Experimental Investigation on the Symmetry and Stabilization of Ethanol Spray Swirling Flames Utilizing Simultaneous PIV/OH-PLIF Measurements
Abstract
1. Introduction
2. Experimental Setup
2.1. Combustor Facility
2.2. Laser Diagnostics
2.3. Image Processing
3. Results and Discussions
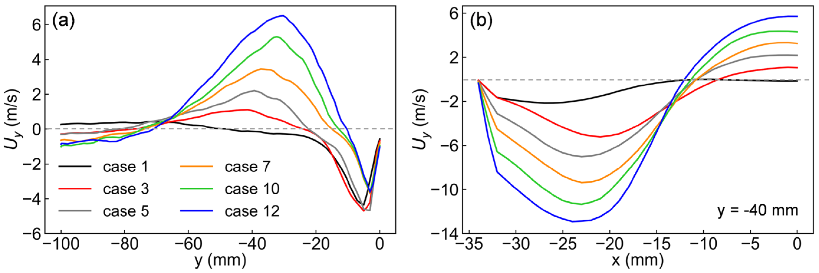
3.1. Non-Reacting Flow
3.2. Reacting Flow
3.3. Flame Symmetry and Stability
4. Conclusions
Author Contributions
Funding
Data Availability Statement
Conflicts of Interest
Appendix A

References
- Moeck, J.P.; Bourgouin, J.-F.; Durox, D.; Schuller, T.; Candel, S. Nonlinear interaction between a precessing vortex core and acoustic oscillations in a turbulent swirling flame. Combust. Flame 2012, 159, 2650–2668. [Google Scholar] [CrossRef]
- Huang, R.F.; Yen, S.C. Aerodynamic characteristics and thermal structure of nonpremixed reacting swirling wakes at low Reynolds numbers. Combust. Flame 2008, 155, 539–556. [Google Scholar] [CrossRef]
- Syred, N.; Beér, J.M. Combustion in swirling flows: A review. Combust. Flame 1974, 23, 143–201. [Google Scholar] [CrossRef]
- Presser, C.; Gupta, A.K.; Semerjian, H.G.; Avedisian, C.T. Droplet transport in a swirl-stabilized spray flame. J. Propuls. Power 1994, 10, 631–638. [Google Scholar] [CrossRef][Green Version]
- Chatterjee, S. Turbulent Non-Premixed Swirl-Stabilized Flames of Gaseous and Liquid Fuels in a Gas Turbine Model Combustor. Ph.D. Thesis, University of Toronto, Toronto, ON, Canada, 2018. [Google Scholar]
- Foust, M.; Thomsen, D.; Stickles, R.; Cooper, C.; Dodds, W. Development of the GE Aviation Low Emissions TAPS Combustor for Next Generation Aircraft Engines. In Proceedings of the 50th AIAA Aerospace Sciences Meeting Including the New Horizons Forum and Aerospace Exposition, Nashville, TN, USA, 9–12 January 2012. [Google Scholar]
- Dhanuka, S.K.; Temme, J.E.; Driscoll, J.F. Lean-limit combustion instabilities of a lean premixed prevaporized gas turbine combustor. Proc. Combust. Inst. 2011, 33, 2961–2966. [Google Scholar] [CrossRef]
- García-Oliver, J.M.; Malbec, L.-M.; Toda, H.B.; Bruneaux, G. A study on the interaction between local flow and flame structure for mixing-controlled Diesel sprays. Combust. Flame 2017, 179, 157–171. [Google Scholar] [CrossRef]
- Zhang, R.; Pratt, A.C.; Lucht, R.P.; Slabaugh, C.D. Structure conditioned velocity statistics in a high pressure swirl flame. Proc. Combust. Inst. 2019, 37, 5031–5038. [Google Scholar] [CrossRef]
- Li, L.a.; Li, X.; Wang, Z.; Wang, B.; Lin, H.; Hu, W.; Chang, F.; Zhou, B. Experimental investigation of the flow-spray field in a realistic concentric staged high-temperature-rise combustor. Fuel 2022, 318, 123606. [Google Scholar] [CrossRef]
- Slabaugh, C.D.; Pratt, A.C.; Lucht, R.P. Simultaneous 5 kHz OH-PLIF/PIV for the study of turbulent combustion at engine conditions. Appl. Phys. B 2014, 118, 109–130. [Google Scholar] [CrossRef]
- Bae, C.; Kim, J. Alternative fuels for internal combustion engines. Proc. Combust. Inst. 2017, 36, 3389–3413. [Google Scholar] [CrossRef]
- Masri, A.R.; Gounder, J.D. Turbulent Spray Flames of Acetone and Ethanol Approaching Extinction. Combust. Sci. Technol. 2010, 182, 702–715. [Google Scholar] [CrossRef]
- Gounder, J.D.; Kourmatzis, A.; Masri, A.R. Turbulent piloted dilute spray flames: Flow fields and droplet dynamics. Combust. Flame 2012, 159, 3372–3397. [Google Scholar] [CrossRef]
- Mansour, M.S.; Alkhesho, I.; Chung, S.H. Stabilization and structure of n-heptane flame on CWJ-spray burner with kHZ SPIV and OH-PLIF. Exp. Therm. Fluid Sci. 2016, 73, 18–26. [Google Scholar] [CrossRef][Green Version]
- Edalati-nejad, A.; Fanaee, S.A.; Khadem, J. The unsteady investigation of methane-air premixed counterflow flame into newly proposed plus-shaped channel over palladium catalyst. Energy 2019, 186, 115833. [Google Scholar] [CrossRef]
- Edalati-nejad, A.; Fanaee, S.A.; Ghodrat, M.; Khadem, J. Investigation of Unsteady Premixed Micro/Macro Counterflow Flames for Lean to Rich Methane/Air Mixture. J. Energy Resour. Technol. 2021, 143, 052302. [Google Scholar] [CrossRef]
- Malbois, P.; Salaün, E.; Vandel, A.; Godard, G.; Cabot, G.; Renou, B.; Boukhalfa, A.M.; Grisch, F. Experimental investigation of aerodynamics and structure of a swirl-stabilized kerosene spray flame with laser diagnostics. Combust. Flame 2019, 205, 109–122. [Google Scholar] [CrossRef]
- Renaud, A.; Ducruix, S.; Scouflaire, P.; Zimmer, L. Flame shape transition in a swirl stabilised liquid fueled burner. Proc. Combust. Inst. 2015, 35, 3365–3372. [Google Scholar] [CrossRef]
- Renaud, A.; Ducruix, S.; Zimmer, L. Bistable behaviour and thermo-acoustic instability triggering in a gas turbine model combustor. Proc. Combust. Inst. 2017, 36, 3899–3906. [Google Scholar] [CrossRef]
- Cavaliere, D.E.; Kariuki, J.; Mastorakos, E. A Comparison of the Blow-Off Behaviour of Swirl-Stabilized Premixed, Non-Premixed and Spray Flames. Flow Turbul. Combust. 2013, 91, 347–372. [Google Scholar] [CrossRef]
- Letty, C.; Mastorakos, E.; Masri, A.R.; Juddoo, M.; O’Loughlin, W. Structure of igniting ethanol and n-heptane spray flames with and without swirl. Exp. Therm. Fluid Sci. 2012, 43, 47–54. [Google Scholar] [CrossRef]
- Ahmed, S.A. Three component velocity measurements of an isothermal confined swirling flow. Proc. Inst. Mech. Eng. 1997, 211, 175–185. [Google Scholar] [CrossRef]
- Liu, C.; Liu, F.; Yang, J.; Mu, Y.; Hu, C.; Xu, G. Experimental Investigation of Spray and Combustion Performances of a Fuel-Staged Low Emission Combustor: Effects of Main Swirl Angle. J. Eng. Gas Turbines Power 2017, 139, 121502. [Google Scholar] [CrossRef]
- Renaud, M.A. High-Speed Diagnostics for the Study of Flame Stabilization and Transient Behaviour in a Swirled Burner with Variable Liquid-Fuel Distribution. Ph.D. Thesis, Paris-Saclay University, Paris, France, 2015. [Google Scholar]
- An, Q.; Kheirkhah, S.; Bergthorson, J.; Yun, S.; Hwang, J.; Lee, W.J.; Kim, M.K.; Cho, J.H.; Kim, H.S.; Vena, P. Flame stabilization mechanisms and shape transitions in a 3D printed, hydrogen enriched, methane/air low-swirl burner. Int. J. Hydrogen Energy 2021, 46, 14764–14779. [Google Scholar] [CrossRef]
- Sidey, J.; Mastorakos, E. Visualisation of turbulent swirling dual-fuel flames. Proc. Combust. Inst. 2017, 36, 1721–1727. [Google Scholar] [CrossRef]
- Wang, X.; Liu, K.; Fu, C.; Wang, M.; Yu, J.; Yan, Y.; Li, J.; Ge, X.; Gao, Y. Investigation of the influence of the bluff-body temperature on a lean premixed DME/air flame approaching blowoff. Exp. Therm. Fluid Sci. 2024, 152, 111123. [Google Scholar] [CrossRef]
- Fan, X.; Liu, C.; Xu, G.; Zhang, C.; Wang, J.; Lin, Y. Experimental investigations of the spray structure and interactions between sectors of a double-swirl low-emission combustor. Chin. J. Aeronaut. 2020, 33, 589–597. [Google Scholar] [CrossRef]
- Malbois, P.; Salaün, E.; Rossow, B.; Cabot, G.; Bouheraoua, L.; Richard, S.; Renou, B.; Grisch, F. Quantitative measurements of fuel distribution and flame structure in a lean-premixed aero-engine injection system by kerosene/OH-PLIF measurements under high-pressure conditions. Proc. Combust. Inst. 2019, 37, 5215–5222. [Google Scholar] [CrossRef]
- Roy Chowdhury, B.; Cetegen, B.M. Effects of fuel properties and free stream turbulence on characteristics of bluff-body stabilized flames. Combust. Flame 2018, 194, 206–222. [Google Scholar] [CrossRef]
- Verdier, A.; Marrero Santiago, J.; Vandel, A.; Saengkaew, S.; Cabot, G.; Grehan, G.; Renou, B. Experimental study of local flame structures and fuel droplet properties of a spray jet flame. Proc. Combust. Inst. 2017, 36, 2595–2602. [Google Scholar] [CrossRef]
- Yuan, R.; Kariuki, J.; Mastorakos, E. Measurements in swirling spray flames at blow-off. Int. J. Spray Combust. Dyn. 2018, 10, 185–210. [Google Scholar] [CrossRef]
- Santhosh, R.; Basu, S. Transitions and blowoff of unconfined non-premixed swirling flame. Combust. Flame 2016, 164, 35–52. [Google Scholar] [CrossRef]
- Yuan, R. Measurement in Swirl-Stabilised Spray Flames at Blow-Off. Ph.D. Thesis, University of Cambridge, Cambridge, UK, 2015. [Google Scholar]
- Chterev, I.; Rock, N.; Ek, H.; Emerson, B.; Seitzman, J.; Jiang, N.; Roy, S.; Lee, T.; Gord, J.; Lieuwen, T. Simultaneous imaging of fuel, OH, and three component velocity fields in high pressure, liquid fueled, swirl stabilized flames at 5 kHz. Combust. Flame 2017, 186, 150–165. [Google Scholar] [CrossRef]
- Dejoan, A.; Jiménez, C.; Martínez-Ruiz, D.; Muntean, V.; Sánchez-Sanz, M.; Kurdyumov, V.N. Flame propagation in narrow horizontal channels: Impact of the gravity field on the flame shape. Proc. Combust. Inst. 2023, 39, 1535–1543. [Google Scholar] [CrossRef]
- Giusti, A.; Mastorakos, E. Detailed chemistry LES/CMC simulation of a swirling ethanol spray flame approaching blow-off. Proc. Combust. Inst. 2017, 36, 2625–2632. [Google Scholar] [CrossRef]
- Giusti, A.; Kotzagianni, M.; Mastorakos, E. LES/CMC Simulations of Swirl-Stabilised Ethanol Spray Flames Approaching Blow-Off. Flow Turbul. Combust. 2016, 97, 1165–1184. [Google Scholar] [CrossRef]
- Sidey, J.A.M.; Mastorakos, E. Stabilisation of swirling dual-fuel flames. Exp. Therm. Fluid Sci. 2018, 95, 65–72. [Google Scholar] [CrossRef]
- Shang, W.; He, Z.; Wang, Q.; Cao, J.; Li, B.; Leng, X.; Tamilselvan, P.; Li, D. Experimental and analytical study on capture spray liquid penetration and combustion characteristics simultaneously with Hydrogenated Catalytic Biodiesel/Diesel blended fuel. Appl. Energy 2018, 226, 947–956. [Google Scholar] [CrossRef]
- Li, D.; He, Z.; Xuan, T.; Zhong, W.; Cao, J.; Wang, Q.; Wang, P. Simultaneous capture of liquid length of spray and flame lift-off length for second-generation biodiesel/diesel blended fuel in a constant volume combustion chamber. Fuel 2017, 189, 260–269. [Google Scholar] [CrossRef]
















| Name | 1 (g/s) | 2 (m/s) | 3 | 4 |
|---|---|---|---|---|
| Case 1 | 0.17 | 2.86 | 0.77 | 0.14 |
| Case2 | 4.28 | 0.52 | 0.21 | |
| Case 3 | 5.7 | 0.39 | 0.28 | |
| Case 4 | 7.13 | 0.31 | 0.35 | |
| Case 5 | 8.56 | 0.26 | 0.42 | |
| Case 6 | 9.98 | 0.22 | 0.49 | |
| Case 7 | 11.41 | 0.19 | 0.56 | |
| Case 8 | 12.84 | 0.17 | 0.63 | |
| Case 9 | 14.26 | 0.15 | 0.70 | |
| Case 10 | 15.69 | 0.14 | 0.77 | |
| Case 11 | 17.11 | 0.13 | 0.83 | |
| Case 12 | 18.54 | 0.12 | 0.90 |
Disclaimer/Publisher’s Note: The statements, opinions and data contained in all publications are solely those of the individual author(s) and contributor(s) and not of MDPI and/or the editor(s). MDPI and/or the editor(s) disclaim responsibility for any injury to people or property resulting from any ideas, methods, instructions or products referred to in the content. |
© 2024 by the authors. Licensee MDPI, Basel, Switzerland. This article is an open access article distributed under the terms and conditions of the Creative Commons Attribution (CC BY) license (https://creativecommons.org/licenses/by/4.0/).
Share and Cite
Wang, M.; Fu, C.; Wang, X.; Liu, K.; Meng, S.; Zhang, M.; Yu, J.; Xia, X.; Gao, Y. Experimental Investigation on the Symmetry and Stabilization of Ethanol Spray Swirling Flames Utilizing Simultaneous PIV/OH-PLIF Measurements. Symmetry 2024, 16, 205. https://doi.org/10.3390/sym16020205
Wang M, Fu C, Wang X, Liu K, Meng S, Zhang M, Yu J, Xia X, Gao Y. Experimental Investigation on the Symmetry and Stabilization of Ethanol Spray Swirling Flames Utilizing Simultaneous PIV/OH-PLIF Measurements. Symmetry. 2024; 16(2):205. https://doi.org/10.3390/sym16020205
Chicago/Turabian StyleWang, Meng, Chen Fu, Xiaoyang Wang, Kunpeng Liu, Sheng Meng, Man Zhang, Juan Yu, Xi Xia, and Yi Gao. 2024. "Experimental Investigation on the Symmetry and Stabilization of Ethanol Spray Swirling Flames Utilizing Simultaneous PIV/OH-PLIF Measurements" Symmetry 16, no. 2: 205. https://doi.org/10.3390/sym16020205
APA StyleWang, M., Fu, C., Wang, X., Liu, K., Meng, S., Zhang, M., Yu, J., Xia, X., & Gao, Y. (2024). Experimental Investigation on the Symmetry and Stabilization of Ethanol Spray Swirling Flames Utilizing Simultaneous PIV/OH-PLIF Measurements. Symmetry, 16(2), 205. https://doi.org/10.3390/sym16020205

