientific Research, Vice Presidency for Graduate Studies and Scientific Research, King Faisal University, Saudi Arabia [Grant No. KFU251464].

Data Availability Statement

The original contributions presented in this study are included in the article. Further inquiries can be directed to the corresponding authors.

Acknowledgments

Research funding from International Centre for Theoretical Physics (ICTP), Trieste, Italy, under the scheme “ICTP-INdAM Collaborative Grantsand Research in Pairs Programme 2024” vide grant no: SMR/3994/TA31077891 (Amit Tomar) is gratefully acknowledged.

Conflicts of Interest

The authors declare no conflicts of interest.

References

  1. Nath, G. Propagation of strong cylindrical shock wave in a self-gravitating rotational axisymmetric mixture of small solid particles and perfect gas with density varying exponentially. Acta Astronaut. 2019, 162, 447–460. [Google Scholar] [CrossRef]
  2. Nath, G.; Upadhyay, P. Lie symmetry approach for shock wave propagation in a self-gravitating non-ideal gas under the influence of monochromatic radiation and magnetic field in rotating medium. Indian J. Phys. 2024, 99, 1519–1540. [Google Scholar] [CrossRef]
  3. Gupta, B.; Jena, J. Kinematics of spherical waves in interstellar gas clouds. Int. J. Non-Linear Mech. 2018, 99, 51–58. [Google Scholar] [CrossRef]
  4. Singh, L.P.; Husain, A.; Singh, M. A self-similar solution of exponential shock waves in non-ideal magnetogasdynamics. Meccanica 2011, 46, 437–445. [Google Scholar] [CrossRef]
  5. Kynch, G.J. Modern Developments in Fluid Dynamics, High-Speed Flow; Howarth, L., Ed.; Clarendon: Oxford, UK, 1953. [Google Scholar]
  6. Boyd, Z.M.; Ramsey, S.D.; Baty, R.S. On the existence of self-similar converging shocks for arbitrary equation of state. Q. J. Mech. Appl. Math. 2017, 70, 401–417. [Google Scholar] [CrossRef]
  7. Hirschler, T.; Gretler, W. Similarity analysis of strong converging spherical shock waves in radiating gas. Acta Mech. 2002, 154, 159–177. [Google Scholar] [CrossRef]
  8. Sakurai, A. Propagation of spherical shock waves in stars. J. Fluid Mech. 1956, 1, 436–453. [Google Scholar] [CrossRef]
  9. Taylor, J.L. An Exact Solution of the Spherical Blast Waves Problem. Phil. Mag. 1955, 46, 317–320. [Google Scholar] [CrossRef]
  10. Cavaliere, A.; Messina, A. Propagation of Blast Waves. Astrophys. J. 1976, 209, 424–428. [Google Scholar] [CrossRef]
  11. Rao, M.P.R.; Purohit, S.C. Self-similar flows with increasing energy. Int. J. Eng. Sci. 1972, 10, 249–262. [Google Scholar] [CrossRef]
  12. Sedov, L.I. Similarity and Dimensional Methods in Mechanics; Academic Press: New York, NY, USA, 1959; pp. 166–333. [Google Scholar]
  13. Carrus, P.A.; Fox, P.A.; Haas, F.; Kopal, Z. The Propagation of Shock Waves in a Stellar Model with Continuous Density Distribution. J. Astrophys. 1951, 113, 496–518. [Google Scholar] [CrossRef]
  14. Purohit, S.C. Self-similar homothermal flow of self-gravitating gas behind shock wave. J. Phys. Soc. Jpn. 1974, 36, 288–292. [Google Scholar] [CrossRef]
  15. Guderley, G. Starke Kugelige und Zylindrische Verdichtungsstosse in Der Nahe Des Kugelmittelpunktes bzw Der Zylinderachse. Luftfahrtforschung 1942, 19, 302–312. [Google Scholar]
  16. Sakurai, A. On the Problem of a Shock Wave Arriving at the Edge of a Gas. Comm. Pure Appl. Math. 1960, 13, 353–370. [Google Scholar] [CrossRef]
  17. Ponchaut, N.; Hornung, H.G.; Pullin, D.I.; Mouton, C.A. On imploding cylindrical and spherical shock waves in a perfect gas. J. Fluid Mech. 2006, 560, 103–122. [Google Scholar] [CrossRef]
  18. Axford, R.; Holm, D. Spherical Shock Collapse in a Non-Ideal Medium; Technical Report; No. LAUR-78-757; CONF-780831-1; Los Alamos National Laboratory (LANL): Los Alamos, NM, USA, 1978. [Google Scholar]
  19. Zeldovich, Y.B.; Raizer, Y.P. Physics of Shock Waves and High-Temperature Hydrodynamic Phenomena; Academic Press: New York, NY, USA, 1966; Volume I. [Google Scholar]
  20. Lazarus, R.B. Self-Similar Solutions for Converging Shocks and Collapsing Cavities. SIAM J. Numer. Anal. 1981, 18, 316–371. [Google Scholar] [CrossRef]
  21. Sharma, V.D.; Radha, C. Similarity Solutions for Converging Shocks in a Relaxing Gas. Int. J. Engrg. Sci. 1995, 33, 535–553. [Google Scholar] [CrossRef]
  22. Radha, C.; Sharma, V.D. Imploding cylindrical shock in a perfectly conducting and radiating gas. Phys. Fluids B 1993, 5, 4287–4294. [Google Scholar] [CrossRef]
  23. Jena, J.; Sharma, V.D. Self-Similar Shocks in a Dusty Gas. Int. J. Non-Linear Mech. 1999, 34, 313–327. [Google Scholar] [CrossRef]
  24. Madhumita, G.; Sharma, V.D. Imploding Cylindrical and Spherical Shock Waves in a Non-Ideal Medium. J. Hyperbolic Differ. Equ. 2004, 1, 521–530. [Google Scholar] [CrossRef]
  25. Sharma, V.D.; Arora, R. Similarity Solutions for Strong Shocks in an Ideal Gas. Stud. Appl. Math. 2005, 114, 375–394. [Google Scholar] [CrossRef]
  26. Arora, R.; Yadav, S.; Siddiqui, M.J. Similarity Method for the Study of Strong Shock Waves in Magnetogasdynamics. Bound. Value Probl. 2014, 142, 1–15. [Google Scholar] [CrossRef]
  27. Arora, R.; Siddiqui, M.J.; Singh, V.P. Similarity Method for Imploding Strong Shocks in a Non-Ideal Relaxing Gas. Int. J. Non. Lin. Mech. 2013, 75, 1–9. [Google Scholar] [CrossRef]
  28. Arora, R.; Tomar, A.; Singh, V.P. Similarity Solutions for Strong Shocks in a Non-Ideal Gas. Math. Model. Anal. 2012, 17, 351–365. [Google Scholar] [CrossRef]
  29. Vishwakarma, J.P.; Nath, G. A self-similar solution of a shock propagation in a mixture of a non-ideal gas and small solid particles. Meccanica 2009, 44, 239–254. [Google Scholar] [CrossRef]
  30. Chisnell, R.F. An analytic description of converging shock waves. J. Fluid Mech. 1998, 354, 357–375. [Google Scholar] [CrossRef]
  31. Bluman, G.W.; Cheviakov, A.F.; Anco, S.C. Applications of Symmetry Methods to Partial Differential Equations; Springer: New York, NY, USA, 2010; Volume 168. [Google Scholar]
  32. Logan, J.D.; Perez, J.D.J. Similarity Solutions for Reactive Shock Hydrodynamics. SIAM J. Appl. Math. 1980, 39, 512–527. [Google Scholar] [CrossRef]
  33. Steeb, S. Similarity Solutions of the Euler Equation and the Navier Stokes Equation in Two Space Dimensions. Int. J. Theoret. Phys. 1985, 24, 255–265. [Google Scholar]
  34. Jena, J. Self-similar solutions in a plasma with axial magnetic field (θ-pinch). Meccanica 2012, 47, 1209–1215. [Google Scholar] [CrossRef]
  35. Chauhan, A.; Arora, R. Evolution of steepened wave in interstellar gas clouds. Indian J. Phys. 2024, 99, 1–9. [Google Scholar] [CrossRef]
  36. Chauhan, A.; Yadav, S.; Arora, R. Propagation of shock waves in a non-ideal gas with dust particles in an interstellar medium. Indian J. Phys. 2023, 97, 3065–3080. [Google Scholar] [CrossRef]
  37. Jena, J.; Singh, R. Existaence of self-similar solutions in rotating gases. Shock Waves 2012, 24, 211–218. [Google Scholar] [CrossRef]
  38. Ojha, S.N.; Nath, O. Self-Similar Flow Behind a Spherical Shock with Varying Strength in an Inhomogeneous Self-Gravitating Medium. Astrophys. Space Sci. 1987, 129, 11–17. [Google Scholar] [CrossRef]
  39. Shi, X. Locations of Accretion Shocks around Galaxy Clusters and the ICM properties: Insights from Self-Similar Spherical Collapse with arbitrary mass accretion rates. Mon. Not. R. Astron. Soc. 2017, 461, 1804–1815. [Google Scholar] [CrossRef]
  40. Whitham, G.B. On the propagation of shock waves through regions of non-uniform area or flow. J. Fluid Mech. 1958, 4, 337–360. [Google Scholar] [CrossRef]
Figure 1. The velocity profiles of spherical shock for γ = 7 / 5 , θ = 2 , 2.3 , and 2.5 .
Figure 1. The velocity profiles of spherical shock for γ = 7 / 5 , θ = 2 , 2.3 , and 2.5 .
Symmetry 17 00662 g001
Figure 2. The pressure profiles of spherical shock for γ = 7 / 5 , θ = 2 , 2.3 , and 2.5 .
Figure 2. The pressure profiles of spherical shock for γ = 7 / 5 , θ = 2 , 2.3 , and 2.5 .
Symmetry 17 00662 g002
Figure 3. The density profiles of spherical shock for γ = 7 / 5 , θ = 2 , 2.3 , and 2.5 .
Figure 3. The density profiles of spherical shock for γ = 7 / 5 , θ = 2 , 2.3 , and 2.5 .
Symmetry 17 00662 g003
Figure 4. The mass profiles of spherical shock for γ = 7 / 5 , θ = 2 , 2.3 , and 2.5 .
Figure 4. The mass profiles of spherical shock for γ = 7 / 5 , θ = 2 , 2.3 , and 2.5 .
Symmetry 17 00662 g004
Figure 5. The velocity profiles of spherical shock for γ = 5 / 3 , θ = 2 , 2.3 , and 2.5 .
Figure 5. The velocity profiles of spherical shock for γ = 5 / 3 , θ = 2 , 2.3 , and 2.5 .
Symmetry 17 00662 g005
Figure 6. The pressure profiles of spherical shock for γ = 5 / 3 , θ = 2 , 2.3 , and 2.5 .
Figure 6. The pressure profiles of spherical shock for γ = 5 / 3 , θ = 2 , 2.3 , and 2.5 .
Symmetry 17 00662 g006
Figure 7. The density profiles of spherical shock for γ = 5 / 3 , θ = 2 , 2.3 , and 2.5 .
Figure 7. The density profiles of spherical shock for γ = 5 / 3 , θ = 2 , 2.3 , and 2.5 .
Symmetry 17 00662 g007
Figure 8. The mass profiles of spherical shock for γ = 5 / 3 , θ = 2 , 2.3 , and 2.5 .
Figure 8. The mass profiles of spherical shock for γ = 5 / 3 , θ = 2 , 2.3 , and 2.5 .
Symmetry 17 00662 g008
Disclaimer/Publisher’s Note: The statements, opinions and data contained in all publications are solely those of the individual author(s) and contributor(s) and not of MDPI and/or the editor(s). MDPI and/or the editor(s) disclaim responsibility for any injury to people or property resulting from any ideas, methods, instructions or products referred to in the content.

Share and Cite

MDPI and ACS Style

Chauhan, A.; Tomar, A.; Ali, M.; Raju, S.S.K. Similarity Solutions of Spherical Strong Shock in an Inhomogeneous Self-Gravitating Medium Using Lie Group Approach. Symmetry 2025, 17, 662. https://doi.org/10.3390/sym17050662

AMA Style

Chauhan A, Tomar A, Ali M, Raju SSK. Similarity Solutions of Spherical Strong Shock in an Inhomogeneous Self-Gravitating Medium Using Lie Group Approach. Symmetry. 2025; 17(5):662. https://doi.org/10.3390/sym17050662

Chicago/Turabian Style

Chauhan, Antim, Amit Tomar, Musrrat Ali, and S. Suresh Kumar Raju. 2025. "Similarity Solutions of Spherical Strong Shock in an Inhomogeneous Self-Gravitating Medium Using Lie Group Approach" Symmetry 17, no. 5: 662. https://doi.org/10.3390/sym17050662

APA Style

Chauhan, A., Tomar, A., Ali, M., & Raju, S. S. K. (2025). Similarity Solutions of Spherical Strong Shock in an Inhomogeneous Self-Gravitating Medium Using Lie Group Approach. Symmetry, 17(5), 662. https://doi.org/10.3390/sym17050662

Note that from the first issue of 2016, this journal uses article numbers instead of page numbers. See further details here.

Article Metrics

Back to TopTop