Abstract
Ultrasonic vibration can effectively improve the efficiency of rock breaking. In the actual process of drilling and breaking rocks, rocks will be affected by symmetrical ground stress in the formation. Therefore, in this paper, symmetrical confining pressure is applied to four surfaces of rocks by self-developed experimental equipment to simulate the symmetrical ground stress of the formation, and 64 groups of mixed tests are carried out with confining pressure, static load and vibration time as variables. The damage degree is evaluated by comparing the compressive strength of rock before and after vibration. The experimental results show that ultrasonic vibration can reduce the compressive strength of rock, increase the static load and vibration time during vibration, and increase the damage degree of rock. When the symmetric confining pressure increases, the formation and expansion of rock cracks can be inhibited, and the damage effect of ultrasonic high-frequency vibration on rock can be reduced. At the same time, a theoretical model is established to explain these phenomena.
1. Introduction
Global oil gas exploration is developing from shallow layers to deep and ultra-deep layers. The probability of drilling into “three high” (high rock hardness, high abrasiveness, and high drillability grade value) formations is increasing, making rock breaking more difficult. This has seriously affected the mechanical drilling speed in deep hard formations and increased the cost of exploration and development [1,2,3]. The International Energy Agency predicts that by 2030, nearly 50% of the world’s oil and gas will be exploited by deep wells, ultra-deep wells and unconventional wells. Developing efficient deep-well-drilling rock-breaking technologies has become a key technology for oil and gas exploitation [4]. Ultrasound is a sound wave with a frequency greater than 20 kHz. Due to its high frequency and short wavelength, it has a concentrated direction, high power, and strong penetrating power [5]. The research achievements in ultrasonic medical treatment, ultrasonic hard material processing, the drilling and sampling of space celestial bodies, etc., have laid a solid foundation for the development and application of ultrasonic technology and also provided new methods and ideas for efficient rock breaking. The rock breaking process under ultrasonic load and static load can be divided into three stages [6]: in the first stage, elastic deformation gradually increases; in the second stage, the development of micro cracks rises unevenly; and in the third stage, macroscopic fragmentation and cuttings fall off.
As early as the 1950s, the Soviet Coal Mine Research Institute carried out relevant experiments on ultrasonic rock breaking. However, at that time, due to technological limitations, especially the lack of high-power ultrasonic generators, the experimental results were not ideal and the economic value was not high, so this technology was shelved. Scholars such as Wiercigroch [7] studied the idea of applying ultrasonic drilling technology to efficient rock breaking. An indoor experimental device was designed, and extensive research was carried out on rocks such as sandstone, limestone, granite and basalt to determine the applicability of this technology in downhole drilling. The results showed that this rock-breaking method could significantly improve the drilling speed compared with traditional drilling methods, especially under high-load conditions. Heisel et al. [8] carried out experimental research on the ultrasonic-assisted drilling of marble and granite. The results showed that when ultrasonic waves were applied, the resultant force and torque on the drill bit could be reduced to 20% of the initial values. They believed that the reduction in the resultant force and torque largely depended on the vibration amplitude and cutting speed. Li et al. [9] studied the rock-breaking mechanism under harmonic vibration impact based on the displacement response and energy response, and carried out numerical simulation. They analyzed the principal stress characteristics of rocks and boreholes in the axial and torsional directions under the impact of harmonic vibration, and verified the performance of the harmonic vibration impact drilling technology through field applications. Yin et al. [10] analyzed the influence of ultrasonic vibration on rock strength and proposed the critical normal stress criterion to analyze the mechanism of crack formation in rocks by ultrasonic vibration. They believed that only when the incident energy was greater than the restricted incident energy would the damage degree and strength degradation percentage of rocks increase. Zhang et al. [11] carried out numerical simulation using the particle flow software PFC2D. By combining the boundary conditions of the actual ultrasonic vibration rock-breaking experiment and using the parallel bond model to construct rocks, they analyzed the deformation, damage, fracture and energy evolution processes of hard rocks under vibration load. They believed that the maximum displacement in hard rocks increased almost linearly with vibration, and the macroscopic cracks formed during the rock-breaking process presented an X-shaped pattern. Zhao [12] used theoretical analysis, finite element numerical simulation and experimental research methods to explore the mechanism involved in the degradation of the damage and strength of granite with time under ultrasonic vibration, analyzed the crack propagation law of rocks in different time periods, and gave the time threshold for granite fragmentation under ultrasonic vibration. Han et al. [13] studied the damage evolution of granite under different amplitudes of ultrasonic vibration. The damage characteristics were tested by NMR experiments, and it was believed that the crack propagation was positively correlated with the amplitude of ultrasonic vibration. The increase in amplitude amplified the generation of transverse cracks, which was beneficial to the peeling of rock fragments. Zhou et al. [14] studied the mechanical properties and damage characteristics of granite under ultrasonic vibration through experiments. The results of this experiment indicate that the granite samples underwent elastic deformation, plastic deformation, and damage during this process. The samples first experienced compressive deformation with no obvious rupturing. As the vibration continued, the deformation finally became tensile, and significant fragmentation occurred. Zhang et al. [15] performed three-dimensional reconstruction analysis based on two dimensional CT images and demonstrated an increase in pore count by 145.56%, 122.67%, and 98.87%, respectively, for the upper, middle, and lower parts of the rock after 120 s of ultrasonic vibration excitation; furthermore, the maximum pore volume increased by 239.42%, 109.16%, and 18.99%, respectively, for these regions during this period as well. These findings contribute towards a deeper understanding of the mechanisms underlying rock fragmentation when exposed to high-frequency vibrational loads. Tian et al. [16] studied the influence of excitation frequency on ROP (rate of penetration) through rock-breaking tests by high-frequency torsional vibration impact drilling using PDC bits. They believed that when the torsional vibration impact frequency was approximately equal to the natural frequency of the rock, resonance occurred between the rock and the cutter, the plastic strain and the drilling speed reached the maximum, and the drilling efficiency was the highest. Yang et al. [17] carried out ultrasonic vibration excitation tests on red sandstone. They believed that the increase in static load would accelerate the damage and destruction speed of rocks and expand the damage range of rocks. The maximum penetration depth and the maximum development depth of macroscopic cracks changed exponentially with the static load.
In recent years, relevant scholars have carried out many experimental studies on the effect of ultrasonic high frequencies action on rocks, mainly observing and describing the macroscopic changes and mechanical properties of rocks after ultrasonic action in terms of changes in the ultrasonic parameters and rock lithology, and analyzing the fracture situation of rocks [6,9,18,19,20]. However, at present, ultrasonic vibration rock-breaking experiments do not apply confining pressure to rocks, which is inconsistent with the actual situation of rocks in the formation. Moreover, a large number of studies have shown that the existence of confining pressure will have a significant impact on the dynamic mechanical properties, energy evolution characteristics, and damage fragmentation mode of rocks [21,22,23,24,25,26,27]. Therefore, in this paper, self-developed equipment is used to carry out ultrasonic high-frequency vibration fragmentation experiments on rocks under confining pressure, observe their macroscopic changes, and analyze the influence of relevant parameters on the changes in their mechanical properties, so as to clarify the damage fragmentation mechanism of rocks under confining pressure under ultrasonic vibration, and provide a theoretical basis for the practical application of ultrasonic-vibration-assisted rock-breaking technology.
2. Materials and Methods
2.1. Experimental Rock Sample
In this experimental study, sandstone was chosen as the subject material. The rock samples were sourced from Yunnan Province, China, and subsequently processed into cubic rock blocks with an edge length of 70 mm to satisfy the specifications of the instruments used for measuring the rock’s mechanical properties. In accordance with the standards for preparing rock specimens in rock mechanics set by the International Society for Rock Mechanics (ISRM), the parallelism and perpendicularity of the rocks were refined through sanding. Specifically, the non-parallelism of the two end surfaces of each specimen was required to be no greater than 0.01 mm, and the side length variation between the upper and lower ends was limited to no more than 0.02 mm. Eventually, the dimensions of the specimens were finalized at 70 mm, enabling them to meet the testing criteria. Simultaneously, the physical property parameters of the rock samples were measured, the physical image of the rock is shown in Figure 1.
Figure 1.
Physical map of rock sample.
2.2. Experimental Apparatus
The experiment employed a self-developed high-confining-pressure ultrasonic vibration rock-crushing experimental apparatus. The physical illustration of the experimental setup is presented in Figure 2 below. The experimental apparatus can be partitioned into two main sections. The upper portion consists of an ultrasonic vibration head-clamping mechanism. The ultrasonic vibration head is securely fastened to this clamping mechanism, and the entire assembly is capable of moving freely up and down along the slide rail in a direction perpendicular to the ground. The combined weight of the vibration head-clamping device and the vibration head is 100 N. This weight can be considered as a static load acting on the vibration head. Additionally, load-bearing blocks can be placed above the device to exert additional static loads on the vibration head. The lower part of the apparatus is composed of a core-clamping and pressurizing unit. The specific parameters are shown in Table 1.
Figure 2.
Physical diagram of experimental device.
Table 1.
Specific parameters of ultrasonic vibration.
In order to accurately describe the pressurization principle in Figure 2, its schematic diagram is drawn as shown in Figure 3. In the experiment, the pressure plate in four directions is directly on the four faces of the rock, which clamps and pressurizes the rock sample. The external hand pressure pump is used to pressurize and push the connecting rod in the pressure module to exert pressure on the pressure plate to squeeze the rock surface to simulate the role of formation confining pressure.
Figure 3.
Schematic diagram of the application of the confining pressure on the device.
2.3. Experimental Scheme
The experiment used common sandstone types in reservoir formations. In order to meet the requirements of mechanical parameter testing instruments, a 70 mm cube rock block was used for the experiment. In order to simulate the formation stress, different degrees of confining pressure were applied to the rock. Here, 40 MPa is approximately equivalent to a formation stress of about 2000 m, which is a common drilling location. As the depth increases, the geostress will be greater, with a growth rate of about 2 MPa/100 m. Therefore, in order to simulate the pressure of common drilling formations, this article selected four different confining pressures based on 40 MPa to simulate the effect of geostress on the formation and appropriately selected other parameters based on the pre experiment results before this experiment. Therefore, four sets of horizontal values were selected for the confining pressure parameters, namely 40, 45, 50, and 55 MPa. Four sets of horizontal values were selected for the static load, namely 100, 150, 200, and 250 N. Four sets of horizontal values were selected for the time parameters, namely 5, 10, 15, and 20 min. A total of 64 sets of mixed parameter experiments were designed, and the experimental table is shown in Table 1, which can cover the various parameter situations in the experimental plan. In total, 64 sets of experiments with mixed parameters were designed. To ensure the comprehensive coverage of all parameters within the experimental plan, each experiment was repeated 3 times, using a total of 182 rock samples.
Regarding the damage degree of sandstone after ultrasonic vibration, a quantitative investigation was conducted on the mechanisms involved in the influence of the confining pressure, static load, and vibration time on the damage evolution of sandstone specimens. Specifically, the compressive strength of rock specimens after ultrasonic vibration was measured to quantitatively determine the damage law of rock induced by ultrasonic vibration.
The ultrasonic vibration tests of the rock were performed using the self-developed instrument described above, while the compressive strength tests under confining pressure were carried out on a true triaxial testing machine. The experimental steps are as follows:
Step 1: Preparation of rock specimens
The rock materials were processed into cube-shaped rock specimens with dimensions of 70 mm × 70 mm. Each rock block was polished to a smooth surface in accordance with the standards of the American Society for Testing and Materials (ASTM) to meet the requirements of the experiment.
Step 2: Measurement of the compressive strength of rocks
According to the confining pressures specified in the experimental plan, compressive strength tests were conducted on rock samples under different confining pressures. Each test was repeated three times. Outliers were removed, and the average value was recorded.
Step 3: Ultrasonic vibration experiment
Based on the pre-determined three-parameter mixed experimental plan, different confining pressures, static loads, and vibration times were selected to perform ultrasonic vibration tests on the rock specimens.
Step 4: Measurement of the compressive strength of rocks after vibration
After the ultrasonic vibration and loading were completed, the rock samples were taken out, and compressive strength tests were carried out on the rock samples under the corresponding confining pressures.
Step 5: Analysis of the influence of each parameter (confining pressure, static load, time) on the mechanical properties of rocks after ultrasonic high-frequency vibration
In the experiment, the polished standard specimens were selected and the conditions were set according to the experimental table. Taking the compressive strength before and after vibration as the characteristic indicators, the damage degree of the specimens was evaluated comprehensively. For each group of tests, three rock samples were arranged for repetition, which eliminated some experimental errors.
3. Results and Discussion
3.1. The Macroscopic Characteristics of Rock Damage
As shown in Figure 4, ultrasonic high-frequency vibration crushing experiments were carried out on rock blocks using a self-developed experimental device for rock crushing under a high confining pressure with ultrasonic vibration. Obvious cracks occurred in the rocks. The figure shows the macroscopic cracks on the surface of rock specimens after vibration under different confining pressures, with a static load of 150 N and a vibration time of 5 min.
Figure 4.
Macroscopic damage of rock specimens under different confining pressures. (a) Confining pressure is 40 MPa; (b) Confining pressure is 45 MPa; (c) Confining pressure is 50 MPa; (d) Confining pressure is 55 MPa.
Based on the macro-crack width on the rock surface, a macro-crack with a width greater than 3 mm on the rock surface is defined as a coarse crack, while a macro-crack with a width less than 3 mm is regarded as a fine crack. According to the statistics and markings in the figure, for the rock sample under a confining pressure of 40 MPa and a static load of 150 N, there are three coarse cracks with a macroscopic crack width exceeding 3 mm on the rock surface, along with five fine cracks. When the confining pressure reaches 45 MPa and the static load remains 150 N, the number of macroscopic coarse cracks in the rock sample decreases to two, and the number of fine cracks reduces to four. When the confining pressure is 50 MPa and the static load is 150 N, the number of macro-coarse cracks in the rock sample remains two, but the number of fine cracks further decreases to three. When the confining pressure of the rock sample is increased to 55 MPa, only one coarse macro-crack with a width greater than 3 mm is observed on the rock sample, along with five micro-cracks of smaller widths.
After conducting the statistical analysis, as shown in Figure 5, a histogram depicting the number of macroscopic cracks on the rock surface under confining pressure was constructed. Figure 5 presents the quantity of macroscopic cracks on the rock surface under various confining pressure conditions. As the confining pressure increases, the overall number of macroscopic cracks on the rock surface generally exhibits a decreasing trend. Specifically, the number of relatively wider cracks diminishes with the rise in confining pressure, whereas the number of relatively narrower cracks shows an upward trend.
Figure 5.
Histogram of the number of macroscopic cracks on the rock surface.
From this observed trend, it is evident that an increase in the confining pressure serves to impede the formation of cracks in the rock. Moreover, the reduction in the number of wider cracks further indicates that the influence of confining pressure restricts the propagation of cracks on the rock surface.
3.2. Variation of Rock Mechanical Strength
In drilling engineering, rocks are generally under in situ stress (confining pressure) conditions. Confining pressure can reduce the damage efficiency of ultrasonic vibration. Therefore, the effectiveness of ultrasonic vibration load under confining pressure requires further experimental verification. Moreover, both the individual and combined effects of confining pressure and the main ultrasonic vibration parameters on rock damage, as well as the associated action mechanisms, need to be quantitatively analyzed. According to the experimental plan mentioned above, the variation data for the compressive strength of rock subjected to ultrasonic vibration under different parameters were obtained, as shown in Table 2.
Table 2.
Experimental data record form.
3.2.1. Relationship Between Rock Strength Change and Confining Pressure After Ultrasonic High Frequency Vibration
After undergoing different durations of ultrasonic high-frequency vibration, the compressive strength of the rock samples is lower than their initial compressive strength. This phenomenon indicates that ultrasonic high-frequency vibration influences the strength of the rock, causing it to decline. As the vibration time increases, the compressive strength of the rock continuously decreases. Specifically, the longer the application time of ultrasonic vibration, the greater the reduction in the rock’s compressive strength. With the increase in static load, the reduction in the compressive strength of the rock also increases. Moreover, the reduction value of the compressive strength gradually rises as the vibration time increase.
As is evident from Figure 6, irrespective of the vibration duration, the reduction in the compressive strength of rocks following ultrasonic vibration demonstrates a decreasing trend as the confining pressure increases. This suggests that as the confining pressure rises, the extent of damage caused by ultrasonic high-frequency vibration to rocks also decreases. This is because the increase in confining pressure exerts a compacting influence on the pre-existing cracks within the rocks. During ultrasonic vibration, the augmentation of confining pressure restricts the concentration of tensile stress at the tip of the primary crack and impedes the development of fatigue damage. Under identical conditions and action times, the rate of crack development and propagation in ultrasonically vibrated rocks decelerates, and the number of cracks diminishes. Consequently, the variation in the compressive strength of rocks lessens with the increase in confining pressure. It can be noted from the figure that when the confining pressure is set at 45 MPa and 50 MPa, there are few disparities in the change in the compressive strength of the rock sample after ultrasonic vibration. This implies that there exists a threshold at which the confining pressure is able to inhibit the crack development and propagation of rocks under ultrasonic action. In this phase, further increasing the confining pressure will not impede the effect of ultrasonic vibration.

Figure 6.
The relationship between the change in the compressive strength and confining pressure of rock at different vibration times. (a) Ultrasonic vibration time of 5 min; (b) Ultrasonic vibration time of 10 min; (c) Ultrasonic vibration time of 15 min; (d) Ultrasonic vibration time of 20 min.
3.2.2. Relationship Between Rock Strength Change and Static Load After Ultrasonic High Frequency Vibration
Static load is a crucial parameter that influences the effectiveness of rock fragmentation by vibration. In oil and gas drilling engineering, Weight on Bit (WOB) is commonly employed to quantify this parameter. As a key drilling operational parameter, WOB directly impacts the drilling efficiency. Consequently, understanding the law governing the influence of static load on the rock-crushing effect holds significant research importance. This knowledge is particularly valuable for enhancing the efficiency and scope of ultrasonic rock fragmentation. Specifically, it pertains to ultrasonic rock fragmentation under confining pressure conditions, which differ from those in conventional research. Moreover, it is relevant to the application of ultrasonic vibration in the domain of hard-rock drilling. By doing so, it offers essential theoretical underpinnings for investigating the mechanism of ultrasonic-vibration-induced rock breaking and for surmounting the technical challenges associated with hard-rock drilling.
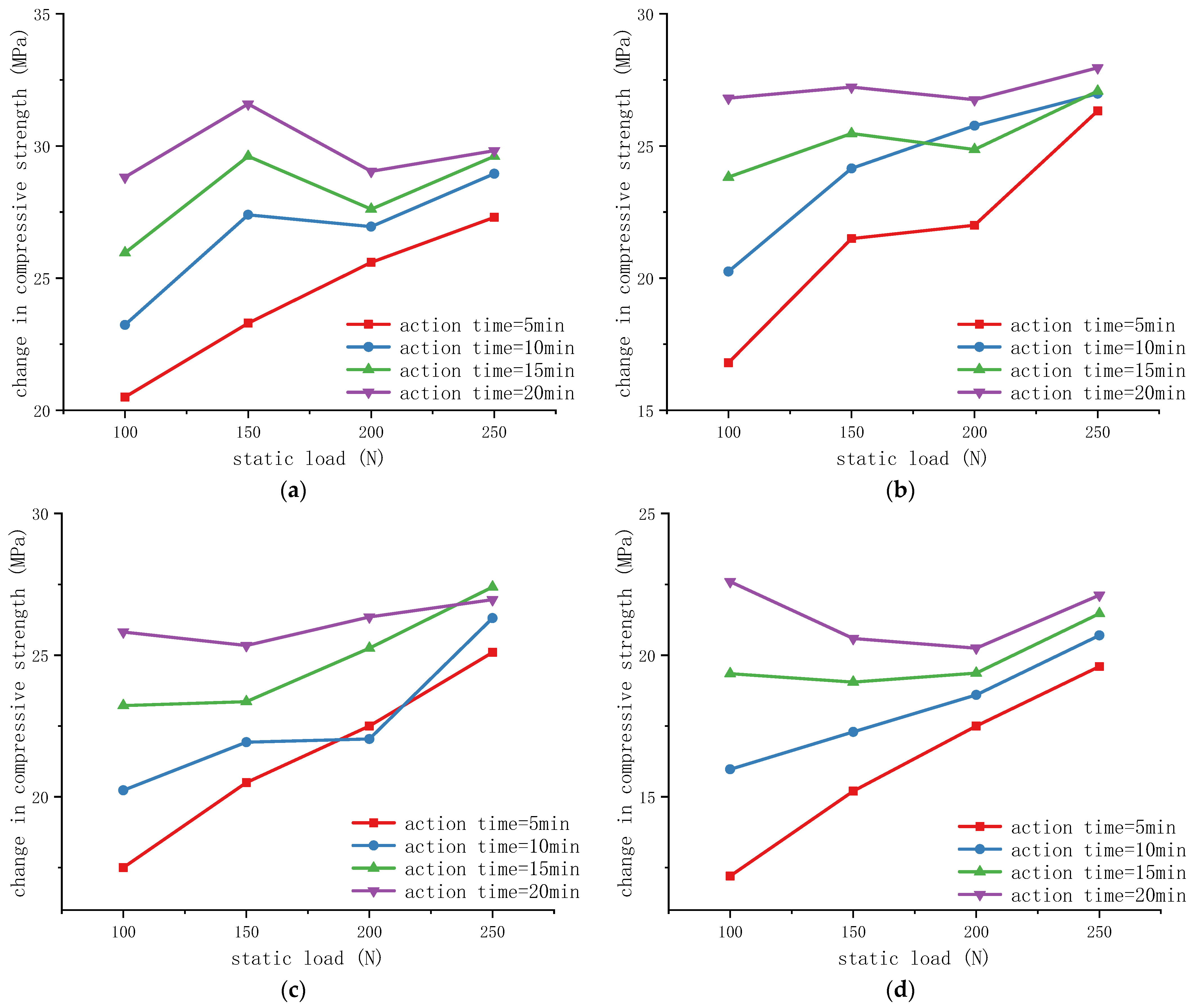
As is evident from Figure 7, under varying confining pressures, the compressive strength of rock exhibits an upward trend with the increase in static load. However, under different confining pressures and working durations, when static loads of 150 N and 200 N are applied, the curve demonstrates an obvious trend of slow growth. In fact, the compressive strength of rock even shows a slight decline as the static load increases. This phenomenon indicates that, within the range of 150–200 N, the static load stagnates the effect of ultrasonic vibration on rock fragmentation. Only when the pressure increases to the point where the energy density of the loaded stress wave exceeds the minimum energy threshold do micro-cracks start to expand and the rock begins to accumulate damage. Within a certain range, the energy density applied to the rock increases in tandem with the increase in pressure. The more plastic strain energy the rock absorbs for crack initiation and fracture, the lower its fatigue strength. When the static load rises, the plastic strain increases significantly with the increase in pressure, and the rock-crushing efficiency gradually improves. When the static load is in the range of 150–200 N, the plastic strain reaches its maximum value. At this point, the pressure provided by the static load is insufficient to generate new plastic strain. As a result, the energy provided by ultrasound is dissipated as ineffective elastic waves. When the static load continues to increase, the pressure of the static load enables the rock to continue generating plastic strain, and new micro-cracks keep emerging. Consequently, the compressive strength and damage strength of the rock continue to increase with the growth of the static load. It should be noted that as this increase in pressure decreases, the relative effect of increasing the pressure to enhance the rock-crushing efficiency under ultrasonic vibration weakens. Meanwhile, as can be observed from Figure 7, with the increase in confining pressure, the spacing between the curves of different acting times becomes progressively smaller, and the variation in the curves at the same ordinate becomes more intense. This implies that as the confining pressure rises, the cracks in the rock gradually rise, and it becomes difficult for new cracks to develop and propagate, even when ultrasonic vibration is applied for a longer time under the same conditions. Evidently, rock damage is also challenging to form under a high confining pressure.
Figure 7.
Relation between rock compressive strength variation and static load under different confining pressures: (a) confining pressure of 40 MPa; (b) confining pressure of 45 MPa; (c) confining pressure of 50 MPa; (d) confining pressure of 55 MPa.
3.3. Establishment of Rock Vibration System and Vibration Force Equation of Rock Particles
The fracture mechanism of rock under ultrasonic vibration is primarily attributed to the accumulation of microscopic fatigue damage within the sample. That is, when the stress vibration force between rock particles surpasses the cracking stress of the rock, local development, expansion, and the penetration of fatigue damage occur inside the rock.
When the ultrasonic vibrating tool head performs high-frequency vibration on the rock surface, the mineral crystal will generate a vibration response within a certain depth range of the rock. The simple harmonic excited force P(t) transmitted from the tool head to the rock is presented in Equation (1).
Based on the vibration mechanics theory, the vibration dynamic equation of rock particles within a certain range under ultrasonic vibration has been established, revealing the fundamental mechanism of high-frequency and low-amplitude ultrasonic vibration stress.
Under the continuous excitation of the ultrasonic vibration’s simple harmonic load, the rock generates a corresponding steady-state response. That is, within a certain depth range, the rock particles undergo continuous amplitude vibration.
According to the vibration mechanics theory, ultrasonic rock vibration can be simplified into a damped mass–spring system, as depicted in the Figure 8 The displacement X(t) of the rock particles in response to stress is proportional to the excitation force, yet in the opposite direction. Additionally, due to the presence of system damping, there is a phase difference in the displacement equation of the rock particles.
Figure 8.
Schematic diagram of rock vibration mechanics system.
The displacement X(t) of rock particles in response to stress is shown in Equation (2):
where
In accordance with Newton’s second law, the first and second derivatives of the stress–response displacement of rock particles with respect to time in Equation (2) correspond to the velocity equation and acceleration equation of rock element particles, respectively, as presented in Equations (5) and (6):
The vibrational force F(t) between the rock unit particles (with mass Δm) is given in Equation (7):
Based on Equation (7), within a specific range of ultrasonic vibration, the vibrational force between rock particles is significantly influenced by the amplitude of the stress wave and the vibration frequency. Notably, the vibrational force between rock particles is proportional to the square of the vibration frequency. Given that the ultrasonic vibration frequency is relatively high, even under conditions of small amplitudes, the rock particles can still be subjected to a substantial vibrational force, thereby causing the rock to fracture.
3.4. The Influence of the Vibration Frequency of the Applied Excitation Force on Ultrasonic Vibration Rock Breaking
Based on Equation (7), during ultrasonic vibration, the excitation force F(t) of rock particles is proportional to the square of the vibration frequency ω. Compared with conventional cyclic loading, the ultrasonic vibration frequency is several orders of magnitude higher. Consequently, it can impart a greater alternating vibration force to rock particles. Due to the variations in the shape and mass of minerals within the rock, there exist differences in the ultra-high-frequency stress, velocity, and displacement among mineral particles. This results in internal fatigue damage within the rock. In particular, when the vibration frequency approaches the natural frequency of the rock, the rock particles in the effective crushing zone of the sample will enter a resonance state. At this time, the stress–response amplitude of the rock particles reaches a maximum value, the fatigue damage progresses rapidly, and the rock damage accelerates.
3.5. The Influence of Static Load on Rock Fracture by Ultrasonic Vibration
As shown in the Figure 9, the confining pressure Tc, symmetrically applied on four sides of the rock, acts jointly with the vibration stress P(t) and pressure FR in the process of ultrasonic vibration, jointly affecting the damage and destruction inside the rock. The enhancement effect of static pressure on the ultrasonic vibration load is mainly manifested in two aspects: The first is to prevent the impact head from bouncing, so that the impact head is in close contact with the rock surface, and the incident energy of ultrasonic vibration load is enhanced; on the other hand, the static pressure intensifies the friction between the sample elements, increases the frictional heat dissipation inside the rock, and increases the damage energy ratio of the rock, which promotes the propagation of microcracks inside the sample.
Figure 9.
Force model diagram of rock sample under confining pressure under ultrasonic vibration.
When a rock is subjected to static load pressure, it will experience tensile failure under ultrasonic vibration. The maximum principal stress criterion can be employed to assess the damage fracture. Suppose the static load stress of the rock is σv and the equivalent stress of the ultrasonic vibration is σr. Then, the total stress on the vibrating surface of the rock is σ = σv + σr. Based on the concept of Lemaitre equivalent stress, when the equivalent stress σD reaches the dynamic fracture stress σu of the rock, the damage degree D of the rock attains the critical value DC, and macroscopic fracture occurs. Thus, the criterion expression for damage fracture is presented in Equation (8):
For pure brittle damage, at this moment DC = 0. Thus, the equivalent stress σD at this time is represented by Equation (9):
Therefore, during the process of ultrasonic vibration and impact, the state of the rock changes with pressure in the following ways: when σD ≥ σU, the rock will fracture; when σIt < σD < σU, micro-cracks develop and rock damage takes place. At this stage, under the action of the loading stress wave, the micro-cracks cross the grain boundary and expand unstably within the matrix material, facilitating the localization of internal damage and deformation in the rock. At this point, the internal damage of the rock satisfies the micro-crack growth conditions of the quasi-brittle material, as presented in Equation (10):
From the above theoretical analysis, it can be observed that only when the pressure rises to the point where the energy density of the loaded stress wave is greater than the minimum threshold value of rock damage accumulation do micro-cracks start to expand and the damage accumulation process commences. Within a certain range, as the pressure increases, the energy density applied to the rock also increases, and the crack growth rate and damage rate gradually rise as well.
When the pressure exceeds a certain value, with the increase in stress wave energy, the growth of plastic strain energy tends to level off, and the unnecessary dissipated elastic wave energy also stabilizes. At this stage, although the plastic strain energy continues to increase with further pressure increase, the increment range decreases, and its influence on the growth rate of rock cracks is relatively weakened. The rate of damage accumulation in the rock remains stable, and internal cracks develop steadily at a relatively high speed.
In addition, from the perspective of increasing the incident energy, the static pressure enhances the contact tightness between the ultrasonic vibration head and the sample. This prevents the ultrasonic vibration load energy from being dissipated in the form of high-frequency sliding friction heat between the vibration rod and the sample surface during a single vibration loading cycle. Additionally, the static pressure increases the depth to which the vibration head penetrates the sample surface. As a result, the rock particles in the upper part of the sample exhibit larger velocities and displacements. The test results also indicate that within a certain threshold range, an increase in static pressure can enhance the damage effect of ultrasonic vibration on the rock.
3.6. Influence of Confining Pressure on Rock Fracture by Ultrasonic Vibration
According to the above experimental results, confining pressure has an obvious inhibitory effect on rock damage. From the perspective of rock deformation, confining pressure enhances the axial compressive strength of rock by restraining its radial deformation. The energy storage limit of rock is increases nonlinearly, the proportion of elastic energy rises, and the stiffness of the rock is enhanced. Simultaneously, confining pressure causes the original micro-cracks in the rock to close, restrains the expansion of existing micro-cracks, and inhibits the formation of new cracks. Moreover, it raises the peak stress of the rock, significantly weakening the damage of the rock under the same stress. Theoretically, some scholars [20,21,22] hold the view that confining pressure can compact the original cracks in the rock, increasing the rock’s density. Subsequently, the longitudinal wave velocity of the acoustic wave in the rock increases, such that the wave impedance of the rock rises with the increase in confining pressure. Since wave impedance can attenuate the effect of ultrasonic waves on rock particles, rock particles require more energy to generate the same displacement and vibration response. As a result, the stress–response displacement and vibration force of rock element particles are reduced. Therefore, increasing the confining pressure can suppress the damage that ultrasonic vibration causes to the rock.
4. Conclusions
This paper is centered on the ultrasonic high-frequency vibration crushing experiment of rock under confining pressure. Using a self-developed high-confining-pressure ultrasonic vibration rock-crushing experimental device, 64 groups of mixed-parameter experiments were conducted on sandstone. The following conclusions were drawn:
- (1)
- It has been found that ultrasonic high-frequency vibration can effectively break rock, and obvious cracks emerge in the rock after such vibration. As the confining pressure increases, the number of macroscopic cracks on the rock surface diminishes, the number of coarser cracks decreases, and the number of finer cracks rises. This clearly demonstrates that confining pressure can impede the formation and expansion of rock cracks and can effectively reduce the degree of development of rock surface cracks.
- (2)
- By measuring the compressive strength of rocks before and after vibration, it was discovered that after ultrasonic high-frequency vibration, the compressive strength of rocks is lower than the initial value. Moreover, as the vibration time increases, the compressive strength keeps decreasing, and the reduction in compressive strength becomes more pronounced with the increase in static load.
- (3)
- As the confining pressure increases, the degree of damage inflicted by ultrasonic high-frequency vibration on the rock tends to decrease. During the plateau period when confining pressure inhibits the development and expansion of rock cracks under the influence of ultrasonic waves, the compressive strength of the rock changes minimally.
- (4)
- Under different confining pressures, as the static load increases, the variation in the compressive strength of the rock generally grows. Nevertheless, within a certain range, there exists a stagnation phase with slow growth or even a slight decline. When the static load continues to rise, the rock crushing efficiency gradually improves, yet the relative impact of increasing the static load on enhancing the rock crushing efficiency under ultrasonic vibration gradually weakens.
- (5)
- Theoretically, the rock vibration system and the particle excitation force equation were established. The mechanisms of vibration frequency, static load, and confining pressure involved in the rock-breaking effect were analyzed, and the fundamental mechanism by which ultrasonic vibration stress efficiently damages rock was unveiled.
These research findings provide a theoretical foundation and practical guidance for the application of ultrasonic vibration assisted rock-breaking technology in actual oil and gas exploration and development. They assist in further optimizing the rock breaking parameters, improving the rock-breaking efficiency and reducing the exploration and development costs. On this basis, we can enrich the types of rock samples, further study the ultrasonic vibration rock breaking of shale, mudstone and marble samples with different joints and bedding, and expand the test range of changing parameters, making the relevant concerns more applicable.
Author Contributions
Conceptualization, J.F. and T.Y.; methodology, J.F.; validation, T.Y.; formal analysis, Z.H.; data curation, J.F.; writing—original draft preparation, J.F.; writing—review and editing, T.Y. All authors have read and agreed to the published version of the manuscript.
Funding
This study was supported by the National Natural Science Foundation of China (grant No. 52174001).
Data Availability Statement
Data are contained within the article.
Conflicts of Interest
The authors declare no conflicts of interest.
Nomenclature
| P(t) | vibration force of vibrating head (N) |
| F0 | vibration amplitude(μm) |
| t | vibration time (s) |
| ω | frequency of vibration (Hz) |
| X(t) | rock particles in response to the displacement (m) |
| A | rock particle amplitude (μm) |
| ωn | rock inherent vibration frequency of the (Hz) |
| θ | phase angle (rad) |
| ξ | rock damping ratio |
| Δm | mass of the rock particles (kg) |
| F(t) | vibrating force of the rock particles (N) |
| σD | equivalent effective stress (Pa) |
| σ | total stress on rock vibration surface (Pa) |
| σv | static load stress on the rock (Pa) |
| σr | equivalent force of ultrasonic vibration action (Pa) |
| σu | rock dynamic break stress (Pa) |
| D | rock damage degree |
| Dc | rock damage degree critical value |
| σIt | micro crack extended critical stress (Pa) |
| a | initial radius of the microcrack (m) |
| K1 | stress intensity factor |
References
- Dvoynikov, M.; Sidorkin, D.; Yurtaev, S.; Grokhotov, E.; Ulyanov, D. Drilling of Deep and Ultra-Deep Wells for Prospecting and Exploration of New Raw Mineral Fields. J. Min. Inst. 2022, 258, 945–955. [Google Scholar] [CrossRef]
- Sun, J.; Yang, J.; Bai, Y.; Lyu, K.; Liu, F. Research Progress and Development of Deep and Ultra-Deep Drilling Fluid Technology. Pet. Explor. Dev. 2024, 51, 1022–1034. [Google Scholar] [CrossRef]
- Wang, H.; Huang, H.; Ji, G.; Chen, C.; Lv, Z.; Chen, W.; Bi, W.; Liu, L. Progress and Challenges of Drilling and Completion Technologies for Deep, Ultra-Deep and Horizontal Wells of CNPC. China Pet. Explor. 2023, 28, 1–11. [Google Scholar] [CrossRef]
- Wang, H.; Huang, H.; Bi, W.; Ji, G.; Zhou, B.; Zhuo, L. Deep and Ultra-Deep Oil and Gas Well Drilling Technologies: Progress and Prospect. Nat. Gas Ind. B 2022, 9, 141–157. [Google Scholar] [CrossRef]
- Feng, J.; Yan, T.; Cao, Y.; Sun, S. Ultrasonic-Assisted Rock-Breaking Technology and Oil and Gas Drilling Applications: A Review. Energies 2022, 15, 8394. [Google Scholar] [CrossRef]
- Zhao, Y.; Zhang, C.; Zhang, Z.; Gao, K.; Zhao, D.; Sun, Z.; Lv, X.; Zhou, Y.; Zhai, G. Experimental and Simulation Study on Breaking Rock under Coupled Static Loading and Ultrasonic Vibration. Shock Vib. 2022, 2022, 5536358. [Google Scholar] [CrossRef]
- Wiercigroch, M.; Wojewoda, J.; Krivtsov, A.M. Dynamics of Ultrasonic Percussive Drilling of Hard Rocks. J. Sound Vib. 2005, 280, 739–757. [Google Scholar] [CrossRef]
- Heisel, U.; Eisseler, R.; Eber, R.; Wallaschek, J.; Twiefel, J.; Huang, M. Ultrasonic-Assisted Machining of Stone. Prod. Eng. Res. Devel. 2011, 5, 587–594. [Google Scholar] [CrossRef]
- Li, S.; Tian, S.; Li, W.; Huan, Z.; Ling, X.; Zhuolun, L. Rock Breaking Mechanism and Drilling Performance of Harmonic Vibro-Impact Drilling. IOP Conf. Ser. Earth Environ. Sci. 2020, 570, 022036. [Google Scholar] [CrossRef]
- Yin, S.; Zhao, D.; Zhai, G. Investigation into the Characteristics of Rock Damage Caused by Ultrasonic Vibration. Int. J. Rock Mech. Min. Sci. 2016, 84, 159–164. [Google Scholar] [CrossRef]
- Zhang, L.; Wang, X.; Niu, Z.; Dai, J. Simulation Analysis of the Influence of Amplitude on Deformation and Fracture Characteristics of Hard Rock Under Ultrasonic Vibration Load. Processes 2024, 12, 74. [Google Scholar] [CrossRef]
- Zhao, D.; Yuan, P. Research on the Influence Rule of Ultrasonic Vibration Time on Granite Damage. J. Min. Sci. 2018, 54, 751–762. [Google Scholar] [CrossRef]
- Han, J.; Zhao, D.; Zhang, S.; Zhou, Y. Damage Evolution of Granite Under Ultrasonic Vibration with Different Amplitudes. Shock Vib. 2022, 2022, 8975797. [Google Scholar] [CrossRef]
- Zhou, Y.; Tang, Q.; Zhang, S.; Zhao, D. The Mechanical Properties of Granite Under Ultrasonic Vibration. Adv. Civ. Eng. 2019, 2019, 9649165. [Google Scholar] [CrossRef]
- Zhang, J.; Zhang, L.; Wang, X.; Niu, Z.; Yang, Z. Influence of High-Frequency Ultrasonic Vibration Load on Pore-Fracture Structure in Hard Rock: A Study Based on 3D Reconstruction Technology. Materials 2024, 17, 1127. [Google Scholar] [CrossRef]
- Tian, J.; Fan, C.; Zhang, T.; Zhou, Y. Rock Breaking Mechanism in Percussive Drilling with the Effect of High Frequency Torsional Vibration. Energy Sources Part A Recovery Util. Environ. Eff. 2022, 44, 2520–2534. [Google Scholar] [CrossRef]
- Yang, Z.; Wang, X.; Zhang, L.; Wang, J. Research on Influencing Factors of Rock Breaking Efficiency Under Ultrasonic Vibration Excitation. AIP Adv. 2023, 13, 025160. [Google Scholar] [CrossRef]
- Tang, Q.; Zhao, D.; Zhou, Y.; Zhang, Z. Discrete Element Simulation for Investigating Fragmentation Mechanism of Hard Rock Under Ultrasonic Vibration Loading. Energy Sci. Eng. 2020, 8, 3805–3822. [Google Scholar] [CrossRef]
- Gowd, T.N.; Rummel, F. Effect of Confining Pressure on the Fracture Behaviour of a Porous Rock. Int. J. Rock Mech. Min. Sci. Geomech. Abstr. 1980, 17, 225–229. [Google Scholar] [CrossRef]
- Zhang, C.; Zhao, Y.; Li, X.; Lü, X.; Gao, K. Numerical Investigation on Microcrack Propagation Behavior of Heterogeneous Rock Under Ultrasonic Vibration Load. Int. J. Geomech. 2024, 24, 04024271. [Google Scholar] [CrossRef]
- Hokka, M.; Black, J.; Tkalich, D.; Fourmeau, M.; Kane, A.; Hoang, N.-H.; Li, C.C.; Chen, W.W.; Kuokkala, V.-T. Effects of Strain Rate and Confining Pressure on the Compressive Behavior of Kuru Granite. Int. J. Impact Eng. 2016, 91, 183–193. [Google Scholar] [CrossRef]
- Liu, E.; Huang, R.; He, S. Effects of Frequency on the Dynamic Properties of Intact Rock Samples Subjected to Cyclic Loading Under Confining Pressure Conditions. Rock Mech. Rock Eng. 2012, 45, 89–102. [Google Scholar] [CrossRef]
- Li, Y.; Peng, J.; Zhang, P.; Huang, C. Hard Rock Fragmentation in Percussion Drilling Considering Confining Pressure: Insights from an Experimental Study. Int. J. Rock Mech. Min. Sci. 2021, 148, 104961. [Google Scholar] [CrossRef]
- Wang, M.; Xuan, L.; Liu, W.; Feng, J.; Wang, H. Numerical Simulation of Rock Vibration Response Under Ultrasonic High-Frequency Vibration with High Confining Pressure. Processes 2024, 12, 1394. [Google Scholar] [CrossRef]
- Asef, M.R.; Najibi, A.R. The Effect of Confining Pressure on Elastic Wave Velocities and Dynamic to Static Young’s Modulus Ratio. Geophysics 2013, 78, D135–D142. [Google Scholar] [CrossRef]
- Jin, J.; Wang, J.; Guo, Z.; Liang, C.; Yuan, W.; Wu, Y.; Zhang, R.; Wang, X. Influence of confining pressure on stress wave propagation characteristics in red sandstone. J. China Coal Soc. 2019, 2, 44. [Google Scholar] [CrossRef]
- Li, D.; Li, X.; Liu, H.; Liu, Y. Influence of Confining Pressure on Rock Fracture Propagation Under Particle Impact. Geomech. Geophys. Geo-Energ. Geo-Resour. 2024, 10, 133. [Google Scholar] [CrossRef]
Disclaimer/Publisher’s Note: The statements, opinions and data contained in all publications are solely those of the individual author(s) and contributor(s) and not of MDPI and/or the editor(s). MDPI and/or the editor(s) disclaim responsibility for any injury to people or property resulting from any ideas, methods, instructions or products referred to in the content. |
© 2025 by the authors. Licensee MDPI, Basel, Switzerland. This article is an open access article distributed under the terms and conditions of the Creative Commons Attribution (CC BY) license (https://creativecommons.org/licenses/by/4.0/).









