High-Efficiency and Ultrawideband Polarization Conversion Metasurface Based on Topology and Shape Optimizaiton Design Method
Abstract
1. Introduction
2. Design Method
2.1. Theoratical Analysis and Unit Cell Design
2.2. Topology Optimizaiton
2.3. Shape Optimizaiton
3. Results and Discussion
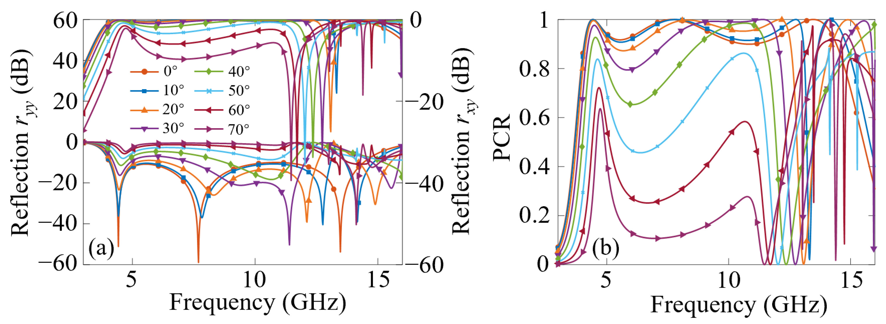
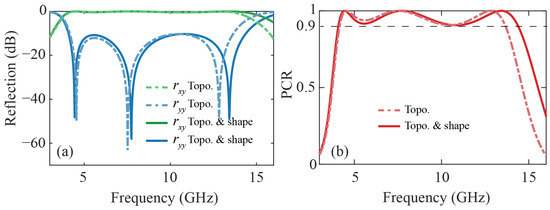
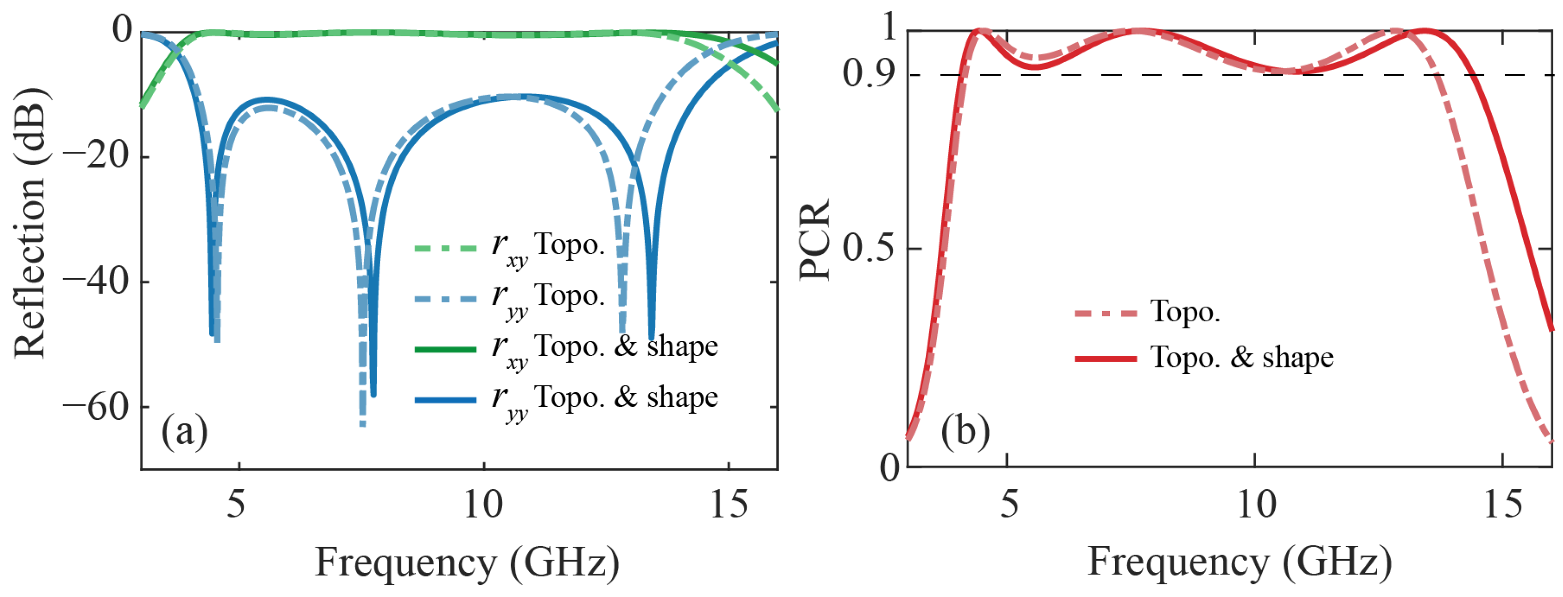
3.1. Results
3.2. Discussion
4. Conclusions
Author Contributions
Funding
Data Availability Statement
Conflicts of Interest
References
- Shalaev, V.M. Optical negative-index metamaterials. Nat. Photonics 2007, 1, 41–48. [Google Scholar] [CrossRef]
- Zheludev, N.I.; Kivshar, Y.S. From metamaterials to metadevices. Nat. Mater. 2012, 11, 917–924. [Google Scholar] [CrossRef] [PubMed]
- Yu, N.; Capasso, F. Flat optics with designer metasurfaces. Nat. Mater. 2014, 13, 139–150. [Google Scholar] [CrossRef] [PubMed]
- Hao, J.; Yuan, Y.; Ran, L.; Jiang, T.; Kong, J.A.; Chan, C.T.; Zhou, L. Manipulating electromagnetic wave polarizations by anisotropic metamaterials. Phys. Rev. Lett. 2007, 99, 063908. [Google Scholar] [CrossRef] [PubMed]
- Khan, M.I.; Tahir, F.A. An angularly stable dual-broadband anisotropic cross polarization conversion metasurface. J. Appl. Phys. 2017, 122, 053103. [Google Scholar] [CrossRef]
- Jin, G.; Ren, Y.; Tang, B. Numerical simulations of circular dichroism and polarization conversion in VO2-based terahertz metamaterials. Crystals 2023, 13, 437. [Google Scholar] [CrossRef]
- Ding, F.; Wang, Z.; He, S.; Shalaev, V.M.; Kildishev, A.V. Broadband high-efficiency half-wave plate: A supercell-based plasmonic metasurface approach. ACS Nano 2015, 9, 4111–4119. [Google Scholar] [CrossRef] [PubMed]
- Chuang, H.R.; Kuo, L.C. 3-D FDTD design analysis of a 2.4-GHz polarization-diversity printed dipole antenna with integrated balun and polarization-switching circuit for WLAN and wireless communication applications. IEEE Trans. Microw. Theory Technol. 2003, 51, 374–381. [Google Scholar] [CrossRef]
- Heydari, S.; Bazgir, M.; Zarrabi, F.B.; Gandji, N.P.; Rastan, I. Novel optical polarizer design based on metasurface nano aperture for biological sensing in mid-infrared regime. Opt. Quantum. Electron. 2017, 49, 83. [Google Scholar] [CrossRef]
- Barry, C. A smart radar absorber. Smart Mater. Struct. 1999, 8, 64. [Google Scholar]
- Gao, X.; Han, X.; Cao, W.P.; Li, H.O.; Ma, H.F.; Cui, T.J. Ultrawideband and high-efficiency linear polarization converter based on double V-shaped metasurface. IEEE Trans. Antennas Propag. 2015, 63, 3522–3530. [Google Scholar] [CrossRef]
- Jia, Y.; Liu, Y.; Guo, Y.J.; Li, K.; Gong, S. A dual-patch polarization rotation reflective surface and its application to ultra-wideband RCS reduction. IEEE Trans. Antennas Propag. 2017, 65, 3291–3295. [Google Scholar] [CrossRef]
- Xu, J.; Li, R.; Qin, J.; Wang, S.; Han, T. Ultra-broadband wide-angle linear polarization converter based on H-shaped metasurface. Opt. Express 2018, 26, 20913–20919. [Google Scholar] [CrossRef] [PubMed]
- Zheng, Q.; Guo, C.; Yuan, P.; Ren, Y.H.; Ding, J. Wideband and high-efficiency reflective polarization conversion metasurface based on anisotropic metamaterials. J. Electron. Mater. 2018, 47, 2658–2666. [Google Scholar] [CrossRef]
- Li, F.; Chen, H.; Zhang, L.; Zhou, Y.; Xie, J.; Deng, L.; Harris, V.G. Compact high-efficiency broadband metamaterial polarizing reflector at microwave frequencies. IEEE Trans. Microw. Theory Technol. 2019, 67, 606–614. [Google Scholar] [CrossRef]
- Zheng, Q.; Guo, C.; Vandenbosch, G.A.E.; Yuan, P.; Ding, J. Ultra-broadband and high-efficiency reflective polarization rotator based on fractal metasurface with multiple plasmon resonances. Opt. Commun. 2019, 449, 73–78. [Google Scholar] [CrossRef]
- Omar, A.A.; Hong, W.; Al-Awamry, A.; Mahmoud, A. A single-layer via-less wideband reflective polarization rotator utilizing perforated holes. IEEE Antennas Wirel. Propag. Lett. 2020, 19, 2053–2056. [Google Scholar] [CrossRef]
- Couto, M.M.; Silva, M.W.B.; Campos, A. A novel ultra-wideband reflective cross-polarization converter based on anisotropic metasurface. J. Electromagn. Waves Appl. 2021, 35, 1652–1662. [Google Scholar] [CrossRef]
- Kamal, B.; Chen, J.D.; Ying, Y.Z.; Jian, R.; Ullah, S.; Khan, W.U.R. High efficiency and ultra-wideband polarization converter based on an I-shaped metasurface. Opt. Mater. Express 2021, 11, 1343–1352. [Google Scholar] [CrossRef]
- Chatterjee, J.; Mohan, A.; Dixit, V. Ultrawideband RCS reduction of planar and conformal surfaces using ultrathin polarization conversion metasurface. IEEE Access 2022, 10, 36563–36575. [Google Scholar] [CrossRef]
- Khan, H.A.; Rafique, U.; Abbas, S.M.; Ahmed, F.; Huang, Y.F.; Uqaili, J.A.; Mahmoud, A. Polarization-independent ultra wideband RCS reduction conformal coding metasurface based on integrated polarization conversion-diffusion-absorption mechanism. Photonics 2023, 10, 281. [Google Scholar] [CrossRef]
- Sigmund, O.; Maute, K. Topology optimization approaches. Struct. Multidiscip. Optim. 2013, 48, 1031–1055. [Google Scholar] [CrossRef]
- Deaton, J.D.; Grandhi, R.V. A survey of structural and multidisciplinary continuum topology optimization: Post 2000. Struct. Multidiscip. Optim. 2014, 49, 1–38. [Google Scholar] [CrossRef]
- Zhu, J.H.; Zhang, W.H.; Xia, L. Topology optimization in aircraft and aerospace structures design. Arch. Comput. Methods Eng. 2016, 23, 595–622. [Google Scholar] [CrossRef]
- Latifi Rostami, S.A.; Ghoddosian, A. Topology Optimization Under Uncertainty by Using the New Collocation Method. Period Polytech-civ 2019, 63, 278–287. [Google Scholar] [CrossRef]
- Latifi Rostami, S.A.; Li, M.; Kolahdooz, A.; Chung, H.; Zhang, J. Robust Topology Optimization of Continuum Structures Under the Hybrid Uncertainties: A Comparative Study. Period. Polytech. Civ. Eng. 2023, 67, 637–645. [Google Scholar] [CrossRef]
- Diaz, A.R.; Sigmund, O. A topology optimization method for design of negative permeability metamaterials. Struct. Multidiscip. Optim. 2010, 41, 163–177. [Google Scholar] [CrossRef]
- Hassan, E.; Wadbro, E.; Berggren, M. Topology optimization of metallic antennas. IEEE Trans. Antennas Propag. 2014, 62, 2488–2500. [Google Scholar]
- Molesky, S.; Lin, Z.; Piggott, A.Y.; Jin, W.; Vucković, J.; Rodriguez, A.W. Inverse design in nanophotonics. Nat. Photonics 2018, 12, 659–670. [Google Scholar] [CrossRef]
- Zhu, S.H.; Yang, X.S.; Wang, J.; Wang, B.Z. Design of mimo antenna isolation structure based on a hybrid topology optimization method. IEEE Trans. Antennas Propag. 2019, 67, 6298–6307. [Google Scholar] [CrossRef]
- Chen, F.; Zhu, J.; Zhang, W. Topology optimization for the layout design of radar absorbing coatings in cavities. Struct. Multidiscip. Optim. 2022, 65, 250. [Google Scholar] [CrossRef]
- Sui, S.; Ma, H.; Wang, J.; Feng, M.; Pang, Y.; Xia, S.; Xu, Z.; Qu, S. Symmetry-based coding method and synthesis topology optimization design of ultra-wideband polarization conversion metasurfaces. Appl. Phys. Lett. 2016, 109, 014104. [Google Scholar] [CrossRef]
- Yuan, Q.; Ma, H.; Sui, S.; Wang, J.F.; Zheng, L.; Meng, Y.Y.; Qu, S.B. Centrosymmetric topology optimization design achieves ultra-broadband polarization conversion and its further application. J. Phys. D Appl. Phys. 2020, 53, 335001. [Google Scholar] [CrossRef]
- Wang, J.; Zhao, X.C.; Jiang, Y.N.; Gu, W.Q.; Xu, K.D. Optimal design of broadband linear-to-circular polarization conversion metasurface. Mater. Des. 2024, 242, 113004. [Google Scholar] [CrossRef]
- Zhang, Y.J.; Li, C.L.; Luan, J.Q.; Zhao, M.; Gao, D.S.; Li, P.L. Ultra-broadband and wide-angle reflective terahertz polarization conversion metasurface based on topological optimization. Chin. Phys. B 2024, 33, 104210. [Google Scholar] [CrossRef]
- Huang, X.; Xie, M. Evolutionary Topology Optimization of Continuum Structures: Methods and Applications; John Wiley & Sons: Hoboken, NJ, USA, 2010. [Google Scholar]
- Bendsoe, M.P.; Sigmund, O. Topology Optimization: Theory, Methods, and Applications; Springer Science & Business Media: Berlin/Heidelberg, Germany, 2013. [Google Scholar]
- Maksum, Y.; Amirli, A.; Amangeldi, A.; Inkarbekov, M.; Ding, Y.; Romagnoli, A.; Rustamov, S.; Akhmetov, B. Computational acceleration of topology optimization using parallel computing and machine learning methods–analysis of research trends. J. Ind. Inf. Integr. 2022, 28, 100352. [Google Scholar] [CrossRef]
- Liu, C.; Gao, R.; Wang, Q.; Liu, S. A design of ultra-wideband linear cross-polarization conversion metasurface with high efficiency and ultra-thin thickness. J. Appl. Phys. 2020, 127, 153103. [Google Scholar] [CrossRef]
- Xu, J.; Li, R.; Wang, S.; Han, T. Ultra-broadband linear polarization converter based on anisotropic metasurface. Opt. Express 2018, 26, 26235–26241. [Google Scholar] [CrossRef] [PubMed]
- Zhao, J.C.; Cheng, Y.Z. Ultra-broadband and high-efficiency reflective linear polarization convertor based on planar anisotropic metamaterial in microwave region. Optik 2017, 136, 52–57. [Google Scholar] [CrossRef]
- Yoon, G.; Tanaka, T.; Zentgraf, T.; Rho, J. Recent progress on metasurfaces: Applications and fabrication. J. Phys. D Appl. Phys. 2021, 54, 383002. [Google Scholar] [CrossRef]
- Su, V.C.; Chu, C.H.; Sun, G.; Tsai, D.P. Advances in optical metasurfaces: Fabrication and applications [Invited]. Opt. Express 2018, 26, 13148–13182. [Google Scholar] [CrossRef]
- Ako, R.T.; Upadhyay, A.; Withayachumnankul, W.; Bhaskaran, M.; Sriram, S. Dielectrics for terahertz metasurfaces: Material selection and fabrication techniques. Adv. Opt. Mater. 2020, 8, 1900750. [Google Scholar] [CrossRef]









| x/mm | −4.706 | −2.228 | −3.938 | −1.569 | −3.288 | −0.801 | −0.833 | 0 | 0 |
| y/mm | 4.706 | 4.662 | 3.938 | 4.706 | 5.448 | 5.495 | 3.036 | 0 | 1.185 |
| a/mm | −4.706 | −3.000 | −3.938 | −1.569 | −4.000 | −0.801 | −1.200 | 0 | −0.500 |
| b/mm | −4.706 | −1.700 | −3.938 | −1.569 | −3.000 | −0.801 | 0.600 | 0 | 0.500 |
| c/mm | 4.706 | 3.800 | 3.938 | 4.706 | 5.000 | 5.495 | 2.500 | 0 | 0.800 |
| d/mm | 4.706 | 5.000 | 3.938 | 4.706 | 6.000 | 5.495 | 4.000 | 0 | 1.300 |
| x/mm | 0 | 0.376 | 0.778 | 0.296 | 1.569 | 1.569 | 1.569 | 1.963 | 2.358 |
| y/mm | 2.358 | 2.358 | 2.358 | 4.410 | 4.706 | 3.137 | 1.569 | 6.315 | 4.706 |
| a/mm | −0.300 | 0.100 | 0.600 | −0.100 | 1.200 | 1.200 | 1.569 | 1.500 | 2.000 |
| b/mm | 0.200 | 0.500 | 0.900 | 0.700 | 1.700 | 1.700 | 1.569 | 2.200 | 3.000 |
| c/mm | 2.000 | 2.000 | 2.000 | 3.800 | 4.200 | 2.800 | 1.569 | 5.800 | 4.200 |
| d/mm | 2.600 | 2.600 | 2.600 | 5.500 | 5.500 | 3.600 | 1.569 | 6.800 | 5.000 |
| x/mm | 3.885 | 4.706 | 2.358 | 2.358 | |||||
| y/mm | 6.183 | 4.706 | 3.532 | 2.358 | |||||
| a/mm | 3.200 | 4.706 | 2.000 | 2.358 | |||||
| b/mm | 4.300 | 4.706 | 2.800 | 2.358 | |||||
| c/mm | 5.800 | 4.706 | 3.000 | 2.358 | |||||
| d/mm | 6.800 | 4.706 | 3.800 | 2.358 |
| x/mm | −4.706 | −2.600 | −3.938 | −1.569 | −4.000 | −0.801 | −0.800 | 0 | −0.400 |
| y/mm | 4.706 | 4.600 | 3.938 | 4.706 | 5.900 | 5.495 | 3.500 | 0 | 1.100 |
| x/mm | 0 | 0.400 | 0.800 | 0.700 | 1.400 | 1.200 | 1.569 | 1.700 | 2.400 |
| y/mm | 2.200 | 2.300 | 2.500 | 4.200 | 4.900 | 3.200 | 1.569 | 6.600 | 5.000 |
| x/mm | 4.200 | 4.706 | 2.700 | 2.358 | |||||
| y/mm | 6.800 | 4.706 | 3.300 | 2.358 |
| Works | Design Technique (Resonators) | Operating Bandwidth (GHz) | Bandwidth (PCR > 0.9) (GHz) | Relative Bandwidth (%) |
|---|---|---|---|---|
| [40] | asymmetric double ring | 6.67–17.09 | 10.42 | 87.7 |
| [41] | cut wire | 5.10–12.10 | 7.0 | 78.6 |
| [20] | modified double square ring | 6.30–20.50 | 14.3 | 105.9 |
| [32] | topology design | 8.00–30.00 | <22 | <115.7 |
| Our work | topology and shape design | 4.08–14.39 | 10.31 | 111.64 |
Disclaimer/Publisher’s Note: The statements, opinions and data contained in all publications are solely those of the individual author(s) and contributor(s) and not of MDPI and/or the editor(s). MDPI and/or the editor(s) disclaim responsibility for any injury to people or property resulting from any ideas, methods, instructions or products referred to in the content. |
© 2024 by the authors. Licensee MDPI, Basel, Switzerland. This article is an open access article distributed under the terms and conditions of the Creative Commons Attribution (CC BY) license (https://creativecommons.org/licenses/by/4.0/).
Share and Cite
Liu, C.; Tang, Y.; Wang, J. High-Efficiency and Ultrawideband Polarization Conversion Metasurface Based on Topology and Shape Optimizaiton Design Method. Symmetry 2024, 16, 1674. https://doi.org/10.3390/sym16121674
Liu C, Tang Y, Wang J. High-Efficiency and Ultrawideband Polarization Conversion Metasurface Based on Topology and Shape Optimizaiton Design Method. Symmetry. 2024; 16(12):1674. https://doi.org/10.3390/sym16121674
Chicago/Turabian StyleLiu, Chuan, Yi Tang, and Jian Wang. 2024. "High-Efficiency and Ultrawideband Polarization Conversion Metasurface Based on Topology and Shape Optimizaiton Design Method" Symmetry 16, no. 12: 1674. https://doi.org/10.3390/sym16121674
APA StyleLiu, C., Tang, Y., & Wang, J. (2024). High-Efficiency and Ultrawideband Polarization Conversion Metasurface Based on Topology and Shape Optimizaiton Design Method. Symmetry, 16(12), 1674. https://doi.org/10.3390/sym16121674

