The Numerical Solution of Nonlinear Fractional Lienard and Duffing Equations Using Orthogonal Perceptron
Abstract
1. Introduction
- The general form of the Duffing oscillator equation is
- The proposed technique gives us the solution in a closed analytic form.
- The functional link neural network consists of a single layer, and thus the number of network parameters is less than the traditional multilayer ANN and works with low computational complexity.
- It is capable of fast learning and is computationally efficient.
- This process does not need linearization to solve a nonlinear problem.
2. Preliminaries
2.1. Chebyshev and Legendre Artificial Neural Network Models
2.2. Simulated Annealing Algorithm
3. Description of the Method
3.1. General Remarks
- Prepare the network by using the Chebyshev or Legendre polynomials.
- Provide the network adaptive coefficients (NACs) for each polynomial.
- Calculate and save the sum of the products of the NACs and Chebyshev polynomials or Legendre polynomials as a function or .
- Use the Taylor series extension of the activation function to activate the function or .
- Now, construct the problem’s trial solution, which satisfies the given initial or boundary conditions.
- Substitute the derivatives of the trial solution into the given situation and obtain the error function.
- To minimize the error function, use simulated annealing optimization techniques.
- If the assessment of the mean square error is in an acceptable range, then collect the value of the adaptive coefficients of the network and substitute it into the trial solution to obtain the results; otherwise, repeat the same process for various values of the NACs until the agreeable MSE is acquired.
3.2. Employment on Nonlinear FDEs
3.3. Advantages of the Proposed Technique
- To approximate the complex nonlinear interactions present in fractional differential equations, the orthogonal perceptron-based method uses the adaptability of artificial neural networks. It can capture complex behaviors that are exceedingly difficult to express using conventional numerical techniques.
- Once trained, the orthogonal perceptron may generalize its learned patterns to fresh input data. This is extremely helpful when solving fractional differential equations with various initial conditions or parameters.
- Traditional numerical techniques are frequently built with well-established convergence features. However, the neural network approach’s convergence is determined by the quality of the data and the architecture used.
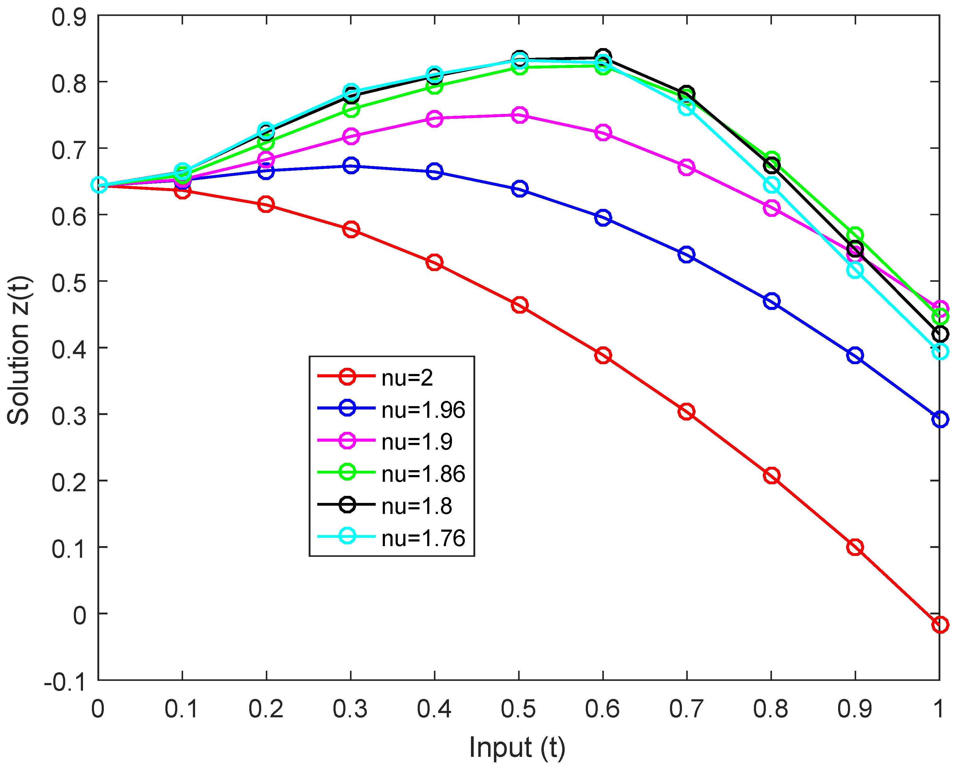
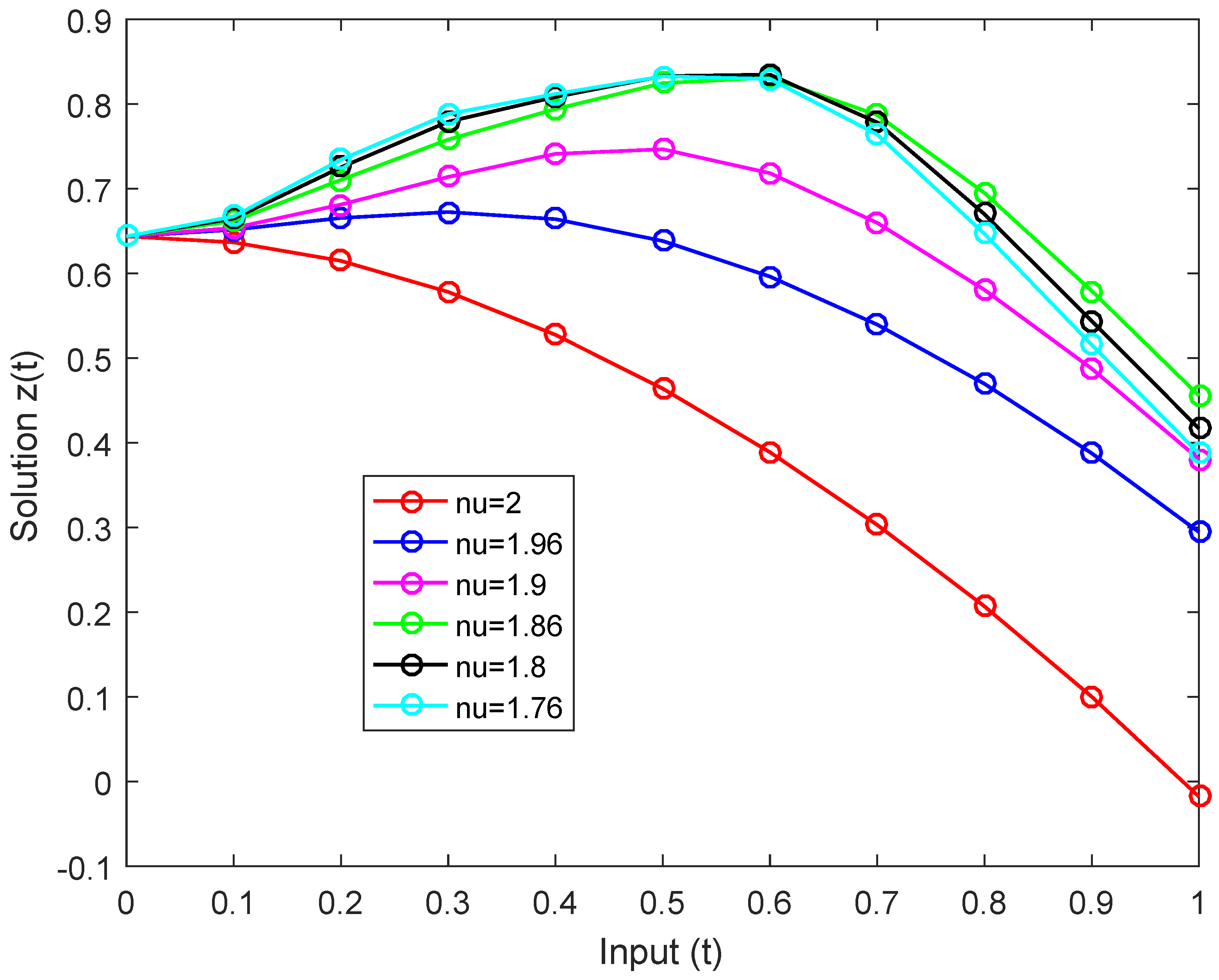
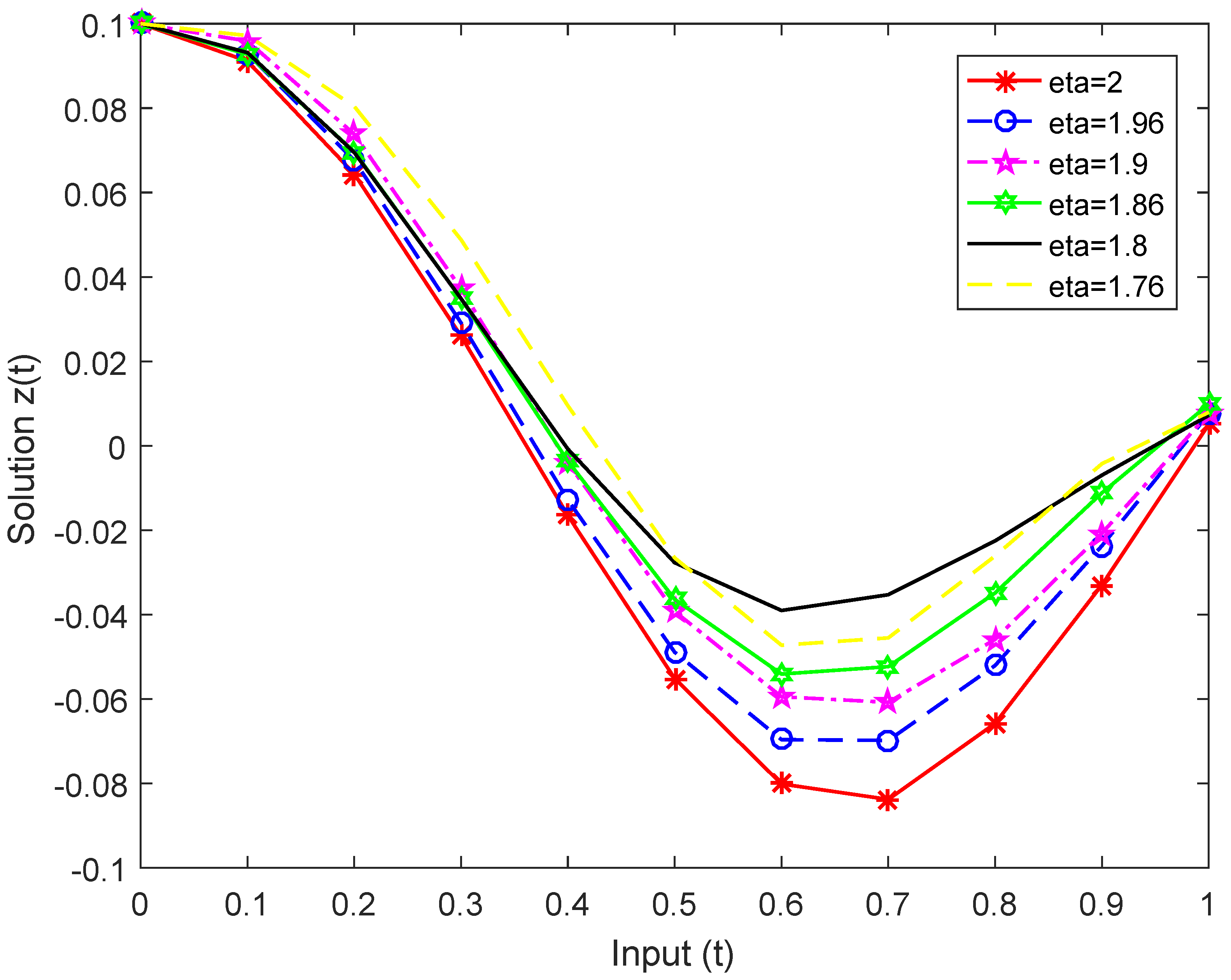
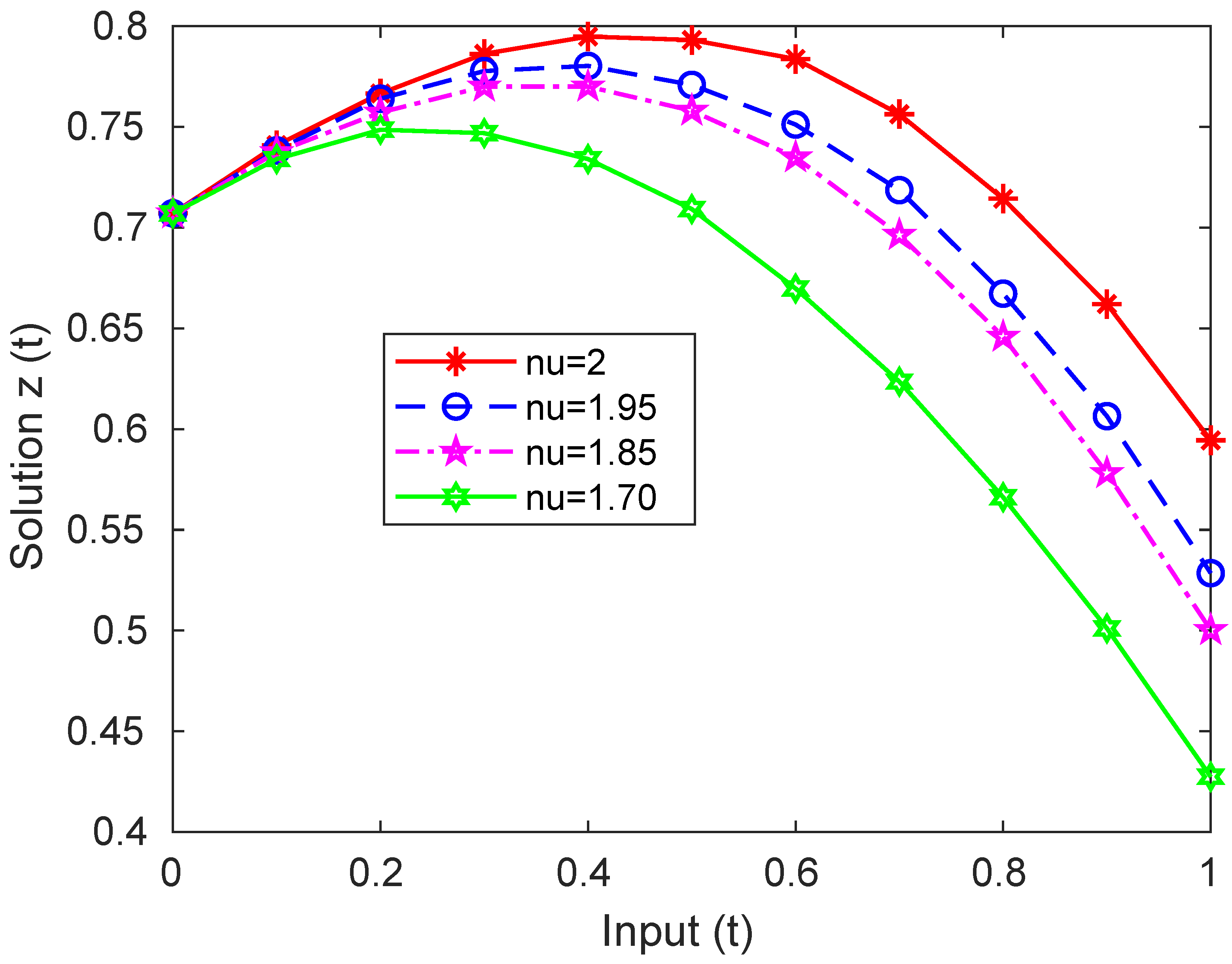
4. Numerical Implementation
5. Error Analysis
6. Conclusions
Author Contributions
Funding
Data Availability Statement
Acknowledgments
Conflicts of Interest
Abbreviations
| FDE | Fractional differential equation |
| SA | Simulated annealing |
| ChNN | Chebyshev neural network |
| LeNN | Legendre neural network |
| NAC | Network adaptive coefficient |
| COMM | Chebyshev Operational Matrix Method |
| JSCM | Jacobi Spectral Collocation Method |
| DTM | Differential Transform Method |
| ECM | Efficient Computational Method |
References
- Talebi, S.P.; Godsill, S.J.; Mandic, D.P. Filtering Structures for α-Stable Systems. IEEE Control Syst. Lett. 2023, 7, 553–558. [Google Scholar] [CrossRef]
- Liénard, A. Etude des oscillations entretenues. Rev. Gen. l’Electr. 1928, 23, 901–912. [Google Scholar]
- Guckenheimer, J. Dynamics of the Van der pol equation. IEEE Trans. Circuit Syst. 1980, 27, 938–989. [Google Scholar] [CrossRef]
- Kong, D.X. Explicit exact solutions for the Lienard equation and its applications. Phys. Lett. A 1995, 196, 301–306. [Google Scholar] [CrossRef]
- Feng, Z. On explicit exact solutions for the Lienard equation and its applications. Phys. Lett. A 2002, 293, 50–56. [Google Scholar] [CrossRef]
- Diethelm, K.; Walz, G. Numerical solution of fractional order differential equations by extrapolation. Numer. Algorithms 1997, 16, 231–253. [Google Scholar] [CrossRef]
- Esmaeili, S.; Shamsi, M.; Luchko, Y. Numerical solution of fractional differential equations with a collocation method based on Müntz polynomials. Comput. Math. Appl. 2011, 62, 918–929. [Google Scholar] [CrossRef]
- Demirci, E.; Ozalp, N. A method for solving differential equations of fractional order. J. Comput. Appl. Math. 2012, 236, 2754–2762. [Google Scholar] [CrossRef]
- Han, W.; Chen, Y.M.; Liu, D.Y.; Boutat, D. Numerical solution for a class of multi-order fractional differential equations with error correction and convergence analysis. Adv. Differ. Equ. 2018, 253, 253. [Google Scholar] [CrossRef]
- Sumelka, W.; Luczak, B.; Gajewski, T.; Voyiadjis, G.Z. Modelling of AAA in the framework of time-fractional damage hyperelasticity. Int. J. Solids Struct. 2020, 206, 30–42. [Google Scholar] [CrossRef]
- Sumelka, W. Fractional calculus for continuum mechanics—Anisotropic non-locality. Bull. Pol. Acad. Sci. Tech. Sci. 2016, 64, 361–372. [Google Scholar] [CrossRef]
- Bohner, M.; Tunç, O.; Tunç, C. Qualitative analysis of caputo fractional integro-differential equations with constant delays. Comput. Appl. Math. 2021, 40, 214. [Google Scholar] [CrossRef]
- Tunç, O.; Tunç, C. Solution estimates to Caputo proportional fractional derivative delay integro-differential equations. Rev. R. Acad. Cienc. Exactas Fís. Nat. Ser. A Mat. 2023, 117, 12. [Google Scholar] [CrossRef]
- Singh, H. An efficient computational method for non-linear fractional Lienard equation arising in oscillating circuits. In Methods of Mathematical Modelling: Fractional Differential Equations; CRC Press: London, UK; New York, NY, USA, 2019. [Google Scholar]
- Singh, H.; Srivastava, H.M. Numerical Investigation of the Fractional-Order Liénard and Duffing Equations Arising in Oscillating Circuit Theory. Front. Phys. 2020, 8, 120. [Google Scholar] [CrossRef]
- Nourazar, S.; Mirzabeigy, A. Approximate solution for nonlinear Duffing oscillator with damping effect using the modified differential transform method. Sci. Iran. B 2013, 20, 364–368. [Google Scholar]
- Gómez-Aguilar, J.F.; Torres, L.; Yépez-Martínez, H.; Baleanu, D.; Reyes, J.M.; Sosa, I.O. Fractional Liénard type model of a pipeline within the fractional derivative without singular kernel. Adv. Differ. Equ. 2016, 2016, 173. [Google Scholar] [CrossRef]
- Feng, Z. Exact solutions for the Lienard equation and its applications. Chaos Solitons Fractals 2004, 21, 343–348. [Google Scholar] [CrossRef]
- Matinfar, M.; Hosseinzadeh, H.; Ghanbari, M. A numerical implementation of the variational iteration method for the Lienard equation. World J. Model. Simul. 2008, 4, 205–210. [Google Scholar]
- Xu, G.Q. New explicit exact solutions for the Liénard equation and its applications. arXiv 2010, arXiv:1003.2921v1. [Google Scholar]
- Janiczek, T. Generalisation of the modulating functions method into the fractional differential equations. Bull. Pol. Acad. Sci. Tech. Sci. 2010, 58, 593–599. [Google Scholar] [CrossRef]
- Atabakzadeh, M.H.; Akrami, M.H.; Erjaee, G.H. Chebyshev Operational Matrix Method for Solving Multi-order Fractional Ordinary Differential Equations. Appl. Math. Model. 2013, 37, 8903–8911. [Google Scholar] [CrossRef]
- Kazem, S. An integral operational matrix based on Jacobi polynomials for solving fractional-order differential equations. Appl. Math. Model. 2013, 37, 1126–1136. [Google Scholar] [CrossRef]
- Ezz-Eldien, S.S. New quadrature approach based on operational matrix for solving a class of fractional variational problems. J. Comput. Phys. 2016, 317, 362–381. [Google Scholar] [CrossRef]
- Ejikeme, C.L.; Oyesanya, M.O.; Agbebaku, D.F.; Okofu, M.B. Solution to nonlinear Duffing Oscillator with fractional derivatives using Homotopy Analysis Method (HAM). Glob. J. Pure Appl. Math. 2018, 14, 1363–1388. [Google Scholar]
- Morales-Delgado, V.F.; Gómez-Aguilar, J.F.; Torres, L.; Escobar-Jiménez, R.F.; Taneco-Hernandez, M.A. Exact Solutions for the Liénard Type Model via Fractional Homotopy Methods. In Fractional Derivatives with Mittag-Leffler Kernel; Springer: Cham, Switzerland, 2019; Volume 194, pp. 269–291. [Google Scholar] [CrossRef]
- Singh, H.; Srivastava, H.M.; Kumar, D. A reliable numerical algorithm for the fractional vibration equation. Chaos Solitons Fractals 2017, 103, 131–138. [Google Scholar] [CrossRef]
- Singh, H. Solution of fractional Lienard equation using Chebyshev operational matrix method. Nonlinear Sci. Lett. A 2017, 8, 397–404. [Google Scholar]
- Kumar, S.; Gomez-Aguilar, J.F.; Lavın-Delgado, J.E.; Baleanu, D. Derivation of operational matrix of Rabotnov fractional-exponential kernel and its application to fractional Lienard equation. Alex. Eng. J. 2020, 59, 2991–2997. [Google Scholar] [CrossRef]
- Adel, W. A fast and efficient scheme for solving a class of non-linear Lienard’s equations. Math. Sci. 2020, 14, 167–175. [Google Scholar] [CrossRef]
- Kumar, M.; Yadav, N. Multilayer perceptrons and radial basis function neural network methods for the solution of differential equations: A survey. Comput. Math. Appl. 2011, 62, 3796–3811. [Google Scholar] [CrossRef]
- Khan, N.A.; Shaikh, A.; Sultan, F.; Ara, A. Numerical Simulation Using Artificial Neural Network on Fractional Differential Equations. In Numerical Simulation—From Brain Imaging to Turbulent Flows; IntechOpen: London, UK, 2017. [Google Scholar] [CrossRef][Green Version]
- Chakraverty, S.; Mall, S. Artificial Neural Networks for Engineers and Scientists Solving Ordinary Differential Equations; CRC Press: London, UK; New York, NY, USA, 2017. [Google Scholar]
- Verma, A.; Kumar, M. Numerical solution of Lane–Emden type equations using multilayer perceptron neural network method. Int. J. Appl. Comput. Math. 2019, 5, 141. [Google Scholar] [CrossRef]
- Shaikh, A.; Jamal, M.A.; Hanif, F.; Khan, M.S.A.; Inayatullah, S. Neural minimisation methods for solving variable order fractional delay differential equations with simulated annealing. PLoS ONE 2019, 14, e0223476. [Google Scholar] [CrossRef] [PubMed]
- Chakraverty, S.; Mall, S. Single layer Chebyshev neural network model with regression-based weights for solving nonlinear ordinary differential equations. Evol. Intell. 2022, 13, 687–694. [Google Scholar] [CrossRef]
- Verma, A.; Kumar, M. Numerical solution of Bagley–Torvik equations using Legendre artificial neural network method. Evol. Intell. 2020, 14, 2027–2037. [Google Scholar] [CrossRef]
- Verma, A.; Kumar, M. Numerical solution of third-order Emden–Fowler type equations using artificial neural network technique. Eur. Phys. J. Plus 2020, 135, 751. [Google Scholar] [CrossRef]
- Lefik, M. Some aspects of application of artificial neural network for numerical modeling in civil engineering. Bull. Pol. Acad. Sci. Sci. 2013, 61, 39–50. [Google Scholar] [CrossRef]
- Malik, S.A.; Qureshi, I.M.; Amir, M.; Haq, I. Numerical Solution of Lienard Equation Using Hybrid Heuristic Computation. World Appl. Sci. J. 2013, 28, 636–643. [Google Scholar]
- Kumar, S.; Sahoo, A.K.; Chakraverty, S. A Comparative study of Chebyshev and Legendre Polynomial-based Neural Models for Approximating Multidimensional Poverty for an Indian State. In Polynomial Paradigms: Trends and Applications in Science and Engineering; IOP Publishing: Bristol, UK, 2023. [Google Scholar] [CrossRef]
- Sahoo, A.K.; Chakraverty, S. A neural network approach for the solution of Van der Pol-Mathieu-Duffing oscillator model. Evol. Intell. 2023. [Google Scholar] [CrossRef]
- Pao, Y.H.; Philips, S.M. The functional link net and learning optimal control. Neurocomputing 1995, 9, 149–164. [Google Scholar] [CrossRef]
- Kumar, D.; Agarwal, R.P.; Singh, J. A modified numerical scheme and convergence analysis for fractional model of Lienard’s equation. J. Comput. Appl. Math. 2018, 339, 405–413. [Google Scholar] [CrossRef]












| −0.41174 | 0.379264 | 0.463621 | 0.386701 | 0.0344511 | 0.0811897 | |
| −1.53305 | 1.02509 | −2.11092 | 1.1266 | −0.969482 | 0.15995 |
| Exact Solution | ChNN | LeNN | [28] | [14] | [15] | |
|---|---|---|---|---|---|---|
| 0.00 | 0.643594 | 0.643594 | 0.643594 | 0.643594 | 0.643594 | 0.643594 |
| 0.01 | 0.643556 | 0.643524 | 0.643524 | 0.643524 | 0.643524 | 0.643524 |
| 0.02 | 0.643443 | 0.643313 | 0.643313 | 0.643313 | 0.643313 | 0.643314 |
| 0.03 | 0.643255 | 0.642959 | 0.642959 | 0.642959 | 0.642959 | 0.642965 |
| 0.04 | 0.642991 | 0.642462 | 0.642462 | 0.642461 | 0.642461 | 0.642477 |
| 0.05 | 0.642653 | 0.641821 | 0.641821 | 0.641818 | 0.641818 | 0.641894 |
| 0.06 | 0.642239 | 0.641033 | 0.641033 | 0.641029 | 0.641028 | 0.641082 |
| 0.07 | 0.641751 | 0.640100 | 0.640100 | 0.640093 | 0.640092 | 0.640176 |
| 0.08 | 0.641189 | 0.639019 | 0.639019 | 0.639009 | 0.639009 | 0.639130 |
| 0.09 | 0.640553 | 0.637790 | 0.637790 | 0.637777 | 0.637776 | 0.637946 |
| 0.1 | 0.639844 | 0.636413 | 0.636413 | 0.636395 | 0.636395 | 0.636623 |
| NAC | ||||||
|---|---|---|---|---|---|---|
| −0.84541 | 2.43209 | 0.54458 | 1.04621 | −0.0457733 | 0.165949 | |
| −1.54176 | 0.143329 | −0.674402 | −0.433421 | −0.617103 | −0.35283 |
| DTM [16] | ChNN | LeNN | [28] | [15] | |
|---|---|---|---|---|---|
| 0.00 | 0.100000 | 0.100000 | 0.100000 | 0.1000000 | 0.100000 |
| 0.01 | 0.099874 | 0.099874 | 0.099874 | 0.0998745 | 0.099874 |
| 0.02 | 0.099497 | 0.0994971 | 0.099497 | 0.0995025 | 0.099502 |
| 0.03 | 0.098871 | 0.0988715 | 0.0988715 | 0.0988894 | 0.098889 |
| 0.04 | 0.098002 | 0.0980002 | 0.0980001 | 0.0980414 | 0.098041 |
| 0.05 | 0.096886 | 0.0968865 | 0.0968864 | 0.0969644 | 0.096964 |
| 0.06 | 0.095534 | 0.0955346 | 0.0955344 | 0.0956646 | 0.095664 |
| 0.07 | 0.093949 | 0.093949 | 0.0939488 | 0.0941484 | 0.094148 |
| 0.08 | 0.092135 | 0.0921351 | 0.0921348 | 0.0924222 | 0.092422 |
| 0.09 | 0.090098 | 0.0900985 | 0.0900982 | 0.0904924 | 0.090492 |
| 0.1 | 0.087845 | 0.0878456 | 0.0878453 | 0.0883660 | 0.088366 |
| NAC | ||||||
|---|---|---|---|---|---|---|
| 0.815413 | 1.23726 | 2.53108 | 1.03956 | 0.498807 | 0.307813 | |
| − 1.04706 | −1.33436 | 0.254833 | −1.04073 | −0.113977 | −0.295584 |
| Exact | ChNN | LeNN | [15] | [44] | |
|---|---|---|---|---|---|
| 0.00 | 0.7071067 | 0.7071067 | 0.7071067 | 0.7071067 | 0.7071067 |
| 0.01 | 0.7106334 | 0.710811 | 0.710722 | 0.7106155 | |
| 0.02 | 0.7141419 | 0.71432 | 0.714231 | 0.7140699 | 0.7141419094 |
| 0.03 | 0.7176318 | 0.717811 | 0.717722 | 0.7174686 | |
| 0.04 | 0.7211028 | 0.721283 | 0.721193 | 0.7208102 | 0.7211028634 |
| 0.05 | 0.7245544 | 0.724736 | 0.724645 | 0.7240935 | |
| 0.06 | 0.7279862 | 0.728168 | 0.728077 | 0.7273171 | 0.7279862988 |
| 0.07 | 0.7313979 | 0.731581 | 0.731489 | 0.7304797 | |
| 0.08 | 0.7347890 | 0.734973 | 0.734881 | 0.7335800 | 0.7347890065 |
| 0.09 | 0.7381591 | 0.738344 | 0.738251 | 0.7366167 | |
| 0.1 | 0.7415079 | 0.741693 | 0.741601 | 0.7395886 | 0.7415079207 |
Disclaimer/Publisher’s Note: The statements, opinions and data contained in all publications are solely those of the individual author(s) and contributor(s) and not of MDPI and/or the editor(s). MDPI and/or the editor(s) disclaim responsibility for any injury to people or property resulting from any ideas, methods, instructions or products referred to in the content. |
© 2023 by the authors. Licensee MDPI, Basel, Switzerland. This article is an open access article distributed under the terms and conditions of the Creative Commons Attribution (CC BY) license (https://creativecommons.org/licenses/by/4.0/).
Share and Cite
Verma, A.; Sumelka, W.; Yadav, P.K. The Numerical Solution of Nonlinear Fractional Lienard and Duffing Equations Using Orthogonal Perceptron. Symmetry 2023, 15, 1753. https://doi.org/10.3390/sym15091753
Verma A, Sumelka W, Yadav PK. The Numerical Solution of Nonlinear Fractional Lienard and Duffing Equations Using Orthogonal Perceptron. Symmetry. 2023; 15(9):1753. https://doi.org/10.3390/sym15091753
Chicago/Turabian StyleVerma, Akanksha, Wojciech Sumelka, and Pramod Kumar Yadav. 2023. "The Numerical Solution of Nonlinear Fractional Lienard and Duffing Equations Using Orthogonal Perceptron" Symmetry 15, no. 9: 1753. https://doi.org/10.3390/sym15091753
APA StyleVerma, A., Sumelka, W., & Yadav, P. K. (2023). The Numerical Solution of Nonlinear Fractional Lienard and Duffing Equations Using Orthogonal Perceptron. Symmetry, 15(9), 1753. https://doi.org/10.3390/sym15091753

