Mechanical Behavior and Failure Mechanism of Rock–Concrete Composites Under the Coupling Effect of Inclined Interface Angle and Ground Temperature
Abstract
1. Introduction
2. Experimental Program
2.1. Specimen Materials and Preparation
2.2. Testing Apparatus and Procedure
3. Results
3.1. Mechanical Properties
3.1.1. Stress–Strain Response Characteristics
3.1.2. Peak Strength
3.1.3. Elastic Modulus
3.2. Failure Characteristics
3.2.1. Failure Modes
3.2.2. Individual and Cumulative AE Event Counts
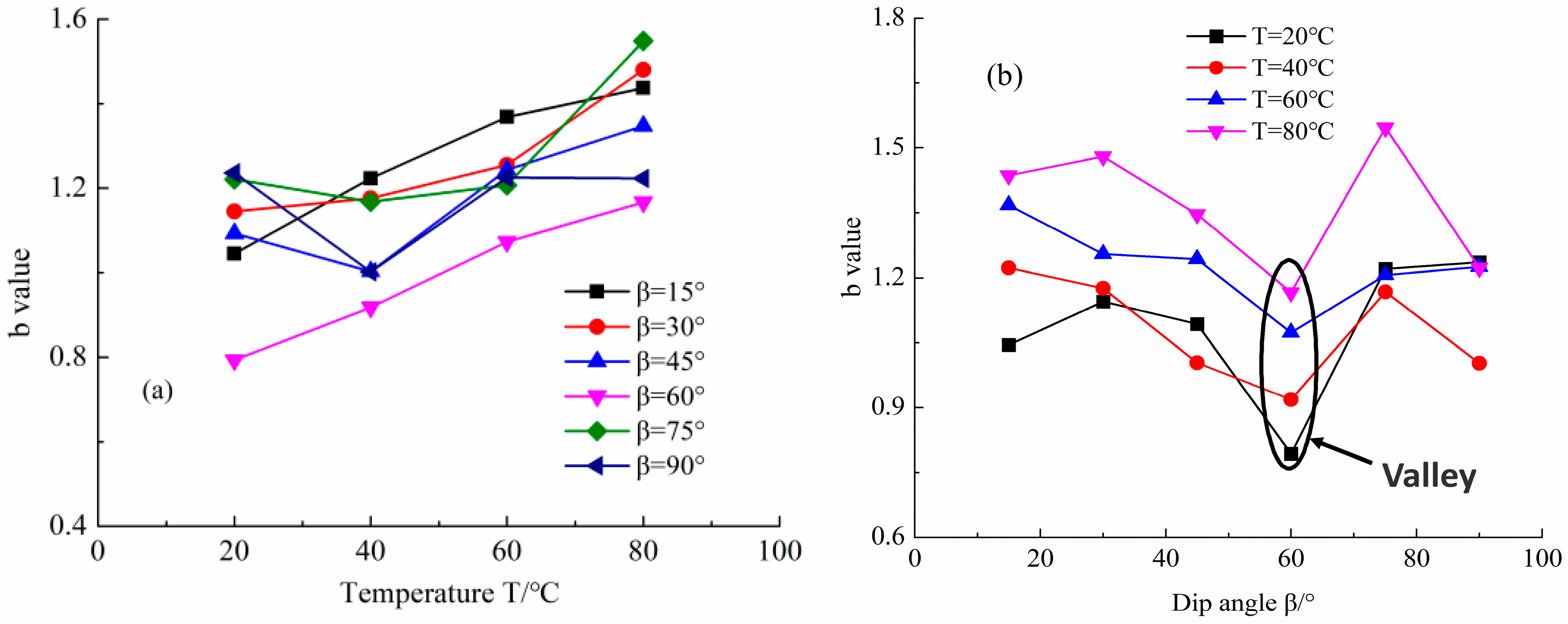
3.2.3. Evolution of AE b-Value
4. UCS Model Based on β and T
5. Conclusions
Author Contributions
Funding
Data Availability Statement
Conflicts of Interest
References
- Fishman, Y.A. Stability of concrete retaining structures and their interface with rock foundations. Int. J. Rock Mech. Min. Sci. 2009, 46, 957–966. [Google Scholar] [CrossRef]
- He, S.Y.; Lai, J.X.; Zhong, Y.J.; Wang, K.; Xu, W.; Wang, L.X.; Liu, T.; Zhang, C.P. Damage behaviors, prediction methods and prevention methods of rockburst in 13 deep traffic tunnels in China. Eng. Fail. Anal. 2021, 121, 105178. [Google Scholar] [CrossRef]
- Smaniotto, S.; Neuner, M.; Dummer, A.; Cordes, T.; Hofstetter, G. Experimental study of a wet mix shotcrete for primary tunnel linings-Part I: Evolution of strength, stiffness and ductility. Eng. Fract. Mech. 2022, 267, 108409. [Google Scholar] [CrossRef]
- Chen, Y.; Li, M.H.; Zhou, L.; Deng, L.T.; Wang, J.H. Effects of Different Loading Angles on Brazilian Splitting Characteristics of Rock-Concrete Interface. Geotech. Geol. Eng. 2024, 42, 4285–4301. [Google Scholar] [CrossRef]
- Zhao, J.; Gong, Q.M.; Eisensten, Z. Tunnelling through a frequently changing and mixed ground: A case history in Singapore. Tunn. Undergr. Space Technol. 2007, 22, 388–400. [Google Scholar] [CrossRef]
- Haas, M.; Mongeard, L.; Ulrici, L.; D’Aloia, L.; Cherrey, A.; Galler, R.; Benedikt, M. Applicability of excavated rock material: A European technical review implying opportunities for future tunnelling projects. J. Clean. Prod. 2021, 315, 128049. [Google Scholar] [CrossRef]
- van Eldert, J.; Schunnesson, H.; Johansson, D.; Saiang, D. Application of Measurement While Drilling Technology to Predict Rock Mass Quality and Rock Support for Tunnelling. Rock Mech. Rock Eng. 2020, 53, 1349–1358. [Google Scholar] [CrossRef]
- Gutiérrez-Ch, J.G.; Senent, S.; Melentijevic, S.; Jimenez, R. Distinct element method simulations of rock-concrete interfaces under different boundary conditions. Eng. Geol. 2018, 240, 123–139. [Google Scholar] [CrossRef]
- Mouzannar, H.; Bost, M.; Leroux, M.; Virely, D. Experimental Study of the Shear Strength of Bonded Concrete-Rock Interfaces: Surface Morphology and Scale Effect. Rock Mech. Rock Eng. 2017, 50, 2601–2625. [Google Scholar] [CrossRef]
- Zhao, H.; Hou, J.C.; Zhang, L.; Zhao, M.H. Towards concrete-rock interface shear containing similar triangular asperities. Int. J. Rock Mech. Min. Sci. 2021, 137, 104547. [Google Scholar] [CrossRef]
- Zhong, H.; Ooi, E.T.; Song, C.M.; Ding, T.; Lin, G.; Li, H.J. Experimental and numerical study of the dependency of interface fracture in concrete-rock specimens on mode mixity. Eng. Fract. Mech. 2014, 124, 287–309. [Google Scholar] [CrossRef]
- Zhang, M.C.; Sheng, Q.; Cui, Z. Experimental and numerical study on the mechanical properties of the rock-concrete contact surface for consideration of ground-liner interaction in rock tunnelling. Eur. J. Environ. Civ. Eng. 2023, 27, 339–355. [Google Scholar] [CrossRef]
- Zheng, Y.L.; Zhang, Q.B.; Zhao, J. Challenges and opportunities of using tunnel boring machines in mining. Tunn. Undergr. Space Technol. 2016, 57, 287–299. [Google Scholar] [CrossRef]
- Wang, Q.; Geng, P.; Li, P.S.; Wang, T.Q.; Sun, W.H. Failure analysis and dislocation-resistant design parameters of mining tunnel under normal faulting. Eng. Fail. Anal. 2023, 143, 106902. [Google Scholar] [CrossRef]
- Lv, Y.; Shen, Y.J.; An, L.; Wei, X.; Chen, X.; He, R.J.; Shi, B.L.; Zhou, Z.H. A novel cement-based interface functional material for application onto shotcrete-rock interface of tunnel in cold regions. Constr. Build. Mater. 2024, 438, 136923. [Google Scholar] [CrossRef]
- Simanjuntak, T.; Marence, M.; Schleiss, A.J.; Mynett, A.E. The Interplay of In Situ Stress Ratio and Transverse Isotropy in the Rock Mass on Prestressed Concrete-Lined Pressure Tunnels. Rock Mech. Rock Eng. 2016, 49, 4371–4392. [Google Scholar] [CrossRef]
- Fang, H.C.; Zhang, D.L.; Fang, Q. A semi-analytical method for frictional contact analysis between rock mass and concrete linings. Appl. Math. Model. 2022, 105, 17–28. [Google Scholar] [CrossRef]
- Tao, Y.X.; Ren, Q.; Vantyghem, G.; Lesage, K.; Van Tittelboom, K.; Yuan, Y.; De Corte, W.; De Schutter, G. Extending 3D concrete printing to hard rock tunnel linings: Adhesion of fresh cementitious materials for different surface inclinations. Autom. Constr. 2023, 149, 104787. [Google Scholar] [CrossRef]
- Fang, X.Q.; Ma, H.W.; Zhu, C.S.; Ding, Q.L.; Zhu, Z.G.; Han, Z.M. Imperfect interface model and dynamic interaction mechanism around tunnels under seismic waves: A review. Tunn. Undergr. Space Technol. 2023, 137, 105120. [Google Scholar] [CrossRef]
- Krounis, A.; Johansson, F.; Larsson, S. Shear Strength of Partially Bonded Concrete-Rock Interfaces for Application in Dam Stability Analyses. Rock Mech. Rock Eng. 2016, 49, 2711–2722. [Google Scholar] [CrossRef]
- Moradian, Z.A.; Ballivy, G.; Rivard, P. Application of acoustic emission for monitoring shear behavior of bonded concrete-rock joints under direct shear test. Can. J. Civ. Eng. 2012, 39, 887–896. [Google Scholar] [CrossRef]
- Bost, M.; Mouzannar, H.; Rojat, F.; Coubard, G.; Rajot, J.P. Metric Scale Study of the Bonded Concrete-Rock Interface Shear Behaviour. KSCE J. Civ. Eng. 2020, 24, 390–403. [Google Scholar] [CrossRef]
- Bista, D.; Sas, G.; Johansson, F.; Lia, L. Influence of location of large-scale asperity on shear strength of concrete-rock interface under eccentric load. J. Rock Mech. Geotech. Eng. 2020, 12, 449–460. [Google Scholar] [CrossRef]
- Dong, W.; Wu, Z.M.; Zhou, X.M. Fracture Mechanisms of Rock-Concrete Interface: Experimental and Numerical. J. Eng. Mech. 2016, 142, 105120. [Google Scholar] [CrossRef]
- Zhou, Z.L.; Lu, J.Y.; Cai, X. Static and dynamic tensile behavior of rock-concrete bi-material disc with different interface inclinations. Constr. Build. Mater. 2020, 256, 119424. [Google Scholar] [CrossRef]
- Guo, T.F.; Liu, K.W.; Ma, S.Z.; Yang, J.C.; Li, X.; Zhou, K.F.; Qiu, T. Dynamic fracture behavior and fracture toughness analysis of rock-concrete bi-material with interface crack at different impact angles. Constr. Build. Mater. 2022, 356, 129286. [Google Scholar] [CrossRef]
- Wu, D.Y.; Su, H.J.; Yu, L.Y.; Zhang, F.L.; Qin, H.; Wei, C.; Geng, S.T. Experimental and numerical investigation of dynamic tensile behavior of granite-concrete bimaterials with different rough interfaces. J. Build. Eng. 2024, 84, 108565. [Google Scholar] [CrossRef]
- Zhang, C.; Zhu, Z.D.; Wang, S.Y.; Zhang, Y.G. Experimental Research on Dynamic Failure of Rock-Cemented Material-Rock Interface Considering Strain Rate Effect. Rock Mech. Rock Eng. 2024, 57, 145–162. [Google Scholar] [CrossRef]
- Saiang, D.; Malmgren, L.; Nordlund, E. Laboratory tests on shotcrete-rock joints in direct shear, tension and compression. Rock Mech. Rock Eng. 2005, 38, 275–297. [Google Scholar] [CrossRef]
- Zhao, B.Y.; Liu, Y.; Liu, D.Y.; Huang, W.; Wang, X.P.; Yu, G.B.; Liu, S. Research on the influence of contact surface constraint on mechanical properties of rock-concrete composite specimens under compressive loads. Front. Struct. Civ. Eng. 2020, 14, 322–330. [Google Scholar] [CrossRef]
- Selçuk, L.; Asma, D. Experimental investigation of the Rock-Concrete bi materials influence of inclined interface on strength and failure behavior. Int. J. Rock Mech. Min. Sci. 2019, 123, 104119. [Google Scholar] [CrossRef]
- Xu, H.; Zhang, Z.; Yan, J.; Jiang, Z.P.; Zhao, L.S.; Zhang, Y.J. Study on mechanical properties and failure mechanism of hard rock with stiff discontinuities based on 3D printing. Eng. Fail. Anal. 2024, 161, 108225. [Google Scholar] [CrossRef]
- Wu, W.; Xu, W.B.; Zuo, J.P. Effect of inclined interface angle on shear strength and deformation response of cemented paste backfill-rock under triaxial compression. Constr. Build. Mater. 2021, 279, 122478. [Google Scholar]
- Shen, M.X.; Zhao, Y.; Bi, J.; Wang, C.L.; Du, B. Microstructure evolution and damage mechanisms of concrete-rock-composite corrosion in acid environment. J. Build. Eng. 2024, 82, 108336. [Google Scholar] [CrossRef]
- Dong, Z.; Lin, T.R.; Tang, S.B.; Lang, Y.X.; Yuan, R.F.; Heng, S. Mechanical properties and failure mechanism of concrete-granite composite specimens under compression load. Constr. Build. Mater. 2024, 435, 136768. [Google Scholar] [CrossRef]
- Wilhelm, J.; Rybach, L. The geothermal potential of Swiss Alpine tunnels. Geothermics 2003, 32, 557–568. [Google Scholar] [CrossRef]
- Hochstein, M.P.; Prebble, W.M. Major engineering constructions on top of a high-temperature geothermal system: Problems encountered at Tokaanu, New Zealand. Geothermics 2006, 35, 428–447. [Google Scholar] [CrossRef]
- Xie, J.T.; Yu, Y.Y. Grades for Heat Damage in High Altitude Tunnel Engineering. J. Railw. Eng. Soc. 2013, 30, 69–73. [Google Scholar]
- Wang, M.N.; Hu, Y.P.; Wang, Q.L.; Tian, H.T.; Liu, D.G. A study on strength characteristics of concrete under variable temperature curing conditions in ultra-high geothermal tunnels. Constr. Build. Mater. 2019, 229, 116989. [Google Scholar] [CrossRef]
- Guo, T.F.; Liu, K.W.; Li, X.; Wu, Y.; Yang, J.C. Effects of thermal treatment on the fracture behavior of rock-concrete bi-material specimens containing an interface crack. Theor. Appl. Fract. Mech. 2023, 127, 104071. [Google Scholar] [CrossRef]
- Shen, Y.J.; Wang, Y.Z.; Yang, Y.; Sun, Q.; Luo, T.; Zhang, H. Influence of surface roughness and hydrophilicity on bonding strength of concrete-rock interface. Constr. Build. Mater. 2019, 213, 156–166. [Google Scholar] [CrossRef]
- Tahwia, A.M.; Aldulaimi, D.S.; Abdellatief, M.; Youssef, O. Physical, Mechanical and Durability Properties of Eco-Friendly Engi-neered Geopolymer Composites. Infrastructures 2024, 9, 191. [Google Scholar] [CrossRef]
- Tang, Y.; Xu, G.B.; Lian, J.J.; Su, H.; Qu, C.L. Effect of temperature and humidity on the adhesion strength and damage mechanism of shotcrete-surrounded rock. Constr. Build. Mater. 2016, 124, 1109–1119. [Google Scholar] [CrossRef]
- Fang, K.; Fall, M. Effects of curing temperature on shear behaviour of cemented paste backfill-rock interface. Int. J. Rock Mech. Min. Sci. 2018, 112, 184–192. [Google Scholar] [CrossRef]
- Tong, J.; Karakus, M.; Wang, M.; Dong, C.; Tang, X. Shear strength characteristics of shotcrete–rock interface for a tunnel driven in high rock temperature environment. Geomech. Geophys. Geo-Energy Geo-Resour. 2016, 2, 331–341. [Google Scholar] [CrossRef]
- Zhang, Y.C.; Huang, M.; Jiang, Y.J.; Wang, Z. Mechanics, damage and energy degradation of rock-concrete interfaces exposed to high temperature during cyclic shear. Constr. Build. Mater. 2023, 405, 133229. [Google Scholar] [CrossRef]
- Su, H.J.; Wang, W.B.; Yu, L.Y.; Nie, Y.J.; Zhang, L.Q.; Liu, J.W. Uniaxial Compressive Behaviors of Sandstone-concrete Binary with Rough Interface after High Temperatures. KSCE J. Civ. Eng. 2024, 28, 3543–3557. [Google Scholar] [CrossRef]
- JGJ 55–2011; Specification for Mix Proportion Design of Ordinary Concrete. Ministry of Housing and Urban-Rural Development of The People’s Republic of China: Beijing, China, 2011. (In Chinese)
- ASTM D2938-95; Standard Test Method for Unconfined Strength of Intact Rock Core Specimens. ASTM International: West Conshohocken, PA, USA, 2000.
- ASTM D4543-19; Standard Practices for Preparing Rock Core as Cylindrical Test Specimens and Verifying Conformance to Dimensional and Shape Tolerances. ASTM International: West Conshohocken, PA, USA, 2019.
- Zhang, Q.; Zhang, X.P. A numerical study on cracking processes in limestone by the b-value analysis of acoustic emissions. Comput. Geotech. 2017, 92, 1–10. [Google Scholar] [CrossRef]
- Colombo, I.S.; Main, I.G.; Forde, M.C. Assessing the damage of reinforced concrete beam using “b-value” analysis of acoustic emission signals. J. Mater. Civ. Eng. 2003, 15, 280–286. [Google Scholar]
- Zhang, Z.P.; Zhang, R.; Xie, H.P.; Liu, J.F.; Were, P. Differences in the acoustic emission characteristics of rock salt compared with granite and marble during the damage evolution process. Environ. Earth Sci. 2015, 73, 6987–6999. [Google Scholar]
- Zhang, Z.B.; Liu, X.N.; Zhang, Y.H.; Qin, X.Y.; Khan, M. Comparative study on fracture characteristics of coal and rock samples based on acoustic emission technology. Theor. Appl. Fract. Mech. 2021, 111, 102851. [Google Scholar] [CrossRef]
- Ge, Z.L.; Sun, Q. Acoustic emission (AE) characteristics of granite after heating and cooling cycles. Eng. Fract. Mech. 2018, 200, 418–429. [Google Scholar] [CrossRef]













| Property | Value |
|---|---|
| Initial Setting Time (min) | 180 |
| Compressive Strength (MPa) | 62.8 |
| Tricalcium Sulfate Content (%) | 2.4 |
| Loss on Ignition (%) | 2.0 |
| Final Setting Time (min) | 240 |
| Cement Fineness (%) | 0.4 |
| Magnesium Oxide Content (%) | 2.5 |
| Standard Consistency Water Requirement (kg) | 28.4 |
| Material | Density (kg/m3) | Modulus of Elasticity (GPa) | Compressive Strength (MPa) | Ultrasonic Pulse Velocity (km/s) | |
|---|---|---|---|---|---|
| Sandstone | 2405 | 23.07 | 124.32 | 3.73 | |
| Concrete cured at | 20 °C | 2209 | 6.38 | 51.95 | 4.08 |
| 40 °C | 2213 | 6.26 | 57.36 | 3.97 | |
| 60 °C | 2245 | 6.64 | 74.09 | 3.74 | |
| 80 °C | 2277 | 6.43 | 66.29 | 3.32 | |
Disclaimer/Publisher’s Note: The statements, opinions and data contained in all publications are solely those of the individual author(s) and contributor(s) and not of MDPI and/or the editor(s). MDPI and/or the editor(s) disclaim responsibility for any injury to people or property resulting from any ideas, methods, instructions or products referred to in the content. |
© 2024 by the authors. Licensee MDPI, Basel, Switzerland. This article is an open access article distributed under the terms and conditions of the Creative Commons Attribution (CC BY) license (https://creativecommons.org/licenses/by/4.0/).
Share and Cite
Liu, S.; Zhao, J.; Cheng, F.; Yu, H.; Chen, J. Mechanical Behavior and Failure Mechanism of Rock–Concrete Composites Under the Coupling Effect of Inclined Interface Angle and Ground Temperature. Symmetry 2025, 17, 52. https://doi.org/10.3390/sym17010052
Liu S, Zhao J, Cheng F, Yu H, Chen J. Mechanical Behavior and Failure Mechanism of Rock–Concrete Composites Under the Coupling Effect of Inclined Interface Angle and Ground Temperature. Symmetry. 2025; 17(1):52. https://doi.org/10.3390/sym17010052
Chicago/Turabian StyleLiu, Shiwei, Jiaxin Zhao, Fang Cheng, Hao Yu, and Jiaqi Chen. 2025. "Mechanical Behavior and Failure Mechanism of Rock–Concrete Composites Under the Coupling Effect of Inclined Interface Angle and Ground Temperature" Symmetry 17, no. 1: 52. https://doi.org/10.3390/sym17010052
APA StyleLiu, S., Zhao, J., Cheng, F., Yu, H., & Chen, J. (2025). Mechanical Behavior and Failure Mechanism of Rock–Concrete Composites Under the Coupling Effect of Inclined Interface Angle and Ground Temperature. Symmetry, 17(1), 52. https://doi.org/10.3390/sym17010052

