Shape Preserving Properties of Parametric Szász Type Operators on Unbounded Intervals
Abstract
1. Introduction
2. Fundamental Properties of the Basis Functions and the Operators
- (1)
- For , the operators preserve and ;
- (2)
- For , the operators preserve and .
3. Shape Preservation
4. Preservation of Smoothness
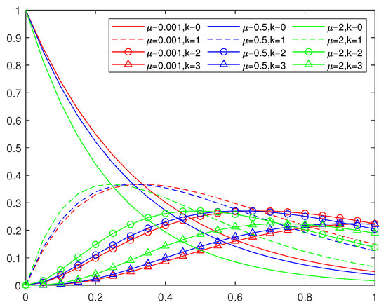
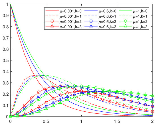
5. Illustrative Examples
6. Conclusions
Author Contributions
Funding
Data Availability Statement
Acknowledgments
Conflicts of Interest
References
- Farin, G. Curves and Surfaces for Computer-Aided Geometric Design, 5th ed.; Elsevier Inc.: San Diego, CA, USA, 2002. [Google Scholar]
- Marsh, D. Applied Geometry for Computer Graphics and CAD; Springer: Berlin/Heidelberg, Germany, 2005. [Google Scholar]
- Ye, Z.; Long, X.; Zeng, X.M. Adjustment Algorithms for Bézier Curve and Surface; IEEE: Piscataway, NJ, USA, 2010; pp. 1712–1716. [Google Scholar]
- Chang, G.Z. Generalized Bernstein-Bézier polynomial. J. Comput. Math. 1983, 1, 322–327. [Google Scholar]
- Chang, G.Z.; Wu, J.H. Mathematical foundations of Bézier technique. Comput.-Aided Des. 1981, 13, 133–136. [Google Scholar] [CrossRef]
- Zeeshan; Ahammad, N.A.; Rasheed, H.U.; El-Deeb, A.A.; Almarri, B.; Shah, N.A. A Numerical Intuition of Activation Energy in Transient Micropolar Nanofluid Flow Configured by an Exponentially Extended Plat Surface with Thermal Radiation Effects. Mathematics 2022, 10, 4046. [Google Scholar] [CrossRef]
- Acar, T.; Aral, A.; Gonska, H. On Szász-Mirakyan operators preserving e2ax(a>0). Mediterr. J. Math. 2017, 14, 1–14. [Google Scholar]
- Acar, T.; Aral, A.; Morales, D.C.; Garrancho, P. Szász-Mirakyan type operators which fix exponentials. Results Math. 2017, 72, 93–104. [Google Scholar] [CrossRef]
- Duman, O.; Özarslan, M.A. Szász-Mirakyan type operators providing a better error estimation. Appl. Math. Lett. 2007, 20, 1184–1188. [Google Scholar] [CrossRef]
- Duman, O.; Özarslan, M.A.; Vecchia, B.D. Modified Szász-Mirakyan-Kantorovich operators preserving linear functions. Turk. J. Math. 2009, 33, 151–158. [Google Scholar]
- Gupta, V.; Malik, N. Approximation with certain Szász-Mirakyan operators. Khayyam J. Math. 2017, 2, 90–97. [Google Scholar]
- Bloom, W.R.; Elliott, D. The modulus of continuity of the remainder in the approximation of Lipschitz functions. J. Approx. Theory 1981, 31, 59–66. [Google Scholar] [CrossRef]
- Brown, B.M.; Elliott, D.; Paget, D.F. Lipschitz constants for the Bernstein polynomials of a Lipschitz continuous function. J. Approx. Theory 1987, 49, 196–199. [Google Scholar] [CrossRef]
- Chang, G.Z.; Davis, P.J. The convexity of Bernstein polynomials over triaugles. J. Approx. Theory 1984, 40, 11–28. [Google Scholar] [CrossRef]
- Li, Z.K. Bernstein ploynomials and modulus of continuity. J. Approx. Theory 2000, 102, 171–174. [Google Scholar] [CrossRef][Green Version]
- Khan, M.K.; Vecchia, B.D.; Fassih, A. On the monotonicity of positive linear operators. J. Approx. Theory 1998, 92, 22–37. [Google Scholar] [CrossRef][Green Version]
- Carbone, I. Shape proserving properties of some positive linear operators on unbounded intervals. J. Approx. Theory 1998, 93, 140–156. [Google Scholar] [CrossRef]
- Adell, J.A.; Palomares, A.P. Best constants in preservation inequalities concerning the first modulus and Lipschitz classes for Bernstein-type operators. J. Approx. Theory 1998, 93, 128–139. [Google Scholar] [CrossRef]
- Cal, J.D.L.; Cácomo, J. On certain best constants for Bernstein-type operators. J. Approx. Theory 2001, 113, 189–206. [Google Scholar] [CrossRef]
- Bruckner, A.M.; Ostrow, E. Some function classes related to the class of convex functions. Pac. J. Math. 1962, 12, 1203–1215. [Google Scholar] [CrossRef]
- Hou, X.Q.; Xue, Y.C. On the property of some linear positive operators preserving the class Λω(A). J. Ningxia Univ. (Nat. Sci. Ed.) 1995, 16, 11–16. (In Chinese) [Google Scholar]
- Zhang, C.Z.; Zhu, Z.H. Preservation properties of the Baskakov-Kantorovich operators. Comput. Math. Appl. 2009, 57, 1450–1455. [Google Scholar] [CrossRef]
- Zhang, C.G. Shape preserving properties of a class of Szász-Kantorovich operators. Acta Math. Appl. Sin. 2005, 28, 497–505. [Google Scholar]
- Sabancigil, P.; Kara, M.; Mahmudov, N.I. Higher order Kantorovich-type Szász-Mirakjan operators. J. Inequalities Appl. 2022, 91. [Google Scholar] [CrossRef]
- Szász, O. Generalization of S. Bernstein’s polynomials to the infinite interval. J. Res. Natl. Bur. Stand. 1950, 45, 239–245. [Google Scholar]
- Huang, J.Y.; Qi, Q.L.; Yang, G. Approximation properties of a modified Szász type operators. Pure Math. 2022, 12, 803–813. [Google Scholar] [CrossRef]
- Ditzian, Z.; Totik, V. Moduli of Smoothness; Springer: New York, NY, USA, 1987. [Google Scholar]
- Chen, W.Z. Approximation Theory of Operators; Xiamen University Press: Xiamen, China, 1989. [Google Scholar]








| n | Szsz Operators | the Szsz Operator of Preserving | the Szsz Operator of Preserving |
|---|---|---|---|
| 5 | 1.7151 × 10−2 | 1.0282 × 10−2 | 3.0914 × 10−2 |
| 15 | 5.7728 × 10−3 | 3.4626 × 10−3 | 1.0397 × 10−2 |
| 30 | 2.8933 × 10−3 | 1.7357 × 10−3 | 5.2096 × 10−3 |
| n | Szsz Operators | the Szsz Operator of Preserving | the Szsz Operator of Preserving |
|---|---|---|---|
| 50 | 1.1574 × 100 | 1.3176 × 100 | 8.4766 × 10−1 |
| 150 | 3.6112 × 10−1 | 4.0779 × 10−1 | 2.6880 × 10−1 |
| 300 | 1.7765 × 10−1 | 2.0022 × 10−1 | 1.3275 × 10−1 |
Disclaimer/Publisher’s Note: The statements, opinions and data contained in all publications are solely those of the individual author(s) and contributor(s) and not of MDPI and/or the editor(s). MDPI and/or the editor(s) disclaim responsibility for any injury to people or property resulting from any ideas, methods, instructions or products referred to in the content. |
© 2023 by the authors. Licensee MDPI, Basel, Switzerland. This article is an open access article distributed under the terms and conditions of the Creative Commons Attribution (CC BY) license (https://creativecommons.org/licenses/by/4.0/).
Share and Cite
Dong, H.; Qi, Q. Shape Preserving Properties of Parametric Szász Type Operators on Unbounded Intervals. Symmetry 2023, 15, 1755. https://doi.org/10.3390/sym15091755
Dong H, Qi Q. Shape Preserving Properties of Parametric Szász Type Operators on Unbounded Intervals. Symmetry. 2023; 15(9):1755. https://doi.org/10.3390/sym15091755
Chicago/Turabian StyleDong, Hui, and Qiulan Qi. 2023. "Shape Preserving Properties of Parametric Szász Type Operators on Unbounded Intervals" Symmetry 15, no. 9: 1755. https://doi.org/10.3390/sym15091755
APA StyleDong, H., & Qi, Q. (2023). Shape Preserving Properties of Parametric Szász Type Operators on Unbounded Intervals. Symmetry, 15(9), 1755. https://doi.org/10.3390/sym15091755

