Next Article in Journal
Structural Damage Identification Using Data Fusion and Optimization of the Self-Adaptive Differential Evolution Algorithm
Previous Article in Journal
Discrete-Time Dynamical Systems on Structured State Spaces: State-Transition Laws in Finite-Dimensional Lie Algebras
 
 
Font Type:
Arial Georgia Verdana
Font Size:
Aa Aa Aa
Line Spacing:
Column Width:
Background:
Article

Stability Analysis of Parametric Vibration in Overhead Conductors Under Time-Varying Tension

School of Mechanical Engineering, Inner Mongolia University of Science and Technology, Baotou 014010, China
*
Author to whom correspondence should be addressed.
Symmetry 2025, 17(3), 464; https://doi.org/10.3390/sym17030464
Submission received: 24 January 2025 / Revised: 15 March 2025 / Accepted: 18 March 2025 / Published: 20 March 2025
(This article belongs to the Section Engineering and Materials)

Abstract

This paper investigates the impact of dynamic tension induced by adjacent span vibrations on the vibrational characteristics of overhead conductors. A simplified model is established, considering the overhead conductor with a symmetric structure as a simply supported flexible long wire subjected to axial time-varying tension at one end. The transverse motion partial differential equation of the overhead conductor under time-varying tension is formulated and discretized into a parametric vibration equation with time-varying coefficients using the Galerkin method. Based on Floquet theory, the study systematically analyzes the influence of time-varying tension on system stability, delineates the boundaries of parametric resonance instability regions, and conducts time-history analysis of vibrational responses within these regions. The research demonstrates that when the frequency of the time-varying tension approaches the line’s natural frequency or its double, the system is prone to instability. While the damping coefficient can enhance system stability, it has limited effectiveness in suppressing the primary instability region. The study found that the vibrational responses of parametric vibrations exhibit nearly symmetric distributions within the instability regions and along the critical boundaries. Adjusting the frequency differences between adjacent spans effectively mitigates the parametric resonance issues in overhead conductors, providing valuable insights for engineering design.

1. Introduction

The safe and stable operation of overhead conductors serves as a fundamental foundation for ensuring the reliability of power engineering systems [1]. Overhead conductors in service are continuously exposed to complex natural environments, subjected to various environmental loads such as wind, rain, and snow, which can easily induce vibrations in single or multiple spans of the line. Overhead conductors are typically slender flexible structures, often regarded as cable–beam systems. Their vibration modes primarily include in-plane transverse vibrations, out-of-plane swinging around the span end fixed points, and torsional vibrations around their own axes [2]. Significant progress has been achieved in understanding the vibration characteristics of conductors under wind loads through the work of many researchers [3,4,5,6]. These studies predominantly focus on single-span conductors and adopt methods such as frequency domain analysis, aeroelastic modeling, numerical simulations, and wind tunnel tests to investigate the mechanisms of wind-induced vibrations, such as aeolian vibration and galloping, as well as the static and dynamic properties of conductors. However, due to differences in research focus, most studies have not accounted for the influence of adjacent spans under wind loading, particularly the coupling effects of axial periodic movements from adjacent spans or towers on the system’s stability.
In practical engineering, overhead conductors are composed of multiple spans connected by suspension insulator strings, forming a complex tower–line system that complicates the dynamic behavior [7]. The distinctive feature of multi-span conductor vibrations is the coupling between adjacent spans and the synchronous vibration of insulators [8,9]. This coupling can induce tension compensation effects, significantly altering the dynamic characteristics of the conductors. Xie et al. [10] highlighted the critical role of suspension insulator strings in energy transfer between adjacent spans and established a nonlinear equation set for coupled vibrations of two transmission lines and insulator strings based on in-plane swinging of the insulator strings, revealing the mechanism of system resonance under specific natural frequency matching conditions. Liu et al. [11] investigated the impact of axial displacement excitation on conductor parametric resonance, indicating through theoretical analysis and simulation experiments that conductors may experience large transverse oscillations at specific end excitation frequencies. Wu [12] described conductor displacements in multi-span lines using modal displacements of single-span conductor modes and simplified conductor dynamic tension as a linear function of vertical modal displacement to study coupled vibrations in multi-span lines. Huo [13] equated the dynamic tension generated by adjacent span conductor galloping to axial excitation on that span, studying the effects of excitation frequency and amplitude on system dynamic characteristics during 1:1 parametric resonance. Liu et al. [14] considered the impact of span end movements on lines, deriving a dynamic stiffness expression for two-span transmission lines at any inclination based on displacement and force continuity at suspension points, indicating that periodic excitation significantly affects conductor free vibrations. Additionally, Huo et al. [15] considered the effects of insulator strings and adjacent conductors, establishing a conductor curved beam model with elastic boundaries to study the regulation of conductor galloping wind speed ranges by spring stiffness boundaries. Although these studies have simplified the modeling of span end movements or adjacent vibrations (such as dynamic displacement boundaries, dynamic elastic boundaries, equivalent excitation forces, etc.) and analyzed their dynamic responses, the existing literature indicates that system instability induced by parametric excitation cannot be ignored.
The literature [16,17,18,19] further indicates that during de-icing or galloping, conductors often experience significant fluctuations in tension, with dynamic tension amplitudes sometimes exceeding static tension under certain conditions. Due to the high sensitivity of long flexible conductors to end movements, even weak initial excitations can trigger severe oscillations, increasing conductor stress, accelerating metal fatigue, and potentially leading to catastrophic outcomes [20]. The periodic variation in span end tension inevitably induces parametric excitation vibrations in adjacent spans, possibly resulting in coupling effects between neighboring conductors. Therefore, an in-depth study of parametric vibration in overhead conductors under time-varying tension is of great significance for both engineering applications and theoretical analysis.
Parametric vibration systems are time-varying systems that typically do not have analytical solutions. For such dynamic problems, numerical methods such as the finite element method [21], Runge–Kutta method [22], differential quadrature method [23], and finite difference method [24] have been proven to be effective and accurate. However, they have limitations when dealing with the complex instability phenomena induced by parametric resonance. These methods can compute system responses under specific parameters but struggle to efficiently identify stable and unstable regions within the parameter space. A comprehensive analysis of the global stability of the system requires strict instability criteria. To establish instability criteria for parametrically excited systems, two main analytical approaches have been developed. One approach involves determining the boundary frequencies between stable and unstable regions by seeking periodic solutions of the parametrically excited system. This includes methods such as the Harmonic Balance Method (HBM) and asymptotic methods (AMs). Among these, Bolotin’s method is the most representative application of the HBM [25]. Bolotin utilized Fourier series expansion with the HBM to transform the problem of determining dynamic instability boundaries into solving the characteristic determinant of a parametrically excited system. Asymptotic methods primarily include the Method of Small Parameters and the Method of Multiple Scales, with Hsu’s studies being particularly influential in this field [26]. These techniques simplify nonlinear equations of motion with time-varying coefficients into Mathieu equations (for single-frequency excitation) [27,28] or Hill equations (for multi-frequency excitation) [29], enabling the use of Strutt diagrams to estimate system stability. However, both approaches have certain limitations. Bolotin’s characteristic determinant method cannot handle cases of combined resonance. Moreover, considering damping effects often results in ill-conditioned matrices, leading to computational inefficiency in boundary frequency equation derivation. On the other hand, asymptotic methods lack accuracy when analyzing higher-order resonances or primary instability regions involving large parameters and are challenging to extend to the analysis of multi-degree-of-freedom systems. In contrast to these methods, the Floquet exponent method, based on Floquet theory, provides a direct and efficient means of evaluating system stability. This method directly assesses system stability by solving the eigenvalues of the state transition matrix for time-varying differential equations. With advancements in numerical algorithms and computational tools, the Floquet exponent method has been widely adopted for the dynamic analysis of multi-degree-of-freedom systems [30,31,32,33]. In addition to theoretical studies, experimental research on parametric vibration has also garnered significant attention. Experimental studies not only validate the accuracy of theoretical models but also reveal the mechanisms of stability and instability under complex excitation conditions [34,35]. Although extensive research has explored the instabilities of parametrically excited systems, specific studies on the parametric vibrations of overhead conductors remain relatively scarce. Under the influence of vibrations from adjacent spans, overhead conductors may exhibit complex dynamic behaviors and instability phenomena. Therefore, systematic analyses are urgently needed to comprehensively investigate the stability and dynamic response characteristics of overhead conductors under time-varying tension.
This paper focuses on the impact of dynamic tension induced by adjacent span vibrations on the stability of long flexible conductors, with a particular emphasis on the parametric vibration stability regions and time-history response characteristics of long flexible conductors under axial time-varying tension. By establishing in-plane motion equations for long flexible conductors considering axial time-varying tension, the study simplifies high-order variable coefficient partial differential equations into low-order ordinary differential equations using the Galerkin method. Based on Floquet theory, the stability regions of the conductors are mapped, and the effects of the damping coefficients, time-varying tension amplitudes, and frequencies on their dynamic stability and response characteristics are systematically analyzed.

2. Parametric Vibration Equation of Overhead Conductors

To explore the system stability of conductors under the combined effect of inherent tension and dynamic end tension induced by vibrations in adjacent spans, the tension variations caused by neighboring span vibrations are simplified to time-varying tension [13]. The mechanical model of the system is illustrated in Figure 1.
Given the structural characteristic of overhead conductors with a large aspect ratio, this study refers to the classical overhead conductor modeling method [36]. Based on the Euler–Bernoulli beam theory, an overhead conductor model considering damping effects and time-varying tension is constructed. In this model, one end of the conductor is subjected to time-varying tension, and the transverse vibration motion equation can be expressed as follows:
E I 4 y ( x , t ) x 4 T c + T v cos ( 2 π f v t ) 2 y ( x , t ) x 2 + c y ( x , t ) t + m 2 y ( x , t ) t 2 = 0
where y(x,t) represents the instantaneous displacement of the in-plane vibration of the overhead conductor; x is the coordinate along the length; t denotes time; EI is the bending stiffness of the conductor; m is the unit mass per length of the conductor; and c is the damping coefficient. Tc is the constant tension in the conductor, while Tv and fv represent the amplitude and frequency of the time-varying tension at the end of the span, respectively.
Assuming that the ends of the conductor spans are simply supported, where the displacement and bending moment equal zero [37], the boundary conditions can be described as follows:
y ( 0 , t ) = 0 ,                     2 y ( 0 , t ) x 2 = 0                             y ( L , t ) = 0 ,                     2 y ( L , t ) x 2 = 0            
Equation (1) is a fourth-order partial differential equation with time-varying coefficients. The Galerkin method is used for spatial discretization, representing the instantaneous displacement as a superposition of modal displacements:
y ( x , t ) = n = 1 η n ( t ) φ n ( x ) , x [ 0 , L ]
In the equations, η n ( t ) represents the modal amplitude, φ n ( x ) denotes the mode shape, and n is the mode number (a positive integer). The mode shapes of the conductor are approximately sinusoidal, expressed as follows:
φ n ( x ) = sin n π x L , n = 1 , 2 ,
Substituting Equations (3) and (4) into Equation (1) yields the following:
n = 1 E I n 4 π 4 η n ( t ) L 4 + T c + T v cos ( 2 π f v t ) n 2 π 2 η n ( t ) L 2 + m η ¨ n ( t ) + c η ˙ n ( t ) sin n π x L = 0
Multiplying Equation (5) by the mode shape φ m ( x ) , integrating along the length of the conductor from x = 0 to x = L, and applying orthogonality conditions, the following simplified expression is obtained:
η ¨ n ( t ) + c m η ˙ n ( t ) + ( 2 π f n ) 2 η n ( t ) + T v m ( n π L ) 2 cos ( 2 π f v t ) η n ( t ) = 0 ,   n = 1 , 2 ,
Here, fn represents the natural frequency of the n-th mode of the system [34], given as follows:
f n = n 2 L T c m + ( n π L ) 2 E I m
where L represents the span length of the overhead conductor. Through orthogonalization, the modal degrees of freedom are decoupled, allowing the originally complex time-varying system to be decomposed into an infinite number of independent and uncoupled second-order differential equations with time-varying coefficients. For ease of computation, based on the transformation in Equation (8), Equation (6) is truncated and rewritten as a finite system consisting of 2N first-order differential equations.
d η n d t = η N + n d η N + n d t = c m η N + n ( 2 π f n ) 2 η n n 2 π 2 T v m L 2 cos ( 2 π f v t ) η n ( n = 1 , 2 , 3 N )
In this context, N represents the total number of modes considered in the analysis. An arbitrary mode can be represented as follows:
η ˙ 1 η ˙ N η ˙ N + 1 η ˙ 2 N = 0 0 1 0 0 0 0 1 ( 2 π f 1 ) 2 T v m ( π L ) 2 cos ( 2 π f v t ) 0 c m 0 0 ( 2 π f N ) 2 T v m ( N π L ) 2 cos ( 2 π f v t ) 0 c m η 1 η N η N + 1 η 2 N
The matrix form of Equation (9) is expressed as follows:
η ˙ = A ( t ) η
The symbol η = [ η 1 , η 2 , , η 2 N ] T represents the derivative with respect to time t, and A ( t ) is a 2N × 2N matrix that varies periodically with time, i.e., A ( t ) = A ( T + t ) , where T = 1/fv denotes the period. Equation (9) describes the time-history response of a multi-degree-of-freedom system under time-varying parametric excitation.
Due to the periodicity of the parameter in the coefficient matrix, the solutions to the equations exhibit various behaviors corresponding to different physical phenomena in the system’s time-history response. To analyze the stability of the solution and explore the response characteristics of the conductor model under time-varying tension, Floquet theory is introduced for further discussion.
Floquet theory is an effective method for analyzing the stability of solutions to linear ordinary differential equations with periodic coefficients. Its core idea is to construct the state transition matrix Φ ( t ) and calculate its eigenvalues (known as Floquet multipliers) to determine the system’s stability. Assume that Φ ( t ) is the state transition matrix of Equation (9), which is a 2N × 2N matrix whose columns are the linearly independent solutions of Equation (9). The state transition matrix at any given time can be expressed as follows:
Φ ˙ ( t ) = A ( t ) Φ ( t )
Floquet theory states that the stability of the system depends on the eigenvalues of the state transition matrix Φ ( t ) at the end of one period, also referred to as Floquet multipliers. The criterion for stability is as follows: if the modulus of all Floquet multipliers is less than or equal to 1, the solution of the system is stable; otherwise, the system is unstable.
By setting the initial condition Φ ( 0 ) = Ι (identity matrix) and integrating Equation (11), the state transition matrix Φ ( t ) at the end of one period can be obtained. Further computation of the eigenvalues λi of Φ ( t ) allows for distinguishing between the stable and unstable regions of the system according to the stability criterion. The detailed numerical calculation process can be found in [38], which provides practical guidance for implementation. This provides a theoretical foundation for further analysis of the stability of the conductor model under time-varying tension. To validate the reliability of the research theoretical method and the accuracy of numerical analysis of dynamic instability regions, a study was conducted on the stability of parameter vibrations with damping models. During the validation process, parameters were strictly selected according to the settings in reference [34], and the comparison results are shown in Figure 2.
Figure 2 illustrates the dynamic instability regions of a damped flexible long cylinder under time-varying tension. Figure 2a presents the results from reference [34], where the blue regions indicate instability and the white regions indicate stability. Figure 2b shows the results of this study based on reference [34], where the yellow regions represent instability and the dark blue regions represent stability. To more intuitively reflect the comparison results, red circles mark the experimental cases from reference [34] in this study. The results show the instability regions of the first and second modes, which are highly consistent with the instability regions in the literature, indicating the computational accuracy of the developed program and the reliability of the method. The next section will analyze the stability of overhead conductors under time-varying tension using the program developed based on this theoretical method and numerical analysis.

3. Stability Analysis of Parametric Vibration

This study conducts an in-depth numerical analysis of the parametric vibration stability of overhead conductors under time-varying tension. The JL/G1A-300/40 type overhead conductor is selected as the research object, and its geometric and mechanical parameters are listed in Table 1. In practical engineering, the instability of conductors typically manifests as low-frequency (0.08 to 3 Hz), large-amplitude galloping [11,13]. Research data in the galloping state indicate that the dynamic tension amplitude is close to the fixed tension [19]. This paper focuses on analyzing the stability characteristics of overhead conductors when the maximum amplitude of the time-varying tension equals the fixed tension and the frequency ranges from 0.08 Hz to 3 Hz, aiming to comprehensively understand the patterns of their parametric vibration stability. The natural frequencies of various modes calculated using Equation (7) are summarized in Table 2. The study investigates the dynamic instability characteristics of overhead conductors from both single-mode and multi-mode perspectives to comprehensively understand the patterns of their parametric vibration stability.

3.1. Single-Mode Stability Analysis

This section focuses on analyzing the dynamic instability characteristics of overhead conductors in undamped models, with emphasis on the unstable regions induced by parametric resonance in the case of single modes.
Figure 3 shows the dynamic instability regions caused by parametric resonance in the first mode. By analyzing the six unstable regions in the figure, the distribution of critical instability frequencies exhibits certain regularities. From right to left: The frequency of the first unstable region is 0.56 Hz, which is twice the first-mode frequency. The second unstable region has a frequency of 0.28 Hz, equal to the first-mode frequency. The third unstable region occurs at 0.187 Hz, which is 2/3 of the first-mode frequency. The fourth unstable region appears at 0.14 Hz, which is 2/4 of the first-mode frequency. The fifth unstable region lies at 0.112 Hz, which is 2/5 of the first-mode frequency. The sixth unstable region is located at 0.0933 Hz, which is 2/6 of the first-mode frequency. During parametric resonance, the critical instability frequency fv of the unstable regions can be described using the following formula:
f v = 2 f i P
where fv is the frequency of the time-varying tension, fi is the i-th natural frequency of the overhead conductor, and P is a positive integer representing the order of the unstable region.
Figure 3 illustrates that the first unstable region occupies the majority of the instability domain, making it more likely for structural parameter values of overhead conductors to fall within this region. Thus, in engineering practices, the first unstable region is often referred to as the primary instability region, which holds particular importance. From bottom to top, it can be seen that as the amplitude of the time-varying tension increases, higher-order unstable regions gradually emerge, the frequency range affected by parametric resonance expands, and the unstable regions become significantly wider. This indicates that under the influence of time-varying tension, accurately determining the boundaries of unstable regions is critical.
Figure 4 illustrates the dynamic instability regions caused by parametric resonance in the second and third modes. The study reveals that the critical instability frequencies for unstable regions of different modes all conform to Equation (12). Additionally, under the same amplitude of time-varying tension, higher modal orders exhibit wider frequency bands for instability, whereas the amplitude of time-varying tension required to induce parametric resonance is lower. This indicates that higher modes are more prone to instability. Although high-order unstable regions are relatively narrow, when system parameters fall within these regions, overhead conductors still face significant risks.
In actual power grids, the amplitude of time-varying tension is typically determined by the operating conditions of the equipment and cannot be arbitrarily adjusted. Therefore, adjusting the frequency of time-varying tension has proven to be an effective method to avoid instability regions. According to [13], the frequency of time-varying tension matches the natural frequency of adjacent span conductors. To address this issue, modifying the natural frequencies of adjacent span conductors provides a viable solution. Based on Equation (7), adjacent span overhead conductors have similar material properties and nearly identical static tensions. As a result, their natural frequencies can be effectively tuned by varying the conductor’s span length, which helps mitigate the occurrence of parametric vibrations. For multi-span transmission lines, alternating long and short spans can stagger the natural frequencies of adjacent spans, thereby avoiding resonance-induced instability caused by time-varying tension frequencies.

3.2. Multi-Mode Stability Analysis

To further investigate the dynamic instability characteristics of overhead conductors in multi-mode scenarios, the critical instability frequency fv = 2fi/P for unstable regions is used, considering the first ten modes to meet the requirements of practical engineering conditions.
Figure 5 depicts the distribution of instability regions for multiple modes under undamped conditions. It can be observed that within the range of time-varying tension frequencies shown in the figure, the first-order instability regions of the first five modes are excited. Due to the large aspect ratio of overhead conductors, their natural frequency spectrum is very dense, resulting in overlapping unstable regions across different modes. This explains why higher-order instability regions for even-numbered modes (e.g., 2nd, 4th, 6th modes) are not clearly displayed. In practice, due to the overlap of unstable regions and the limitations of numerical algorithm precision, it is challenging to accurately represent instability regions at higher orders. However, the distribution of the first-order instability regions remains distinctly visible. Combining this with the single-mode analysis, the multi-mode effect further increases the coverage of unstable regions. However, in practical engineering applications, due to the presence of damping, higher-order instability regions are typically suppressed.
The damping mechanism of overhead conductors is complex and lacks a unified mathematical expression. In practical engineering, the intrinsic damping ratio of conductors typically ranges from 0.01% to 0.06%, and it approximately increases quadratically with frequency [39]. Preliminary studies indicate that small damping coefficients have a relatively weak influence across the entire parameter domain. To systematically investigate the impact of linear damping coefficients on the parametric vibration stability of overhead conductors, this section expands the range of damping coefficients examined. Linear damping coefficients (c = 0.05, 0.1, 0.2, 0.4, 0.6, 0.8) are selected for analysis, with the results presented in Figure 6.
Compared with undamped conditions, the introduction of the linear damping coefficient effectively reduces the size of the instability regions, particularly in higher-order instability regions, where the area shrinks rapidly. At the same amplitude of time-varying tension, as the damping coefficient increases, the bandwidth of the primary instability region for lower-order modes decreases more significantly. This indicates that lower-order modes are more sensitive to damping, and damping has a stronger suppressive effect on them. Moreover, with increasing damping, the minimum required amplitude of time-varying tension to trigger parametric resonance also increases, demonstrating that enhancing damping can significantly improve the system’s dynamic stability. However, for larger amplitudes of time-varying tension within the primary instability region, even a significant increase in the damping coefficient only has a limited effect in eliminating the instability regions. This reflects the limitations of damping in suppressing the primary instability region. From the above analysis, in engineering applications, the influence of higher-order instability regions can generally be neglected due to their suppression by damping. Consequently, the primary instability region for the first-order mode becomes the main focus of attention in preventing instability. By installing vibration dampers on overhead conductors, the instability regions can be effectively reduced, and the parametric vibration stability of the system can be improved.
In the stability analysis of the aforementioned overhead conductors, the fourth-order Runge–Kutta method is used to solve the state transition matrix. After the calculations are completed, the program automatically extracts the modulus of the Floquet multipliers and performs a stability assessment, followed by plotting the Strutt diagram. The numerical simulations were conducted using a program written in MATLAB 2022b, running on a computer equipped with an Intel(R) Core(TM) i9-14900HX 2.20 GHz CPU and 32 GB of RAM. Each figure involved more than 500 million data points, and the calculation and visualization processes typically take 5–7 days to complete. To improve the efficiency of numerical calculations, higher-performance workstations can be employed.

4. Parametric Vibration Response Characteristics

To gain a deeper understanding of the effects of parametric vibration on the dynamic response of overhead conductors, this section employs the Dormand–Prince method to analyze the time-history response at six characteristic points located in the stable region, unstable region, and critical line shown in Figure 7. Figure 7 illustrates the distribution of dynamic instability regions at a damping coefficient of 0.1. The results of this study were obtained using MATLAB 2022b by programming, utilizing the built-in function ode45 to solve Equation (6). In the study, the initial conditions were set as η n = 0.01 and η ˙ n = 0 . It is worth noting that the vibration patterns of the last five modes are consistent with the unexcited modal responses of the first five modes. Additionally, parametric vibration responses are significantly influenced by damping coefficients and initial conditions. Therefore, the discussion here aims to reveal the general trends of parametric vibration rather than provide precise predictions for engineering applications. The vibration response curves at different characteristic points are shown in Figure 8, Figure 9, Figure 10 and Figure 11.

4.1. Vibration Responses in the Stable Region

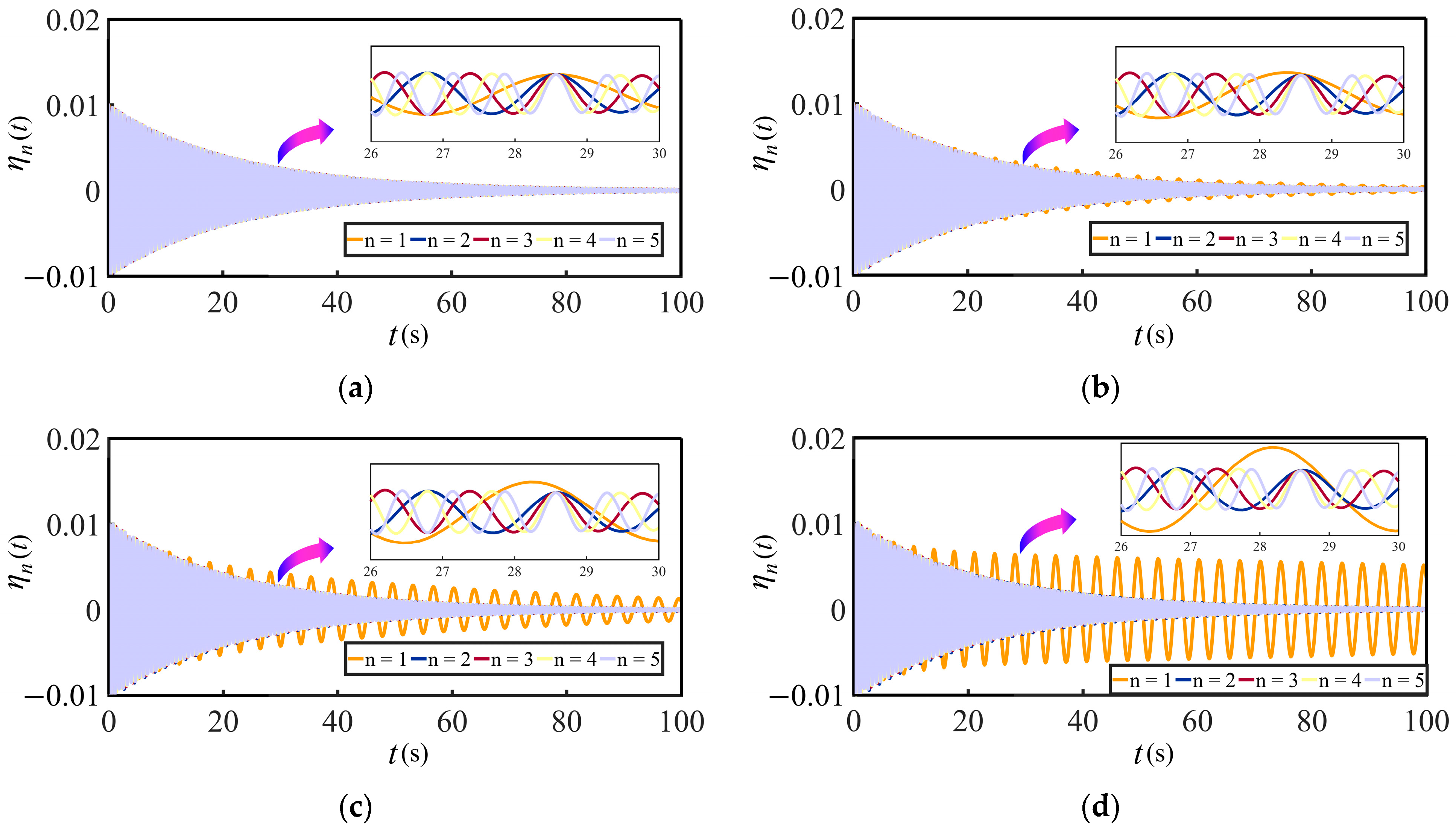
Figure 8 shows the vibration responses at characteristic points A, B, C, and D located in the stable region. The frequency of the time-varying tension is 0.56 Hz, and the amplitudes of the time-varying tension are 0 N, 1000 N, 2000 N, and 3000 N, respectively.
From the response trends at the four points in Figure 8, it can be observed that the parametric vibration responses of the first five modes decay over time and eventually approach zero, indicating that the system is in a stable state. It is noteworthy that as the amplitude of the time-varying tension increases, the decay rate of the first mode’s response becomes slower than that of the other modes, suggesting that only the first mode is excited while the other modes remain unexcited. This phenomenon is directly related to the amplitude and frequency of the time-varying tension applied to the conductor system. Specifically, points A, B, C, and D are all located just below the first instability region of the first mode. As the amplitude of the time-varying tension gradually increases, the system transitions from the stable region to the unstable region, and the first mode becomes excited. This transition is not instantaneous but a gradual excitation process. In the stable region, the vibration responses of all modes ultimately decay, allowing the overhead conductor to maintain a stable state. Through the detailed zoom-in of Figure 8, a new phenomenon was observed, leading to the selection of the 20 to 30 s time interval for analysis.
Figure 9 provides a zoomed-in view of the dynamic responses of the first five modes at points A, B, C, and D within the time range of 20 to 30 s under different time-varying tension conditions. In the absence of time-varying tension, the red dashed lines in Figure 9a mark the overlapping points of the sixth to eighth local maxima for each mode. This phenomenon arises due to the natural frequencies of the first five modes being integer multiples of one another, leading to synchronous maximum amplitudes at specific moments. As shown in Figure 9b–d, the introduction of time-varying tension causes the six to eight local peak points of the first mode to shift earlier. This advancing trend becomes more pronounced with the increasing amplitude of the time-varying tension. Further analysis reveals that the frequency of the time-varying tension is precisely twice that of the first mode, causing parametric vibration and inducing a frequency drift in the first mode. This frequency alteration causes the first mode to reach its energy accumulation peak earlier than the other modes, highlighting the influence of parametric resonance on modal response. In contrast, the other four modes maintain their original synchronous amplitude characteristics as the parametric resonance condition is not triggered by the time-varying tension. Notably, similar phenomena observed in Figure 9 were also found near the first instability region of the other four modes, confirming their universal nature.

4.2. Vibration Responses on the Critical Line

Figure 10 shows the vibration response at point E, which is located on the critical line. Here, the frequency of the time-varying tension is 0.56 Hz, and the amplitude of the time-varying tension is 3200 N.
In Figure 10, the responses of all higher-order modes, except for the first mode, gradually decrease and eventually converge to zero. The response of the first mode, however, reaches a relatively stable state at t = 24.7 s, with its amplitude exhibiting an extremely slow decreasing trend. This indicates that the first mode displays asymptotic stability, which is a typical feature of system responses within the critical region. In the critical region, the responses of excited modes exhibit asymptotic stability, while the responses of unexcited modes gradually decay. Therefore, under these conditions, the overhead conductor remains in a stable state. However, due to the prolonged duration of the vibration process, it is advisable to avoid such combinations of time-varying tension to minimize potential risks.

4.3. Vibration Responses in the Unstable Region

Figure 11 illustrates the vibration responses at points F and G, which are located in the unstable region. The frequency of the time-varying tension is 1.12 Hz, and the amplitudes of the time-varying tension are 3200 N and 6400 N, respectively.
In Figure 11a, the second mode is significantly excited, with its response amplitude far exceeding that of other modes, while the other modes remain unexcited. The vibration responses of these unexcited modes gradually decay over time and ultimately approach zero, demonstrating a clear single-mode response in the system. In contrast, in Figure 11b, the second mode dominates the response, with its amplitude exhibiting an approximately exponential growth over time, which reflects the typical phenomenon of parametric resonance. Comparing Figure 10 with Figure 11a, it can be observed that under the same amplitude of time-varying tension, the response within the primary instability region of the second mode is more pronounced than that of the first mode. In the unstable region, parametric resonance primarily manifests as single-mode vibration. Once a specific mode is effectively triggered by the time-varying tension, the overhead conductor system rapidly transitions into an unstable state, thereby introducing greater structural risks.

5. Conclusions

This study, based on the Galerkin method and Floquet theory, comprehensively investigates the parametric resonance behavior of overhead conductors under time-varying tension. By identifying the unstable regions for each mode, the stability and parametric vibration response characteristics of overhead conductors under time-varying tension are systematically analyzed. The main conclusions are summarized as follows:
(A)
When the frequency of the time-varying tension approaches either the natural frequency of the conductor or its second harmonic, the system is highly susceptible to instability. To effectively mitigate this instability, the natural frequencies of adjacent spans can be adjusted (e.g., by employing an alternating layout strategy with varying span lengths) to avoid the parametric resonance instability regions.
(B)
Increasing the damping coefficient can reduce the size of the instability regions and is particularly effective in suppressing higher-order instability zones. However, within the primary instability zone, the damping effect becomes limited when the amplitude of the time-varying tension is large.
(C)
In stable regions, the vibration responses of all modes gradually decay to zero over time, demonstrating good dynamic stability of the system. However, as the system approaches parametric resonance conditions, the decay rate of modal vibration responses slows down, accompanied by frequency drift. In unstable regions, the response amplitude of the excited mode grows exponentially, ultimately leading the system to rapidly enter an unstable state. This phenomenon is primarily characterized by dynamically unstable behavior dominated by a single mode.
This study examines the parametric vibration stability of overhead conductors, providing critical theoretical support for the design and maintenance of transmission lines. However, the current modeling of vibrations in adjacent spans remains relatively rudimentary. Future research should delve deeper into nonlinear dynamic behaviors under complex conditions, such as the influence of nonlinear damping, large deflection deformations of conductors, and fluid–structure interactions on system stability. These factors significantly increase the complexity of motion equations and pose considerable challenges for their solution. To address these challenges, it is advisable to employ advanced three-dimensional nonlinear finite element methods to simulate the coupling effects between overhead conductors and environmental factors (e.g., wind, ice loads, and fluid dynamics). Currently, specific extended research efforts on the nonlinear behavior of parametric vibrations in overhead conductors are underway.

Author Contributions

Methodology, X.C. and M.H.; software, X.C. and M.H.; validation, X.C., M.H., X.Y. and B.W.; formal analysis, X.C., X.Y. and B.W.; investigation, M.H. and X.Y.; data curation, X.Y. and B.W.; writing—original draft preparation, X.C.; writing—review and editing, X.C., M.H., X.Y. and B.W.; visualization, M.H.; supervision, X.C. All authors have read and agreed to the published version of the manuscript.

Funding

This research is supported by the Natural Science Foundation of Inner Mongolia Autonomous Region (Grant Nos. 2019MS05009 and 2024LHMS05023).

Data Availability Statement

The data presented in this study are available on request from the corresponding author due to privacy, legal, or ethical reasons.

Conflicts of Interest

The author Xiaojun Chen works at the School of Mechanical Engineering, Inner Mongolia University of Science and Technology. The remaining authors declare that the research was conducted in the absence of any commercial or financial relationships that could be construed as a potential conflict of interest.

References

  1. Zhang, J.; Wang, B.; Ma, H.; Li, X. A review of intelligent depth distance perception research for power transmission line corridor scenarios. Processes 2024, 12, 2392. [Google Scholar] [CrossRef]
  2. Jafari, M.; Hou, F.; Abdelkefi, A. Wind-induced vibration of structural cables. Nonlinear Dynam. 2020, 100, 351–421. [Google Scholar] [CrossRef]
  3. Liu, X.; Yang, S.; Min, G.; Wang, W. Investigation on the accuracy of approximate solutions obtained by perturbation method for galloping equation of iced transmission lines. Math. Probl. Eng. 2021, 2021, 6651629. [Google Scholar] [CrossRef]
  4. Yang, S.; Chouinard, L.; Langlois, S.; Zhang, T. Predicting distribution of aeolian vibration amplitude of undamped overhead transmission lines. J. Wind Eng. Ind. Aerod. 2024, 250, 105779. [Google Scholar] [CrossRef]
  5. Cui, F.; Zheng, K.; Liu, P.; Sun, Y. Spatial galloping behavior of iced conductors under multimodal coupling. Sensors 2024, 24, 784. [Google Scholar] [CrossRef]
  6. Gao, M.; Chen, Z.; Su, J.; Wang, Q. Experimental study on the galloping characteristics of single ice-coated transmission lines under oblique flows. Sci. Rep. 2023, 13, 5172. [Google Scholar] [CrossRef]
  7. Rienstra, S.W. Nonlinear free vibrations of coupled spans of overhead transmission lines. J. Eng. Math. 2005, 53, 337–348. [Google Scholar] [CrossRef]
  8. Du, S.; Chen, M.; Tang, B.; Li, Z. Numerical simulation of galloping characteristics of multi-span iced eight-bundle conductors. Front. Energy Res. 2022, 9, 812367. [Google Scholar]
  9. Zheng, J.Y.; Shen, Q.H.; Liu, X.H. Investigation into the galloping characteristics of multispan iced covered conductors. IEEE Access 2022, 10, 64580–64600. [Google Scholar] [CrossRef]
  10. Xie, X.Z.; Shen, W.C.; Peng, J.; Meng, Q. Modeling and analysis of nonlinear coupled vibration of transmission line system. J. Disaster Prev. Mitig. Eng. 2016, 36, 972–977. (In Chinese) [Google Scholar]
  11. Liu, L.; Hao, Z.; Cui, Y.; Zhou, J. Parametric resonance mechanism of conductor galloping without icing on overhead line. J. Vib. Eng. 2018, 31, 308–313. (In Chinese) [Google Scholar]
  12. Wu, Y.; Chen, X. Prediction and characterization of three-dimensional multi-mode coupled galloping of multi-span ice-accreted transmission conductors. J. Wind Eng. Ind. Aerodyn. 2023, 241, 105516. [Google Scholar] [CrossRef]
  13. Huo, B.; Liu, X.J.; Zhang, S.X. Complex response of galloping for an iced transmission line considering excitation of adjacent span. Eng. Mech. 2016, 33, 249–256. (In Chinese) [Google Scholar]
  14. Liu, X.; Hu, Y.; Cai, M. Free vibration analysis of transmission lines based on the dynamic stiffness method. R. Soc. Open Sci. 2019, 6, 181354. [Google Scholar] [CrossRef]
  15. Huo, T. Multi-Scale Method Galloping Analysis of the Iced Transmission Line Based on Curved-Beam Model and Considering Elastic Boundary Condition. Master’s Thesis, Chongqing University, Chongqing, China, 2014. (In Chinese). [Google Scholar]
  16. Meng, X.; Wang, L.; Hou, L.; Zhang, T. Dynamic characteristic of ice-shedding on UHV overhead transmission lines. Cold Reg. Sci. Technol. 2011, 66, 44–52. (In Chinese) [Google Scholar] [CrossRef]
  17. Yang, X.H.; Zhang, B.; Song, Y.; Li, P. Analysis of dynamic tension characteristics of insulator string under ice-shedding. Cold Reg. Sci. Technol. 2022, 39, 104–108. (In Chinese) [Google Scholar]
  18. Wang, Z.Q.; Qi, L.Z.; Wang, J.; Liu, Q. Experiments on the dynamic tension of an overhead conductor under the asynchronous ice shedding. J. Vib. Shock. 2016, 35, 61–65. (In Chinese) [Google Scholar]
  19. Lv, Z.; Liu, X.; Zhang, B.; Hu, L. Dynamic characteristic of conductor after ice-shedding and simulation analysis of the tension insulator string. IEEE Access 2022, 10, 118484–118497. [Google Scholar]
  20. Zhou, C. In-plane nonlinear vibration of overhead power transmission conductors with coupling effects of wind and rain. IEEE Access 2021, 9, 63398–63405. [Google Scholar] [CrossRef]
  21. Park, H.I.; Jung, D.H. A finite element method for dynamic analysis of long slender marine structures under combined parametric and forcing excitations. Ocean Eng. 2002, 29, 1313–1325. [Google Scholar] [CrossRef]
  22. Chatjigeorgiou, I.K.; Mavrakos, S.A. Nonlinear resonances of parametrically excited risers—Numerical and analytic investigation for Ω = 2ω1. Comput. Struct. 2005, 83, 560–573. [Google Scholar] [CrossRef]
  23. Zhang, Y.; Gui, Q.; Yang, Y.; Li, W. The Instability and Response Studies of a Top-Tensioned Riser under Parametric Excitations Using the Differential Quadrature Method. Mathematics 2022, 10, 1331. [Google Scholar] [CrossRef]
  24. Chatjigeorgiou, I.K. On the parametric excitation of vertical elastic slender structures and the effect of damping in marine applications. Appl. Ocean Res. 2004, 26, 23–33. [Google Scholar] [CrossRef]
  25. Bolotin, V.V. Dynamic Stability of Elastic Systems; Holden-Day Inc.: San Francisco, CA, USA, 1964. [Google Scholar]
  26. Hsu, C.S. The response of a parametrically excited hanging string in fluid. J. Sound Vib. 1975, 39, 305–316. [Google Scholar] [CrossRef]
  27. Patel, M.H.; Park, H.I. Dynamics of tension leg platform tethers at low tension. Part I-Mathieu stability at large parameters. Mar. Struct. 1991, 4, 257–273. [Google Scholar] [CrossRef]
  28. Patel, M.H.; Park, H.I. Combined axial and lateral responses of tensioned buoyant platform tethers. Eng. Struct. 1995, 17, 687–695. [Google Scholar] [CrossRef]
  29. Xiao, F.; Yang, H.Z. Probabilistic assessment of parametric instability of a top tensioned riser in irregular waves. J. Mar. Sci. Technol. 2014, 19, 245–256. [Google Scholar] [CrossRef]
  30. Wang, Y.; Gao, D.; Fang, J. Coupled dynamic analysis of deepwater drilling riser under combined forcing and parametric excitation. J. Nat. Gas Sci. Eng. 2015, 27, 1739–1747. [Google Scholar] [CrossRef]
  31. Lou, M.; Hu, P.; Qi, X.; Sun, Z. Stability analysis of deepwater compliant vertical access riser about parametric excitation. Int. J. Nav. Archit. Ocean Eng. 2019, 11, 688–698. [Google Scholar] [CrossRef]
  32. Xu, C.; Wang, Z.; Li, B. Dynamic stability of simply supported beams with multi-harmonic parametric excitation. Int. J. Struct. Stab. Dyn. 2021, 21, 2150027. [Google Scholar] [CrossRef]
  33. Xu, C.; Wang, Z.; Zhang, H.; Li, J. Investigation on mode-coupling parametric vibrations and instability of spillway radial gates under hydrodynamic excitation. Appl. Math. Model. 2022, 106, 715–741. [Google Scholar] [CrossRef]
  34. Ma, Y.; Xu, W.; Pang, T.; Liang, S. Dynamic characteristics of a slender flexible cylinder excited by concomitant vortex-induced vibration and time-varying axial tension. J. Sound Vib. 2020, 485, 115524. [Google Scholar] [CrossRef]
  35. Li, Y.; Shen, C.; Liu, W.; Li, D. Auto-parametric resonance of a continuous-beam-bridge model under two-point periodic excitation: An experimental investigation and stability analysis. J. Earthq. Eng. Eng. Vib. 2024, 23, 445–454. [Google Scholar] [CrossRef]
  36. Claren, R.; Diana, G. Mathematical analysis of transmission line vibration. IEEE Trans. Power Apparatus Syst. 1969, 12, 1741–1771. [Google Scholar] [CrossRef]
  37. Yan, B.; Lin, X.; Luo, W.; Liu, Y. Numerical study on dynamic swing of suspension insulator string in overhead transmission line under wind load. IEEE Trans. Power Deliv. 2009, 25, 248–259. [Google Scholar] [CrossRef]
  38. Brugmans, J. Parametric Instability of Deep-Water Risers. Master’s Thesis, Delft University of Technology, Delft, The Netherlands, 2005. [Google Scholar]
  39. Foti, F.; Martinelli, L. A unified analytical model for the self-damping of stranded cables under aeolian vibrations. J. Wind Eng. Ind. Aerod. 2018, 176, 225–238. [Google Scholar] [CrossRef]
Figure 1. Schematic diagram of an overhead conductor model under time-varying tension.
Figure 1. Schematic diagram of an overhead conductor model under time-varying tension.
Symmetry 17 00464 g001
Figure 2. Distribution of dynamic instability with damping: (a) results in reference [34]; (b) results in this paper.
Figure 2. Distribution of dynamic instability with damping: (a) results in reference [34]; (b) results in this paper.
Symmetry 17 00464 g002
Figure 3. Dynamic instability distribution of the first mode.
Figure 3. Dynamic instability distribution of the first mode.
Symmetry 17 00464 g003
Figure 4. Dynamic instability distribution of single modes: (a) second mode; (b) third mode.
Figure 4. Dynamic instability distribution of single modes: (a) second mode; (b) third mode.
Symmetry 17 00464 g004
Figure 5. Distribution of dynamic instability for the first 10 modes under undamped condition.
Figure 5. Distribution of dynamic instability for the first 10 modes under undamped condition.
Symmetry 17 00464 g005
Figure 6. Distribution of dynamic instability regions with damping: (a) c = 0.05; (b) c = 0.1; (c) c = 0.2; (d) c = 0.4; (e) c = 0.6; (f) c = 0.
Figure 6. Distribution of dynamic instability regions with damping: (a) c = 0.05; (b) c = 0.1; (c) c = 0.2; (d) c = 0.4; (e) c = 0.6; (f) c = 0.
Symmetry 17 00464 g006
Figure 7. Distribution of dynamic instability with damping.
Figure 7. Distribution of dynamic instability with damping.
Symmetry 17 00464 g007
Figure 8. Time-history curves: (a) Point A; (b) Point B; (c) Point C; (d) Point D.
Figure 8. Time-history curves: (a) Point A; (b) Point B; (c) Point C; (d) Point D.
Symmetry 17 00464 g008
Figure 9. Time-history curves for 20–30 s: (a) Point A; (b) Point B; (c) Point C; (d) Point D.
Figure 9. Time-history curves for 20–30 s: (a) Point A; (b) Point B; (c) Point C; (d) Point D.
Symmetry 17 00464 g009
Figure 10. Time-history curve at point E.
Figure 10. Time-history curve at point E.
Symmetry 17 00464 g010
Figure 11. Time-history curves: (a) Point F; (b) Point G.
Figure 11. Time-history curves: (a) Point F; (b) Point G.
Symmetry 17 00464 g011
Table 1. Geometric and mechanical parameters of the overhead conductor model.
Table 1. Geometric and mechanical parameters of the overhead conductor model.
ParameterSymbolValue
Span lengthL300 m
DiameterD23.9 mm
Aspect ratioL/D12,552
Young’s modulusE73 GPa
Mass per unit lengthm1.133 kg/m
Constant tensionTc32,000 N
Table 2. Transverse natural frequencies of the overhead conductor.
Table 2. Transverse natural frequencies of the overhead conductor.
Natural Frequency (Hz)Theoretical ValueNatural Frequency (Hz)Theoretical Value
f10.28f61.68
f20.56f71.96
f30.84f82.24
f41.12f92.52
f51.40f102.80
Disclaimer/Publisher’s Note: The statements, opinions and data contained in all publications are solely those of the individual author(s) and contributor(s) and not of MDPI and/or the editor(s). MDPI and/or the editor(s) disclaim responsibility for any injury to people or property resulting from any ideas, methods, instructions or products referred to in the content.

Share and Cite

MDPI and ACS Style

Chen, X.; Han, M.; Yang, X.; Wang, B. Stability Analysis of Parametric Vibration in Overhead Conductors Under Time-Varying Tension. Symmetry 2025, 17, 464. https://doi.org/10.3390/sym17030464

AMA Style

Chen X, Han M, Yang X, Wang B. Stability Analysis of Parametric Vibration in Overhead Conductors Under Time-Varying Tension. Symmetry. 2025; 17(3):464. https://doi.org/10.3390/sym17030464

Chicago/Turabian Style

Chen, Xiaojuan, Mengyang Han, Xiaolong Yang, and Bo Wang. 2025. "Stability Analysis of Parametric Vibration in Overhead Conductors Under Time-Varying Tension" Symmetry 17, no. 3: 464. https://doi.org/10.3390/sym17030464

APA Style

Chen, X., Han, M., Yang, X., & Wang, B. (2025). Stability Analysis of Parametric Vibration in Overhead Conductors Under Time-Varying Tension. Symmetry, 17(3), 464. https://doi.org/10.3390/sym17030464

Note that from the first issue of 2016, this journal uses article numbers instead of page numbers. See further details here.

Article Metrics

Back to TopTop