Method for the Trajectory Tracking Control of Unmanned Ground Vehicles Based on Chaotic Particle Swarm Optimization and Model Predictive Control
Abstract
1. Introduction
2. Dynamics Model of an Unmanned Ground Vehicle
3. Trajectory Tracking Controller Based on Chaotic Particle Swarm Optimization MPC
3.1. Trajectory Tracking Control Method Based on MPC
3.2. Nonlinear Constrained Optimization Calculation Based on Chaotic Particle Swarm Optimization
3.3. Tyre Force Distribution Method Considering Multi-Objective Optimization
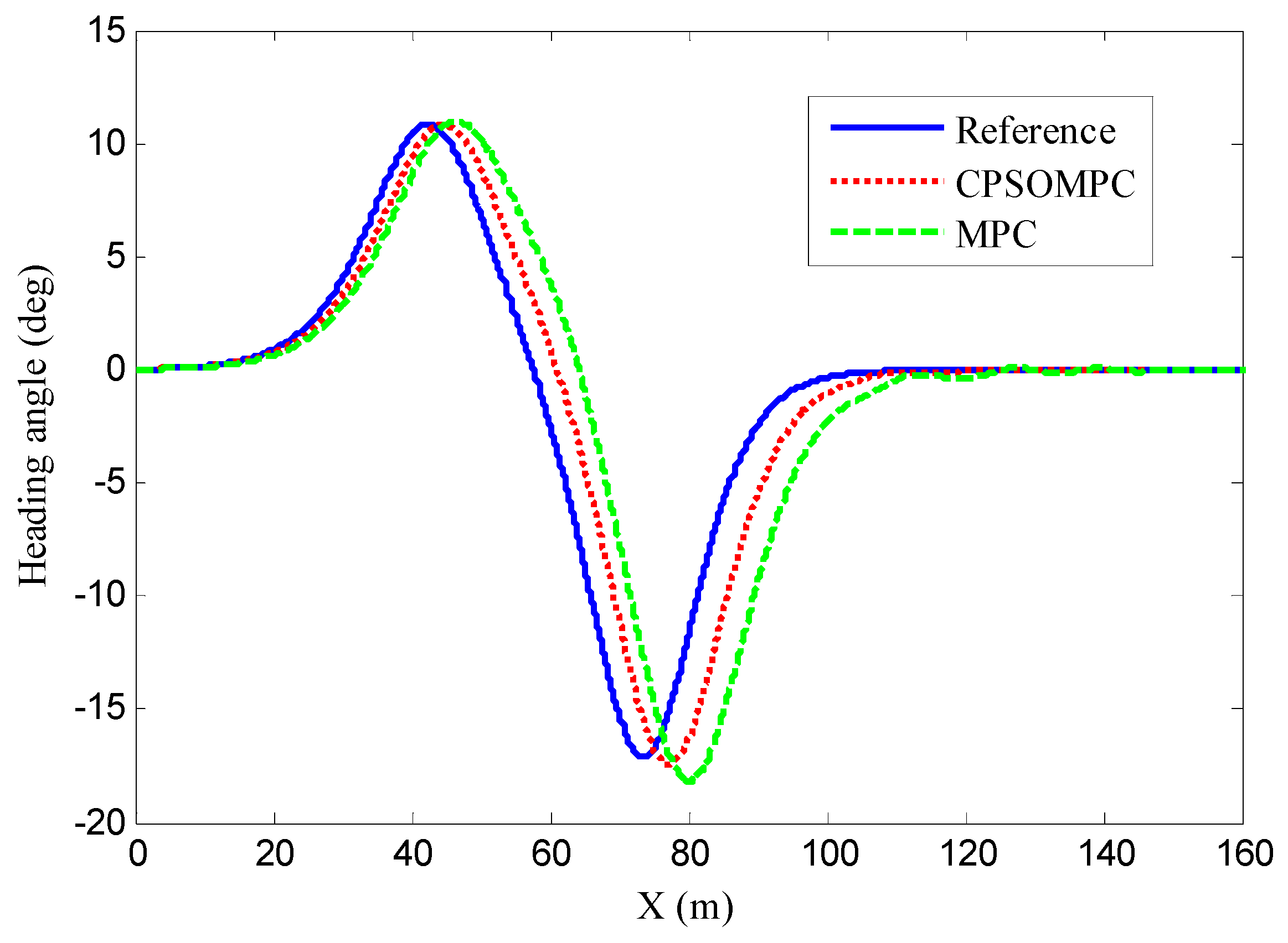
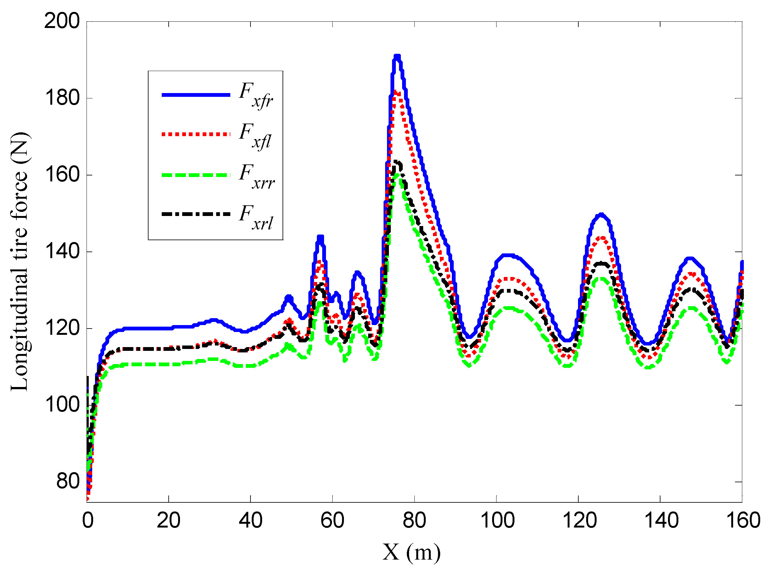
4. Result Verification
5. Conclusions and Discussion
Author Contributions
Funding
Data Availability Statement
Conflicts of Interest
References
- Chen, T.; Cai, Y.; Chen, L.; Xu, X. Trajectory and velocity planning method of emergency rescue vehicle based on segmented three-dimensional quartic Bezier curve. IEEE Trans. Intell. Transp. Syst. 2023, 24, 3461–3475. [Google Scholar] [CrossRef]
- Wang, D.; Yang, F.; Gan, L.; Li, Y. Fuzzy prediction of power lithiumion battery state of function based on the fuzzy c-means clustering algorithm. World Electr. Veh. J. 2019, 10, 1. [Google Scholar] [CrossRef]
- Zhao, W.; Wang, L.; Mirjalili, S. Artificial hummingbird algorithm: A new bio-inspired optimizer with its engineering applications. Comput. Methods Appl. Mech. Eng. 2022, 388, 114194. [Google Scholar] [CrossRef]
- Zhang, L.; Zhao, Z.; Chai, J.; Kan, Z. Risk Identification and Analysis for PPP Projects of Electric Vehicle Charging Infrastructure Based on 2-Tuple and the DEMATEL Model. World Electr. Veh. J. 2019, 10, 4. [Google Scholar] [CrossRef]
- Iora, P.; Tribioli, L. Effect of ambient temperature on electric vehicles’ energy consumption and range: Model definition and sensitivity analysis based on nissan leaf data. World Electr. Veh. J. 2019, 10, 2. [Google Scholar] [CrossRef]
- Chen, T.; Chen, L.; Xu, X.; Cai, Y.; Jiang, H.; Sun, X. Passive fault-tolerant path following control of autonomous distributed drive electric vehicle considering steering system fault. Mech. Syst. Signal Process. 2019, 123, 298–315. [Google Scholar] [CrossRef]
- Khunkitti, S.; Siritaratiwat, A.; Premrudeepreechacharn, S. A Many-Objective Marine Predators Algorithm for Solving Many-Objective Optimal Power Flow Problem. Appl. Sci. 2022, 12, 11829. [Google Scholar] [CrossRef]
- Ezugwu, A.E.; Agushaka, J.O.; Abualigah, L.; Mirjalili, S.; Gandomi, A.H. Prairie Dog Optimization Algorithm. Neural Comput. Appl. 2022, 34, 20017–20065. [Google Scholar] [CrossRef]
- Jiang, Y.; Meng, H.; Chen, G.P.; Yang, C.N.; Xu, X.J.; Zhang, L.; Xu, H.J. Differential-steering based path tracking control and energy-saving torque distribution strategy of 6WID unmanned ground vehicle. Energy 2022, 254, 124209. [Google Scholar] [CrossRef]
- He, S.; Xu, X.; Xie, J.; Wang, F.; Liu, Z. Adaptive control of dual-motor autonomous steering system for intelligent vehicles via Bi-LSTM and fuzzy methods. Control. Eng. Pract. 2023, 130, 105362. [Google Scholar] [CrossRef]
- Li, Z.; Zhao, H.; Wang, Y.; Ren, Y.; Chen, Z.; Chen, C. Adaptive event-triggered control for almost sure stability for vehicle platooning under interference and stochastic attacks. ISA Trans. 2023, 138, 120–132. [Google Scholar] [CrossRef]
- Wang, L.; Lan, J.; Li, M. PAFNet: Pillar Attention Fusion Network for Vehicle–Infrastructure Cooperative Target Detection Using LiDAR. Symmetry 2024, 16, 401. [Google Scholar] [CrossRef]
- Khunkitti, S.; Premrudeepreechacharn, S.; Siritaratiwat, A. A two-archive Harris Hawk optimization for solving many-objective optimal power flow problems. IEEE Access 2023, 11, 134557–134574. [Google Scholar] [CrossRef]
- Li, Z.; Wang, P.; Liu, H.; Hu, Y.; Chen, H. Coordinated longitudinal and lateral vehicle stability control based on the combined-slip tire model in the MPC framework. Veh. Syst. Dyn. 2021, 161, 107947. [Google Scholar]
- Xu, X.; Jiang, X.; Xie, J.; Wang, F.; Li, M. Research on human driving characterised trajectory planning and trajectory tracking control based on a test track. Int. J. Control. Autom. Syst. 2023, 21, 1258–1272. [Google Scholar] [CrossRef]
- Chen, T.; Cai, Y.; Chen, L.; Xu, X. Sideslip angle fusion estimation method of three-axis autonomous vehicle based on composite model and adaptive cubature Kalman filter. IEEE Trans. Transp. Electrif. 2024, 10, 316–330. [Google Scholar] [CrossRef]
- Xie, J.; Xu, X.; Wang, F.; Liu, Z.; Chen, L. Coordination control strategy for human-machine cooperative steering of intelligent vehicles: A reinforcement learning approach. IEEE Trans. Intell. Transp. Syst. 2022, 23, 21163–21177. [Google Scholar] [CrossRef]
- Chen, T.; Chen, L.; Xu, X.; Cai, Y.; Jiang, H.; Sun, X. Estimation of longitudinal force and sideslip angle for intelligent four-wheel independent drive electric vehicles by observer iteration and information fusion. Sensors 2018, 18, 1268. [Google Scholar] [CrossRef]
- Wang, R.R.; Zhang, H.; Wang, J.M.; Yan, F.J.; Chen, N. Robust lateral motion control of four-wheel independently actuated electric vehicles with tire force saturation consideration. J. Frankl. Inst. 2015, 352, 645–668. [Google Scholar] [CrossRef]
- Wang, Z.J.; Zhou, X.Y.; Wang, J.M. Extremum-Seeking-Based Adaptive Model-Free Control and Its Application to Automated Vehicle Path Tracking. IEEE-ASME Trans. Mechatron. 2022, 27, 3874–3884. [Google Scholar] [CrossRef]
- Liang, C.; Xu, X.; Wang, F.; Wang, S.; Zhou, Z. CAN-induced asynchronous random delays-considered mode transition system for DM-PHEV based on constrained output feedback robust control strategy. IEEE Trans. Veh. Technol. 2022, 71, 5995–6006. [Google Scholar] [CrossRef]
- Xu, F.X.; Zhou, C.; Liu, X.H.; Wang, J. GRNN inverse system based decoupling control strategy for active front steering and hydro-pneumatic suspension systems of emergency rescue vehicle. Mech. Syst. Signal Process. 2022, 167, 108595. [Google Scholar] [CrossRef]
- Chen, T.; Cai, Y.F.; Chen, L.; Xu, X.; Sun, X.Q. Trajectory tracking control of steer-by-wire autonomous ground vehicle considering the complete failure of vehicle steering motor. Simul. Model. Pract. Theory 2021, 109, 102235. [Google Scholar] [CrossRef]
- Lee, D.; Yi, K.; Chang, S.; Lee, B.; Jang, B. Robust steering-assist torque control of electric-power-assisted-steering systems for target steering wheel torque tracking. Mechatronics 2018, 49, 157–167. [Google Scholar] [CrossRef]
- Ma, X.; Guo, Y.; Chen, L. Active disturbance rejection control for electric power steering system with assist motor variable mode. J. Frankl. Inst. 2018, 355, 1139–1155. [Google Scholar] [CrossRef]
- Montanino, M.; Punzo, V. On string stability of a mixed and heterogeneous traffic flow: A unifying modelling framework. Transp. Res. Part B Methodol. 2021, 144, 133–154. [Google Scholar] [CrossRef]
- Jin, L.; Tian, D.; Liu, Y. Coordinated control of DDAS and ESC systems for electric vehicle driven by in-wheel motors. J. Mech. Eng. 2018, 54, 160–169. [Google Scholar] [CrossRef]
- Chen, W.; Sun, X.; Wang, H. Extension coordinated control of automotive differential drive assisted steering system. Sci. Sin. Tech. 2017, 47, 324–335. [Google Scholar] [CrossRef]
- Hu, C.; Qin, Y.; Cao, H.; Song, X.; Jiang, K.; Rath, J.J.; Wei, C. Lane keeping of autonomous vehicles based on differential steering with adaptive multivariable super-twisting control. Mech. Syst. Signal Process. 2019, 125, 330–346. [Google Scholar] [CrossRef]
- Deng, H.; Zhao, Y.; Feng, S.; Wang, Q.; Zhang, C.; Lin, F. Torque vectoring algorithm based on mechanical elastic electric wheels with consideration of the stability and economy. Energy 2021, 219, 119643. [Google Scholar] [CrossRef]
- Liu, Y.; Gao, H. Stability, scalability, speedability, and string stability of connected vehicle systems. IEEE Trans. Syst. Man Cybern. Syst. 2021, 52, 2819–2832. [Google Scholar] [CrossRef]
- Wu, X.; Wang, Z.; Chen, S. Research on Mathematical Modeling of Critical Impact Force and Rollover Velocity of Coach Tripped Rollover Based on Numerical Analysis Method. Symmetry 2024, 16, 543. [Google Scholar] [CrossRef]
- Küp, E.T.; Cebeci, S.; Bayram, B.; Aydın, G.; Bozkaya, B.; Akhavan-Tabatabaei, R. An Integrated Framework for Dynamic Vehicle Routing Problems with Pick-up and Delivery Time Windows and Shared Fleet Capacity Planning. Symmetry 2024, 16, 505. [Google Scholar] [CrossRef]








| Average Lateral Offset (m) | Average Heading Error (deg) | Average Yaw rate Error (rad/s) | Optimal Calculation Time (ms) | Lane Changing Time (s) | |
|---|---|---|---|---|---|
| MPC | 0.0331 | 0.1296 | 0.0269 | 506 | 13.32 |
| PSOMPC | 0.0176 | 0.0593 | 0.0211 | 430 | 12.59 |
| CPSOMPC | 0.0136 | 0.0307 | 0.0183 | 382 | 12.36 |
Disclaimer/Publisher’s Note: The statements, opinions and data contained in all publications are solely those of the individual author(s) and contributor(s) and not of MDPI and/or the editor(s). MDPI and/or the editor(s) disclaim responsibility for any injury to people or property resulting from any ideas, methods, instructions or products referred to in the content. |
© 2024 by the authors. Licensee MDPI, Basel, Switzerland. This article is an open access article distributed under the terms and conditions of the Creative Commons Attribution (CC BY) license (https://creativecommons.org/licenses/by/4.0/).
Share and Cite
Jin, M.; Li, J.; Chen, T. Method for the Trajectory Tracking Control of Unmanned Ground Vehicles Based on Chaotic Particle Swarm Optimization and Model Predictive Control. Symmetry 2024, 16, 708. https://doi.org/10.3390/sym16060708
Jin M, Li J, Chen T. Method for the Trajectory Tracking Control of Unmanned Ground Vehicles Based on Chaotic Particle Swarm Optimization and Model Predictive Control. Symmetry. 2024; 16(6):708. https://doi.org/10.3390/sym16060708
Chicago/Turabian StyleJin, Mengtao, Junmin Li, and Te Chen. 2024. "Method for the Trajectory Tracking Control of Unmanned Ground Vehicles Based on Chaotic Particle Swarm Optimization and Model Predictive Control" Symmetry 16, no. 6: 708. https://doi.org/10.3390/sym16060708
APA StyleJin, M., Li, J., & Chen, T. (2024). Method for the Trajectory Tracking Control of Unmanned Ground Vehicles Based on Chaotic Particle Swarm Optimization and Model Predictive Control. Symmetry, 16(6), 708. https://doi.org/10.3390/sym16060708

